Abstract
Despite the continuous development of greenhouse cultivation technology, the influence mechanism of covering conditions on the root distribution of greenhouse crops remains unclear, which is emerging as a significant research topic at present. The interaction between mulching and irrigation plays a key role in the root growth of greenhouse tomatoes, but its specific impact awaits in-depth exploration. To explore the response patterns of greenhouse crop root distribution to the drip irrigation water amount under mulching conditions, the tomato was chosen as the research object. Three experimental treatments were set up: mulched high water (Y0.9), non-mulched high water (N0.9), and mulched low water (Y0.5) (where 0.9 and 0.5 represent the cumulative evaporation from a 20 cm standard evaporation pan). We analyzed the water and thermal zone of tomato roots as well as the root distribution. Based on this, a root distribution model was constructed by introducing a mulching factor (fm) and a water stress factor (Ks). After carrying out two years of experimental research, the following results were drawn: (1) The average soil water content in the 0–60 cm soil layer was Y0.9 > N0.9 > Y0.5, and the average soil temperature in the 0–30 cm soil layer was Y0.5 > Y0.9 > N0.9. (2) The interaction between mulching and irrigation had a significant impact on the distribution of tomato roots. In the absence of mulch, the root surface area, average root diameter, root volume, and root length density initially increased and then decreased with depth, with the maximum root distribution concentrated around the 20 cm soil layer. Under mulched conditions, roots were predominantly located in the top layer (0–20 cm). Under the film mulching condition, the distribution range of root length density of low water (Y0.5) was wider than that of high water (Y0.9). (3) Root length density exhibited a significant cubic polynomial relationship with both the soil water content and soil temperature. In the N0.9 treatment, root length density had a bivariate cubic polynomial relationship with soil water and temperature, with a coefficient of determination (R2) of 0.97 and a normalized root mean square error (NRMSE) of 20%. (4) When introducing the film mulching factor (fm) and water stress factor (Ks) into the root distribution model to simulate the root length density distribution of Y0.9 and Y0.5, it was found that the NRMSE was 22% and R2 was 0.90 under the Y0.9 treatment, and the NRMSE was 24% and R2 was 0.98 under the Y0.5 treatment. This study provides theoretical support for the formulation of scientifically sound irrigation and mulching management plans for greenhouse tomatoes.
1. Introduction
With the advancement of agricultural modernization, the demand for precision agriculture is increasingly pressing. Greenhouse tomatoes, as an economically valuable crop of considerable significance, have garnered extensive attention due to their short growth cycle and vast market demand, particularly in northern areas. To accommodate diverse environmental conditions, greenhouses commonly employ plastic films as covering materials [1]. Such materials possess excellent light transmissibility and heat insulation capabilities, effectively regulating the microclimate within the greenhouses. Furthermore, greenhouse production is typically conducted on soil. The water consumption process, growth and development, physiological and ecological characteristics, yield, and quality of greenhouse crops are closely related to irrigation, mulching, and thermal insulation measures [2,3]. However, as of now, the relationship between the volume of drip irrigation water and the growth of tomato roots under mulching conditions is not entirely clear. Therefore, studying the water and thermal conditions, as well as the root morphology and distribution of greenhouse crops under different water and mulching conditions, is of great significance for promoting greenhouse crop production.
As an effective agricultural water-saving technology [4,5], plastic film mulching can retain soil water [6,7], maintain the soil temperature [8], conserve water [9], increase the seed germination rate [10], and enhance root physiological activity [11]. Geng et al. [12] demonstrated that plastic film mulching significantly influenced the soil water and heat conditions, soil structure, and plant growth in greenhouse tomatoes. Zhan et al. [13] and Li et al. [14] explored further the effects of micro-irrigation combined with plastic film mulching on the soil water flow and heat transport in tomatoes, indicating that film mulching conspicuously increased the soil water content in the 0–40 cm soil layer and soil temperature in the 5–25 cm soil layer. Xu et al. [15] revealed that plastic film mulching effectively increased the soil water content and temperature during the growth period of mung beans and enhanced the root surface area, total length, diameter, volume, and the number of root tips. Additionally, studies have analyzed the effects of film mulching on cucumbers, peppers, and watermelons [16,17,18]. However, the current research primarily concentrates on plastic film mulching experiments over a considerable number of cultivated varieties, especially vegetable varieties. Nevertheless, studies on the influence mechanism of film mulching on the root distribution of greenhouse crops are relatively limited.
Irrigation volume is one of the major factors influencing the growth of root systems in the root zone of crops [19]. Research indicates that an overly high soil water content can inhibit root growth and reduce root vitality [20], while an overly low soil water content can lead to root aging and weaken their water uptake capacity, thereby inhibiting root growth [21]. Hu et al. [22] discovered that insufficient irrigation reduces the soil water content and subsequently inhibits the growth of tomato roots, while over-irrigation reduces root zone permeability and limits root development. Other studies have shown that mild water stress is conducive to the growth of deep roots [23,24]. However, while a considerable number of studies have focused on the influences of different irrigation volumes on root growth, research on the comprehensive effects of the combined actions of mulching and irrigation on the root distribution of greenhouse tomatoes remains rather limited.
In simulations of the root distribution, previous studies have mostly concentrated on the effects of drought stress, salt stress, and nutrient stress on the root length density [25,26,27]. Meanwhile, there are relatively scarce quantitative simulation studies on the distribution of roots across different soil layers under mulching and water stress conditions. Currently, the root length density is one of the principal parameters depicting the root system distribution and characteristics [28,29]. For instance, Gao et al. [30] used root length density data to establish a model of tomato root distribution under salt stress, describing the distributions of roots at different depths. Ning et al. [31] conducted research on the root length density of cotton under mulch drip irrigation, analyzing the effects of different row and plant spacings, irrigation water salinity levels, irrigation amounts, and fertilizer application levels on the root distribution. However, tomato root growth occurs underground, making it difficult to directly observe the growth and distribution characteristics of the roots, and the research on root growth models is quite complex.
This study took greenhouse drip-irrigated tomatoes as the research object. We carried out field experiments in 2020 and 2021 to systematically investigate the soil hydrothermal conditions and root distribution under different water and mulching conditions. The mulching factor and water stress factor were introduced to establish third-order polynomial root distribution models under mulching conditions and water stress, respectively, enhancing the predictive ability of the model. This provides a theoretical basis for quantitatively assessing the effects of mulching and irrigation on tomato roots.
2. Materials and Methods
2.1. Overview of the Study Area
This experiment was conducted at the Xinxiang Comprehensive Experimental Base of the Chinese Academy of Agricultural Sciences from March to July in 2020 and 2021. The experiment base is situated in Xinxiang City (35°9′ N, 113°5′ E), with an altitude of 78.7 m. The experiment was carried out in a solar greenhouse, which occupies an area of 510 m2, extends east–west (60 m in length × 8.5 m in width × 4.4 m in height), faces south with its back to the north, and is excavated 0.5 m. The top of the greenhouse is a steel frame structure, covered with a 0.2 mm thick non-drip polyethylene film and a 5 cm thick insulating cotton quilt. The walls of the greenhouse are brick–concrete structures, with 60 cm thick insulation materials embedded in the east, west, and north walls. The surface of the greenhouse soil is covered with a 0.03 mm thick black plastic film for covering tomato seedlings. There are no heating facilities indoors. The soil profile (0–60 cm) parameters are a soil bulk density of 1.49 g/cm3, field capacity of 0.32 cm3/cm3, and wilting point of 0.09 cm3/cm3.
