Mechanism of Intermittent Hypobaric Affecting the Postharvest Quality of Cassava Roots: An Integrated Analysis Based on Respiration, Energy Metabolism, and Transcriptomics
Abstract
1. Introduction
2. Materials and Methods
2.1. Materials
2.2. Analytical Methods
2.2.1. Determination of Weight Loss and Moisture Content
2.2.2. Determination of Nutritional Components
2.2.3. Respiration Rate
2.2.4. Enzyme Activity Assay
2.2.5. Transcriptome Material and Methods
2.3. Statistics
3. Results
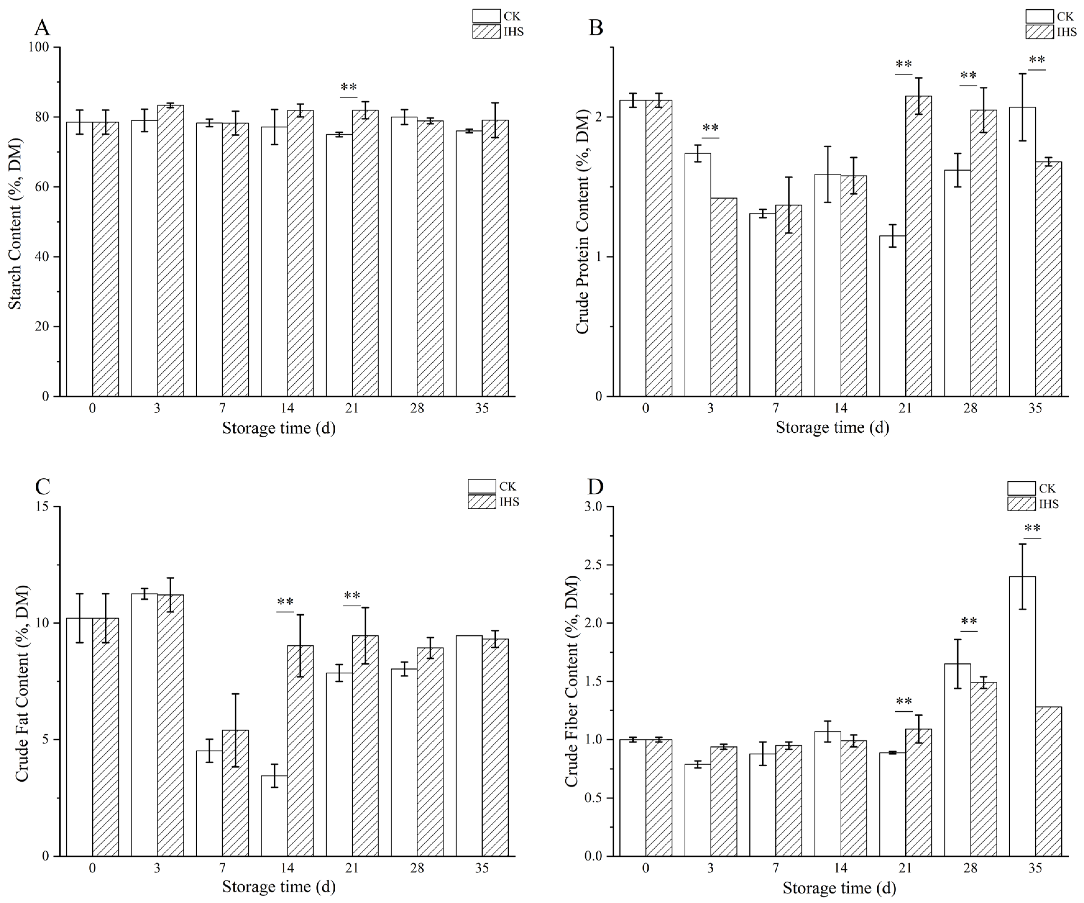
3.1. Effects of Storage Quality
3.2. Effects of Respiration
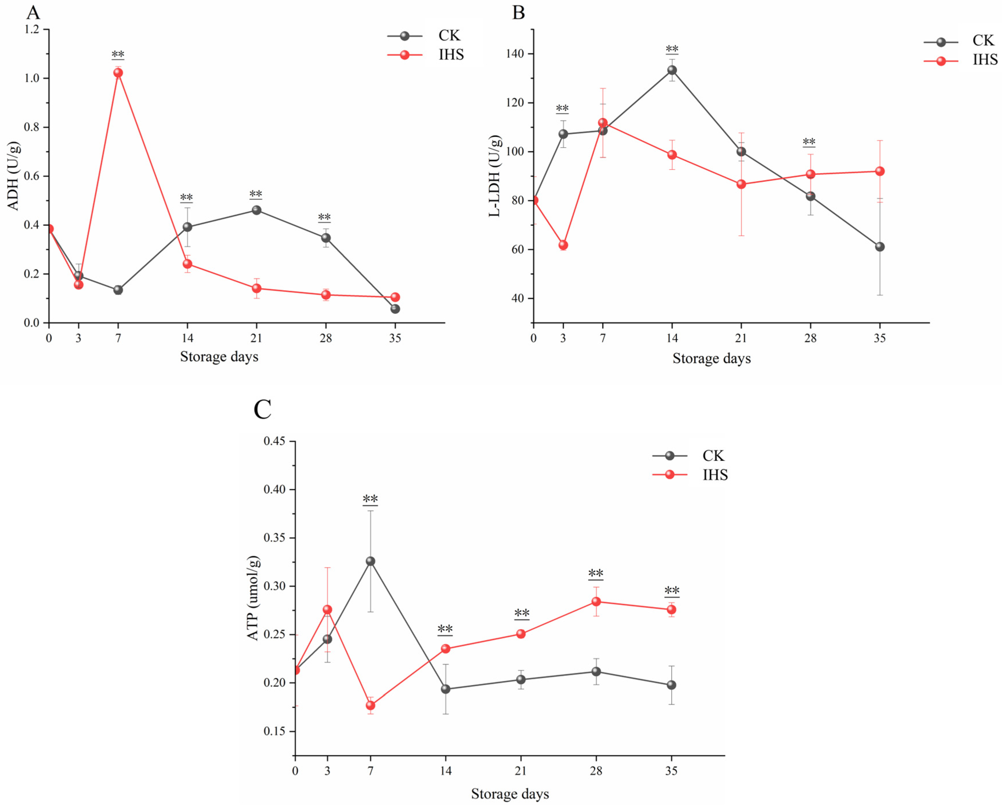
3.3. Effects of Enzymatic Activity
3.4. Effects of Transcriptomic Profiles
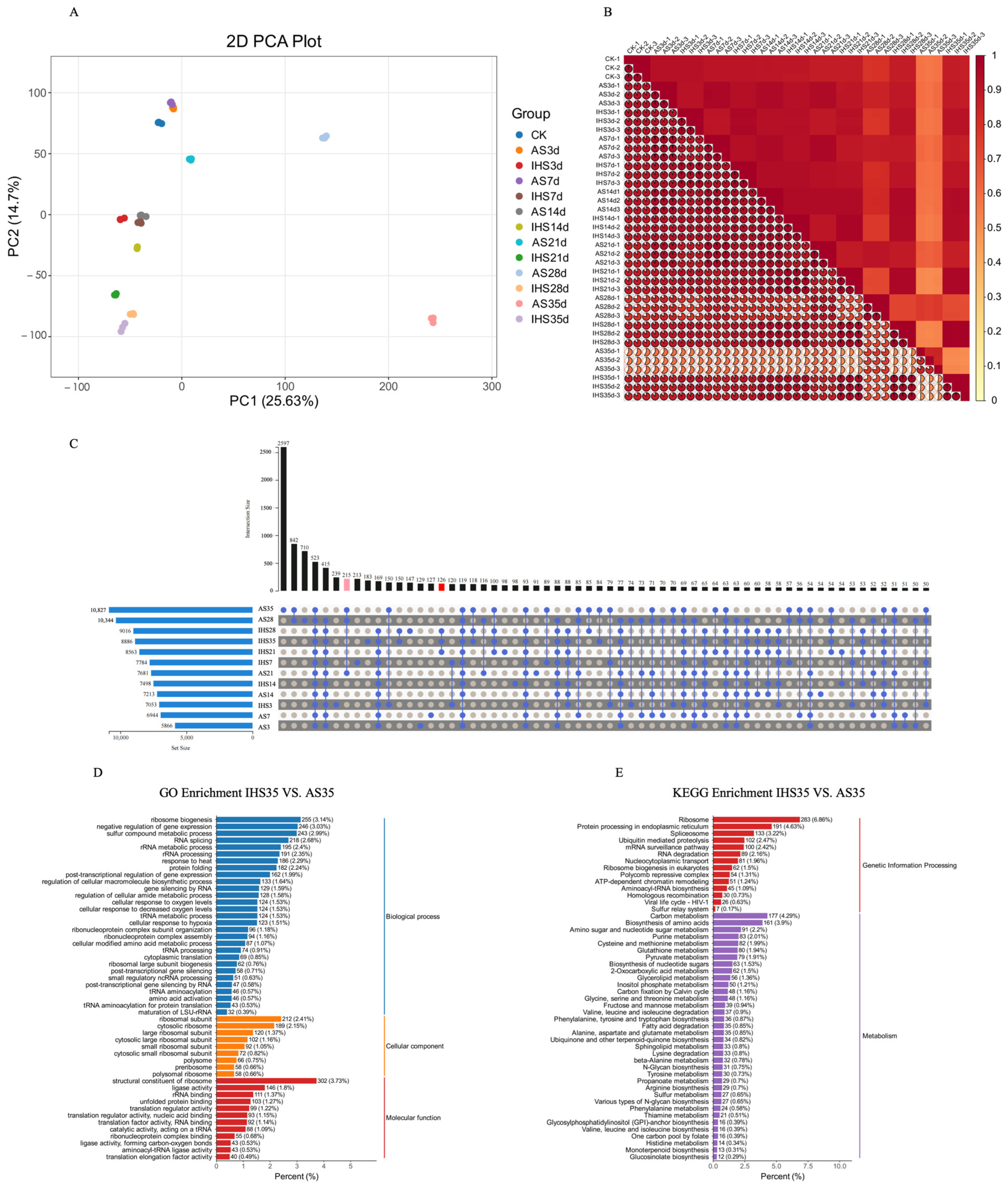
3.4.1. PCA
3.4.2. DEGs Analysis
3.4.3. RNA-Seq Analysis
3.4.4. GSEA Reveals Further Insights
4. Discussion
5. Conclusions
Supplementary Materials
Author Contributions
Funding
Data Availability Statement
Acknowledgments
Conflicts of Interest
References
- FAO Food and Agriculture Organization of the United Nations. Available online: https://www.fao.org/faostat/en/#data/QCL (accessed on 24 November 2025).
