Abstract
A binuclear cobalt–radical complex formed by the reaction of Co(hfac)2·2H2O (hfac = hexafluoroacetylacetonate) with the 2,2-bis(1-oxyl-3-oxide-4,4,5,5-tetramethylimidazolinyl) biradical (BR) has been synthesized. The complex {(hfac)CoII(BN)CoII(hfac)} crystallizes in the triclinic space group P
: C34H28Co2F24N4O12, a = 11.1513(5) Å, b = 12.8362(7) Å, c = 18.2903(8) Å, α = 103.061(1)°, β = 100.898(2)°, γ = 102.250(1)°, Z = 2. The compound consists of two non-equivalent pseudo-octahedral CoII ions, each bearing two hfac ancillary ligands bridged by the tetradentate bis-nitroxide (BN). The temperature dependence of the magnetic susceptibility indicates a strong antiferromagnetic exchange between each of the Co2+ ions and the nitroxyl biradical, as well as between the spins within the bridging ligand, forming a spin-frustrated system. Micro-squid investigations, performed on a single crystal of {(hfac)CoII(BN)CoII(hfac)}, reveal a peculiarity of the M(H) graph at temperatures below 0.4 K displaying a step that is a result of ground and first excited levels mixing by the applied magnetic field due to a small energy gap between them, as inferred from ab initio calculation. The latter was also carried out for two models of mononuclear Co2+ complexes in order to obtain a set of initial parameters for fitting the experimental magnetic curves using the Phi program. Moreover, direct CAS(12,10)/def2-TZVP calculations of the magnetic dependences χT(T) and M(H) were performed, which satisfactorily reproduced the experimental ones.
1. Introduction
Among the various strategies developed to create magnetic systems, the metal–radical approach has yielded successful results. This approach, proposed by Andrea Caneschi, Dante Gatteschi, Roberta Sessoli, and Paul Rey [1], aims at obtaining strong direct magnetic metal–ligand exchange interactions by coordinating paramagnetic metal ions with stable free radicals. Such a strategy has been employed to obtain magnetic systems with incredibly strong couplings. In some cases, the interaction can propagate in one, two, or even three directions [2], giving rise to molecular systems with cooperative magnetic behavior [3,4,5,6,7]. The presence of strong exchange interactions between metal ions and organic radicals in coordination compounds makes them attractive for the design of molecular magnetic materials [8,9]. This is especially true for the low-dimensional magnets: single-molecule magnets (SMMs) [10] and single-chain magnets (SCMs) [11,12,13] since the stronger the spin coupling, the lower the under-barrier magnetization tunneling [14,15].
Antiferromagnetically coupled spins in polynuclear complexes of paramagnetic metal ions [16] and π-conjugated organic radicals [3,17] can be organized in different topological forms: triangular [18]; butterfly-like [13,19,20,21]; tetrahedral; or cubane structures. Therefore, such materials offer plentiful opportunities to describe competing interactions, where two adjacent spins are forced to be parallel despite antiferromagnetic coupling. A molecule with a degenerate ground state is called spin-frustrated. The versatility of molecular magnetic materials could be greatly improved by the use of heterospin systems consisting of paramagnetic metal ions in combination with organic free radical bridging ligands [22,23,24,25,26].
Among the 3d metals, coordination compounds of Mn(II) with stable organic radicals are of most interest due to the presence of five unpaired electrons in the metal cation. However, the Mn2+ ion is magnetically isotropic, whereas the Co2+ ion is anisotropic in an idealized octahedral environment due to the partially unquenched orbital moment L [27]. In the family of organic radicals, most of which are unstable in the air [17,28,29], the nitronyl nitroxide radicals 2-(S)-4,4,5,5-tetramethyl-4,5-dihydro-1H-imidazol-1-oxy-3-oxide (NNS), where S is a substituent, are the most extensively used due to their outstanding persistence, ease of chemical modification, and ability to perform a bridging function linking two metal ions [30,31,32]. As ligands, NNRs are weak donors owing to their weak Lewis-base nature. In order to promote coordination, strong electron-withdrawing groups, such as the hfac anion (hfac = hexafluoroacetylacetonato), are employed to increase the acidity of a metallic ion.
The diradical 2,2′-bis(1-oxyl-3-oxide-4,4,5,5-tetramethyl-imidazolinyl) (BN) (Scheme 1), which was first described by Ullman et al. [33] and thereafter, fully examined magnetically by Paul Rey et al. [34]. They found that the spins of the monoradicals in BN are strongly coupled with an exchange constant 2J1 = –311 cm−1. Further, BN was used to synthesize a Ni2+ compound [35], representing a mononuclear complex of the bidentate chelating radical BN [Ni2(hfac)4(BN)(H2O)2] hydrogen-bonded to the [NiII(hfac)2(H2O)2] moiety [35] (J2 = J3= −236.3 cm−1), as well as a binuclear complex [(hfac)MnII(BN)MnII(hfac)] with bis-bidentate BN [36]. Since then, no coordination compounds of other transition metals with BN have been described. Herein, we report the synthesis and characterization of a new binuclear complex of bridging bischelate diradical BN, representing a spin-frustrated system consisting of cobalt(II) bis(hexafluoroacetylacetonate) and BN. A butterfly-like spin arrangement was found in this binuclear system.
Scheme 1.
The diradical 2,2′-bis(1-oxyl-3-oxide-4,4,5,5-tetramethyl-imidazolinyl) (BN).
2. Materials and Methods
2.1. Instrumental and Physical Measurements
Elemental (C,H,N) analysis was performed on a Euro-Vector 3000 analyzer (Eurovector, Redavalle, Italy). FTIR spectra were registered with a NICOLET spectrophotometer (Thermo Electron Scientific Instruments LLC, Madison, WI, USA) in the 4000–400 cm−1 range. Powder X-ray diffraction (PXRD) measurements were conducted at room temperature using Cu-Kα radiation (λ = 1.5418 Å) on a Shimadzu XRD-7000 diffractometer (Shimadzu, Kyoto, Japan). The magnetic properties of the compound were studied using a Quantum Design MPMS 5XL SQUID magnetometer (Quantum Design, Inc., San Diego, CA, USA) in the temperature range of 1.8–300 K and under a magnetic field of up to 50 kOe. The magnetic susceptibility was corrected for the diamagnetic contribution calculated from Pascal’s constants [37]. Ultra-low temperature (>1.8 K) magnetization measurements on single crystals were performed using a μ-SQUID array [38].
Single-crystal XRD experimental details are presented in Table S1 (Supplementary Materials). Crystallographic data were deposited with the Cambridge Crystallographic Data Centre (deposit number CCDC 2366221).
2.2. Theoretical Calculations
Quantum chemical study was fulfilled using crystallographic geometry. Magnetic exchange J integrals calculations by both broken-symmetry [39] DFT (BS-DFT) and ab initio CAS/NEVPT2 methods with def2-TZVP basis and def2-TZVPP basis set for Co were performed by means of the ORCA-6.0 software package [40,41]. Fitting of the experimental χT(T) and M(H) dependences to obtain optimal parameters of employed spin–Hamiltonian was carried out using the PHI 3.16 package [42].