2.2. Experimental Design
In this experiment, the “Jin Peng M6” tomato was chosen as the research subject. Seedling raising was carried out on January 5th each year, and transplantation was performed when the seedlings grew to 3 leaves and 1 heart, with a height ranging from 5 to 10 cm. The growth period of tomato was categorized into four stages: the seedling stage (BBCH 10–19): from 5 March to 9 April in 2020, and from 7 March to 10 April in 2021; the flowering and fruiting stage (BBCH 20–29): from 10 April to 8 May in 2020, and from 11 April to 9 May in 2021; the full fruiting stage (BBCH 30–39): from 9 May to 5 June in 2020, and from 10 May to 12 June in 2021; and the harvest stage (BBCH 40–49): from 6 June to 5 July in 2020, and from 13 June to 6 July in 2021. Tomatoes in each planting season are harvested on nine occasions. The plot length was 7.8 m and the width 2.2 m. All treatments adopted an alternating wide and narrow row planting method, with wide rows 65 cm, narrow rows 45 cm, and plant spacing 30 cm, resulting in a planting density of 6.06 plants/m2. Each treatment had three replicates, with a completely randomized block arrangement. Drip irrigation was used, with the dripper spacing equal to the plant spacing and a dripper flow rate of 1.1 L/h. The experiment used the cumulative evaporation from a 20 cm standard pan (Ep) for the irrigation reference, with water treatments set at 0.9 Ep and 0.5 Ep (with 0.9 and 0.5 being the pan coefficient), corresponding to soil water contents of 80%–90% the field capacity and 60%–65% the field capacity, respectively [32]. Meanwhile, according to the mulching situation, two treatments were set: mulched and non-mulched. Therefore, this experiment set up a total of three treatments: Y0.9 (mulched, 0.9 Ep), N0.9 (non-mulched, 0.9 Ep), and Y0.5 (mulched, 0.5 Ep), and a complete combination design was implemented. The evaporation pan was placed 30 cm above the canopy level, adjusted with the canopy height, and measured daily from 7:30 to 8:00 with a matched cylinder of 0.1 mm precision. The pan was refilled with 20 mm of distilled water after each measurement to ensure there were no impurities. Irrigation was conducted when Ep reached 20 ± 2 mm [33]. The single irrigation quota (Ir) was calculated as follows:
where Ir is the irrigation quota (mm), Ep is the cumulative evaporation (mm), and φ is the water surface evaporation coefficient.
To achieve precise irrigation, a water meter with 0.001 m3 precision was installed at the head of each plot. After transplantation, to strengthen the growth of the seedlings, 20 mm of irrigation water was supplemented through drip irrigation. Before planting, each plot was uniformly administered basal fertilizers, including 13.33 kg/hm2 of dry chicken manure, 112 kg/hm2 of urea (containing 46% nitrogen), 150 kg/hm2 of potassium sulfate (containing 50% K2O), and 120 kg/hm2 of superphosphate (containing 14% P2O5). After the initiation of the water treatment, during the 2nd, 4th, 6th, 8th, and 10th irrigations, topdressing was conducted along with water using the integrated water and fertilizer system. The single application rate for each treatment was 3.56 kg/hm2 of potassium sulfate (containing 50% K2O) and 2.4 kg/hm2 of urea (containing 46% N). All agronomic management measures, such as topping, spraying, and fruit thinning, were conducted uniformly in all experimental plots. In 2020, the total irrigation amounts for the high-water treatment (0.9 Ep) and the low-water treatment (0.5 Ep) were 247.5 mm and 137.5 mm, respectively. In 2021, the total irrigation amounts for the high-water treatment (0.9 Ep) and the low-water treatment (0.5 Ep) were 245.7 mm and 136.5 mm, respectively.
2.3. Measurements and Methods
2.3.1. Soil Water Content
To monitor the variations in soil water at different points in real-time, a set of soil water monitoring systems (ZL6, METER Group, Pullman, WA, USA) was buried in the midst of each experimental plot, and each instrument was connected to six probes (Teros 11, METER Group, Pullman, WA, USA). The measurement depths were 0, 10, 20, 30, 40 and 60 cm, respectively, and the data were recorded every 15 min and stored in the system. Routine soil sampling and drying methods were used to calibrate the TRIME-IPH time-domain reflectometer (TDR, Effectiva GmbH, Stuttgart, Germany). The gravimetric method measured soil water at 0–100 cm every 7 days, with two replicates per treatment. The installation position of the TRIME tube was the same as that of the gravimetric method samples, both located at the midpoint between two drippers on the drip irrigation belt, measured every 7–10 days, with an additional measurement after irrigation, and three replicates per mulch and irrigation treatment.
2.3.2. Soil Temperature
Soil temperature was measured using an eight-channel soil temperature logger (JL-04, T-RhizoTech, Chengdu, Sichuan, China), with measurements taken at the midpoint between two drippers on the drip irrigation belt. The precision of the JL-04 logger was 0.1 °C. Soil temperatures at depths of 0 cm, 10 cm, 20 cm, 30 cm, 40 cm, and 60 cm were recorded, with data automatically collected every 30 min.
2.3.3. Root Distribution
The greenhouse tomatoes were harvested in four layers. After the fourth layer of tomatoes was harvested, five representative plants were randomly chosen from each treatment. Using a soil auger with a diameter of 7 cm, root samples from different positions and soil layers were collected. Root samples were taken once between rows and once between plants, with a sampling depth of 60 cm, divided into layers of 10 cm each (Figure 1). The collected roots were placed in mesh bags, rinsed clean, and scanned into JPG files using a scanner with a resolution of 4800 (H) × 9600 (V) dpi (MRS-9600TFU2L, Wanchen, Chengdu, China). The root morphology indices such as root length and surface area were analyzed using image analysis software (WinRHIZO Pro2004b, Régent Instruments Inc., Guelph, Canada). The root length density (RLD, cm/cm3) was calculated as follows:
where represents the root length density (cm/cm3), represents the root lengths at different soil depths (cm), and represents the soil auger volume, which was 384.85 cm3 in this experiment.
Figure 1.
Schematic diagram of sampling plots for greenhouse tomato root system.
2.3.4. Water Stress Coefficient (Ks)
The water stress coefficient (Ks) depends on the effective soil water in the root zone. When the soil water content is higher than the field capacity, the tomato roots are unaffected, and the water stress coefficient is 1; when the soil water content is lower than the permanent wilting point, it is considered that the tomato roots have died, and the water stress coefficient is 0. Between the field capacity and the permanent wilting point, tomato roots are subjected to drought stress, and the water stress coefficient is a value between 0 and 1 [34]. The specific expression is as follows:
where is the soil water content; is the critical soil water content under water stress; and is the permanent wilting point. The experiments measured = 0.32 cm3/cm3, = 0.09 cm3/cm3, = 0.267 cm3/cm3, and = 0.189 cm3/cm3.
2.4. Model Evaluation
In this study, the coefficient of determination (R2) and normalized root mean square error (NRMSE) were used to evaluate the function models. The closer R2 is to 1, the better the correlation. The closer NRMSE is to 0, the better the model simulation effect.
