Effect of Titanium and Vanadium on Antioxidants Content and Productivity of Red Cabbage
Abstract
:1. Introduction
2. Materials and Methods
2.1. Vegetative Growth, Yield and Chlorophyll Content
2.2. Titanium and Vanadium Contents
2.3. Non-Enzymatic Antioxidants
2.4. Antioxidants Enzymes
2.5. Antioxidant Capacity
2.6. Statistical Analysis
3. Results
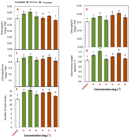
3.1. Vegetative Growth and Total Chlorophyll
3.2. Titanium and Vanadium Concentrations
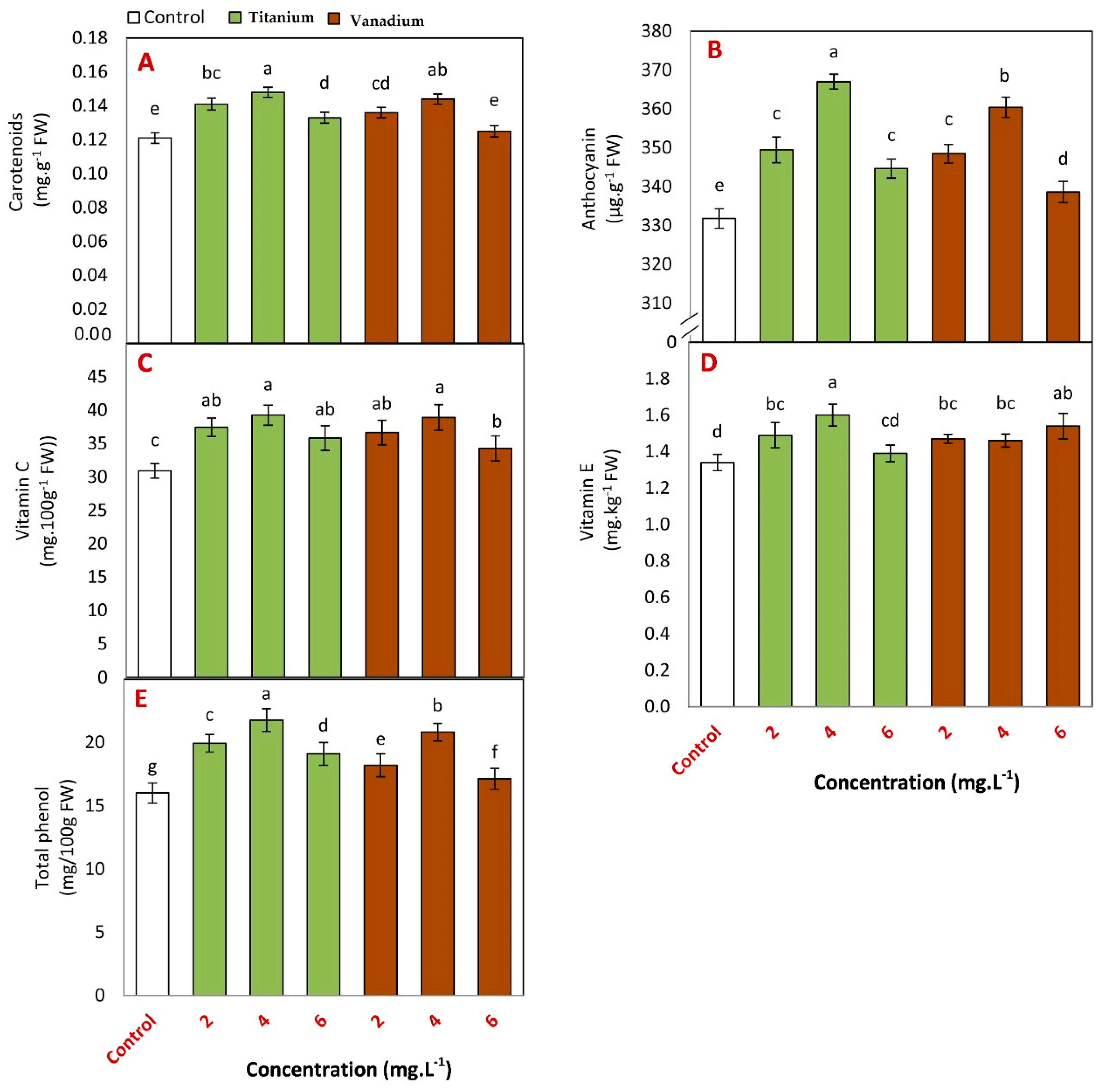
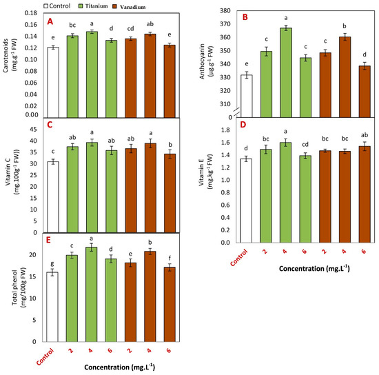
3.3. Non-Enzymatic Antioxidants
3.4. Antioxidant Enzymes
3.5. Antioxidant Capacity
3.6. Yield and Head Physical Quality
4. Discussion
5. Conclusions
Author Contributions
Funding
Institutional Review Board Statement
Informed Consent Statement
Data Availability Statement
Acknowledgments
Conflicts of Interest
References
- Leja, M.; Kamińska, I.; Kołton, A. Phenolic compounds as the major antioxidants in red cabbage. Folia Hortic. 2010, 22, 19–24. [Google Scholar] [CrossRef] [Green Version]
- Malinowska, E.; Kalembasa, S. The yield and content of Ti, Fe, Mn, Cu in celery leaves (Apium graveolens L. var. dulce Mill. Pers.) as a result of tytanit application. Acta Sci. Pol. Hortorum Cultus 2012, 11, 169–180. [Google Scholar]
- Kleiber, T.; Markiewicz, B. Application of “Tytanit” in greenhouse tomato growing. Acta Sci. Pol. Hortorum Cultus 2013, 12, 117–126. [Google Scholar]
- Radkowski, A. Leaf greenness (SPAD) index in timothy-grass seed plantation at different doses of titanium foliar fertilization. Ecol. Chem. Eng. A 2013, 20, 167–174. [Google Scholar]
- Dumon, J.C.; Ernst, W.H.O. Titanium in plants. J. Plant Physiol. 1988, 133, 203–209. [Google Scholar] [CrossRef]
- Crans, D.C.; Smee, J.J.; Gaidamauskas, E.; Yang, L. The chemistry and biochemistry of vanadium and the biological activities exerted by vanadium compounds. Chem. Rev. 2004, 104, 849–902. [Google Scholar] [CrossRef]
- Yang, J.; Wang, M.; Jia, Y.; Gou, M.; Zeyer, J. Toxicity of vanadium in soil on soybean at different growth stages. Environ. Pollut. 2017, 231, 48–58. [Google Scholar] [CrossRef]
- Rudnick, R.L.; Gao, S. Composition of the continental crust. Crust Treatise Geochem. 2005, 3, 1–64. [Google Scholar]
- Taha, D.; Abou-Shady, A.; Ismaeil, S.; Bahnasawy, N.M. Distribution and mobility of vanadium in cultivated calcareous soils and some food chain crops. Egypt. J. Soil Sci. 2017, 57, 385–392. [Google Scholar] [CrossRef] [Green Version]