2.3. Preparations
Solvents of the reagent grade (EKOS-1, Moscow, Russia) were distilled prior to use. The complex was synthesized under ambient conditions. The diradical 2,2′-bis(1-oxyl-3-oxide-4,4,5,5-tetramethyl-imidazolinyl) (BN) was synthesized according to a literature procedure [34].
Synthesis of {(hfac)2CoII(BN)CoII(hfac)2}
A powder of [Co(hfac)2(H2O)2]·2H2O [43] (54.5 mg, 0.05 mmol) was stirred in n-heptane (30 mL) at boiling until the volume of the solution was reduced by half to remove H2O by means of azeotrope formation. A diradical (8 mg, 0.025 mmol) solution in methylene chloride (5 mL) was added to the warm heptane solution of [Co(hfac)2]. The dark brown reaction mixture was stirred at ~40 °C to partially remove CH2Cl2 and then filtered into a vial of a suitable volume. The vial was tightly closed with a white rubber stopper and placed in a dark place. After a few days, due to the slow pumping of the CH2Cl2 vapors through a stopper material, most of the complex crystallized, and it was decanted by removing the slightly colored mother liquor. The dark crystals were rinsed with a small amount of heptane and air-dried. Visual examination of the crystalline sample under a microscope revealed its high homogeneity. Yield 31.5 mg (95%) Anal Calcd. for C34H28Co2F24N4O12 (mass. %): C, 32.43; H, 2.24; N, 4.45; found: C, 32.52; H, 2.2; N, 4.5. IR spectrum (KBr, ν, cm−1): 1260, 1655, 3005.
3. Results and Discussion
3.1. Synthesis and Characterization
It should be noted that for the synthesis of {(hfac)2CoII(BN)CoII(hfac)2}, we applied a general approach commonly used for complexes of metal hexafluoroacetylacetonates with nitronyl nitroxides, requiring recrystallization of the final product obtained as powder from heptane–CH2Cl2 solution. However, we were able to avoid the second step, recrystallization, by finding conditions for a slow evaporation of the mother liquor. A simple tool, a white rubber stopper, was used to slowly absorb the remaining dichloromethane from the reaction mixture. This allowed to obtain the substance in the form of nicely faceted crystals without any admixture of starting products. Such a method of synthesis yields in a pure complex using small amounts of the precursors. Since our complex turned out to be isostructural to the previously studied manganese analog [36], its IR spectrum is very close to the latter.
The composition of the main fraction of the complex was confirmed by elemental analysis, and its phase purity was proved by powder X-ray diffraction patterns presented in Figure S1.
3.2. Crystal and Molecular Structure
The crystal and molecular structure of the complex (Figure 1) was determined by single-crystal X-ray diffraction (SCXRD). As for the Mn congener, the complex molecular structure of BN in {(hfac)2CoII(BN)CoII(hfac)2} is very close to that stated for the free diradical [34]. The length of the C—C bond between the two five-membered heterocycles of 1.452(4) Å is almost the same as for the free ligand (1.439(3) Å, considering the temperature difference in the X-ray diffraction experiment). The dihedral angles between the two nitronyl nitroxide radical planes in the complex are ~53°, which are slightly smaller than those in uncoordinated BN [34]. These similarities suggest that the diradical ligand forms the binuclear complex with little structural variation. This implies that the magnetic interaction between the two radical centers in BN should be minimally altered by complexation. It should be emphasized that cobalt ions have a non-equivalent pseudo-octahedral environment, with the equatorial octahedron’s planes being practically perpendicular to each other, with a plane-to-plane twist angle of 92.35°.
Figure 1.
Molecular structure of the complex–H and F atoms are omitted for clarity: (a) front view; (b) side-view demonstrating the twisting of two five-membered heterocycles in a diradical moiety.
3.3. Magnetic Studies
3.3.1. SQUID Magnetometry at 2–300 K
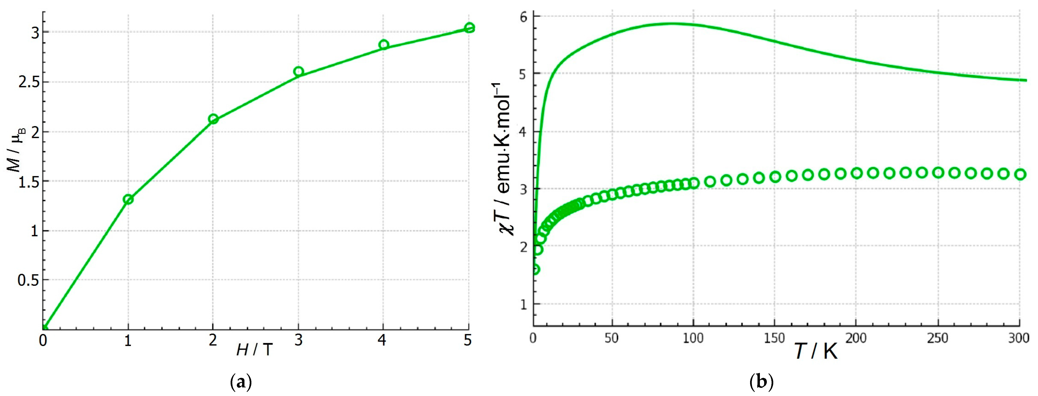
The temperature dependence of susceptibility for a randomly oriented polycrystalline sample of the complex is presented in Figure 2 as a χT vs. T plot. From room temperature up to 200 K, the χT value varies slightly around ~3.3 emu K mol−1. This value is much lower than the value of χT = 4.5 emu K mol−1 for non-interacting spins in the high-spin octahedral Co(II) complex with averaged g = 2 (2 × 1.875 emu K mol−1 for two Co2+ with S = 3/2 and 2 × 0.375 for two spins of 1/2 for two noninterected nitronyl nitroxides). However, assuming that all spins are involved in a strong antiferromagnetic coupling so that the resulting spin of the complex could be equal to 2, then χT (g = 2) should be equal to 3.0 emu K mol−1, which is close to the experimental value. Further, the plot decreases, reaching 1.6 emu K mol−1 at 2 K.
Figure 2.
Temperature dependence of χT product at H = 0.1 T.
To probe the spin value of the magnetic system ground state, the field dependence of the magnetization was studied at a temperature of 2 K (see Figure 3). At the field of 5 T, the magnetization value of 3.05 µB demonstrates that M(H) does not really reach a saturation value of ~4 µB, as expected for four unpaired electrons. Such a low value at H = 5 T may indicate both the presence of strong antiferromagnetic interactions and the manifestation of magnetic anisotropy associated with spin–orbit coupling in Co centers. These results are in agreement with the literature data for the Co-NIT systems [9,11,20,21,27,44,45].
Figure 3.
Magnetization curve measured at 2.8 K.