The equation is as follows: represents the measured value, represents the predicted value, represents the average measured value, and represents the number of samples. The closer R2 is to 1, the stronger the correlation, and the better the model’s performance. RMSE indicates the average difference between the simulated and observed values; the closer it is to 0, the smaller the deviation. NRMSE indicates the quality of the model’s simulation performance. When NRMSE < 10%, the model’s simulation performance is considered excellent. When 10% ≤ NRMSE < 20%, the model’s simulation performance is considered good. When 20% ≤ NRMSE < 30%, the model’s simulation performance is considered average. When NRMSE ≥ 30%, the simulation performance is considered poor.
2.5. Data Processing and Analysis
In this study, the regression fitting method was used to establish a root length distribution model with root length data from 2021, and the measured data from 2020 were used to validate the model. Data processing and chart plotting were performed using Microsoft Excel 2010, Origin 2022, SPSS 26.0, and Surfer 15 (Golden Software Inc., Boulder, Colorado, USA).
3. Results and Analysis
3.1. Effects of Irrigation and Mulching Treatments on Soil Water and Heat
3.1.1. Effects on Soil Water Content
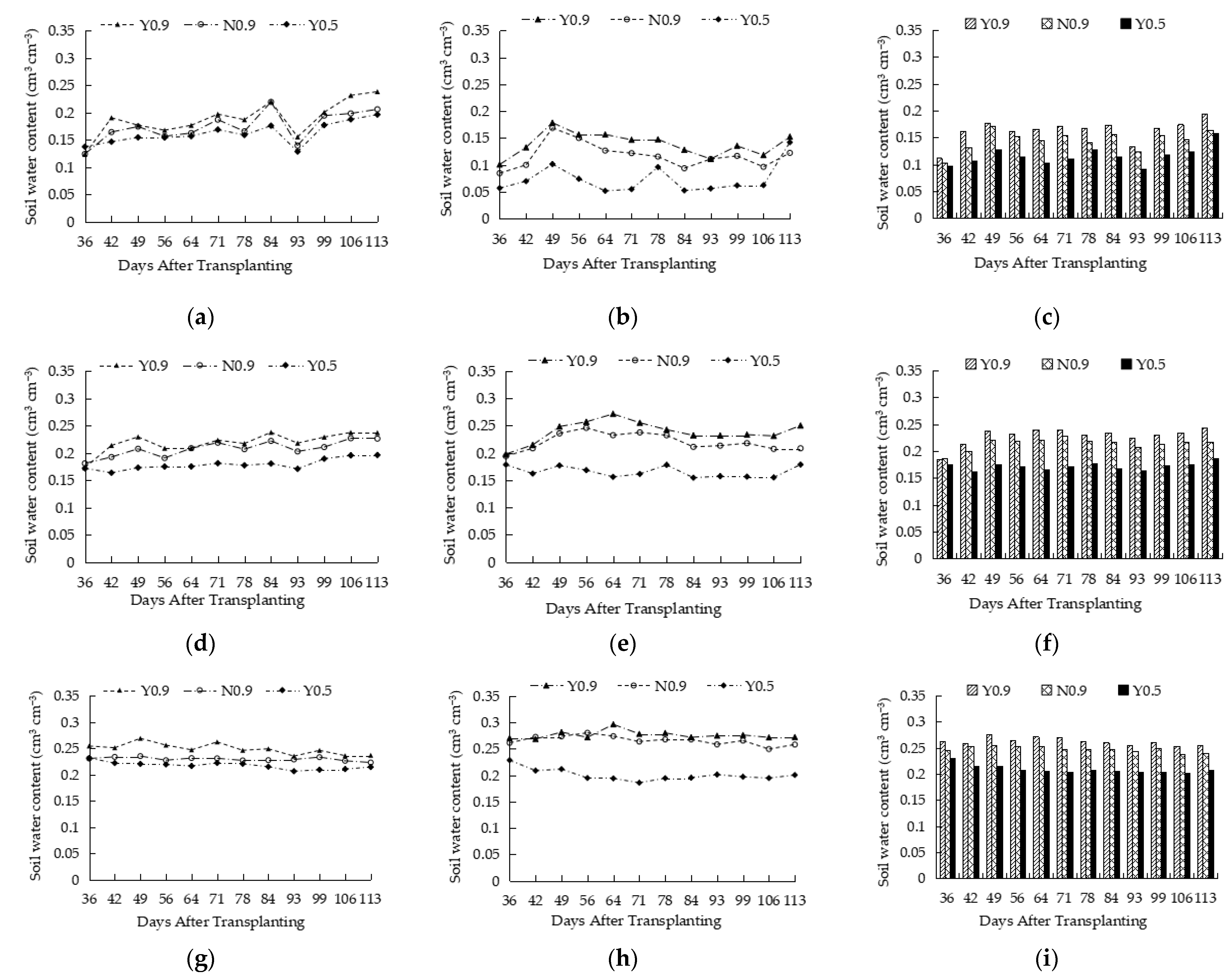
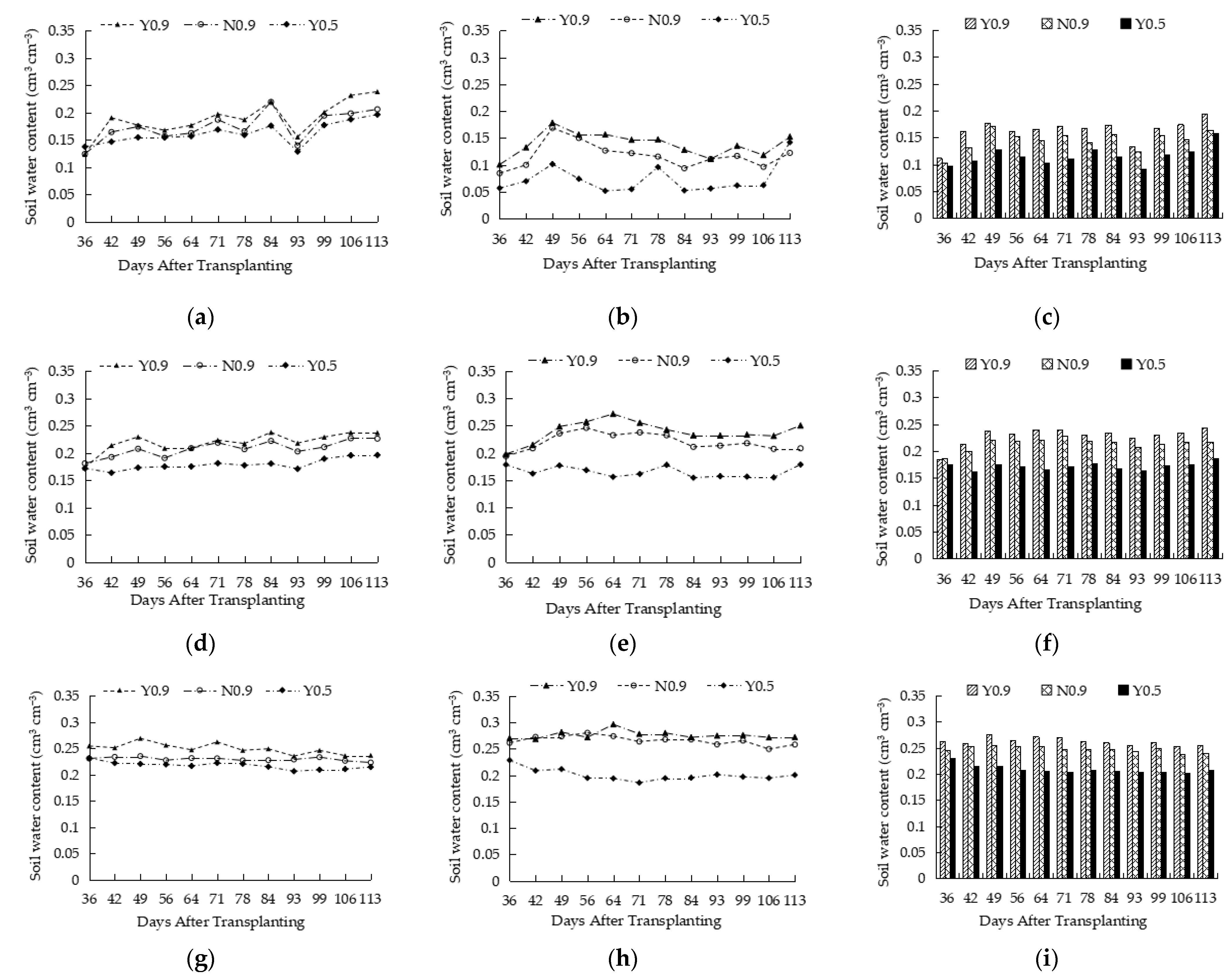
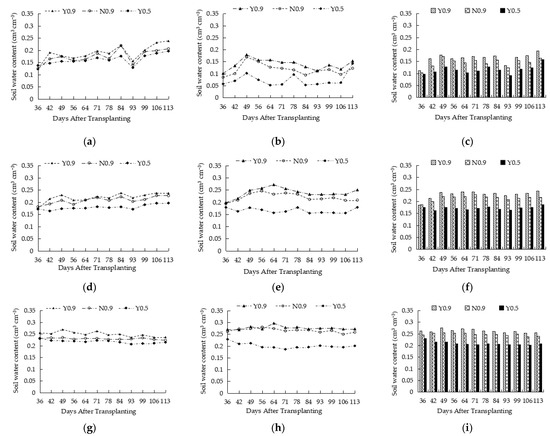
As shown in Figure 2, the average soil water content in the 0–60 cm soil layer for the years 2020 and 2021, as well as the average over both years, all exhibited a pattern of Y0.9 > N0.9 > Y0.5. In 2020, the soil water contents at 20 cm, 40 cm, and 60 cm depths under the Y0.9 treatment were 0.189, 0.219, and 0.249 cm3/cm3, respectively, which were 8.6%, 5.3%, and 8.7% higher than those under the N0.9 treatment at the same depths. In 2021, the soil water contents at 20 cm, 40 cm, and 60 cm depths under the Y0.9 treatment were 0.146, 0.238, and 0.277 cm3/cm3, respectively, which were 21.16%, 8.03%, and 3.7% higher than those under the N0.9 treatment at the same depths. For the two-year