Characteristics and Trends of Strawberry Cultivars throughout the Cultivation Season in a Greenhouse
Abstract
1. Introduction
2. Materials and Methods
2.1. Plant Materials and Experiment Design
2.2. Growth Data Collection
2.3. Cultivation Environments
2.4. Ratio of Red and Far-Red Light
2.5. Data Analysis
3. Results and Discussion
3.1. Strawberry Growth Variation
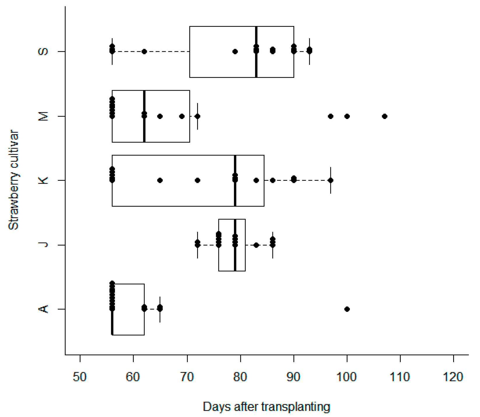
3.2. Strawberry Productivity Variation
3.3. The Effect of Sensitivity to Environmental Variability on Strawberry Growth
3.4. The Correlation between Strawberry Growth and the First Flowering
3.5. The Effect of the Number of Leaves and Fruits on Fruit Fresh Weight
4. Conclusions
Author Contributions
Funding
Institutional Review Board Statement
Informed Consent Statement
Acknowledgments
Conflicts of Interest
References
- MAFRA. The Primary Statistical Data of Agriculture; Information & Statistical Policy Officer: Sejong, Korea, 2020.
- FAO. 2019. Available online: http://www.fao.org/faostat/en/#data/QC/visualize.
- Risser, G.; Robert, F. What cold treatments promote growth in strawberry? Acta Hortic. 1993, 348, 381–383. [Google Scholar] [CrossRef]
- Guttridge, C. The effects of winter chilling on the subsequent growth and development of the cultivated strawberry plant. J. Hortic. Sci. 1958, 33, 119–127. [Google Scholar] [CrossRef]
- Chouard, P. Forcing and temperature-photoperiod preparations. In Dormancy and Inhibition of Seeds and Buds (In French); Constans, T.A., Ed.; Centre de Documentation Université: Paris, France, 1956. [Google Scholar]
- Piringer, A. Interrelation of photoperiod, chilling, and flower-cluster and runner production by strawberries. Proc. Amer. Soc. Hort. Sci. 1964, 84, 295–301. [Google Scholar]
- Heide, O.M. Photoperiod and temperature interactions in growth and flowering of strawberry. Physiol. Plant 1977, 40, 21–26. [Google Scholar] [CrossRef]
- Durner, E.F.; Barden, J.; Himelrick, D.; Poling, E. Photoperiod and temperature effects on flower and runner development in day-neutral, Junebearing, and everbearing strawberries. J. Am. Soc. Hortic. Sci. 1984, 109, 396–400. [Google Scholar]
- Darrow, G.M.; Waldo, G.F. Responses of Strawberry Varieties and Species to Duration of the Daily Light Period; Technical Bulletins; United States Department of Agriculture: Washington, DC, USA, 1934; Volume 453.