3.3.2. Micro-SQUID Magnetic Measurements at Extremely Low Temperatures
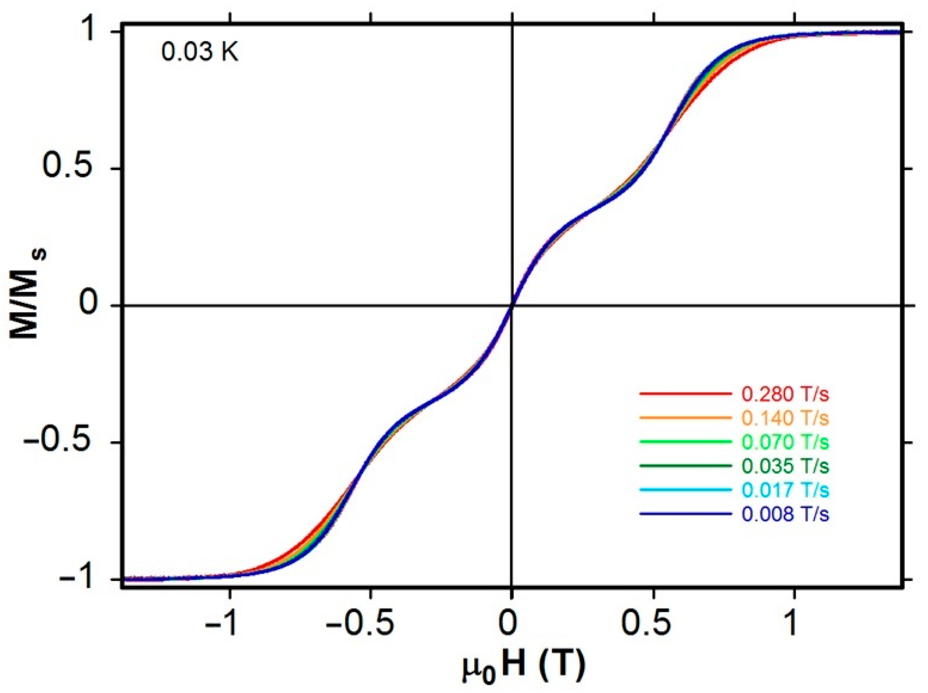
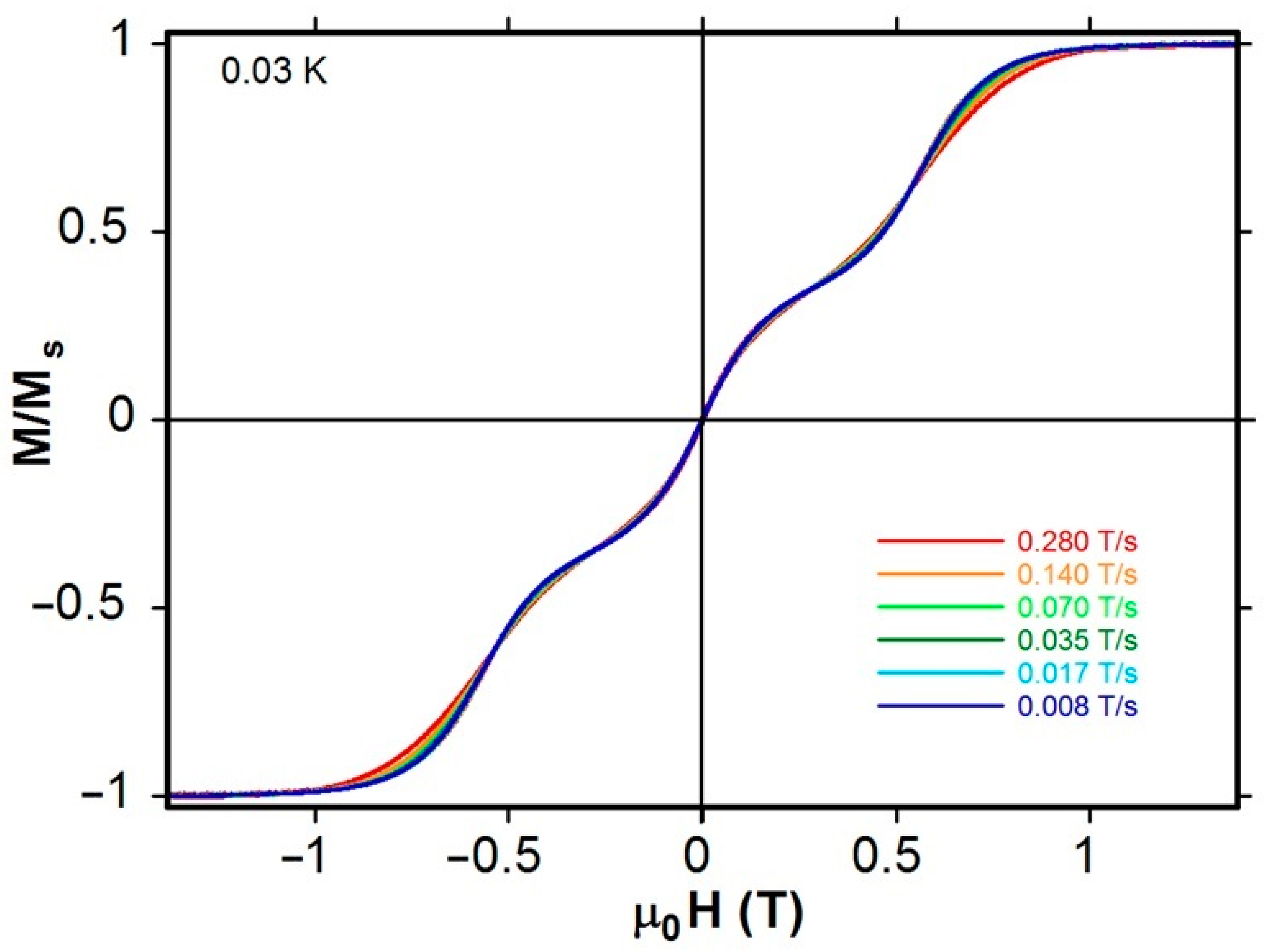
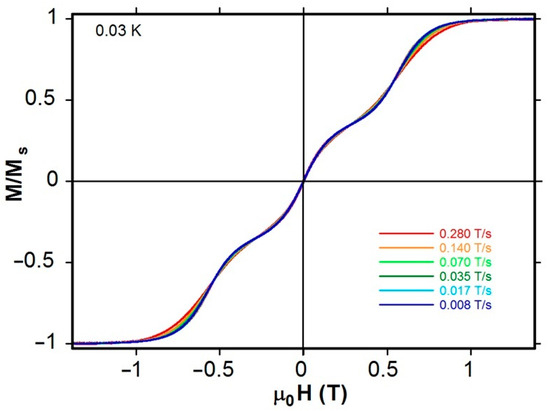
By means of an in-house-made μ-SQUID system, additional M versus H data down to 30 mK (Figure 4 and Figure S2) have been collected from single crystals. As shown in Figure 4 for {(hfac)2CoII(BN)CoII(hfac)2}, the M/Ms (Ms is a saturation field) versus H magnetization curves have no hysteresis below 1.4 K (Figure S2). An interesting feature of the M(H) plot at temperatures below 0.4 K (Figure 4 and Figure S2) is the presence of a step, which, according to the ab initio calculations performed and discussed below, correlates with the energy gap of 0.69 cm−1 (Table S2) between the main and the first excited singlet levels. Their mixing by the applied magnetic field determines exactly this shape of the magnetization plot.
Figure 4.
Field dependences of the normalized magnetization measured at different sweep rates at 0.03 K from a single crystal of {(hfac)2CoII(BN)CoII(hfac)2}.