average, the soil water contents at 20 cm, 40 cm, and 60 cm depths under the Y0.9 treatment were 0.164, 0.229, and 0.262 cm3/cm3, respectively, which were 8.6%, 5.3%, and 8.7% higher than those under the N0.9 treatment at the same depths. Compared to the Y0.9 treatment, the Y0.5 treatment reduced the irrigation quota by 44.4%. Therefore, the Y0.5 treatment resulted in decreases in soil water content at 20 cm, 40 cm, and 60 cm depths by 14.3%, 18.4%, and 12.8%, respectively, in 2020, and by 45.0%, 24.16%, and 23.18% in 2021, as well as by 28.21%, 24.89%, and 20.48% for the two-year average. The soil water content across different soil layers under all treatments generally showed an increase with an increasing soil depth throughout the growth period. The fluctuations in soil water content were larger in the 0–20 cm soil layer, with variations of 0.115 cm/cm3, 0.095 cm/cm3, and 0.068 cm/cm3 under the Y0.9, N0.9, and Y0.5 treatments in 2020, respectively, and variations of 0.078 cm/cm3, 0.084 cm/cm3, and 0.09 cm/cm3 under the Y0.9, N0.9, and Y0.5 treatments in 2021, respectively. The changes were relatively stable in the 20–60 cm soil layer, where at a 20–40 cm depth, the soil water content variations were 0.065 cm/cm3, 0.046 cm/cm3, and 0.033 cm/cm3 in 2020, and 0.074 cm/cm3, 0.052 cm/cm3, and 0.024 cm/cm3 in 2021, under the Y0.9, N0.9, and Y0.5 treatments, respectively. At a 40–60 cm depth, the soil water content variations were 0.034 cm/cm3, 0.012 cm/cm3, and 0.025 cm/cm3 in 2020, and 0.028 cm/cm3, 0.031 cm/cm3, and 0.043 cm/cm3 in 2021, under the Y0.9, N0.9, and Y0.5 treatments, respectively.
Figure 2.
Changes in greenhouse soil water content (SWC) in 2020 and 2021. Y0.9: mulched high water; N0.9: non-mulched high water; Y0.5: mulched low water. (a) The 0–20 cm soil layer in 2020; (b) 0–20 cm soil layer in 2021; (c) two-year average of 0–20 cm soil layer; (d) 20–40 cm soil layer in 2020; (e) 20–40 cm soil layer in 2021; (f) two-year average of 20–40 cm soil layer; (g) 40–60 cm soil layer in 2020; (h) 40–60 cm soil layer in 2021; (i) two-year average of 40–60 cm soil layer.
