A Cost-Effective Novel Biochemical Fertilizer for Better Managing Nutrient Levels and Vegetative Growth in the Immature Oil Palm (Elaeis guineensis Jacq.)
Abstract
:1. Introduction
2. Materials and Methods
2.1. Planting of Seedlings during Pre-Nursery
2.2. Field Trial Site and Research Setup
2.3. Sampling and Chemical Analysis of Soils
2.4. Sampling and Nutrient Analysis of Leaflet and Rachis
2.5. Vegetative Measurements
2.6. Data Treatment
2.7. Statistical Analyses
3. Results
3.1. Chemical Levels of the Pre-Treatment Soil Samples
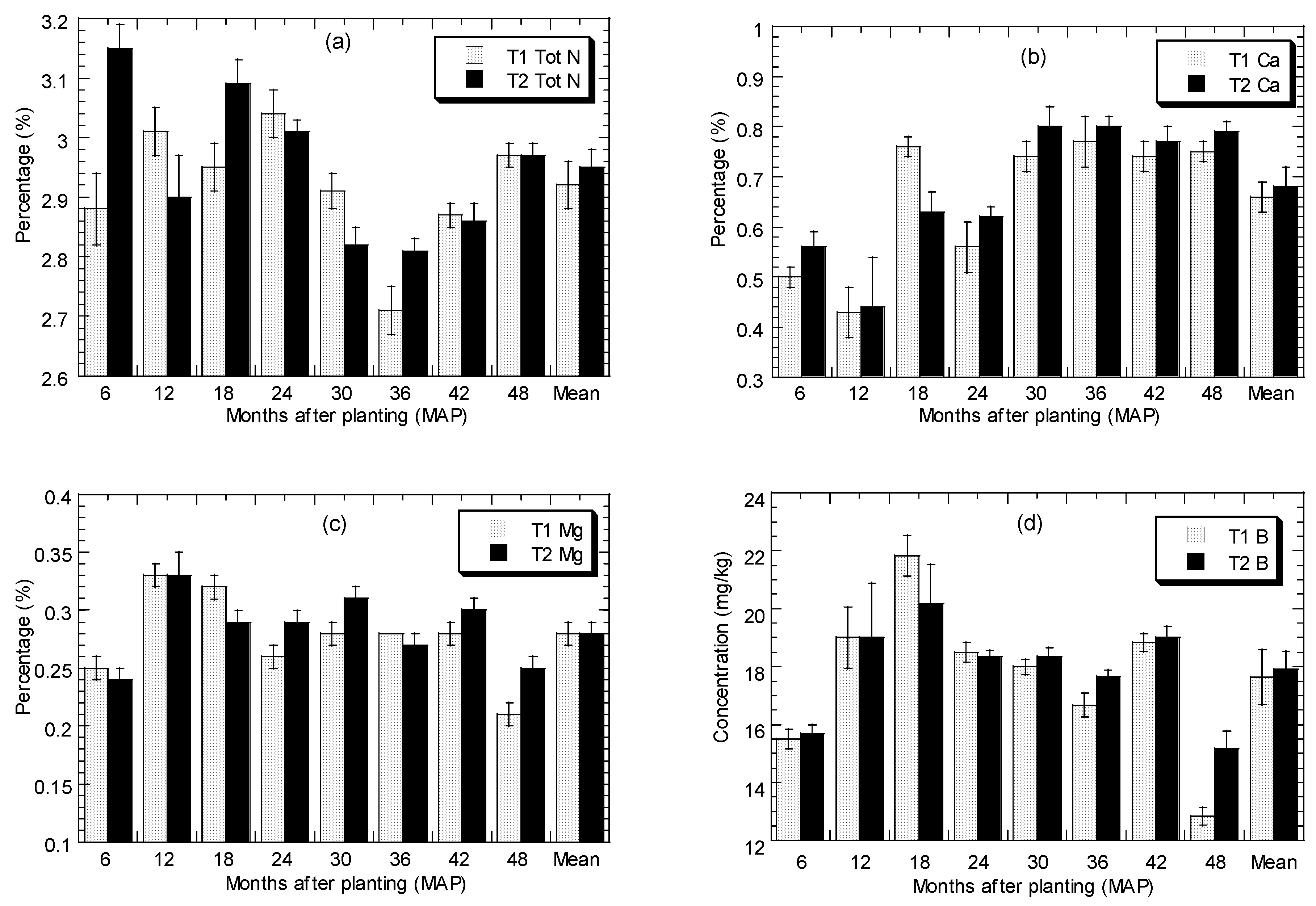
3.2. Variations of Nutrient Concentrations (N, P, K, Ca, Mg and B) in the Leaflets of Fronds
3.2.1. Concentrations of Na, Ca, Mg and B in the Leaflets
Sodium
Calcium
Magnesium
Boron
3.2.2. P and K in the Leaflets (Critical P) and Rachis of Oil Palm
Phosphorus
Potassium
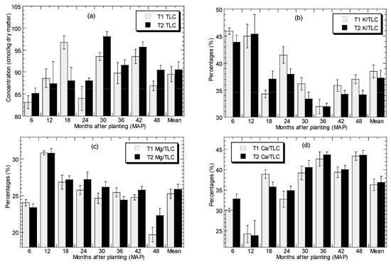
3.2.3. Total Leaf Cations: K, Mg and Ca
3.3. Variations of Vegetative Parameters in Oil Palms
3.4. Relationship between Tissue Nutrients and Vegetative Growth between T1 and T2
Multiple Linear Stepwise Regression Analysis and Correlation Analysis
4. Discussion
4.1. ‘Optimum’ or ‘Excessive’ Status of Nutrient Levels in Comparison to the Guideline
4.2. Insights of Negative or Lack of Relationships between Vegetative Parameters and Leaflet Nutrients
- First: Optimal nutrient uptake in both T1 and T2
- Second: Rainfall conditions
- Third: Different distribution patterns of nutrients to build up other important parts with increasing age
4.3. Estimated Cost Saving
5. Conclusions
Supplementary Materials
Author Contributions
Funding
Institutional Review Board Statement
Informed Consent Statement
Data Availability Statement
Acknowledgments
Conflicts of Interest
References
- Purwanto, O.D.; Faustina, E.; Shintarika, F. Roles and optimisation rate of potassium fertiliser for immature oil palm (Elaeis guineensis Jacq.) on an Ultisol soil in Indonesia. J. Agric. Rural Develop. Trop. Subtrop. 2018, 119, 13–22. [Google Scholar]
- Ng, S.K. Review of oil palm nutrition and manuring. Scope for greater economy in fertilizer usage. Oleagineux 1977, 32, 197–209. [Google Scholar]
- Ng, S.K. Greater Productivity of the Oil Palm (Elaeis guineensis Jacq.) with Efficient Fertilizer Practices. In Proceedings of the 9th Congress International Potash & Phosphate Institute, Landshut, Germany, 19 May 1979; pp. 357–376. [Google Scholar]
- Amirruddin, A.D.; Farrah Melissa, M.; Tan, N.P.; Daljit Singh, K.S.; Martini, M.Y. Nitrogen effects on growth and spectral characteristics of immature and mature oil palms. Asian J. Plant Sci. 2017, 16, 200–210. [Google Scholar] [CrossRef]
- Broschat, T.K. Palm Nutrition and Fertilization. HortTechnology 2009, 19, 690–694. [Google Scholar] [CrossRef]
- Mengel, K.; Kirkby, E.A. Principles of Plant Nutrition; International Potash Institute: Basel, Switzerland, 1987. [Google Scholar]
- Goh, K.J. Fertilizer recommendation systems for oil palm: Estimating the fertilizer rates. In Proceedings of the MOSTA Best Practices Workshops: Agronomy and Crop Management, 27 March–14 August 2004; Soon, C.P., Pau, T.Y., Eds.; Malaysian Oil Scientists’ and Technologists’ Association (MOSTA): Kuala Lumpur, Malaysia, 2005; pp. 235–268. [Google Scholar]
- Chew, P.S.; Tan, Y.P. MOSTA Best Practices Workshops 2004, Proceedings of the Agronomy and Crop Management, Kuala Lumpur, Malaysia, 27 March–14 August 2004; Malaysian Oil Scientists’ and Technologists’ Association (MOSTA): Kuala Lumpur, Malaysia, 2005; p. 546. [Google Scholar]
- Fairhurst, T.H.; Mutert, E. Interpretation and Management of Oil Palm Leaf Analysis Data. Better Crops Int. 1999, 13, 1. [Google Scholar]
- Goh, K.; Teo, C. Agronomic principles and practices of fertilizer management of oil palm. In Agronomic Principles and Practices of Oil Palm Cultivation; Goh, K., Chiu, S., Paramananthan, S., Eds.; Agricultural Crop Trust: Petaling Jaya, Malaysia, 2008; pp. 241–318. [Google Scholar]
- Tohiruddin, L.; Tandiono, J.; Silalahi, A.J.; Prabowo, N.E.; Foster, H.L. Effects of N, P and K fertilizers on leaf trace element levels of oil palm in Sumatra. J. Oil Palm Res. 2010, 22, 869–877. [Google Scholar]