3.4. Magnetic Behavior Modeling and Theoretical Calculations
3.4.1. Theoretical Model and Exhaustive Parameter Set Required for Magnetic Data Simulation
The studied dimeric complex of cobalt is a rather complex system in magnetic terms. This is due to the fact that the modeling of its magnetic behavior requires a set of numerous parameters that must be varied during the fitting. In addition to the set of magnetic exchange interactions (J) shown in Scheme 2, other parameters for describing the magnetic contributions of the metal centers are needed to accurately describe the system consisting of two high-spin Co2+ ions in a non-equivalent pseudo-octahedral coordination environment. These include the spin–orbit coupling parameter, λ, two parameters, B2(0) and B2(2), describing the octahedral crystal field, and in the case of non-equivalent Co2+ ions, each of them requires a double set of these parameters.
Scheme 2.
Magnetic exchange interactions in complex {(hfac)2CoII(BN)CoII(hfac)2}.
In addition, as mentioned in the description of the molecular structure of {(hfac)2CoII(BN)CoII(hfac)2}, the local coordinate axes of the two coordination polyhedra are not parallel. Since the bridging biradical is not planar, mirror symmetry is not realized in this butterfly-like molecule because the equatorial planes of the two octahedrons are practically perpendicular to each other. Consequently, in order to bring the coordination environments for both Co centers to a common molecular coordinate system, it is necessary to perform the unitary transformation from the molecular coordinate system to the local ones [46,47]. However, the latter would not be accurate due to the mismatch of bond lengths and angles between the corresponding bonds for Co1 and Co2. Moreover, the use of the set of variables consisting of the two crystal field parameters and one spin–orbit coupling parameter per each cobalt ion will contribute to overparameterization. For the same purpose, we do not take into account the Co–Co superexchange interaction since it should be much smaller than JN and JCoN, as it usually does not exceed 10 cm−1 for the studied cobalt (II) compounds [48,49,50,51,52].
3.4.2. Description of Spin–Hamiltonians Used in Theoretical Calculations
The following spin–Hamiltonian was used to find the magnetic exchange coupling constant, JN, in the bridging diradical BN.
Ĥ = −2JN ŜN1·ŜN2
To describe the Co2+ spin system, we used the Griffith Hamiltonian [53,54] , which takes into account the spin–orbit interaction of S = 3/2 with the fictitious orbital triplet L = 1 and the octahedral crystal field Hamiltonian of the Co2+ ion, containing the orbital spin operators and :
Unlike a true orbital momentum, the fictitious orbital angular momentum L = 1 enters all expressions in the Griffith Hamiltonians in combination with the orbital reduction factor σ = −3/2κ, where κ is the so-called covalence parameter (0 < κ < 1), which is assumed to be equal to 1 for an isolated Co2+ ion. In the literature [55], other designations for the crystal field parameters are sometimes used: ∆ax = 3B2(0)σ2—the axial field parameter, and ∆rh = B2(2)σ2—the rhombic field parameter.
The full spin–Hamiltonian for the complex {(hfac)2CoII(BN)CoII(hfac)2} can then be represented as
where are the Griffith spin–Hamiltonians (2) of Co ions; is the exchange integral of the interaction of Co2+ ions with the total spin of BN; is the exchange integral of the interaction between spins in BN. Strictly speaking, the exchange integrals between different pairs of Co2+ and BN may differ, as well as the geometric parameters of the crystal field of two Co2+ ions. However, this aspect is neglected in this paper.
3.4.3. Estimation of the Exchange Integral JN
To estimate the value of the magnetic exchange interaction (JN) between the spins in BN, quantum chemical DFT calculations were performed for the biradical fragment, preserving its geometry from the complex crystal structure. The results of the broken symmetry (BS) DFT calculations of the exchange integrals using the spin–Hamiltonian (1) are summarized in Table 1.
Table 1.
2JN value for the BN-fragment calculated with def2-TZVP DFT basis sets.
It is obvious that the obtained JN values are somewhat overestimated in comparison with those previously found for the free BN [34] (J = −155 cm−1) and the Mn(II) binuclear complex (J = −283 cm−1) [36], where the BN performs a bridging function. To refine the JN values, an ab initio calculation of the lowest singlet–triplet gap G was performed using the CASSCF/NEVPT2 method on the def2-TZVP basis. According to the spin–Hamiltonian (1) G = 2JN. The obtained JN values are listed in Table 2.
Table 2.
JN values for the BN-fragment obtained by means of CASSCF using def2-TZVP basis sets.
3.4.4. Initial Parameters Calculation for Fitting Experimental Magnetic Data Using Model Molecular Complexes
For the studied binuclear complex with four paramagnetic centers, the spin–Hamiltonian (4) requires the determination of six parameters: . To obtain a preliminary estimate of these parameters, a series of CASSCF/NEVPT2 calculations were performed for model complexes with a smaller number of spins. In the first step, a bischelate fragment of Co(hfac)2 was excluded from the binuclear complex, and in both coordinated nitroxyl groups of BN, the nitrogen atom was replaced by a carbon atom while keeping the geometric parameters. Such a technique was used to obtain a model mononuclear complex [(hfac)2Co(DD)], where DD is a diamagnetic analog of BN (Figure 5, left).
Figure 5.
Mononuclear model complexes with a diamagnetic [(hfac)2Co(DD)] (left) and monoradical [(hfac)2Co(DP)] (right) analogs of BN.
For the [(hfac)2Co(DD)] complex, a CAS(7,5)/QDPT-NEVPT2 calculation of 10 quartets and 40 doublets was performed. In addition, an analysis was performed on the resulting set of 12 levels corresponding to the splitting of the lowest Co2+ multiplet 4T1g. A simulation of the relative arrangement of all 12 levels at the fixed value λ = −180 cm−1 yielded two optimal sets of crystal field parameters in cm−1: B2(0) = 293, B2(2) = −173 and B2(0) = −302, B2(2) = −11, with almost the same approximation quality for both sets.
In the second step, for further refinement of the spin–Hamiltonian parameters, a model complex [(hfac)2Co(DP)] (Figure 5, right) with two paramagnetic centers was used. This was achieved by replacing a nitrogen atom with a carbon atom in only one uncoordinated N-O group. This was performed to estimate the exchange interaction between the Co2+ ion and a monoradical species. For [(hfac)2Co(DP)], the interaction of the lowest Co2+ multiplet 4T1g and a spin doublet of DP results in 24 levels, for which CAS(10,8)/NEVPT2 calculation was performed, finding a total of 7 quintets, 10 triplets, and 5 singlets. Then, using the spin–Hamiltonian H = HCo − 2JCoNSCo∙SN, where HCo was taken from Equation (2), a fitting of the obtained 24 levels at a fixed λ = −180 cm−1 was carried out, yielding the following parameters (in cm−1): B2(0) = 293, B2(2) = −173, JCoN = −53 and B2(0) = −302, B2(2) = −11, JCoN = −95. The quality of the approximation for these two sets differs slightly in favor of the case where B2(0) > 0.