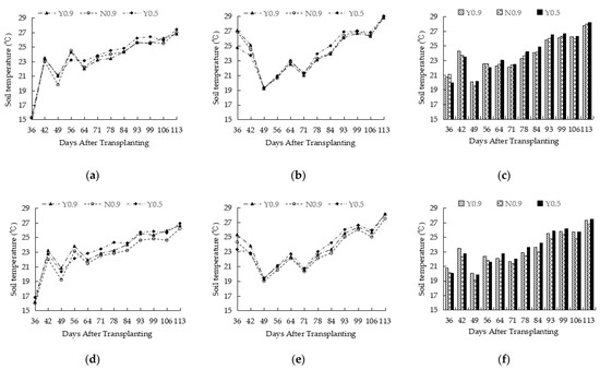
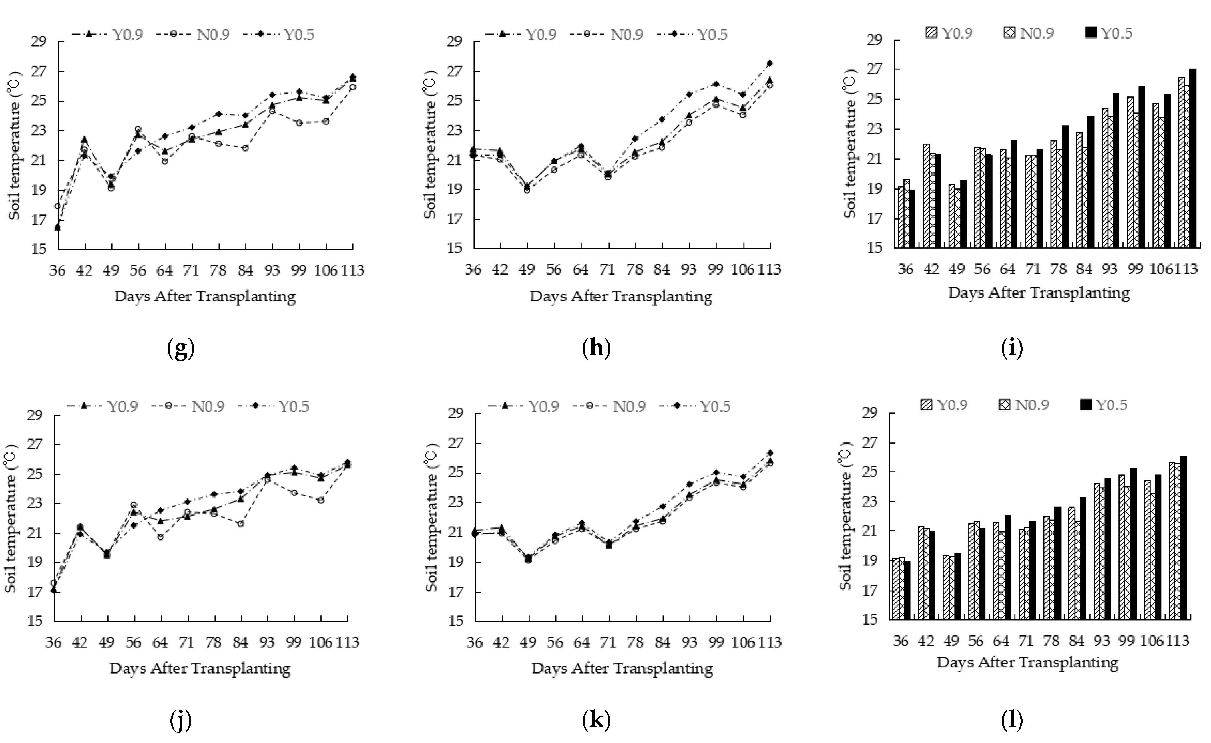
3.1.2. Effects on Soil Temperature in Different Soil Layers
As shown in Figure 3, the average temperatures in the 0–30 cm soil layer for the years 2020 and 2021 all showed the pattern of Y0.5 > Y0.9 > N0.9. In the 0–5 cm surface soil layer, the average temperatures were consistently higher for N0.9 than for the Y0.9 treatment. In 2020, 2021, and the two-year average, the soil temperatures under the N0.9 treatment were 23.37 °C, 24.29 °C, and 23.83 °C, respectively, which were 0.1%, 0.3%, and 0.2% higher than those under the Y0.9 treatment at the same depths. As the soil depth increased, the average temperatures at 10, 20, and 30 cm soil layers all showed the pattern of Y0.9 > N0.9 treatment. In 2020, the soil temperatures at 10, 20, and 30 cm depths under the Y0.9 treatment were 23.27 °C, 22.73 °C, and 22.55 °C, respectively, which were 3.3%, 2.3%, and 1.9% higher than those under the N0.9 treatment at the same depths. In 2021, the soil temperatures at 10, 20, and 30 cm depths under the Y0.9 treatment were 23.63 °C, 22.40 °C, and 22.09 °C, respectively, which were 2.3%, 1.9%, and 0.9% higher than those under the N0.9 treatment at the same depths. For the two-year average, the soil temperatures at 10, 20, and 30 cm depths under the Y0.9 treatment were 23.78 °C, 23.45 °C, and 22.56 °C, respectively, which were 2.8%, 2.1%, and 1.4% higher than those under the N0.9 treatment at the same depths. The Y0.5 treatment, compared to the Y0.9 treatment, reduced the irrigation quota by 44.4%, but increased the soil temperatures at 5, 10, 20, and 30 cm depths by 1.7%, 0.5%, 1.2%, and 1.0% in 2020, and by 0.3%, 0.1%, 2.4%, and 1.2% in 2021, as well as by 0.96%, 0.28%, 1.79%, and 1.10% for the two-year average.

Figure 3.
Changes in greenhouse soil temperature in 2020 and 2021. Y0.9: mulched high water; N0.9: non-mulched high water; Y0.5: mulched low water. (a) The 5 cm soil layer in 2020; (b) 5 cm soil layer in 2021; (c) two-year average of 5 cm soil layer; (d) 10 cm soil layer in 2020; (e) 10 cm soil layer in 2021; (f) two-year average of 10 cm soil layer; (g) 20 cm soil layer in 2020; (h) 20 cm soil layer in 2021; (i) two-year average of 20 cm soil layer; (j) 30 cm soil layer in 2020; (k) 30 cm soil layer in 2021; (l) two-year average of 30 cm soil layer.
3.2. Effects of Different Water and Mulching Treatments on Tomato Root Characteristics
Root growth can be evaluated using characteristic parameters such as root surface area, average root diameter, root volume, and root length density. The influences of different water and mulching treatments on the characteristic parameters of tomato roots are presented in Table 1. Under the same treatment, apart from the average root diameter and root volume, the other characteristic parameters of the root system exhibited significant differences at various depths and demonstrated a consistent trend.
Table 1.
Root characteristic parameters of greenhouse tomatoes during late growth stages under different mulching and irrigation conditions in 2020 and 2021.
Under the same mulching conditions: within the 0–60 cm soil layer, the root surface area, average root diameter, and root length density all manifested as Y0.5 > Y0.9. Specifically, compared with the Y0.9 treatment, the Y0.5 treatment increased by 12.8%, 20.8%, and 13.8%, respectively, in 2020, and by 19.9%, 26.1%, and 18.7%, respectively, in 2021. Combining the data of the two years, the root surface area of both the Y0.9 and Y0.5 treatments decreased gradually with the increase in soil depth. The root surface areas of the Y0.5 treatment reached the maxima in the 0–10 cm soil layer, which were 121.07 cm2 in 2020 and 121.03 cm2 in 2021, 66% and 115% higher than those of the Y0.9 treatment, respectively. In the 10–20 cm soil layer, the root surface areas of the Y0.5 treatment were slightly higher than those of the Y0.9 treatment; however, in the 20−50 cm soil layer, the root surface area of the Y0.5 treatment was lower than that of the Y0.9 treatment. The change patterns in the average root diameter of the same treatment were different in the two years, but in the 0–10 cm soil layer, the average root diameters of the Y0.5 treatment were 71.7% (in 2020) and 1.8% (in 2021) higher than those of the Y0.9 treatment. The root volume of the Y0.5 treatment decreased with the increase in soil depth and reached its maxima in the 0–10 cm soil layer, which were 0.86 cm3 in 2020 and 0.82 cm3 in 2021, 66.2% and 64% higher than those of the Y0.9 treatment, respectively, while it was lower than those of the Y0.9 treatment in the 20–50 cm soil layer. The root length density of both the Y0.9 and Y0.5 treatments decreased with the increase in soil depth and was mainly concentrated in the 0–20 cm soil layer, accounting for 66.9% and 74.7% (in 2020) and 62.4% and 75.8% (in 2021) of the total root length density, respectively. In 2020 and 2021, the root length density of the Y0.5 treatment reached its maxima in the 0–10 cm soil layer (3.83 cm/cm3, 3.84 cm/cm3), increasing by 36.3% and 63.4%, respectively, compared with the Y0.9 treatment. The root length density of the Y0.5 treatment in the 10–20 cm soil layer was 8.1% higher in 2020 and 16.9% higher in 2021 than that of the Y0.9 treatment, but in the 30–50 cm soil layer, the root length density of the Y0.5 treatment was lower than that of the Y0.9 treatment, with similar root length densities in other soil layers.