- Reilly, K.; Bernal, D.; Cortés, D.F.; Gómez-Vásquez, R.; Tohme, J.; Beeching, J.R. Towards Identifying the Full Set of Genes Expressed during Cassava Post-Harvest Physiological Deterioration. Plant Mol. Biol. 2007, 64, 187–203. [Google Scholar] [CrossRef] [PubMed]
- Zidenga, T.; Leyva-Guerrero, E.; Moon, H.; Siritunga, D.; Sayre, R. Extending Cassava Root Shelf Life via Reduction of Reactive Oxygen Species Production. Plant Physiol. 2012, 159, 1396–1407. [Google Scholar] [CrossRef]
- Zeng, J.; Wang, C.; Ding, Z.; Wang, B.; Liu, Y.; Guo, J.; Chen, J.; Wu, C.; Tie, W.; Yan, Y.; et al. Identification and Functional Prediction of lncRNAs during Cassava Post-Harvest Physiological Deterioration. Agron. J. 2020, 112, 4914–4925. [Google Scholar] [CrossRef]
- Djabou, A.S.M.; Carvalho, L.J.C.B.; Li, Q.X.; Niemenak, N.; Chen, S. Cassava Postharvest Physiological Deterioration: A Complex Phenomenon Involving Calcium Signaling, Reactive Oxygen Species and Programmed Cell Death. Acta Physiol. Plant. 2017, 39, 91. [Google Scholar] [CrossRef]
- Buschmann, H.; Reilly, K.; Rodriguez, M.X.; Tohme, J.; Beeching, J.R. Hydrogen Peroxide and Flavan-3-Ols in Storage Roots of Cassava (Manihot esculenta Crantz) during Postharvest Deterioration. J. Agric. Food Chem. 2000, 48, 5522–5529. [Google Scholar] [CrossRef]
- Morante, N.; Sánchez, T.; Ceballos, H.; Calle, F.; Pérez, J.C.; Egesi, C.; Cuambe, C.E.; Escobar, A.F.; Ortiz, D.; Chávez, A.L.; et al. Tolerance to Postharvest Physiological Deterioration in Cassava Roots. Crop Sci. 2010, 50, 1333–1338. [Google Scholar] [CrossRef]
- Anthony, B.M.; Kim, Y.-K.; Minas, I.S. Evaluating low pressure storage for prolonging the postharvest life of blueberries. Sci. Hortic. 2024, 337, 113535. [Google Scholar] [CrossRef]
- Shah, H.M.S.; Singh, Z.; Hasan, M.U.; Kaur, J.; Afrifa-Yamoah, E.; Woodward, A. Melatonin application suppresses oxidative stress and maintains fruit quality of cold stored esperanza raspberries by regulating antioxidant system. Postharvest Biol. Technol. 2024, 207, 112597. [Google Scholar] [CrossRef]
- Wang, X.; Chen, J.; Luo, D.; Ba, L. Advances in the understanding of postharvest physiological changes and the storage and preservation of pitaya. Foods 2024, 13, 1307. [Google Scholar] [CrossRef]
- Paskus, B.; Abeli, P.; Beaudry, R. Hypobaric Storage of Representative Root, Leaf, Fruit, and Flower Tissues: Comparisons to Storage at Atmospheric Pressure and Normoxia. HortScience 2021, 56, 780–786. [Google Scholar] [CrossRef]
- Chen, W.; Zhou, Y.; Chen, H.; Mao, J.; Gao, H. Research-on-technology-of-storage-for-hypobaric-storage-of-bamboo-shoots. Food Sci. Technol. 2005, 10, 80–83. [Google Scholar] [CrossRef]
- Li, D.; Li, L.; Li, W.; Xu, Y.; Han, X.; Bao, N.; Sheng, Z.; Yuan, Y.; Zhang, X.; Luo, Z. Elevated o 2 alleviated anaerobic-metabolism-in-postharvest-winter-jujube-fruit-by-regulating-pyruvic-acid-and-energy-metabolism. Postharvest Biol. Technol. 2023, 203, 112397. [Google Scholar] [CrossRef]
- Lin, L.; Luo, X.; Yu, H.; Wang, Q.; Zhang, Z.; Li, K. The Effect of Postharvest Water Migration on Metabolism of Cassava Root by Hypobaric Storage. Innov. Food Sci. Emerg. Technol. 2024, 93, 103609. [Google Scholar] [CrossRef]