- Goh, K.J.; Chew, P.S. Managing soils for plantation tree crops. 1. General soil management. In Course on Soil Survey and Managing Tropical Soils; Paramanathan, S., Ed.; MSSS and PASS: Kuala Lumpur, Malaysia, 1995; pp. 228–245. [Google Scholar]
- Goh, K.J.; Chew, P.S.; Kee, K.K. Spatial soil fertility in mature oil palm agroecosystem and its implications on fertiliser management. In Proceedings of the Soil Science Conference of Malaysia, Langkawi, Kedah, 17–19 April 1995; Aminuddin, B.Y., Ismail, A.B., Ahmad, A.R., Ghazali, M.Z., Eds.; Malaysian Society of Soil Science: Kuala Lumpur, Malaysia, 1996. [Google Scholar]
- Goh, K.J.; Kee, K.K.; Chew, P.S. Soil fertility status of some common soils in Sabah, Malaysia. In Proceedings of the Soil Science Conference of Malaysia, Penang, Malaysia, 19–21 April 1993; Aziz, B., Amir Husni, M.S., Eds.; Malaysian Society of Soil Science: Kuala Lumpur, Malaysia, 1998; pp. 1–16. [Google Scholar]
- Goh, K.J.; Chew, P.S.; Teoh, K.C. Ground magnesium limestone as a source of magnesium for mature oil palm on sandy soil in Malaysia. In Proceedings of the 1998 International OP Conference on Commodity of the Past, Today and Future, Nusa Dua, Indonesia, 23–25 September 1998; Jatmika, A., Bangun, D., Asmono, D., Sutarta, E.S., Kabul, P., Guritno, P., Prawirosukarto, S., Wahyono, T., Herawan, T., Hutomo, T., et al., Eds.; IOPRI: Bali, Indonesia, 1999; pp. 347–362. [Google Scholar]
- Goh, K.J.; Teo, C.B.; Chew, P.S.; Chiu, S.B. Fertiliser management in oil palm: Agronomic principles and field practices. In Fertiliser Management for Oil Palm Plantations; ISP North-East Branch: Sandakan, Malaysia, 1999; p. 44. [Google Scholar]
- Goh, K.J.; Tee, B.H.; Anuar, A.R.; Woo, C.Y. Spatial yield variation of oil palm in a fertilizer response trial in Malaysia. In Proceedings of the Annual Soil Science Conference, Johor, Malaysia, 4–8 December 2000; Malaysian Society of Soil Science (MSSS): Kuala Lumpur, Malaysia, 2000. [Google Scholar]
- Goh, K.J.; Hardter, R.; Fairhurst, T. Fertilizing for maximum return. In Oil Palm: Management for Large and Sustainable Yields; Fairhurst, T., Hardter, R., Eds.; Potash & Phosphate Institute/Potash & Phosphate Institute of Canada and International Potash Institute (PPI/PPIC and IPI): Singapore, 2003; pp. 279–306. [Google Scholar]
- Corley, R.H.V.; Tinker, P.B.H. Growth, Flowering and Yield. In The Oil Palm, 4th ed.; Corley, R.H.V., Tinker, P.B.H., Eds.; Blackwell Science Ltd.: Oxford, UK, 2003; Chapter 4; pp. 89–132. [Google Scholar]
- Corley, R.; Tinker, P. Mineral Nutrition of Oil Palms. Plant. Rech. Dev. 1994, 1, 36–54. [Google Scholar] [CrossRef]
- Kee, K.K.; Goh, K.J. Efficient fertiliser management for higher productivity and sustainability in oil palm production. In Proceedings of the International Planters Conference on Higher Productivity and Efficient Practices for Sustainable Plantation Agriculture, Putrajaya, Malaysia, 26–28 June 2006; Technical Papers. Incorporated Society of Planters: Kuala Lampur, Malaysia, 2006; Volume 1, pp. 157–182. [Google Scholar]
- Breure, K. The search for yield in oil palm: Basic principles. In Oil Palm: Management for Large and Sustainable Yields; Fairhurst, T., Hardter, R., Eds.; Potash & Phosphate Institute/Potash Institute of Canada and International Potash Institute: Singapore, 2003; pp. 59–98. [Google Scholar]
- Hardter, R. A review of magnesium nutrition in oil palm. In Proceedings of the Branch Seminar on Reforming the Mindset of Plantation Management into the Next Millennium, Taiping, Malaysia, 29 July 1999. [Google Scholar]
- Goh, K.J.; Hardter, R. General oil palm nutrition. In Oil Palm: Management for Large and Sustainable Yields; Fairhurst, T., Hardter, R., Eds.; PPI/PPIC and IPI: Singapore, 2003; pp. 191–230. [Google Scholar]
- Agamuthu, P.; Broughton, W. Nutrient cycling within the developing oil palm-legume ecosystem. Agric. Ecosyst. Environ. 1985, 13, 111–123. [Google Scholar] [CrossRef]
- Tarmizi, M.A.; Mohd, T.D. Nutrient demands of Tenera oil palm planted on inland soils of Malaysia. J. Oil Palm Res. 2006, 18, 204–209. [Google Scholar]