- Garcia-Jimenez, A.; Trejo-Tellez, L.I.; Guillen-Sánchez, D.; Gomez-Merino, F.C. Vanadium stimulates pepper plant growth and flowering, increases concentrations of amino acids, sugars and chlorophylls and modifies nutrient concentrations. PLoS ONE 2018, 13, e0201908. [Google Scholar] [CrossRef] [Green Version]
- Hu, Y.; Lee, C.C.; Ribbe, M.W. Vanadium nitrogenase: A two-hit wonder? Dalton Trans. 2012, 41, 1118–1127. [Google Scholar] [CrossRef] [PubMed] [Green Version]
- Imtiaz, M.; Rizwan, M.S.; Xiong, S.; Li, H.; Ashraf, M.; Shahzad, S.M.; Shahzad, M.; Rizwan, M.; Tu, S. Vanadium, recent advancements and research prospects: A review. Environ. Int. 2015, 80, 79–88. [Google Scholar] [CrossRef] [PubMed]
- Sadasivam, S.; Manickam, A. Biochemical Methods, 2nd ed.; New Age International (P) Ltd.: New Delhi, India, 1996. [Google Scholar]
- Enders, A.; Lehmann, J. Comparison of wet-digestion and dry-ashing methods for total elemental analysis of biochar. Commun. Soil Sci. Plant Anal. 2012, 43, 1042–1052. [Google Scholar] [CrossRef]
- Mazumdar, B.C.; Majumder, K. Methods on Physic-Chemical Analysis of Fruits; Daya Publishing House: New Delhi, India, 2003; pp. 108–109. [Google Scholar]
- Prieto, P.; Pineda, M.; Aguilar, M. Spectrophotometric quantitation of antioxidant capacity through the formation of a phosphomolybdenum complex: Specific application to the determination of vitamin E. Anal. Biochem. 1999, 269, 337–341. [Google Scholar] [CrossRef]
- Lichtenthaler, H.K. Chlorophylls and carotenoids: Pigments of photosynthetic biomembranes. In Methods in Enzymology; Academic Press: Cambridge, MA, USA, 1987; Volume 148, pp. 350–382. ISBN 9780121820480. ISSN 0076-6879. [Google Scholar] [CrossRef]
- Awad, A.H.R.; Parmar, A.; Ali, M.R.; El-Mogy, M.M.; Abdelgawad, K.F. Extending the Shelf-Life of Fresh-Cut Green Bean Pods by Ethanol, Ascorbic Acid, and Essential Oils. Foods 2021, 10, 1103. [Google Scholar] [CrossRef]
- Darwish, O.S.; Ali, M.R.; Khojah, E.; Samra, B.N.; Ramadan, K.M.A.; El-Mogy, M.M. Pre-Harvest Application of Salicylic Acid, Abscisic Acid, and Methyl Jasmonate Conserve Bioactive Compounds of Strawberry Fruits during Refrigerated Storage. Horticulturae 2021, 7, 568. [Google Scholar] [CrossRef]
- Bradford, M.M. A rapid and sensitive method for the quantitation of microgram quantities of protein utilizing the principle of protein-dye binding. Anal. Biochem. 1976, 72, 248–254. [Google Scholar] [CrossRef]
- Zhu, Z.; Wei, G.; Li, J.; Qian, Q.; Yu, J. Silicon alleviates salt stress and increases antioxidant enzymes activity in leaves of salt-stressed cucumber (Cucumis sativus L.). Plant Sci. 2004, 167, 527–533. [Google Scholar] [CrossRef]