The final analytical step of the model complexes was the study of a mononuclear complex [(hfac)2Co(BN)] involving three paramagnetic centers: Co2+ and two NN radicals of BN. In this case, the interaction of the Co2+ ion multiplet 4T1g and two spin doublets of single nitroxyl radicals of BN results in low 48 levels, according to a CASSCF/NEVPT2 calculation. The latter was performed using the CAS(11,8)/NEVPT2 procedure with a total of 6 sextets, 14 quartets, and 8 doublets found. Then, at λ = −180 cm−1, the fitting of the obtained 48 levels was carried out using the spin–Hamiltonian, taking into account the two exchange interactions: H = HCo − 2JCoNSCo(SN1 + SN2) − 2JNSN1∙SN2, where HCo corresponds to Hamiltonian (2), giving the next two sets of parameter values (in cm−1):
- Set 1 – B2(0) = 293, B2(2) = −173, JCoN = −31, JN = −122;
- Set 2 – B2(0) = −302, B2(2) = −11, JCoN = −54; JN = −186.
Note that the approximation accuracy for the positions of the obtained levels was higher for the parameter set with B2(0) > 0. For greater clarity, all parameters obtained during the calculation of the model complexes are summarized in Table 3.
Table 3.
The sets of Hamiltonian parameters (in cm−1) calculated at a fixed value of λ = −180 cm−1.
3.4.5. Experimental Magnetic Data Simulations for {(hfac)2CoII(BN)CoII(hfac)2} Using PHI Program
Simulations of the experimental plots χT(T) and M(H) for the binuclear complex {(hfac)2CoII(BN)CoII(hfac)2}, comprising four paramagnetic centers, were performed at a fixed value of λ = −180 cm−1 using both Set 1 and Set 2. However, as can be seen in Figure S3 (SM), none of the theoretical plots do not reproduce the experimental ones well. Therefore, an additional variation in the parameters is necessary to solve this problem.
Thus, we added the orbital reduction factor (σ) and zJ (mean field parameter) to a set of parameters to be varied when fitting the experimental magnetic behavior of the complex {(hfac)2CoII(BN)CoII(hfac)2}. The obtained extended Set1 and Set2 for the parameters of the spin–Hamiltonian (4) are presented in the bottom part of Table 3. The graphical results for fitting χT(T) and simulating M(H) using the extended parameter sets are shown in Figure 6. It should be noted that the approximation quality of the temperature curve χT(T) is almost the same for both sets. However, the corresponding simulation M(H) plot is still far from the experimental one, the obtained value of 0.07 for σ being unrealistically small. Hence, we took a slightly different approach. Instead of fitting χT(T) data, we performed the M(H) experimental data approximation by varying the parameters B2(0), B2(2), JCoN, JN, σ, and zJ for a set of λ values (−110, −130, −150 and −170 cm−1). Figure 7 shows the χT(T) simulation for the optimal parameter set when λ = −130 cm−1 is fixed for the case B2(0) > 0. The optimal curves corresponding to the parameter set of B2(0), B2(2), JCoN, JN, and σ for other λ values (Table 3) look very similar and have a comparable approximation quality.
Figure 6.
Simulations at λ = −180 cm−1 for the χT(T) and M(H) using the extended sets of spin–Hamiltonian parameters: (a) Set1 and (b) Set 2. Open circles are the experimental values.
Figure 7.
Simulations at λ = −130 cm−1 and B2(0) > 0 from Table 3 for (a) M(H) and (b) χT(T). Open circles are the experimental values.
To more accurately simulate the χT(T) behavior at low temperatures, a small average molecular field, zJ, was additionally introduced. The optimal values for zJ are given in the last column of Table 4. Figure 8 shows the final optimal approximation at λ = −130 cm−1 and zJ = −0.254 cm−1, which most closely reproduces the experimental χT(T) plot while giving reasonable values for the orbital reduction factor σ. It should also be noted that the optimal curves for the χT(T) dependence obtained at other values of the spin–orbit interaction parameter λ look graphically similar.
Table 4.
Best parameters (in cm−1) of the Hamiltonians (4), (3), and (2) for the cases when B2(0) > 0—upper part, and B2(0) < 0—lower part.
Figure 8.
Final fit of χT(T) for B2(0) > 0 at λ = −130 cm−1 and zJ = −0.254 cm−1, Table 4. Open circles are the experimental values.
An approximation of the field dependence M(H) was also performed for a few possible values of B2(0) < 0, resulting in the optimal parameters also shown in Table 4 (lower part). However, despite the good fitting quality for the M(H) dependence, a typical theoretical curve for χT(T) obtained with the parameter sets from Table 4 and B2(0) < 0 is far from the experimental one (Figure 9b). There is a clear difference between the theoretical and experimental values of χT(T). This discrepancy cannot be eliminated by adding any mean-field parameter zJ to the set of varying parameters in the fitting procedure. Thus, based on the approximation quality of the experimental data for χT(T) and M(H), the choice between the two values B2(0) < 0 and B2(0) > 0 was made in favor of the latter. However, there is still some uncertainty in the choice of an optimal value of λ. This fact makes it impossible to select an ideal set of parameters B2(0), B2(2), JCoN, JN, σ, zJ for a more accurate description of the magnetic behavior of the complex {(hfac)2CoII(BN)CoII(hfac)2}.
Figure 9.
A typical fit at B2(0) < 0 from Table 4 for (a) M(H) and (b) χT(T). Open circles are the experimental values.
In summary, an analysis of the totality of experimental and theoretical data, both χT(T) and M(H), testifies that for the description of the magnetic behavior of {(hfac)2CoII(BN)CoII(hfac)2}, the sets of parameters of the spin–Hamiltonian (4) with positive values of B2(0) are the most suitable (Table 4, upper part).
In particular, depending on the value of the spin–orbit coupling in Co2+, the exchange interaction JN between the spins in the diradical BN varies from −77 to −171 cm−1, while the magnetic exchange interaction of Co2+ with a monoradical of BN, JCoN, varies from −52 to −93 cm−1.
3.4.6. The Direct Ab Initio Calculation of Magnetic Dependences χT(T) and M(H)
The direct ab initio calculation of the magnetic dependences χT(T) and M(H) was carried out in the CAS(12,10)/def2-TZVP variant with finding 1, 5, 8, 8, and 5 roots for the multiplicities 9, 7, 5, 3, and 1 correspondingly. Such a choice of the number of roots for the multiplets (namely, their gradual increase in the preliminary calculations) was determined by taking into account all possible multiplets filling the energy range from 0 to 2000 cm−1. As can be seen in Figure 10, the calculated plots χT(T) capture the main trends in the temperature dependence of the experimental χT(T) and also reproduce the experimental M(H) curve.
Figure 10.
Theoretical plots (solid lines) obtained from CAS(12,10)/def2-TZVPP calculation: (a) χT(T) and (b) M(H). Open circles are the experimental values.
4. Conclusions
By an improved and simplified procedure, a binuclear complex including high-spin Co2+ ions and a bridging bis-nitronyl nitroxyl radical, BN, was obtained for the first time. According to SCXRD, the complex {(hfac)2CoII(BN)CoII(hfac)2} is isostructural to the previously studied congener {(hfac)2MnII(BN)MnII(hfac)2}.
The magnetic dependences of χT(T) and M(H) for the binuclear cobalt–diradical complex {(hfac)2CoII(BN)CoII(hfac)2} have been analyzed in the formalism of the Griffith spin–Hamiltonian. It was clearly shown that for this magnetic system, only the case of positive values of the parameter B2(0) takes place. This allowed us to determine the range of possible values for the magnetic exchange integral JCoN between Co ions and NN radicals, as well as for the magnetic exchange integral JN between monoradicals in BN. Assuming a frequently used value for the spin–orbit coupling parameter λ ~ −170 cm−1 [13], the values JCoN ~ −80 cm−1 and JN ~ −160 cm−1 could be obtained.