- Arney, S.E. Studies of growth and development in the genus Fragaria: VI. The effect of photoperiod and temperatrue on leaf size. J. Exp. Bot. 1956, 7, 65–79. [Google Scholar] [CrossRef]
- Hartmann, H. Some effects of temperature and photoperiod on flower formation and runner production in the strawberry. Plant Physiol. 1947, 22, 407. [Google Scholar] [CrossRef] [PubMed]
- Darrow, G. Interrelation of temperature and photoperiodism in the production of fruit-buds and runners in the strawberry. Proc. Am. Soc. Hortic. Sci. 1936, 34, 360–363. [Google Scholar]
- Holmes, M.; Smith, H. The function of phytochrome in the natural environment—II. The influence of vegetation canopies on the spectral energy distribution of natural daylight. Photochem. Photobiol. 1977, 25, 539–545. [Google Scholar] [CrossRef]
- Wollenberg, A.C.; Strasser, B.; Cerdán, P.D.; Amasino, R.M. Acceleration of flowering during shade avoidance in Arabidopsis alters the balance between FLOWERING LOCUS C-mediated repression and photoperiodic induction of flowering. Plant Physiol. 2008, 148, 1681–1694. [Google Scholar] [CrossRef]
- Johnson, E.; Bradley, M.; Harberd, N.P.; Whitelam, G.C. Photoresponses of light-grown phyA mutants of Arabidopsis (phytochrome A is required for the perception of daylength extensions). Plant Physiol. 1994, 105, 141–149. [Google Scholar] [CrossRef]
- Cerdan, P.D.; Chory, J. Regulation of flowering time by light quality. Nature 2003, 423, 881–885. [Google Scholar] [CrossRef]
- Brown, J.; Klein, W. Photomorphogenesis in Arabidopsis thaliana (L.) Heynh: Threshold intensities and blue-far-red synergism in floral induction. Plant Physiol. 1971, 47, 393–399. [Google Scholar] [CrossRef][Green Version]
- Giaquinta, R. Source and sink leaf metabolism in relation to phloem translocation: Carbon partitioning and enzymology. Plant Physiol. 1978, 61, 380–385. [Google Scholar] [CrossRef]
- Singh, A.; Synodr, A.; Deka, B.C.; Singh, R.K.; Patel, R.K. The effect of microclimate inside low tunnels on off-season production of strawberry (Fragaria × annassa Duch.). Sci. Hortic. 2012, 144, 36–41. [Google Scholar] [CrossRef]
- Kimura, K.; Yasutake, D.; Koikawa, K.; Kitano, M. Spatiotemporal variability of leaf photosynthesis and its linkage with microclimates across an environment-controlled greenhouse. Biosyst. Eng. 2020, 195, 97–115. [Google Scholar] [CrossRef]
- Park, S.W.; Kim, S.K.; Kwack, Y.; Chun, C. Simulation of the number of strawberry transplants produced by an autotrophic transplant production method in a plant factory with artificial lighting. Horticulturae 2020, 6, 63. [Google Scholar] [CrossRef]
- Kim, T.-I.; Jang, W.-S.; Choi, J.-H.; Nam, M.-H.; Kim, W.-S.; Lee, S.-S. Breeding of strawberry ‘Maehyang’ for forcing culture. Hortic. Sci. Technol. 2004, 22, 434–437. [Google Scholar]
- Black, B.L.; Enns, S.C.; Hokanson, J.M. A comparison of temperate-climate strawberry production systems using eastern genotypes. HortTechnology 2002, 12, 670–675. [Google Scholar] [CrossRef]
- Gliessman, S.R.; Werner, M.R.; Allison, J.; Cochran, J. A comparison of strawberry plant development and yield under organic and conventional management on the central California coast. Biol. Agric. Hortic. 1996, 12, 327–338. [Google Scholar] [CrossRef]
- Sim, H.S.; Kim, D.S.; Ahn, M.G.; Ahn, S.R.; Kim, S.K. Prediction of strawberry growth and fruit yield based on environmental and growth data in a greenhouse for soil cultivation with applied autonomous facilities. Hortic. Sci. Technol. 2020, 38, 840–849. [Google Scholar] [CrossRef]
- Sønsteby, A.; Solhaug, K.A.; Heide, O.M. Functional growth analysis of ‘Sonata’ strawberry plants grown under controlled temperature and daylength conditions. Sci. Hortic. 2016, 211, 26–33. [Google Scholar] [CrossRef]