When combining data from the two years, within the 0–60 cm soil layer, the root surface area, average root diameter, root volume, and root length density all presented as Y0.9 < N0.9. Compared with the N0.9 treatment, the Y0.9 treatment decreased by 40.8%, 32.4%, 48.6%, and 33.3% in 2020, and by 39.1%, 1.0%, 49.1%, and 35.2% in 2021. In contrast to the N0.9 treatment, for the Y0.5 treatment, all characteristic parameters except the average root diameter demonstrated that Y0.5 < N0.9. Compared with the N0.9 treatment, the Y0.5 treatment decreased by 33.2%, 52.0%, and 24.0% in 2020, and by 27.0%, 37.8%, and 23.1% in 2021. The root surface area of the N0.9 treatment exhibited an initial increase followed by a decrease with soil depth, reaching its maxima at 20 cm, which were 136.84 cm2 in 2020 and 104.09 cm2 in 2021. Conversely, the Y0.9 treatment and the Y0.5 treatment presented a decreasing trend, reaching their maxima at 10 cm, which were 72.95 cm2 and 121.07 cm2 in 2020, and 72.84 cm2 and 121.03 cm2 in 2021, and were lower than the N0.9 treatment in the 10–50 cm soil layer. The average root diameter of the N0.9 treatment generally increased initially and then decreased with soil depth, ranging from 0.5 to 1.13 mm within the 0–60 cm soil layer in 2020 and from 0.25 to 0.97 mm in 2021. The Y0.9 treatment displayed conspicuously different change patterns over the two years, with the range being 0.17–0.78 mm in 2020 and 0.49–1.09 mm in 2021, and the difference was proximate to that of the N0.9 treatment. The Y0.5 treatment manifested a complex dynamic change pattern, initially decreasing, then increasing, followed by another decrease, and ultimately tending to increase, with the range being 0.28–0.91 mm in 2020 and 0.37–1.27 mm in 2021, and the difference was higher than that of the N0.9 treatment. The root volume of the N0.9 treatment demonstrated distinct trends with depth in the two years, with a significant reduction in the 20–30 cm soil layer, and ranging from 0.09 to 1.19 mm within the 0–60 cm soil layer in 2020 and from 0.08 to 1.15 mm in 2021. The Y0.9 treatment also presented diverse trends within the two years, with the range being 0.07–0.64 mm in 2020 and 0.09–0.5 mm in 2021, which was lower than that of the N0.9 treatment. The Y0.5 treatment exhibited a decreasing trend with soil depth in the two years and was lower than the N0.9 treatment in the 10–60 cm soil layer, except for the 0–10 cm soil layer. Regarding root length density, the N0.9 treatment increased initially and then decreased with depth, reaching the maxima at 20 cm, which were 3.97 cm/cm3 in 2020 and 3.58 cm/cm3 in 2021. The Y0.9 treatment and the Y0.5 treatment were 32.9% and 14.7% lower than the N0.9 treatment in the 0–20 cm soil layer in 2020, and 35.6% and 5.7% lower in 2021, respectively, and were lower than the N0.9 treatment in the 10–50 cm soil layer.
Table 2 shows the significance analysis of the root characteristic parameters of greenhouse tomatoes in the late growth stage under different water and mulching treatments in 2020 and 2021. Significant interactive effects among all treatment factors were observed for root length density. Mulching as a single factor and the interaction between mulching and irrigation had significant effects on the root surface area of tomatoes (p < 0.05). Both mulching and irrigation as single factors and their interaction had a highly significant effect on the root length density of tomatoes (p < 0.01). Regarding the F-value of root length density, the effect of mulching > the interaction effect of mulching × irrigation > the effect of irrigation.
Table 2.
Significance analysis of root characteristic parameters of greenhouse tomatoes during late growth stages under different mulching and irrigation conditions in 2020 and 2021.
3.3. Effect of Mulching and Water Treatments on Tomato Root Distribution
Spatial Distribution of Root Length Density
Figure 4 shows the distribution of tomato root length density under different treatments in 2020 and 2021. Under the mulching treatment, the root length density distribution decreased with the increase in soil depth. Specifically, in 2020, in the 0–10 cm soil layer, the root length densities of the high-water treatment (Y0.9) and the low-water treatment (Y0.5) accounted for 45.2% and 54.1% of the total root length density, respectively; in the 10–20 cm soil layer, they were 21.7% and 20.6%, respectively; in the 20–30 cm soil layer, they were 13.2% and 8.6%, respectively; in the 30–40 cm soil layer, they were 9.0% and 6.6%, respectively; in the 40–50 cm soil layer, they were 6.8% and 5.8%, respectively; and in the 50–60 cm soil layer, they were both 4.2%. In 2021, in the 0–10 cm soil layer, they were 39.0% and 53.6% respectively; in the 10–20 cm soil layer, they were 22.6% and 22.2% respectively; in the 20–30 cm soil layer, they were 13.1% and 9.5% respectively; in the 30–40 cm soil layer, they were 11.3% and 5.6% respectively; in the 40–50 cm soil layer, they were 8.1% and 5.0% respectively; and in the 50–60 cm soil layer, they were 6.0% and 4.1% respectively. The root system was mainly concentrated in the surface layer (0–20 cm). Under non-mulch treatments, the root length density distribution of tomatoes showed an increasing trend followed by a decreasing trend with increasing soil depth, with the majority of the root length density concentrated within the 0–20 cm soil layer, and the maximum value occurring in the 10–20 cm soil layer (Figure 4b,e). For the N0.9 treatment, the root length density in the 0–20 cm soil layer accounted for 66.5% of the total root length density in 2020 and 61.9% in 2021. Under the same mulch treatment, the distribution range of root length density under low-water treatment was broader than that under high-water treatment. At the inter-plant (−15 cm) location, the total root length density of the Y0.5 treatment was 60% higher than that of the Y0.9 treatment in 2020 and 78% higher in 2021. At the inter-row (22.5 cm) location, the Y0.5 treatment was 17% higher than the Y0.9 treatment in 2020 and 32.1% higher in 2021. Under the same irrigation conditions, the root length density distribution range of non-mulch treatment at the inter-plant (−15 cm) location exhibited an expanding tendency compared with the mulched treatment. In the inter-plant direction, the total root length density of the N0.9 treatment was 209.2% higher than that of the Y0.9 treatment in 2020 and 14.0% higher in 2021.
Figure 4.
Root length density distribution of greenhouse tomatoes during the late growth stages under different treatments in 2020 and 2021. Y0.9: mulched high water; N0.9: non-mulched high water; Y0.5: mulched low water. (a) Y0.9 treatment in 2020; (b) N0.9 treatment in 2020; (c) Y0.5 treatment in 2020; (d) Y0.9 treatment in 2021; (e) N0.9 treatment in 2021; (f) Y0.5 treatment in 2021. (The position at −15 is between the plants, and the position at 22.5 is between the rows.)
3.4. Model Construction and Validation of Tomato Root Distribution
As shown in Figure 5, under the N0.9 treatment, the root length density of tomato varies with changes in soil water and temperature. The root length density has a cubic polynomial relationship with the soil water content [35]; similarly, the root length density has a cubic polynomial relationship with soil temperature.
Figure 5.
Relationship between root length density of greenhouse tomatoes in N0.9 treatment and soil water content and soil temperature in 2020. (a) Soil water content (SWC) in 2020; (b) soil temperature in 2020.