- Tarchoune, I.; Sgherri, C.; Izzo, R.; Lachaal, M.; Navari-Izzo, F.; Ouerghi, Z. Changes in the antioxidative systems of Ocimum basilicum L. (cv. Fine) under different sodium salts. Acta Physiol. Plant. 2012, 34, 1873–1881. [Google Scholar] [CrossRef]
- Nuengchamnong, N.; Ingkaninan, K. On-line HPLC-MS-DPPH assay for the analysis of phenolic antioxidant compounds in fruit wine: Antidesma thwaitesianum muell. Food Chem. 2010, 118, 147–152. [Google Scholar] [CrossRef]
- Akoumianaki-Ioannidou, A.; Barouchas, P.E.; Ilia, E.; Kyramariou, A.; Moustakas, N.K. Effect of vanadium on dry matter and nutrient concentration in sweet basil (Ocimum basilicum L.). Aust. J. Crop Sci. 2016, 10, 199–206. [Google Scholar]
- Wang, H.; Wang, T.; You, L.; Zhong, G.; Shi, G. Effects of vanadate supply on plant growth, Cu accumulation, and antioxidant capacities in Triticum aestivum L. Environ. Geochem. Health 2013, 35, 585–592. [Google Scholar] [CrossRef] [PubMed]
- Hanus-Fajerska, E.; Wiszniewska, A.; Kaminska, I. A Dual Role of Vanadium in Environmental Systems—Beneficial and Detrimental Effects on Terrestrial Plants and Humans. Plants 2021, 10, 1110. [Google Scholar] [CrossRef] [PubMed]
- Nawaz, M.A.; Jiao, Y.; Chen, C.; Shireen, F.; Zheng, Z.; Imtiaz, M.; Bie, Z.; Huang, Y. Melatonin pretreatment improves vanadium stress tolerance of watermelon seedlings by reducing vanadium concentration in the leaves and regulating melatonin biosynthesis and antioxidant-related gene expression. J. Plant Physiol. 2018, 220, 115–127. [Google Scholar] [CrossRef] [PubMed]
- Smith, P.G.; Boutin, C.; Knopper, L. Vanadium Pentoxide phytotoxicity: Effects of species selection and nutrient concentration. Arch. Environ. Contam. Toxicol. 2013, 64, 87–96. [Google Scholar] [CrossRef]
- Saco, D.; Martín, S.; San Jose, P. Vanadium distribution in roots and leaves of Phaseolus vulgaris: Morphological and ultrastructural effects. Biol. Plant. 2013, 57, 128–132. [Google Scholar] [CrossRef]
- Altaf, M.A.; Shu, H.; Hao, Y.; Zhou, Y.; Mumtaz, M.A.; Wang, Z. Vanadium Toxicity Induced Changes in Growth, Antioxidant Profiling, and Vanadium Uptake in Pepper (Capsicum annum L.) Seedlings. Horticulturae 2022, 8, 28. [Google Scholar] [CrossRef]
- Chongkid, B.; Vachirapatama, N.; Jirakiattikul, Y. Effects of vanadium on rice growth and vanadium accumulation in rice tissues. Agric. Nat. Resour. 2007, 41, 28–33. [Google Scholar]
- Kuzel, S.; Hruby, M.; Cigler, P.; Tlustos, P.; Van, P.V. Mechanism of physiological effects of titanium leaf sprays on plants grown on soil. Biol. Trace Elem. Res. 2003, 91, 179–189. [Google Scholar] [CrossRef]