Supplementary Materials
The following supporting information can be downloaded at https://www.mdpi.com/article/10.3390/magnetochemistry10110082/s1, Table S1: Crystal data and single-crystal XRD experimental details; Figure S1: Powder X-Ray diffraction pattern of {(hfac)2CoII(BN)CoII(hfac)2} measured at room temperature compared to the pattern simulated from the single crystal structure measured at 150 K; Figure S2: Field dependences of the normalized magnetizations measured at a sweep rate of 0.14 T s−1 at low temperatures from single crystals of {(hfac)2CoII(BN)CoII(hfac)2}; Table S2: The first 40 levels and their energy values for {(hfac)2CoII(BN)CoII(hfac)2} obtained by ab initio calculations; Figure S3: The simulations at λ = −180 cm−1 for the χT(T) and M(H) using two different sets of spin–Hamiltonian parameters: (a) Set1 and (b) Set 2. Open circles are the experimental values.
Author Contributions
Conceptualization, K.E.V. and V.A.M.; methodology, K.E.V.; software, V.A.M.; validation, K.E.V., V.A.M. and E.V.P.; investigation, K.E.V., V.A.M., E.V.P. and W.W.; resources, K.E.V.; data curation, E.V.P. and W.W.; writing—original draft preparation, K.E.V., V.A.M. and E.V.P.; writing—review and editing, K.E.V., V.A.M., E.V.P. and W.W.; visualization, K.E.V., V.A.M., E.V.P. and W.W.; supervision, K.E.V. All authors have read and agreed to the published version of the manuscript.
Funding
This research was funded by the Ministry of Science and Higher Education of the Russian Federation, project No. 121031700313-3.
Data Availability Statement
Crystallographic data were deposited with the Cambridge Crystallographic Data Centre (deposit number CCDC 2366221). Copies of the data can be obtained free of charge via https://www.ccdc.cam.ac.uk/structures/ (accessed on 10 June 2024) (or from the Cambridge Crystallographic Data Centre, 12, Union Road, Cambridge, CB2 1EZ, UK; Fax: +44 1223 336033; e-mail: deposit@ccdc.cam.ac.uk).
Acknowledgments
We thank Checa Ruben for the magnetic data collection.
Conflicts of Interest
The authors declare no conflict of interest.
References
- Caneschi, A.; Gatteschi, D.; Sessoli, R.; Rey, P. Toward Molecular Magnets: The Metal-Radical Approach. Acc. Chem. Res. 1989, 22, 392–398. [Google Scholar] [CrossRef]
- Malrieu, J.P.; Caballol, R.; Calzado, C.J.; de Graaf, C.; Guihéry, N. Magnetic Interactions in Molecules and Highly Correlated Materials: Physical Content, Analytical Derivation, and Rigorous Extraction of Magnetic Hamiltonians. Chem. Rev. 2014, 114, 429–492. [Google Scholar] [CrossRef] [PubMed]
- Caneschi, A.; Gatteschi, D.; Laugier, J.; Rey, P.; Sessoli, R.; Zanchini, C. Preparation, Crystal Structure, and Magnetic Properties of an Oligonuclear Complex with 12 Coupled Spins and an S = 12 Ground State. J. Am. Chem. Soc. 1988, 110, 2795–2799. [Google Scholar] [CrossRef]
- Luneau, D.; Rey, P.; Laugier, J.; Belorizky, E.; Cogne, A. Ferromagnetic Behavior of Nickel(II)-Imino Nitroxide Derivatives. Inorg. Chem. 1992, 31, 3578–3584. [Google Scholar] [CrossRef]
- Caneschi, A.; Gatteschi, D.; Laugier, J.; Rey, P. Ferromagnetic Alternating Spin Chains. J. Am. Chem. Soc. 1987, 109, 2191–2192. [Google Scholar] [CrossRef]
- Caneschi, A.; Gatteschi, D.; Rey, P.; Sessoli, R. Structure and Magnetic Properties of Ferrimagnetic Chains Formed by Manganese(II) and Nitronyl Nitroxides. Inorg. Chem. 1988, 27, 1756–1761. [Google Scholar] [CrossRef]
- Ovcharenko, V.I.; Vostrikova, K.E.; Ikorskii, V.N.; Larionov, S.V.; Sagdeev, R.Z. The Low Temperature Ferromagnet Dimethanol-Bis-[2,2,5,5-Tetramethyl-1-Oxyl-3-Imidazoline-4-(3′,3′,3′-Tri Fluoromethyl-1′-Propenyl-2′-Oxyato)] Cobalt(II), CoL2(CH3OH)2. Dokl. Akad. Nauk SSSR 1989, 306, 660–662. [Google Scholar]
- Vostrikova, K.E. High-Spin Molecules Based on Metal Complexes of Organic Free Radicals. Coord. Chem. Rev. 2008, 252, 1409–1419. [Google Scholar] [CrossRef]
- Demir, S.; Jeon, I.-R.; Long, J.R.; Harris, T.D. Radical Ligand-Containing Single-Molecule Magnets. Coord. Chem. Rev. 2015, 289–290, 149–176. [Google Scholar] [CrossRef]
- Shao, D.; Wang, X. Development of Single-Molecule Magnets. Chin. J. Chem. 2020, 38, 1005–1018. [Google Scholar] [CrossRef]
- Liu, X.; Feng, X.; Meihaus, K.R.; Meng, X.; Zhang, Y.Y.-Q.Y.; Li, L.; Liu, J.J.-L.; Pedersen, K.S.; Keller, L.; Shi, W.; et al. Coercive Fields Above 6 T in Two Cobalt(II)–Radical Chain Compounds. Angew. Chem. Int. Ed. 2020, 59, 10610–10618. [Google Scholar] [CrossRef] [PubMed]
- Meng, X.; Shi, W.; Cheng, P. Magnetism in One-Dimensional Metal–Nitronyl Nitroxide Radical System. Coord. Chem. Rev. 2019, 378, 134–150. [Google Scholar] [CrossRef]
- Maryunina, K.; Nigomedyanova, D.; Morozov, V.; Smirnova, K.; Letyagin, G.; Romanenko, G.; Efimov, N.; Bogomyakov, A.; Ovcharenko, V. Ferrocenyl-Substituted Nitronyl Nitroxide in the Design of One-Dimensional Magnets. Dalt. Trans. 2024, 53, 1714–1721. [Google Scholar] [CrossRef]
- Moreno-Pineda, E.; Wernsdorfer, W. Measuring Molecular Magnets for Quantum Technologies. Nat. Rev. Phys. 2021, 3, 645–659. [Google Scholar] [CrossRef]
- Swain, A.; Sharma, T.; Rajaraman, G. Strategies to Quench Quantum Tunneling of Magnetization in Lanthanide Single Molecule Magnets. Chem. Commun. 2023, 59, 3206–3228. [Google Scholar] [CrossRef]