During the late growth stage, multiple regression analysis using polynomial functions was performed on the root length density in relation to the soil water content and soil temperature. To quantitatively study the distribution pattern of tomato root length density under different soil water and temperature conditions, a root distribution model was constructed, as shown in Equation (7):
The equation is as follows: represents the root length density; and refer to the soil water content (%) and temperature (°C), respectively; and A, B, C, D, E, and F are the fitting coefficients.
According to Table 2, the regression relationship between soil hygrothermal conditions and root length density reached an extremely significant level (p < 0.01). For the N0.9 treatment greenhouse tomato root distribution model during the later growth stages in 2020, the coefficient of determination for the 0–20 cm soil layer was 0.87, and for the 20–60 cm soil layer, it was 0.884. The model used fits well with the actual conditions.
The equation is as follows: represents the root length density; and and refer to the soil water content (%) and temperature (°C), respectively.
Using the measured results from the 2021 non-mulched high-water treatment (N0.9), the root distribution model was validated by substituting the soil water content and soil temperature from the late growth stage of 2021 into the model. The simulated root length density values for the non-mulched high-water treatment (N0.9) were calculated and compared with the root distribution data from 2021. The model was evaluated using the coefficient of determination and normalized root mean square error (NRMSE). The results are shown in Figure 6, which indicates that the R2 of the simulated values compared to the measured values was 0.97, and the NRMSE was 19%, demonstrating a high precision in model simulations. This model effectively describes the relationship between root length density and soil hydrothermal conditions during the late growth stage of tomatoes in 2021.
Figure 6.
The relationship graph (1:1) between the simulated root length density and the measured root length density of greenhouse tomatoes under treatment N0.9 in 2021.
3.5. Improvement of Tomato Root Distribution Model
3.5.1. Mulching Factor
Figure 7 (taking 2020 as an example) shows the root length density distribution under different mulching treatments at various soil depths. The experimental data indicate that, when compared to the control group (N0.9), at depths of 0–11 cm, the root length density of Y0.9 is greater than that of N0.9, while at depths of 20–60 cm, the root length density of N0.9 is greater than that of Y0.9.
Figure 7.
Relationship between average root length density and depth of greenhouse tomatoes in 2020.
To further improve the model, considering the effect of mulch on root density, the mulch factor fm [36] was introduced based on the root distribution model under the N0.9 (CK) treatment. The mulch factor for different depths under mulch treatment was obtained from the ratio of root length density under mulch to non-mulch conditions in 2020, as shown in Equation (9):
The equation is as follows: fm is the mulching factor, and h is the soil depth (m).
3.5.2. Introduction of the Mulching Factor to the Dynamic Spatial Distribution Model of Tomato Root Growth
Introducing the mulch factor (fm), which adjusts the root length density according to different mulch types and soil layer depths, the improved root distribution model was adapted using Equation (10):
The equation is as follows: fm is the mulching factor.
We used the measured results from the mulched high-water treatment (Y0.9) in 2021 to test the improved root distribution model, and the results are shown in Figure 8a. From the results, it can be seen that the correlation coefficient R2 between the simulated values and the measured values is 0.9, and the normalized root mean square error (NRMSE) is 22%, indicating a high model simulation accuracy.
Figure 8.
Relationship plot (1:1) of simulated vs. measured root length density of greenhouse tomatoes under different treatments in 2021. (a) Y0.9 treatment in 2021; (b) Y0.5 treatment in 2021.
3.5.3. Introduction of the Water Stress Factor to the Dynamic Spatial Distribution Model of Tomato Root Growth
We introduced the water stress factor (Ks) [31], based on the mulched high water treatment (Y0.9) model. In the experiment, the irrigation treatments were maintained between the field water-holding capacity and the permanent wilting point of the soil. As derived from Equation (3),
The tomato root distribution model was improved using Equation (11) as follows:
where Ks is the water stress factor.
The improved root distribution model was tested using the measured results from the mulched low-water treatment (Y0.5) in 2021. The results are shown in Figure 8b. For the Y0.5 treatment, the correlation coefficient R2 between the simulated values and the measured values is 0.98, and the normalized root mean square error (NRMSE) is 24%, indicating a high model simulation accuracy.
4. Discussion
Soil water and temperature conditions are critical factors affecting crop root distribution and growth. Mulching and irrigation significantly influence soil water levels in various soil layers, thereby affecting the spatial distribution of crop roots. Under conventional cultivation conditions, the root zone of crops is typically influenced by growth during the flowering and fruiting stages (BBCH 20–29) and the full fruit stage (BBCH 30–39), with soil water generally exhibiting a downward trend. For example, in the BBCH 20–29 stage of 2021, the soil water contents under mulched high-water (Y0.9), non-mulched high-water (N0.9), and mulched low-water (Y0.5) treatments were 0.22, 0.207, and 0.149 cm3/cm3, respectively. During the full fruit stage (BBCH 30–39), soil water decreased to 0.217, 0.199, and 0.14 cm3/cm3. During the harvesting period (BBCH 40–49), soil water levels increased, likely due to a decline in the physiological processes of the plants, where yellowing and leaf drop reduced the water demand of tomatoes, leading to increased soil water across various layers. Throughout the entire growth period, the soil water content in the 0–20 cm layer fluctuated significantly, while changes in the deeper layers remained relatively stable. This may be attributed to the denser root systems in the upper layer, which consume more water and are more susceptible to evaporation and plant transpiration. The change in soil temperature is mainly influenced by natural environmental factors. This is consistent with the results of Zhang et al. [13]. This study discovered that with an increase in irrigation water, the soil water content rose, while the soil temperature decreased. This is because a greater amount of irrigation water alters the water and thermal conditions in the soil. However, Yang et al. [37] noted that different irrigation treatments had no significant impact on soil temperature, which might be due to the differences in the types of crops cultivated. Mulching can reduce the area exposed to the air and lower soil evaporation [38], thereby increasing soil water content and soil temperature, achieving the effects of warming and water retention. This is consistent with the research results of Shen et al. [39], who pointed out that mulch can significantly increase the soil water content in the 0–40 cm soil layer and raise the soil temperature in the 0–10 cm range for plants. However, Zhao et al. [40] demonstrated that mulching treatment increased plant transpiration, thereby intensifying the consumption of soil water. This phenomenon could be attributed to the fact that the study did not fully take into account the influences of meteorological conditions and soil properties, among other factors.
The root system of a plant constitutes an essential component for water uptake [41]. The water required for its growth is mainly conveyed by the root system. Therefore, the root system plays an indispensable role in soil water management and plant growth. In studies, tomato roots were mainly concentrated in the topsoil (0–20 cm), consistent with findings by Liu et al. [42]. However, research by Zapata-Sierra [43] indicated that tomato plant roots were mainly distributed in the 0–11 cm or 15.5 cm soil layer, which may be due to different sampling accuracies. In this study, under the same film conditions, low-water treatment increased the root length density in the surface layer (0–20 cm) and broadened the distribution range of tomato root length density vertically and horizontally. This was because under film conditions, the surface-level oxygen supply was sufficient, and the water content was relatively low, which was conducive to root growth. However, studies by Zou et al. [44] suggested that high water was more favorable for the growth and development of shallow roots, while low water was beneficial for deep root growth. The differences in tomato root growth at various depths under different film treatments were considerable, which might be associated with the warming and water-retaining effects of the plastic film. In the present study, the film mainly influenced root length density in the 0–10 cm soil layer. The root length densities under the Y0.9 treatment were 26% (2020) and 7.8% (2021) higher than those under the N0.9 treatment. However, the total root length densities under the N0.9 treatment were 49.84% (2020) and 52.51% (2021) higher than those under the Y0.9 treatment. This might be because the film conditions led to the soil having a higher water content, thereby inhibiting root respiration and affecting overall root growth, consistent with previous research findings [45,46].