- World Weather Online. 2019. Available online: https://www.worldweatheronline.com/kuala-lipis-weather-averages/pahang/my.aspx (accessed on 30 July 2019).
- Anderson, J.M.; Ingram, J.S.I. Tropical soil biology and fertility. In A Handbook of Methods, 2nd ed.; CAB International: Wallingford, UK, 1992; 221p. [Google Scholar]
- Zulkefli, H.; Masnon, Z.M. Soil Analysis; Laboratory Manual. Part 1. Biology Division; PORIM: Bangi, Malaysia, 1993; 63p.
- SIRIM. SIRIM Recommended Methods for Plants Analysis, 1st ed.; MS 677: PT.1-VII; SIRIM: Shah Alam, Malaysia, 1980. [Google Scholar]
- Woittiez, L.S.; Haryono, S.; Turhina, S.; Dani, H.; Dukan, T.P.; Smit, H. Smallholder Oil Palm Handbook Module 4: Fertiliser Application, 3rd ed.; Wageningen, and SNV International Development Organisation, Wageningen University: The Hague, The Netherlands, 2016; 64p. [Google Scholar]
- Zulkefli, H.; Masnon, Z.M. Plant Analysis; Laboratory Manual. Part II. Biology Division; PORIM: Bangi, Malaysia, 1993; 44p.
- Fairhurst, T.H.; Hardter, R. Oil Palm: Management for Large and Sustainable Yields; Potash & Phosphate Institute (PPI), Potash & Phosphate Institute of Canada (PPIC) and International Potash Institute (IPI): Singapore, 2003; p. 382. [Google Scholar]
- Ollagnier, M.; Ochs, R. Management of mineral nutrition in industrial oil palm plantations. Fertilizer savings. Oleagineux 1981, 36, 409–421. [Google Scholar]
- Foster, H.L. Assessment of oil palm fertilizer requirements. In Oil Palm: Management for Large and Sustainable Yields; Fairhurst, T., Hardter, R., Eds.; Potash and Phosphate Institute (PPI), Potash and Phosphate Institute Canada (PPIC) and Int. Potash Inst. (IPI): Singapore, 2003; pp. 231–257. [Google Scholar]
- Shapiro, S.S.; Wilk, M.B. An Analysis of Variance Test for Normality (Complete Samples). Biometrika 1965, 52, 591. [Google Scholar] [CrossRef]
- Ghasemi, A.; Zahediasl, S. Normality Tests for Statistical Analysis: A Guide for Non-Statisticians. Int. J. Endocrinol. Metab. 2012, 10, 486–489. [Google Scholar] [CrossRef] [PubMed]
- Mishra, P.; Pandey, C.M.; Singh, U.; Gupta, A.; Sahu, C.; Keshri, A. Descriptive statistics and normality tests for statistical data. Ann. Card. Anaesth. 2019, 22, 67–72. [Google Scholar] [CrossRef] [PubMed]
- Zar, J.H. Biostatistical Analysis, 3rd ed.; Prentice-Hall International: Hoboken, NJ, USA, 1996. [Google Scholar]
- Manly, B.F.J. Multivariate Statistical Methods: A Primer, 2nd ed.; Chapman and Hall: London, UK, 1997. [Google Scholar]
- Yap, C.K.; Rahim Ismail, A.; Ismail, A.; Tan, S.G. Analysis of heavy metal level data (Cd, Cu, Pb and Zn) in different geochemical fractions of the surface sediments in the Straits of Malacca by the use of correlation and multiple linear stepwise regression analyses. Malays. Appl. Biol. 2005, 34, 51–59. [Google Scholar]
- Yap, C.K.; Edward, F.B.; Tan, S.G. Similarities and differences of metal distributions in the tissues of molluscs by using multivariate analyses. Environ. Monit. Assess. 2009, 165, 39–53. [Google Scholar] [CrossRef] [PubMed]
- Yap, C.K.; Noorhaidah, A.; Tan, S.G. Zn concentrations in the different soft tissues of Telescopium telescopium and their relationships with Zn speciation by sequential extraction in surface sediments: A statistical multiple linear stepwise regression analysis. In Gastropods: Diversity, Habitat and Genetics; Andrea, M.B., Jamie, N.F., Eds.; Nova Science Publishers: New York, NY, USA, 2011; pp. 127–148. [Google Scholar]
- Yap, C.K.; Rahim Ismail, A. Relationships of distribution of macrobenthic invertebrates and the physico-chemical parameters from Semenyih River by using correlation and multiple linear stepwise regression analyses. Pertanika J. Trop. Agric. Sci. 2011, 34, 229–245. [Google Scholar]
- Yap, C.K.; Rahim Ismail, A.; Ismail, A.; Tan, S.G. Studies on heavy metal accumulations in green-lipped mussel Perna viridis by using multiple linear stepwise regression analysis. Pertanika J. Sci. Technol. 2003, 11, 43–55. [Google Scholar]
- Afandi, A.M.; Hamdan, A.B.; Tarmizi, A.M.; Kushairi, A.; Khairuman, H. Oil palm growth and yield as affected by densities, progenies and N fertilizer on Bengawat Soil: The preliminary results. Oil Palm Bull. 2005, 50, 14–23. [Google Scholar]