- Haghighi, M.; Heidarian, S.; Teixeira da Silva, J.A. The effect of titanium amendment in N-withholding nutrient solution on physiological and photosynthesis attributes and micronutrient uptake of tomato. Biol. Trace. Elem. Res. 2012, 150, 381–390. [Google Scholar] [CrossRef]
- Wojcik, P.; Klamkowski, K. “Szampion” Apple Tree Response to Foliar Titanium Application. Plant Nutr. 2004, 27, 2033–2046. [Google Scholar] [CrossRef]
- Raliya, R.; Biswas, P.; Tarafdar, J.C. TiO2 nanoparticle biosynthesis and its physiological effect on mung bean (Vigna radiata L.). Biotechnol. Rep. 2015, 5, 22–26. [Google Scholar] [CrossRef] [PubMed] [Green Version]
- Carvajal, M.; Martínez-Sánchez, F.; Pastor, J.J.; Alcaraz, C.F. Leaf spray with Ti(IV) ascorbate improves the iron uptake and iron activity in Capsicum annuum L. plants. In Iron Nutrition in Soils and Plants; Abadía, J., Ed.; Kluwer Academic Publishers: Dordrecht, The Netherlands, 1995; pp. 1–5. [Google Scholar] [CrossRef]
- Ram, N.; Verloov, M.; Cottenie, A. Response of bean to foliar spray of titanium. Plant Soil 1983, 73, 285–290. [Google Scholar] [CrossRef]
- Pais, I. The biological importance of titanium. Plant Nutr. 1983, 6, 3–131. [Google Scholar] [CrossRef]
- Biacs, P.A.; Daood, H.G.; Keresztes, A. Biochemical aspect on the effect of Titavit treatment on carotenoids, lipds and antioxiants in spice red pepper. In Physiology, Biochemistry and Molecular Biology of Plant Lipids; Williams, J.P., Khan, M.U., Lem, N.W., Eds.; Springer Science + Business Media: Dordrech, The Netherlands, 1997; pp. 215–217. [Google Scholar]
- Skupień, K.; Oszmiański, J. Influence of titanium treatment on antioxidants content and antioxidant activity of strawberries. Acta Sci. Pol. Technol. Aliment. 2007, 6, 83–93. [Google Scholar]
- Shigeoka, S.; Ishikawa, T.; Tamoi, M.; Miyagawa, Y.; Takeda, T.; Yabuta, Y.; Yoshimura, K. Regulation and function of ascorbate peroxidase isoenzymes. J. Exp. Bot. 2002, 53, 1305–1319. [Google Scholar] [CrossRef]
- Caverzan, A.; Passaia, G.; Rosa, S.; Ribeiro, C.; Lazzarotto, F.; Pinheiro, M. Plant responses to stresses: Role of ascorbate peroxidase in the antioxidant protection. Genet. Mol. Biol. 2012, 35, 1011–1019. [Google Scholar] [CrossRef] [Green Version]
- Hounsome, N.; Hounsome, B.; Tomos, D.; Edwards-Jones, G. Changes in antioxidant compounds in white cabbage during winter storage. Postharv. Biol. Technol. 2009, 52, 173–179. [Google Scholar] [CrossRef]