- Kahn, O. Molecular Magnetism; VCH: New York, NY, USA, 1993; ISBN 978-1-56081-566-2. [Google Scholar]
- Fujita, J.; Tanaka, M.; Suemune, H.; Koga, N.; Matsuda, K.; Iwamura, H. Antiferromagnetic Exchange Interaction among the Three Spins Placed in an Isosceles Triangular Configuration in 2,4-Dimethoxy-1,3,5-Benzenetriyltris(N-Tert-Butyl Nitroxide). J. Am. Chem. Soc. 1996, 118, 9347–9351. [Google Scholar] [CrossRef]
- Furui, T.; Suzuki, S.; Kozaki, M.; Shiomi, D.; Sato, K.; Takui, T.; Okada, K.; Tretyakov, E.V.; Tolstikov, S.E.; Romanenko, G.V.; et al. Preparation and Magnetic Properties of Metal-Complexes from N-t-Butyl-N-Oxidanyl-2-Amino-(Nitronyl Nitroxide). Inorg. Chem. 2014, 53, 802–809. [Google Scholar] [CrossRef]
- Barclay, T.M.; Hicks, R.G.; Lemaire, M.T.; Thompson, L.K. Synthesis, Structure, and Magnetism of Bimetallic Manganese or Nickel Complexes of a Bridging Verdazyl Radical. Inorg. Chem. 2001, 40, 5581–5584. [Google Scholar] [CrossRef]
- Wang, J.; Li, J.-N.; Zhang, S.-L.; Zhao, X.-H.; Shao, D.; Wang, X.-Y. Syntheses and Magnetic Properties of a Pyrimidyl-Substituted Nitronyl Nitroxide Radical and Its Cobalt(II) Complexes. Chem. Commun. 2016, 52, 5033–5036. [Google Scholar] [CrossRef]
- Xia, C.-C.; Zhang, X.-Y.; Zhang, C.-C.; Li, G.; Wei, H.-Y.; Wang, X.-Y. Syntheses and Magnetic Properties of a Bis-Bidentate Nitronyl Nitroxide Radical Based on Triazolopyrimidine and Its Metal Complexes. Dalt. Trans. 2023, 52, 8964–8974. [Google Scholar] [CrossRef]
- Caneschi, A.; Gatteschi, D.; Rey, P. The Chemistry and Magnetic Properties of Metal Nitronyl Nitroxide Complexes. In Progress in Inorganic Chemistry; Lippard, S.J., Ed.; John Wiley & Sons, Inc.: New York, NY, USA, 1991; pp. 331–429. ISBN 9780470166406. [Google Scholar]
- Yoshioka, N.; Irisawa, M.; Mochizuki, Y.; Kato, T.; Inoue, H.; Ohba, S. Unusually Large Magnetic Interactions Observed in Hydrogen-Bonded Nitronyl Nitroxides. Chem. Lett. 1997, 26, 251–252. [Google Scholar] [CrossRef]
- Iwamura, H.; Inoue, K.; Hayamizu, T. High-Spin Polynitroxide Radicals as Versatile Bridging Ligands for Transition Metal Complexes with High Ferri/Ferromagnetic Tc. Pure Appl. Chem. 1996, 68, 243–252. [Google Scholar] [CrossRef]
- Luneau, D.; Laugier, J.; Rey, P.; Ulrich, G.; Ziessel, R.; Legoll, P.; Drillon, M. Synthesis, Coordination and Magnetic Properties of a Novel Family of Stable Chelate Based Biradicals: Molecular Structure of a 2,2′-Bipyridine N-Oxide N-Oxyl Biradical and Its Copper(II) Complex. J. Chem. Soc. Chem. Commun. 1994, 6, 741–742. [Google Scholar] [CrossRef]
- Sanfui, S.; Usman, M.; Roychowdhury, A.; Pramanik, S.; Garribba, E.; Gómez García, C.J.; Chen, P.P.-Y.; Rath, S.P. Bridge vs Terminal Cyano-Coordination in Binuclear Cobalt Porphyrin Dimers: Interplay of Electrons between Metal and Ligand and Spin-Coupling via Bridge. Inorg. Chem. 2024, 63, 15619–15633. [Google Scholar] [CrossRef]
- Titiš, J.; Rajnák, C.; Boča, R. Magnetostructural D-Correlations and Their Impact on Single-Molecule Magnetism. Inorganics 2023, 11, 452. [Google Scholar] [CrossRef]
- Sakamoto, A.; Harada, T.; Tonegawa, N. A New Approach to the Spectral Study of Unstable Radicals and Ions in Solution by the Use of an Inert Gas Glovebox System: Observation and Analysis of the Infrared Spectra of the Radical Anion and Dianion of p-Terphenyl. J. Phys. Chem. A 2008, 112, 1180–1187. [Google Scholar] [CrossRef]
- Audier, H.E.; Milliet, A.; Leblanc, D.; Morton, T.H. Unimolecular Decompositions of the Radical Cations of Ethylene Glycol and Its Monomethyl Ether in the Gas Phase. Distonic Ions versus Ion-Neutral Complexes. J. Am. Chem. Soc. 1992, 114, 2020–2027. [Google Scholar] [CrossRef]
- Luneau, D.; Rey, P. Magnetism of Metal-Nitroxide Compounds Involving Bis-Chelating Imidazole and Benzimidazole Substituted Nitronyl Nitroxide Free Radicals. Coord. Chem. Rev. 2005, 249, 2591–2611. [Google Scholar] [CrossRef]
- Vaz, M.G.F.; Andruh, M. Molecule-Based Magnetic Materials Constructed from Paramagnetic Organic Ligands and Two Different Metal Ions. Coord. Chem. Rev. 2021, 427, 213611. [Google Scholar] [CrossRef]
- Luneau, D. Coordination Chemistry of Nitronyl Nitroxide Radicals Has Memory. Eur. J. Inorg. Chem. 2020, 2020, 597–604. [Google Scholar] [CrossRef]
- Ullman, E.F.; Boocock, D.G.B. “Conjugated” Nitronyl-Nitroxide and Imino-Nitroxide Biradicals. J. Chem. Soc. D Chem. Commun. 1969, 20, 1161–1162. [Google Scholar] [CrossRef]
- Alies, F.; Luneau, D.; Laugier, J.; Rey, P. Ullmann’s Nitroxide Biradicals Revisited. Structural and Magnetic Properties. J. Phys. Chem. 1993, 97, 2922–2925. [Google Scholar] [CrossRef]
- Maekawa, K.; Shiomi, D.; Ise, T.; Sato, K.; Takui, T. Experimental Evidence for the Triplet-Like Spin State Appearing in Ground-State Singlet Biradicals as a Key Feature for Generalized Ferrimagnetic Spin Alignment. J. Phys. Chem. B 2006, 110, 2102–2107. [Google Scholar] [CrossRef]
- Tanaka, M.; Matsuda, K.; Itoh, T.; Iwamura, H. A Spin-Frustrated System Composed of Organic Radicals and Magnetic Metal Ions. Angew. Chem. Int. Ed. 1998, 37, 810–812. [Google Scholar] [CrossRef]
- Bain, G.A.; Berry, J.F. Diamagnetic Corrections and Pascal’s Constants. J. Chem. Educ. 2008, 85, 532. [Google Scholar] [CrossRef]