- Tao, H.-H.; Donough, C.; Gerendas, J.; Hoffmann, M.P.; Cahyo, A.; Sugianto, H.; Wandri, R.; Rahim, G.A.; Fisher, M.; Rötter, R.P.; et al. Fertilizer management effects on oil palm yield and nutrient use efficiency on sandy soils with limited water supply in Central Kalimantan. Nutr. Cycl. Agroecosyst. 2018, 112, 317–333. [Google Scholar] [CrossRef]
- Rhebergen, T.; Fairhurst, T.; Whitbread, A.; Giller, K.E.; Zingore, S. Yield gap analysis and entry points for improving productivity on large oil palm plantations and smallholder farms in Ghana. Agric. Syst. 2018, 165, 14–25. [Google Scholar] [CrossRef]
- Behera, S.K.; Rao, B.N.; Suresh, K.; Manoja, K. Soil Nutrient Status and Leaf Nutrient Norms in Oil Palm (Elaeis guineensis Jacq.) Plantations Grown on Southern Plateau of India. Proc. Natl. Acad. Sci. India Sect. B Boil. Sci. 2015, 86, 691–697. [Google Scholar] [CrossRef]
- Goh, K.J.; Chew, P.S. Interpretations of Analytical Data from Soil Survey Reports for Manuring Recommendations: Some Pointers. R. Johore Plant. Assoc. Annu. Rep. 1997, 1997, 25–30. [Google Scholar]
- Woittiez, L.S.; Turhina, S.; Deccy, D.; Slingerland, M.; VAN Noordwijk, M.; Giller, K.E. Fertiliser application practices and nutrient deficiencies in smallholder oil palm plantations in Indonesia. Exp. Agric. 2018, 55, 543–559. [Google Scholar] [CrossRef]
- Behera, S.K.; Shukla, A.K.; Suresh, K.; Mathur, R.K. Estimation of Soil Properties and Leaf Nutrients Status of Oil Palm Plantations in an Intensively Cultivated Region of India. Curr. Sci. 2019, 117, 497. [Google Scholar] [CrossRef]
- Lee, C.T.; Rahman, Z.A.; Musa, M.H.; Norizan, M.S.; Tan, C.C. Leaf nutrient concentrations in oil palm as affected by genotypes, irrigation and terrain. J. Oil Palm Environ. 2011, 2, 38–47. [Google Scholar]
- Behera, S.K.; Suresh, K.; Rao, B.N.; Manoja, K.; Manorama, K. Soil nutrient status and leaf nutrient norms in oil palm (Elaeis guineensis Jacq.) plantations grown on west coastal area of India. Commun. Soil Sci. Plant Anal. 2016, 47, 255–262. [Google Scholar] [CrossRef]
- Foster, H.L.; Prabowo, N.E. Partition and transfer of nutrients in the reserve tissues and leaves of oil palm. In Proceedings of the Workshop on Nutrient Needs in Oil Palm, Singapore, 17–18 October 2006; Potash and Phosphate Institute: Singapore, 2006. [Google Scholar]
- Uwumarongie-Iloria, E.; Sulaiman-Ilobu, B.; Ederion, O.; Imogie, A.; Ugbah, M.; Imoisi, B.O.; Garuba, N. Vegetative Growth Performance of Oil Palm (Elaeis guineensis) Seedlings in Response to Inorganic and organic fertilizers. Greener J. Agric. Sci. 2012, 2, 26–30. [Google Scholar] [CrossRef]
- Corley, R.H.V.; Mok, C.K. Effects of Nitrogen, Phosphorus, Potassium and Magnesium on Growth of the Oil Palm. Exp. Agric. 1972, 8, 347–353. [Google Scholar] [CrossRef]
- Lias, B. Oil palm NPKMg fertiliser trial (Sei Lakitan) EXPT EG00.1412A; Bah Lias Annual Report Volume 1, Bah Lias Research Station; PTPP London Sumatra Indonesia: Medan, Indonesia, 2011; pp. 89–92. [Google Scholar]
- White, P.J.; Broadley, M.R. Calcium in plants. An. bot. 2003, 92, 487–511. [Google Scholar] [CrossRef]
- Shaul, O. Magnesium transport and function in plants: The tip of the iceberg. BioMetals 2002, 15, 307–321. [Google Scholar] [CrossRef]
- Dubos, B.; Caliman, J.P.; Corrado, F.; Quencez, P.; Siswo, S.; Tailez, B. Importance of magnesium nutrition in oil palm. Plant. Recherche Dév. 1999, 6, 25–39. [Google Scholar]
- Rajaratnam, J.A. Effect of boron deficiency on the production of oil palm in Malaysia. Oléagineux 1973, 28, 329–332. [Google Scholar]
- Rajaratnam, J.A.; Lowry, J.B. The Role of Boron in the Oil-palm (Elaeis guineensis). Ann. Bot. 1974, 38, 193–200. [Google Scholar] [CrossRef]
- Gerendas, J.; Utomo, B.; Martoyo, K.; Donough, C.R.; Oberthür, T. Effect of nutrient application frequency on nutrient uptake in oil palm production on sandy soils. In Proceedings of the International Palm Oil Congress (PIPOC), Kuala Lumpur, Malaysia, 28 January 2014. [Google Scholar]
- Lee, C.T.; Abdul Rahman, Z.; Ishak, C.F.; Norizan, M.S.; Tan, C.C.; Mohd Yusif, M.S. Rachis nutrient concentrations of different oil palm genotypes as affected by irrigation and terrain. J. Oil Palm Res. 2014, 26, 146–153. [Google Scholar]