- Vázquez-Celestino, D.; Ramos-Sotelo, H.; Rivera-Pastrana, D.M.; Vázquez-Barrios, M.E.; Mercado-Silva, E.M. Effects of Waxing, Microperforated Polyethylene Bag, 1-Methylcyclopropene and Nitric Oxide on Firmness and Shrivel and Weight Loss of ‘Manila’ Mango Fruit during Ripening. Postharvest Biol. Technol. 2016, 111, 398–405. [Google Scholar] [CrossRef]
- Wang, H.; Liu, J.; Min, W.; Zheng, M.; Li, H. Changes of Moisture Distribution and Migration in Fresh Ear Corn during Storage. J. Integr. Agric. 2019, 18, 2644–2651. [Google Scholar] [CrossRef]
- Ahn, J.Y.; Kil, D.Y.; Kong, C.; Kim, B.G. Comparison of Oven-Drying Methods for Determination of Moisture Content in Feed Ingredients. Anim. Biosci. 2014, 27, 1615–1622. [Google Scholar] [CrossRef]
- Ribeiro, N.R.; E Sousa, M.B.; de Oliveira, L.A.; de Oliveira, E.J. Variability of Amylose Content and Its Correlation with the Paste Properties of Cassava Starch. PLoS ONE 2024, 19, e0309619. [Google Scholar] [CrossRef]
- Nadjiam, D.; Ayessou, N.C.; Guissé, A. Physicochemical Characterization of Nine Cassava (Manihot esculenta Crantz) Cultivars from Chad. Food Nutr. Sci. 2020, 11, 741–756. [Google Scholar] [CrossRef]
- Serge, A.C.; Cathérine, E.D.B.; Bilo, L.J.-F.R.; Françoise, K.A. Effect of Soil Organic Fertilizers on the Physico-Chemical and Agronomic Characteristics of Cassava (Manihot esculenta C.). J. Chem. Biol. Phys. Sci. 2020, 11, 80–90. [Google Scholar] [CrossRef]
- Ge, W.; Zhou, Q.; Meng, Z.; Gao, J.; Chen, G.; Li, Y.; Yang, H. Breath of the Chill: Transcriptomic Exploration of Respiration and Energy Metabolism in Sweet Potato Roots during Cold Storage. Postharvest Biol. Technol. 2025, 224, 113483. [Google Scholar] [CrossRef]
- Sun, C.; Li, T.; Song, X.; Huang, L.; Zang, Q.; Xu, J.; Bi, N.; Jiao, G.; Hao, Y.; Chen, Y.; et al. Spatially Resolved Metabolomics to Discover Tumor-Associated Metabolic Alterations. Proc. Natl. Acad. Sci. USA 2019, 116, 52–57. [Google Scholar] [CrossRef]
- Wang, D.; Ma, Q.; Li, D.; Li, W.; Li, L.; Aalim, H.; Luo, Z. Moderation of Respiratory Cascades and Energy Metabolism of Fresh-Cut Pear Fruit in Response to High CO2 Controlled Atmosphere. Postharvest Biol. Technol. 2021, 172, 111379. [Google Scholar] [CrossRef]
- Badillo, G.M.; Segura-Ponce, L.A. Classic and Reaction-Diffusion Models Used in Modified Atmosphere Packaging (MAP) of Fruit and Vegetables. Food Eng. Rev. 2020, 12, 209–228. [Google Scholar] [CrossRef]
- Liu, S. Effects of hypobaric and low temperature on storage quality of pluot fruit. Guoshu Xuebao 2011, 28, 521–525. [Google Scholar] [CrossRef]
- Zhang, X.; Li, D.; Wang, Y.; Ettoumi, F.; Jia, H.; Fang, J.; Chen, Y.; Li, L.; Xu, Y.; Gong, L.; et al. Fumigation of SO2 in combination with elevated CO2 regulate sugar and energy metabolism in postharvest strawberry fruit. Postharvest Biol. Technol. 2022, 192, 112021. [Google Scholar] [CrossRef]
- O’Leary, B.M.; Scafaro, A.P.; York, L.M. High-Throughput, Dynamic, Multi-Dimensional: An Expanding Repertoire of Plant Respiration Measurements. Plant Physiol. 2023, 191, 2070–2083. [Google Scholar] [CrossRef]
- Zhang, Y.; Zhao, Y.; Feng, J.; Dong, H.; Liao, W.; Yang, X.; Chen, S.; He, Q. Development of Equilibrium Modified Atmosphere Packaging (EMAP) for Postharvest Strawberries Based on Material Modification of Permeability and Selectivity: Theoretical Design, Model Validation, and Application Effects. Postharvest Biol. Technol. 2024, 211, 112799. [Google Scholar] [CrossRef]