- Wernsdorfer, W. Classical and Quantum Magnetization Reversal Studied in Nanometer-Sized Particles and Clusters. In Advances in Chemical Physics; Wiley: Hoboken, NJ, USA, 2001; pp. 99–190. ISBN 9780470141786. [Google Scholar] [CrossRef]
- Shoji, M.; Koizumi, K.; Kitagawa, Y.; Kawakami, T.; Yamanaka, S.; Okumura, M.; Yamaguchi, K. A General Algorithm for Calculation of Heisenberg Exchange Integrals J in Multispin Systems. Chem. Phys. Lett. 2006, 432, 343–347. [Google Scholar] [CrossRef]
- Neese, F.; Wennmohs, F.; Becker, U.; Riplinger, C. The ORCA Quantum Chemistry Program Package. J. Chem. Phys. 2020, 152, 224108. [Google Scholar] [CrossRef]
- Neese, F. Software Update: The ORCA Program System—Version 5.0. WIREs Comput. Mol. Sci. 2022, 12, e1606. [Google Scholar] [CrossRef]
- Chilton, N.F.; Anderson, R.P.; Turner, L.D.; Soncini, A.; Murray, K.S. PHI: A Powerful New Program for the Analysis of Anisotropic Monomeric and Exchange-coupled Polynuclear d- and f-block Complexes. J. Comput. Chem. 2013, 34, 1164–1175. [Google Scholar] [CrossRef]
- Tominaga, T.; Mochida, T. Trans-Diaquabis(1,1,1,5,5,5-Hexafluoropentane-2,4-Dionato-κ 2O,O′)Cobalt(II) Dihydrate. IUCrData 2017, 2, x170002. [Google Scholar] [CrossRef]
- Catala, L.; Wurst, K.; Amabilino, D.B.; Veciana, J. Polymorphs of a Pyrazole Nitronyl Nitroxide and Its Complexes with Metal(Ii) Hexafluoroacetylacetonates. J. Mater. Chem. 2006, 16, 2736. [Google Scholar] [CrossRef]
- Vostrikova, K.E.; Belorizky, E.; Pécaut, J.; Rey, P. New Chelating Nitroxide Free Radical Ligands for Heterospin-Magnetic Engineering. Eur. J. Inorg. Chem. 1999, 7, 1181–1187. [Google Scholar] [CrossRef]
- Ostrovsky, S.M.; Falk, K.; Pelikan, J.; Brown, D.A.; Tomkowicz, Z.; Haase, W. Orbital Angular Momentum Contribution to the Magneto-Optical Behavior of a Binuclear Cobalt(II) Complex. Inorg. Chem. 2006, 45, 688–694. [Google Scholar] [CrossRef] [PubMed]
- Boeer, A.B.; Barra, A.-L.; Chibotaru, L.F.; Collison, D.; McInnes, E.J.L.; Mole, R.A.; Simeoni, G.G.; Timco, G.A.; Ungur, L.; Unruh, T.; et al. A Spectroscopic Investigation of Magnetic Exchange Between Highly Anisotropic Spin Centers. Angew. Chem. Int. Ed. 2011, 50, 4007–4011. [Google Scholar] [CrossRef]
- Zorina, E.N.; Zauzolkova, N.V.; Sidorov, A.A.; Aleksandrov, G.G.; Lermontov, A.S.; Kiskin, M.A.; Bogomyakov, A.S.; Mironov, V.S.; Novotortsev, V.M.; Eremenko, I.L. Novel Polynuclear Architectures Incorporating Co2+ and K+ Ions Bound by Dimethylmalonate Anions: Synthesis, Structure, and Magnetic Properties. Inorg. Chim. Acta 2013, 396, 108–118. [Google Scholar] [CrossRef]
- Domínguez, S.; Mederos, A.; Gili, P.; Rancel, A.; Rivero, A.E.; Brito, F.; Lloret, F.; Solans, X.; Ruíz-Pérez, C.; Rodríguez, M.L.; et al. Dimer Complexes of 2,4-Toluenediamine-N,N,N′,N′-Tetraacetic Acid (2,4-TDTA) with Copper(II), Nickel(II), Cobalt(II), Zinc(II) and Manganese(II). Studies in Aqueous Solution and Solid State. X-Ray Crystal Structures of Na4[Ni2(2,4-TDTA)2]·15H2O and Na4[Cu2(2,4-TDTA)2]·20H2O. Inorg. Chim. Acta 1997, 255, 367–380. [Google Scholar] [CrossRef]
- Sakiyama, H.; Ito, R.; Kumagai, H.; Inoue, K.; Sakamoto, M.; Nishida, Y.; Yamasaki, M. Dinuclear Cobalt(II) Complexes of an Acyclic Phenol-Based Dinucleating Ligand with Four Methoxyethyl Chelating Arms—First Magnetic Analyses in an Axially Distorted Octahedral Field. Eur. J. Inorg. Chem. 2001, 2001, 2027–2032. [Google Scholar] [CrossRef]
- Clemente, J.M.; Andres, H.; Aebersold, M.; Borrás-Almenar, J.J.; Coronado, E.; Güdel, H.U.; Büttner, H.; Kearly, G. Magnetic Excitations in Tetrameric Clusters of Polyoxometalates Observed by Inelastic Neutron Scattering. Evidence for Anisotropic Exchange Interactions in Cobalt(II) Clusters. Inorg. Chem. 1997, 36, 2244–2245. [Google Scholar] [CrossRef]
- Hossain, M.J.; Yamasaki, M.; Mikuriya, M.; Kuribayashi, A.; Sakiyama, H. Synthesis, Structure, and Magnetic Properties of Dinuclear Cobalt(II) Complexes with a New Phenol-Based Dinucleating Ligand with Four Hydroxyethyl Chelating Arms. Inorg. Chem. 2002, 41, 4058–4062. [Google Scholar] [CrossRef]
- Griffith, J.S. The Theory of Transition Metal Ions; Reissue; University Press: Cambridge, UK, 2009; ISBN 978-0521115995. [Google Scholar]
- Figgis, B.N. Introduction to Ligand Fields; John Wiley & Sons Ltd., Interscience Publication: London, UK; New York, NY, USA, 1966; ISBN 9780898748192. [Google Scholar]
- Palii, A.V.; Korchagin, D.V.; Yureva, E.A.; Akimov, A.V.; Misochko, E.Y.; Shilov, G.V.; Talantsev, A.D.; Morgunov, R.B.; Aldoshin, S.M.; Tsukerblat, B.S. Single-Ion Magnet Et4N[CoII(Hfac)3] with Nonuniaxial Anisotropy: Synthesis, Experimental Characterization, and Theoretical Modeling. Inorg. Chem. 2016, 55, 9696–9706. [Google Scholar] [CrossRef]
Disclaimer/Publisher’s Note: The statements, opinions and data contained in all publications are solely those of the individual author(s) and contributor(s) and not of MDPI and/or the editor(s). MDPI and/or the editor(s) disclaim responsibility for any injury to people or property resulting from any ideas, methods, instructions or products referred to in the content. |
© 2024 by the authors. Licensee MDPI, Basel, Switzerland. This article is an open access article distributed under the terms and conditions of the Creative Commons Attribution (CC BY) license (https://creativecommons.org/licenses/by/4.0/).