- Kraip, J.; Nake, S. Response of Oil Palm (Elaeis guineensis Jacq.) to Additions of Nitrogen, Phosphorus and Potassium from Planting to 7 Years after Planting: PNG OPRA Trial 501; Oil Palm Research Association: Kimbe, Papua New Guinea, 2006. [Google Scholar]
- Rankine, I.R.; Fairhurst, T.H. Field Handbook: Oil Palm Series, Volume 3—Mature; Potash & Phosphate Institute: Singapore, 1999. [Google Scholar]
- Ochs, R.; Olivin, J. Le diagnostic foliaire pour le controle de la nutrition des plantations de palmiers à huile: Prélèvement des échantillions foliares. Oléagineux 1977, 32, 211–216. [Google Scholar]
- Teoh, K.C.; Chew, P.S. Use of rachis K analysis as an indicator of K nutrient status in oil palm. In Proceedings of the 1987 International Oil Palm Conference, Kuala Lumpur, Malaysia, 23–26 June 1987; Halim, H.A.H., Chew, P.S., Wood, B.J., Pushparajah, E., Eds.; PORIM and Inc. Soc. of Planters: Kuala Lumpur, Malaysia, 1988; pp. 262–271. [Google Scholar]
- Braconnier, S.; Auzac, J.D. Anatomical study and cytological demonstration of potassium and chlorine flux associated with oil palm and coconut stomatal opening. Oléagineux 1985, 40, 547–551. [Google Scholar]
- Foster, H.L.; Tarmizi, A.M.; Zin, Z.Z. Foliar diagnosis of oil palm in Peninsular Malaysia. In Proceedings of the 1987 International Oil Palm Conference, Kuala Lumpur, Malaysia, 23–26 June 1987; Halim, H.A.H., Chew, P.S., Wood, B.J., Pushparajah, E., Eds.; PORIM and Inc. Soc. of Planters: Kuala Lumpur, Malaysia, 1988; pp. 244–261. [Google Scholar]
- Manurung, A.N.H.; Sudradjat, H. Optimization rate of organic and NPK compound fertilizers on second-year immature oil palm. Asian J. Appl. Sci. 2015, 3, 375–381. [Google Scholar]
- Foster, H.L.; Chang, K.C. The diagnosis of the nutrient status of oil palms in West Malaysia. In International Development in Oil Palms; Earp, D.A., Newall, W., Eds.; Incorporated Society of Planters: Kuala Lumpur, Malaysia, 1977; pp. 290–312. [Google Scholar]
- Woittiez, L.S.; Slingerland, M.; Rafik, R.; Giller, K.E. Nutritional imbalance in smallholder oil palm plantations in Indonesia. Nutr. Cycl. Agroecosyst. 2018, 111, 73–86. [Google Scholar] [CrossRef]
- Sudrajat, S.; Sukmawan, Y.; Sugiyanta, S. Influence of manure, nitrogen, phosphorus and potassium fertilizer application on growth of one-year-old oil palms on marginal soil in Jonggol, Bogor, Indonesia. J. Trop. Crop Sci. 2014, 1, 18–24. [Google Scholar] [CrossRef]
- Taiz, L.; Zeiger, E. Plant Physiology, 5th ed.; Sinauer Associates: Sunderland, UK, 2010; 690p. [Google Scholar]
- Soon, B.B.F.; Hoong, H.W. Agronomic practices to alleviate soil and surface runoff losses in an oil palm estate. Malays. J. Soil Sci. 2002, 6, 53–64. [Google Scholar]
- Afandi, A.M.; Tarmizi, A.M.; Haniff, M.H.; Zulkifli, H.; Noh, A.; Hamdan, A.B.; Hairuman, H. Dry matter production and nutrient uptake by PS1 and D×P planting materials on typic endoaquepts soil in Sabah. Oil Palm Bull. 2008, 57, 10–16. [Google Scholar]
- Moradi, A.; Sung, C.T.B.; Joo, G.K.; Hanif, A.H.M.; Ishak, C.F. Evaluation of Four Soil Conservation Practices in a Non-Terraced Oil Palm Plantation. Agron. J. 2012, 104, 1727–1740. [Google Scholar] [CrossRef]
- Moradi, A.; Teh, C.; Goh, K.; Husni, M.; Ishak, C. Decomposition and nutrient release temporal pattern of oil palm residues. Ann. Appl. Biol. 2013, 164, 208–219. [Google Scholar] [CrossRef]
- Rajaratnam, J.A.; Chan, K.W.; Goh, M.K. The foundation for selecting leaf 17 for nutrient requirements of mature oil palms. In Classification and Management of Tropical Soils; Joseph, K.T., Ed.; Malaysian Society for Soil Science: Kuala Lumpur, Malaysia, 1980. [Google Scholar]
- Hatfield, J.L.; Gitelson, A.A.; Schepers, J.S.; Walthall, C.L. Application of Spectral Remote Sensing for Agronomic Decisions. Agron. J. 2008, 100, S-117–S-131. [Google Scholar] [CrossRef]
- Baffes, J.; Koh, W.C. Fertilizer Prices Expected to Remain Higher for Longer. World Bank Blogs. 11 May 2022. Available online: https://blogs.worldbank.org/opendata/fertilizer-prices-expected-remain-higher-longer (accessed on 1 July 2022).