- Awad, M.A.; Al-Qurashi, A.D.; Mohamed, S.A.; El-Shishtawy, R.M.; Ali, M.A. Postharvest chitosan, gallic acid and chitosan gallate treatments effects on shelf life quality, antioxidant compounds, free radical scavenging capacity and enzymes activities of ‘Sukkari’Bananas. J. Food Sci. Technol. 2017, 54, 447–457. [Google Scholar] [CrossRef] [Green Version]
- El-Ghamry, A.; Ghazi, D.; Mousa, Z. Effect of titanium dioxide on lettuce plants grown on sandy soil. J. Soil Sci. Agric. Eng. 2018, 9, 461–466. [Google Scholar] [CrossRef]
- Vachirapatama, N.; Jirakiattiku, Y.; Dicinoski, G.W.; Townsend, A.T.; Haddad, P.R. Effect of vanadium on plant growth and its accumulation in plant tissues. Songklanakarin J. Sci. Technol. 2011, 33, 255–261. [Google Scholar]
- Wang, J.F.; Liu, Z. Effect of vanadium on the growth of soybean seedlings. Plant Soil 1999, 216, 47–51. [Google Scholar] [CrossRef]







Publisher’s Note: MDPI stays neutral with regard to jurisdictional claims in published maps and institutional affiliations. |
© 2022 by the authors. Licensee MDPI, Basel, Switzerland. This article is an open access article distributed under the terms and conditions of the Creative Commons Attribution (CC BY) license (https://creativecommons.org/licenses/by/4.0/).
Share and Cite
Doklega, S.M.A.; El-Ezz, S.F.A.; Mostafa, N.A.; Dessoky, E.S.; Abdulmajeed, A.M.; Darwish, D.B.E.; Alzuaibr, F.M.; El-Yazied, A.A.; El-Mogy, M.M.; Mahmoud, S.F.; et al. Effect of Titanium and Vanadium on Antioxidants Content and Productivity of Red Cabbage. Horticulturae 2022, 8, 481. https://doi.org/10.3390/horticulturae8060481
Doklega SMA, El-Ezz SFA, Mostafa NA, Dessoky ES, Abdulmajeed AM, Darwish DBE, Alzuaibr FM, El-Yazied AA, El-Mogy MM, Mahmoud SF, et al. Effect of Titanium and Vanadium on Antioxidants Content and Productivity of Red Cabbage. Horticulturae. 2022; 8(6):481. https://doi.org/10.3390/horticulturae8060481
Chicago/Turabian StyleDoklega, Samar M. A., Sally F. Abo El-Ezz, Nada A. Mostafa, Eldessoky S. Dessoky, Awatif M. Abdulmajeed, Doaa Bahaa Eldin Darwish, Fahad Mohammed Alzuaibr, Ahmed Abou El-Yazied, Mohamed M. El-Mogy, Samy F. Mahmoud, and et al. 2022. "Effect of Titanium and Vanadium on Antioxidants Content and Productivity of Red Cabbage" Horticulturae 8, no. 6: 481. https://doi.org/10.3390/horticulturae8060481
APA StyleDoklega, S. M. A., El-Ezz, S. F. A., Mostafa, N. A., Dessoky, E. S., Abdulmajeed, A. M., Darwish, D. B. E., Alzuaibr, F. M., El-Yazied, A. A., El-Mogy, M. M., Mahmoud, S. F., M. Taha, N., & Abd El-Hady, M. A. M. (2022). Effect of Titanium and Vanadium on Antioxidants Content and Productivity of Red Cabbage. Horticulturae, 8(6), 481. https://doi.org/10.3390/horticulturae8060481