- Xu, F.; Liu, S.; Liu, Y.; Xu, J.; Liu, T.; Dong, S. Effectiveness of Lysozyme Coatings and 1-MCP Treatments on Storage and Preservation of Kiwifruit. Food Chem. 2019, 288, 201–207. [Google Scholar] [CrossRef] [PubMed]
- Liu, Z.; Wang, H.; Zhang, J.; Chen, Q.; He, W.; Zhang, Y.; Luo, Y.; Tang, H.; Wang, Y.; Wang, X. Comparative metabolomics profiling highlights unique color variation and bitter taste formation of Chinese cherry fruits. Food Chem. 2023, 439, 138072. [Google Scholar] [CrossRef]
- Gul, H.S.; Ulfat, M.; Zafar, Z.U.; Haider, W.; Ali, Z.; Manzoor, H.; Afzal, S.; Ashraf, M.; Athar, H.-R. Photosynthesis and salt exclusion are key physiological processes contributing to salt tolerance of canola Brassica napus L.: Evidence from physiology and transcriptome analysis. Genes 2022, 14, 3. [Google Scholar] [CrossRef] [PubMed]
- Pei, W.; Jain, A.; Zhao, G.; Feng, B.; Xu, D.; Wang, X. Knockdown of ossae1a affects the growth and development and phosphate homeostasis in rice. J. Plant Physiol. 2020, 255, 153275. [Google Scholar] [CrossRef] [PubMed]
- Ren, R.C.; Lu, X.; Zhao, Y.J.; Wei, Y.M.; Wang, L.L.; Zhang, L.; Zhang, W.T.; Zhang, C.; Zhang, X.S.; Zhao, X.Y. Pentatricopeptide repeat protein dek40 is required for mitochondrial function and kernel development in maize. J. Exp. Bot. 2019, 70, 6163–6179. [Google Scholar] [CrossRef] [PubMed]









Disclaimer/Publisher’s Note: The statements, opinions and data contained in all publications are solely those of the individual author(s) and contributor(s) and not of MDPI and/or the editor(s). MDPI and/or the editor(s) disclaim responsibility for any injury to people or property resulting from any ideas, methods, instructions or products referred to in the content. |
© 2025 by the authors. Licensee MDPI, Basel, Switzerland. This article is an open access article distributed under the terms and conditions of the Creative Commons Attribution (CC BY) license.
Share and Cite
Liu, M.; Lin, L.; Zhang, H.; Wang, Q.; Yu, H.; Chen, Y.; Zhang, Z. Mechanism of Intermittent Hypobaric Affecting the Postharvest Quality of Cassava Roots: An Integrated Analysis Based on Respiration, Energy Metabolism, and Transcriptomics. Horticulturae 2026, 12, 48. https://doi.org/10.3390/horticulturae12010048
Liu M, Lin L, Zhang H, Wang Q, Yu H, Chen Y, Zhang Z. Mechanism of Intermittent Hypobaric Affecting the Postharvest Quality of Cassava Roots: An Integrated Analysis Based on Respiration, Energy Metabolism, and Transcriptomics. Horticulturae. 2026; 12(1):48. https://doi.org/10.3390/horticulturae12010048
Chicago/Turabian StyleLiu, Mengying, Liming Lin, Heng Zhang, Qinfei Wang, Houmei Yu, Yinhua Chen, and Zhenwen Zhang. 2026. "Mechanism of Intermittent Hypobaric Affecting the Postharvest Quality of Cassava Roots: An Integrated Analysis Based on Respiration, Energy Metabolism, and Transcriptomics" Horticulturae 12, no. 1: 48. https://doi.org/10.3390/horticulturae12010048
APA StyleLiu, M., Lin, L., Zhang, H., Wang, Q., Yu, H., Chen, Y., & Zhang, Z. (2026). Mechanism of Intermittent Hypobaric Affecting the Postharvest Quality of Cassava Roots: An Integrated Analysis Based on Respiration, Energy Metabolism, and Transcriptomics. Horticulturae, 12(1), 48. https://doi.org/10.3390/horticulturae12010048