- DOSM (Department of Statistic Malaysia). DOSM/BPHPP/4.2022/Series 36—How Fertiliser Price Was Affected by the Global Situation. Department of Statistic Malaysia. 2022. Available online: https://www.dosm.gov.my/v1/uploads/files/6_Newsletter/Newsletter%202022/DOSM_BPHPP_4_2022_Series%2036_compressed.pdf (accessed on 3 August 2022).
- Ismail, A.; Simeh, M.A.; Noor, M.M. The Production Cost of Oil Palm Fresh Fruit Bunches: The Case of Independent Smallholders in Johor. Oil Palm Ind. Econ. J. 2003, 3, 1–7. [Google Scholar]
- The Malaysian Reserve. No Problem for RM 1500 Minimum Wage in Plantation Sector. 2022. Available online: https://themalaysianreserve.com/2022/03/15/plantation-sector-has-no-problem-to-implement-rm1500-minimum-wage/ (accessed on 1 July 2022).

) shows the sampling time for foliar analysis and vegetative measurement. MAP = Months after planting.
= T1 fertilizer application,
= T2 fertilizer application; ‘Jan = January; Jul = July’.
) shows the sampling time for foliar analysis and vegetative measurement. MAP = Months after planting.
= T1 fertilizer application,
= T2 fertilizer application; ‘Jan = January; Jul = July’.








| T1 Mean | T2 Mean | T1 Mean | T2 Mean | Behera et al. [49] | Behera et al. [49] | Tao et al. [47] | Rhebergen et al. [48] | Afandi et al. [46] | Afandi et al. [46] | Goh and Chew [50] | |
|---|---|---|---|---|---|---|---|---|---|---|---|
| WC 0–15 (N = 6) | WC 0–15 (N = 6) | WC 15–30 (N = 6) | WC 15–30 (N = 6) | Southern Plateau of India (0–20) | Southern Plateau of India (20–40) | Sandy Soils Central Kalimantan (0–20 cm) | Ghana Smallholders (WC; 0–40 cm) | Bengawat Soil (WC; 0–15 cm) | Bengawat Soil (WC; 15–30 cm) | Critical Level | |
| pH | 4.25 | 4.29 | 4.18 | 4.31 | 6.94 | 6.81 | 4.4–4.8 | 5.30 | 5.39 | 5.16 | 4.00 |
| Tot N | 0.12 | 0.10 | 0.12 | 0.10 | NA | NA | 0.22–0.26 | 0.12 | NA | NA | 0.12 |
| Org C | 2.27 | 1.98 | 2.36 | 1.85 | 1.16 | 0.786 | 3.3–3.9 | 1.21 | 1.27 | 1.05 | 1.20 |
| Tot P | 240 | 212 | 240 | 209 | - | - | NA | NA | NA | 200 | |
| Av P | 11.3 | 8.00 | 10.5 | 8.17 | NA | NA | 7–29 | 7 | 11.94 | 9.05 | 15 |
| CEC | 4.64 | 4.34 | 5.27 | 4.19 | NA | NA | NA | NA | NA | NA | 12 |
| Ex K | 0.12 | 0.10 | 0.12 | 0.10 | - | - | 0.08–0.32 | 0.117 | 0.59 | 0.39 | 0.20 |
| Ex Ca | 0.98 | 1.15 | 0.95 | 1.10 | - | - | 0.46–1.03 | NA | 16.02 | 14.20 | NA |
| Ex Mg | 0.33 | 0.39 | 0.38 | 0.35 | - | - | 0.1–0.2 | 0.82 | 6.09 | 6.04 | 0.20 |
| Ex Al | 0.49 | 0.41 | 0.53 | 0.42 | NA | NA | NA | NA | 2.11 | 2.62 | NA |
| B | 1.94 | 1.91 | 1.83 | 1.85 | NA | NA | NA | NA | NA | NA | NA |
| Canopy | T1 | Intercept | MAP | B | Mg | Tot-N | R | F | ||||||
| 1.34 | 0.99 | −0.09 | 0.06 | −0.01 | 0.99 | 1841 | ||||||||
| T2 | Intercept | MAP | K | Mg/TLC | P | Rachis-K | Critical-P | R | F | |||||
| 0.51 | 1.08 | 0.10 | −0.05 | 0.09 | 0.05 | −0.04 | 0.99 | 303 | ||||||
| Chlorophyll index | T1 | Intercept | MAP | Mg/TLC | P | Rachis-P | B | Ca/TLC | K/TLC | Mg | K | R | F | |
| 3.29 | 0.92 | 0.53 | 0.07 | −0.17 | 0.32 | −1.85 | −2.67 | −1.50 | 0.89 | 0.94 | 29.5 | |||
| T2 | Intercept | MAP | P | B | TLC | Ca/TLC | Ca | Rachis-P | K | K/TLC | Mg | R | F | |
| −7.71 | 1.46 | 0.57 | 0.00 | 10.88 | 6.26 | −14.22 | 0.20 | −8.66 | 8.24 | −2.36 | 0.91 | 17.2 | ||
| Frond length | T1 | Intercept | MAP | B | Rachis-K | P | Mg/TLC | R | F | |||||
| 775.12 | 0.81 | −0.15 | 0.09 | −0.15 | −0.08 | 0.98 | 237 | |||||||
| T2 | Intercept | MAP | Mg/TLC | Rachis-K | Ca/TLC | Ca | Rachis-P | B | R | F | ||||