- Jun, H.J.; Hwang, J.G.; Son, M.J.; Choi, D.J. Effect of root zone temperature on root and shoot growth of strawberry. J. Bio-Environ. Control. 2008, 17, 14–19. [Google Scholar]
- Serçe, S.; Hancock, J.F. The temperature and photopeiod regulation of flowering and runnering in the strawberris, Fragaria chiloensis, F. virginiana, and F. × ananassa. Sci. Hortic. 2005, 103, 167–177. [Google Scholar] [CrossRef]
- Folta, K.; Carvalho, S.D. Photoreceptors and control of horticulutral palnt traits. HortScience 2015, 50, 1274–1280. [Google Scholar] [CrossRef]
- Hu, W.; Faranklin, K.A.; Sharrock, R.A.; Jones, M.A.; Hamer, S.L.; Lagarias, C. Unanticipated regulatory roles for Arabidopsis phytochromes revealed by null mutant analysis. Proc. Natl. Acad. Sci. USA 2013, 110, 1542–1547. [Google Scholar] [CrossRef]
- Kim, D.-Y.; Kim, T.-I.; Kim, W.-S.; Kang, Y.-I.; Yun, H.-K.; Choi, J.-M.; Yoon, M.-K. Changes in growth and yield of strawberry (cv. Maehyang and Seolhyang) in response to defoliation during nursery period. Prot. Hortic. Plant Fact. 2011, 20, 283–289. [Google Scholar]
- Hemming, S.; Van Os, E.A.; Hemming, J.; Dieleman, J.A. The effect of new developed fluorescent greenhouse films on the growth of Fragaria × ananassa ‘Elsanta’. Eur. J. Hortic. Sci. 2006, 71, 145–154. [Google Scholar]
- Kim, D.-Y.; Kim, S.Y.; Huh, Y.-C.; Yoon, M.K.; Lee, S.Y.; Moon, J.-H.; Kim, D.H. ‘Arihyang’, a Strawberry Variety with Highly Firm and Large-Sized Fruit for Forcing Culture. Korean Soc. Breed. Sci. 2018, 50, 497–503. [Google Scholar] [CrossRef]
- Deschênes, P.; Boivin, C. Forecasting strawberry yields (‘Seascape’) three weeks in advance: Validation and optimisation of a method developed under commercial production conditions in Quebec. Acta Hortic. 2017, 1156, 465–472. [Google Scholar] [CrossRef]
- Døving, A. Prediction of Strawberry Season and Yield. Acta Hortic. 2004, 654, 325–332. [Google Scholar] [CrossRef]
- Døving, A.; Måge, F. Prediction of strawberry fruit yield. Acta Agric. Scand. Sect. B Plant Soil Sci. 2001, 51, 35–42. [Google Scholar] [CrossRef]
- Chen, Y.; Lee, W.S.; Gan, H.; Peres, N.; Fraisse, C.; Zhang, Y.; He, Y. Strawberry yield prediction based on a deep neural network using high-resolution aerial orthoimages. Remote Sens. 2019, 11, 1584. [Google Scholar] [CrossRef]
- Riihimäki, M.; Savolainen, O. Environmental and genetic effects on flowering differences between northern and southern populations of Arabidopsis lyrata (Brassicaceae). Am. J. Bot. 2004, 91, 1036–1045. [Google Scholar] [CrossRef] [PubMed]
- Cazzonelli, C.I.; Pogson, B.J. Source to sink: Regulation of carotenoid biosynthesis in plants. Trends Plant Sci. 2010, 15, 266–274. [Google Scholar] [CrossRef]
- Blanke, M. Regulatory mechanisms in source sink relationships in plants—A review. Acta Hortic. 2009, 13–20. [Google Scholar] [CrossRef]
- Lacey, C. Phenotypic correlations between vegetative characters and yield components in strawberry. Euphytica 1973, 22, 546–554. [Google Scholar] [CrossRef]







| Cultivar | 3 February 2020 | 17 February 2020 | 9 March 2020 |
|---|---|---|---|
| “Arihyang” | 0.49 az | 0.74 b | 0.96 ab |
| “Jukhyang” | 0.46 a | 0.73 b | 0.86 a |
| “Keumsil” | 0.55 ab | 0.82 bc | 1.00 ab |
| “Maehyang” | 0.70 b | 0.96 c | 1.12 b |
| “Seolhyang” | 0.51 ab | 0.56 a | 0.91 a |
| Cultivar | Estimate | SE | Z | p-Value | |
|---|---|---|---|---|---|
| Arihyang | Intercept | 865.4300 | 98.0682 | 8.8248 | <0.0001 |
| Weeks since transplanting | 18.1823 | 0.9510 | 19.1192 | <0.0001 | |
| Variance of daily air temperature | −150.3738 | 28.0690 | −5.3573 | <0.0001 | |
| Variance of daily soil water content | −78,412.9611 | 8666.3642 | −9.0480 | <0.0001 | |