| 1007.37 | 0.90 | −0.26 | 0.12 | −0.63 | 0.64 | −0.14 | −0.14 | 0.97 | 109 | |||||
| Frond no leaflets | T1 | Intercept | MAP | Mg/TLC | Rachis-P | Rachis-K | Tot-N | P | R | F | ||||
| 1.30 | 0.96 | 0.05 | −0.05 | −0.08 | 0.05 | −0.05 | 0.99 | 310 | ||||||
| T2 | Intercept | MAP | P | Critical-P | Ca/TLC | Rachis-P | R | F | ||||||
| 0.35 | 1.15 | 0.09 | 0.13 | −0.10 | 0.05 | 0.98 | 231 | |||||||
| Frond thickness | T1 | Intercept | MAP | Ca | Rachis-P | B | TLC | Ca/TLC | P | Rachis-K | R | F | ||
| −2.77 | 1.21 | −2.34 | 0.18 | −0.38 | 0.78 | 1.32 | 0.14 | −0.08 | 0.92 | 26.0 | ||||
| T2 | Intercept | MAP | K | Tot-N | K/TLC | B | Rachis-P | TLC | P | Ca/TLC | R | F | ||
| 12.11 | 0.75 | 3.76 | −0.29 | −5.28 | −0.43 | −0.23 | −1.89 | 0.16 | −0.27 | 0.9 | 18.3 | |||
| Frond width | T1 | Intercept | MAP | B | Mg/TLC | K | Rachis-P | TLC | K/TLC | R | F | |||
| 0.51 | 1.03 | −0.34 | 0.24 | 1.19 | 0.13 | −0.74 | −1.31 | 0.96 | 59.6 | |||||
| T2 | Intercept | MAP | B | K | K/TLC | Tot-N | P | R | F | |||||
| 0.92 | 0.89 | −0.27 | 0.43 | −0.35 | −0.13 | 0.12 | 0.86 | 19.6 |
| Frond Length | Frond No Leaflet | Frond Width | Frond Thickness | Chlorophyll Index | Canopy | ||
|---|---|---|---|---|---|---|---|
| MAP | T1 | 0.94 * | 0.98 * | 0.86 * | 0.79 * | 0.82 * | 0.99 * |
| T2 | 0.92 * | 0.98 * | 0.82 * | 0.80 * | 0.78 * | 0.98 * | |
| B | T1 | −0.39 * | −0.10 | −0.44 * | −0.39 * | 0.17 | −0.21 |
| T2 | −0.15 | 0.10 | −0.13 | −0.10 | 0.29 * | 0.03 | |
| Ca | T1 | 0.59 * | 0.64 * | 0.33 * | 0.24 | 0.47 * | 0.64 * |
| T2 | 0.62 * | 0.64 * | 0.47 * | 0.43 * | 0.53 * | 0.63 * | |
| Mg | T1 | −0.40 * | −0.16 | −0.32 * | −0.28 | 0.10 | −0.24 |
| T2 | −0.16 | 0.07 | −0.06 | 0.08 | 0.10 | 0.00 | |
| N | T1 | −0.18 | −0.13 | −0.20 | −0.13 | 0.01 | −0.18 |
| T2 | −0.43 * | −0.46 * | −0.56 * | −0.61 * | −0.26 | −0.53 * | |
| P | T1 | −0.78 * | −0.70 * | −0.69 * | −0.60 * | −0.46 * | −0.73 * |
| T2 | −0.54 * | −0.49 * | −0.51 * | −0.49 * | −0.22 | −0.53 * | |
| K | T1 | −0.62 * | −0.69 * | −0.45 * | −0.36 * | −0.51 * | −0.68 * |
| T2 | −0.59 * | −0.67 * | −0.46 * | −0.38 * | −0.61 * | −0.63 * | |
| Critical-P | T1 | −0.18 | −0.13 | −0.20 | −0.13 | 0.01 | −0.18 |
| T2 | −0.42 * | −0.46 * | −0.56 * | −0.60 * | −0.26 | −0.53 * | |
| Rachis-K | T1 | −0.13 | −0.32 * | −0.18 | −0.17 | −0.34 * | −0.26 |
| T2 | 0.04 | −0.17 | −0.05 | −0.07 | −0.31 * | −0.12 | |
| Rachis-P | T1 | 0.22 | 0.16 | 0.27 | 0.23 | −0.02 | 0.22 |
| T2 | 0.24 | 0.27 | 0.28 | 0.28 | 0.15 | 0.30 * | |
| Ca/TLC | T1 | 0.64 * | 0.64 * | 0.39 * | 0.29 * | 0.41 * | 0.65 * |
| T2 | 0.60 * | 0.60 * | 0.43 * | 0.34 * | 0.54 * | 0.59 * | |
| K/TLC | T1 | −0.54 * | −0.67 * | −0.34 * | −0.25 | −0.55 * | −0.64 * |
| T2 | −0.59 * | −0.69 * | −0.48 * | −0.45 * | −0.60 * | −0.65 * | |
| Mg/TLC | T1 | −0.56 * | −0.35 * | −0.37 * | −0.29 * | −0.05 | −0.42 * |
| T2 | −0.43 * | −0.20 | −0.26 | −0.13 | −0.11 | −0.27 | |
| TLC | T1 | 0.14 | 0.29 * | −0.04 | −0.08 | 0.35 * | 0.24 |
| T2 | 0.36 * | 0.45 * | 0.32 * | 0.37 * | 0.36 * | 0.44 * |
| This Study | This Study | Behera et al. [46] | Tao et al. [44] * | Tao et al. [44] * | Rhebergen et al. [45] | Afandi et al. [43] | Behera et al. [49] | Lee et al. [50] | |
|---|---|---|---|---|---|---|---|---|---|
| Leaf Nutrient | T1 | T2 | Southern Plateau of India | Sandy Soils Central Kalimantan (T1; Leaflets) | Sandy Soils Central Kalimantan (T1; Rachis) | Ghana Smallholders (Leaflets of 17th Frond) | Bengawat Soil | Godavari District (India), | FELDA Clone and FELDA D × P Planting Material Grown in Pahang, Malaysia |
| N (%) | 2.92 | 2.95 | 2.26 | 2.59/2.50 | 0.34/0.40 | 2.51 (%) | 2.53 | 0.62–3.97 | 2.49–2.81 |
| P (%) | 0.17 | 0.17 | 0.10 | 0.16/0.15 | 0.04/0.03 | 0.14 (%) | 0.12 | 0.04–0.26 | 0.16–0.18 |
| K (%) | 1.34 | 1.31 | 0.68 | 1.25/1.03 | 1.63/1.34 | 0.81 (%) | 0.78 | 0.34–1.38 | 0.96–1.20 |
| Ca (%) | 0.66 | 0.68 | 1.78 | 0.82/0.81 | NA | 0.72 (%) | 0.61 | 0.66–2.66 | 0.68–1.02 |
| Mg (%) | 0.27 | 0.28 | 0.61 | 0.22/0.24 | NA | 0.41 (%) | 0.25 | 0.10–1.03 | 0.17–0.26 |
| B (mg/kg) | 17.65 | 17.92 | 18.3 | NA | NA | 12 (mg/kg) | 12.19 | 9.55–119 | 13.7–17.3 |
| TLC (cmol/kg) | 89.65–95.58 (30 MAP) | 94.93–102.1 (MAP) | NA | NA | NA | NA | 70.95 | NA | NA |
| Age (MAP) | 6–48 | 6–48 | Unknown | 13 years old | 13 years old | < 17 years | 30.0 MAP | NA | NA |
| Year | Treatment | NOR | RM26.77/ha Per Round * | Labour Cost Saved | Contents | Formulation Ratio | Total Fertilizer Cost (RM/palm) ** | Total Fertilizer Cost (RM/ha) | Fertilizer Cost Saved |
|---|---|---|---|---|---|---|---|---|---|
| 2015 | T1 | 4 | 107.08 | 26.8 | NPK Granular | 9/9/12/4 | 8.46 | 1150 | −468.4 |
| T2 | 3 | 80.31 | UPM-BCF | 11/11/15/4 | 11.90 | 1618 | |||
| 2016 | T1 | 5 | 133.85 | 53.5 | NPK Granular | 9/9/12/4 | 15.70 | 2136 | 612.5 |
| T2 | 3 | 80.31 | UPM-BCF | 11/11/15/4 | 11.20 | 1523 | |||
| 2017 | T1 | 5 | 133.85 | 26.8 | NK 27 | 11.6/27 | 23.10 | 3142 | 440.1 |
| Kieserite | 27 MgO | 1.30 | 177 | ||||||
| 107.08 | ERP | 28% P2O5 | 1.70 | 231 | |||||
| T2 | 4 | UPM-BCF | 8.5/6.2/20/3 | 22.86 | 3109 | ||||
| 2018 | T1 | 5 | 133.85 | 26.8 | NK 27 | 11.6/27 | 23.93 | 3254 | 529.2 |
| Kieserite | 27 MgO | 1.30 | 177 | ||||||
| ERP | 28% P2O5 | 1.53 | 208.1 | ||||||
| T2 | 4 | 107.08 | UPM-BCF | 8.5/6.2/20/3 | 22.86 | 3110 | |||
| Total cost saving | 133.9 | Total cost saving | 1113.4 | ||||||
Publisher’s Note: MDPI stays neutral with regard to jurisdictional claims in published maps and institutional affiliations. |
© 2022 by the authors. Licensee MDPI, Basel, Switzerland. This article is an open access article distributed under the terms and conditions of the Creative Commons Attribution (CC BY) license (https://creativecommons.org/licenses/by/4.0/).
Share and Cite
Peng, S.H.T.; Chee, K.H.; Saud, H.M.; Yusop, M.R.; Tan, G.H. A Cost-Effective Novel Biochemical Fertilizer for Better Managing Nutrient Levels and Vegetative Growth in the Immature Oil Palm (Elaeis guineensis Jacq.). Horticulturae 2022, 8, 758. https://doi.org/10.3390/horticulturae8090758
Peng SHT, Chee KH, Saud HM, Yusop MR, Tan GH. A Cost-Effective Novel Biochemical Fertilizer for Better Managing Nutrient Levels and Vegetative Growth in the Immature Oil Palm (Elaeis guineensis Jacq.). Horticulturae. 2022; 8(9):758. https://doi.org/10.3390/horticulturae8090758
Chicago/Turabian StylePeng, Shih Hao Tony, Kheng Hoy Chee, Halimi Mohd Saud, Mohd Rafii Yusop, and Geok Hun Tan. 2022. "A Cost-Effective Novel Biochemical Fertilizer for Better Managing Nutrient Levels and Vegetative Growth in the Immature Oil Palm (Elaeis guineensis Jacq.)" Horticulturae 8, no. 9: 758. https://doi.org/10.3390/horticulturae8090758
APA StylePeng, S. H. T., Chee, K. H., Saud, H. M., Yusop, M. R., & Tan, G. H. (2022). A Cost-Effective Novel Biochemical Fertilizer for Better Managing Nutrient Levels and Vegetative Growth in the Immature Oil Palm (Elaeis guineensis Jacq.). Horticulturae, 8(9), 758. https://doi.org/10.3390/horticulturae8090758