| Variance of daily solar radiation | −1.3067 | 1.7582 | −0.7432 | 0.4573 | |
| Jukhyang | Intercept | 865.4300 | 98.0682 | 8.8248 | <0.0001 |
| Weeks since transplanting | −598.6404 | 136.5496 | −4.3840 | <0.0001 | |
| Variance of daily air temperature | −28.3017 | 28.0690 | −1.0083 | 0.3133 | |
| Variance of daily soil water content | −40,960.7991 | 8666.3642 | −4.7264 | <0.0001 | |
| Variance of daily solar radiation | 0.6161 | 1.7582 | 0.3504 | 0.7260 | |
| Keumsil | Intercept | 865.4300 | 98.0682 | 8.8248 | <0.0001 |
| Weeks since transplanting | −598.6404 | 136.5496 | −4.3840 | <0.0001 | |
| Variance of daily air temperature | −59.5143 | 28.0690 | −2.1203 | 0.0340 | |
| Variance of daily soil water content | −49,156.6153 | 8666.3642 | −5.6721 | <0.0001 | |
| Variance of daily solar radiation | −0.5555 | 1.7582 | −0.3160 | 0.7520 | |
| Maehyang | Intercept | 865.4300 | 98.0682 | 8.8248 | <0.0001 |
| Weeks since transplanting | −598.6404 | 136.5496 | −4.3840 | <0.0001 | |
| Variance of daily air temperature | −20.0825 | 28.0690 | −0.7155 | 0.4743 | |
| Variance of daily soil water content | −46,499.2503 | 8666.3642 | −5.3655 | <0.0001 | |
| Variance of daily solar radiation | −2.2026 | 1.7582 | −1.2528 | 0.2103 | |
| Seolhyang | Intercept | 865.4300 | 98.0682 | 8.8248 | <0.0001 |
| Weeks since transplanting | −598.6404 | 136.5496 | −4.3840 | <0.0001 | |
| Variance of daily air temperature | −89.4155 | 28.0690 | −3.1856 | 0.0014 | |
| Variance of daily soil water content | −54,711.1508 | 8666.3642 | −6.3130 | <0.0001 | |
| Variance of daily solar radiation | −0.7698 | 1.7582 | −0.4378 | 0.6615 |
| Estimate | SE | T | p-Value | |
|---|---|---|---|---|
| Intercept | 55.1701 | 16.2989 | 3.3849 | 0.0016 |
| Number of leaves | 6.6342 | 2.1027 | 3.2027 | 0.0021 |
| Plant height (cm) | −1.0537 | 0.4168 | −2.5281 | 0.0150 |
| Leaf length (cm) | 3.1171 | 1.8725 | 1.6647 | 0.1021 |
| Leaf width (cm) | −0.8609 | 2.0631 | −0.4173 | 0.6781 |
| Crown diameter (mm) | −0.6308 | 0.5475 | −1.1522 | 0.2544 |
| Estimate | SE | T | p-Value | |
|---|---|---|---|---|
| Intercept | 30.3904 | 1019.4290 | 0.0298 | 0.9765 |
| Number of fruits | 19.7760 | 1.4561 | 13.5815 | <0.0001 |
| Number of leaves | 270.6740 | 126.7974 | 2.1347 | 0.0451 |
| Days to flower | −21.1485 | 8.8336 | −2.3941 | 0.0277 |
Publisher’s Note: MDPI stays neutral with regard to jurisdictional claims in published maps and institutional affiliations. |
© 2021 by the authors. Licensee MDPI, Basel, Switzerland. This article is an open access article distributed under the terms and conditions of the Creative Commons Attribution (CC BY) license (http://creativecommons.org/licenses/by/4.0/).
Share and Cite
Ahn, M.G.; Kim, D.S.; Ahn, S.R.; Sim, H.S.; Kim, S.; Kim, S.K. Characteristics and Trends of Strawberry Cultivars throughout the Cultivation Season in a Greenhouse. Horticulturae 2021, 7, 30. https://doi.org/10.3390/horticulturae7020030
Ahn MG, Kim DS, Ahn SR, Sim HS, Kim S, Kim SK. Characteristics and Trends of Strawberry Cultivars throughout the Cultivation Season in a Greenhouse. Horticulturae. 2021; 7(2):30. https://doi.org/10.3390/horticulturae7020030
Chicago/Turabian StyleAhn, Min Gyu, Dong Sub Kim, Su Ran Ahn, Ha Seon Sim, Steven Kim, and Sung Kyeom Kim. 2021. "Characteristics and Trends of Strawberry Cultivars throughout the Cultivation Season in a Greenhouse" Horticulturae 7, no. 2: 30. https://doi.org/10.3390/horticulturae7020030
APA StyleAhn, M. G., Kim, D. S., Ahn, S. R., Sim, H. S., Kim, S., & Kim, S. K. (2021). Characteristics and Trends of Strawberry Cultivars throughout the Cultivation Season in a Greenhouse. Horticulturae, 7(2), 30. https://doi.org/10.3390/horticulturae7020030