At present, root distribution models primarily represent the distribution of the root length density [37]. Wu et al. [47] and Zou et al. [48] employed multi-year measured data and normalized methods to establish cubic polynomial functions of the relative root length density for corn. In this study, the same cubic polynomial was used to fit the relationship between the root length density and soil water and heat, establishing a distribution model of the root length density under non-mulched high-water conditions. The simulation results showed high consistency with the measured values, with the coefficient of determination reaching 0.97, visually presenting the variations in root length density. Previous research on root distribution under water stress focused on the study of the root weight density [34], while in this paper, the film-covering factor and water stress factor were introduced to quantify the influences of the film covering and irrigation on the growth of tomato roots in the greenhouse, allowing us to determine the root length density distributions of greenhouse tomatoes under different treatments and providing a theoretical basis for studies of root growth models, soil water, and temperature.
5. Conclusions
This study explored the influences of diverse drip irrigation water amounts and mulching conditions on the soil water, soil temperature, and root distribution of greenhouse tomatoes. In the research findings, the average water content in the 0–60 cm soil layer in 2020 and 2021 manifested an order of Y0.9 > N0.9 > Y0.5 treatment, while the average temperature in the 0–30 cm soil layer presented an order of Y0.5 > Y0.9 > N0.9 treatment. The interaction between film mulching and irrigation significantly influenced the root distribution of tomato plants. Under the non-mulched condition, the root surface area, average root diameter, root volume, and root length density generally exhibited a trend of first increasing and then decreasing with the increase in depth. Under the same film treatment, the tomato root length density distribution range of the mulched low-water treatment (Y0.5) was larger than that of the mulched high-water treatment (Y0.9). Subsequently, based on the significant binary cubic polynomial relationship between greenhouse tomatoes and soil water and temperature, a root length density distribution model under the N0.9 (CK) treatment was established, and the mulching factor (fm) and water stress factor (Ks) were introduced to refine the tomato root distribution model. The results showed that the coefficients of determination R2 were 0.9, 0.97, and 0.98 for the Y0.9, N0.9, and Y0.5 treatments, respectively, with NRMSEs of 20%, 22%, and 24%, respectively, indicating good model simulation accuracy.
The outcomes of this study provide a theoretical foundation for agricultural producers to assess the effects of mulching and irrigation on the roots of tomatoes during the planting process. Nevertheless, this study did not correlate root growth with aboveground biomass. Future research ought to integrate root growth data and aboveground biomass measurements in order to construct a more comprehensive plant growth model, thereby enhancing our comprehension of the effects of water management on the overall growth of tomatoes.
Author Contributions
J.G. conducted the experiments and contributed to writing of the manuscript. Y.Z. designed this study, analyzed the data, and contributed to writing of the manuscript. X.G. and C.Y. contributed to the preparation of the figures and tables. X.W., J.Z. and Y.L. reviewed and edited the manuscript. J.G., X.G. and C.Y. supervised the research project. All authors have read and agreed to the published version of the manuscript.
Funding
This research was supported by the Key Scientific and Technological Research Project of Henan Province (242102111108), National Natural Science Foundation of China (51709110), General Project of the Natural Science Foundation of Henan Province (242300420035), and Innovative Talents Project of Universities and Colleges in Henan Province (24IRTSTHN012).
Data Availability Statement
The original contributions presented in the study are included in the article material, further inquiries can be directed to the corresponding author.
Acknowledgments
We are grateful to North China University of Water Resources and Electric Power for its assistance in the experiments.
Conflicts of Interest
The authors declare no conflicts of interest.
References
- Ge, J.; Zhao, L.; Yu, Z.; Liu, H.; Zhang, L.; Gong, X.; Sun, H. Prediction of Greenhouse Tomato Crop Evapotranspiration Using XGBoost Machine Learning Model. Plants 2022, 11, 1923. [Google Scholar] [CrossRef] [PubMed]
- Hong, T.; Cai, Z.; Zhao, R.; He, Z.; Ding, M.; Zhang, Z. Effects of water and nitrogen coupling on the yield, quality, and water and nitrogen utilization of watermelon under CO2 enrichment. Sci. Hortic. 2021, 286, 110213. [Google Scholar] [CrossRef]
- Autovino, D.; Provenzano, G.; Monserrat, J.; Cots, L.; Barragán, J. Determining Optimal Seasonal Irrigation Depth Based on Field Irrigation Uniformity and Economic Evaluations: Application for Onion Crop. J. Irrig. Drain. Eng. 2016, 142, 1943–4774. [Google Scholar] [CrossRef]
- Gao, H.; Liu, H.; Gao, W.; Liu, Q.; Qian, C.; Jin, T.; Yan, C. Suitability of plastic mulching technology and its application in spring maize in Northeast China. Trans. Chin. Soc. Agric. Eng. 2021, 37, 95–107. [Google Scholar]
- Huang, D.; Tong, S.; Yue, L.; Li, Y.; Zhang, X.; Zheng, W.; Wang, C.; Zhang, X.; Zhai, B.; Li, Z. Spatial distribution of rhizosphere enzyme activities under long-term drought land mulching analyzed by in-situ enzyme mapping technology. Trans. Chin. Soc. Agric. Eng. 2022, 38, 123–130. [Google Scholar]
- Blanco, I.; Cardinale, M.; Domanda, C.; Pappaccogli, G.; Romano, P.; Zorzi, G.; Rustioni, L. Mulching with Municipal Solid Waste (MSW) Compost Has Beneficial Side Effects on Vineyard Soil Compared to Mulching with Synthetic Films. Horticulturae 2024, 10, 769. [Google Scholar] [CrossRef]
- Ibrahim, M.; Khan, A.; Ali, W.; Akbar, H. Mulching techniques: An approach for offsetting soil moisture deficit and enhancing manure mineralization during maize cultivation. Soil Tillage Res. 2020, 200, 104631. [Google Scholar] [CrossRef]
- Gu, X.B.; Cai, H.J.; Du, Y.D.; Li, Y.N. Effects of film mulching and nitrogen fertilization on rhizosphere soil environment, root growth and nutrient uptake of winter oilseed rape in northwest China. Soil Tillage Res. 2019, 187, 194–203. [Google Scholar] [CrossRef]
- Pinto, J.P.; da Cunha, F.F.; da Silva Adão, A.; de Paula, L.B.; Ribeiro, M.C.; Costa Neto, J.R.R. Strawberry Production with Different Mulches and Wetted Areas. Horticulturae 2022, 8, 930. [Google Scholar] [CrossRef]
- Liang, S.M.; Ren, C.; Wang, P.J.; Wang, X.T.; Li, Y.S.; Xu, F.H.; Wang, Y.; Dai, Y.Q.; Zhang, L.; Li, X.P.; et al. Improvements of emergence and tuber yield of potato in a seasonal spring arid region using plastic film mulching only on the ridge. Field Crops Res. 2018, 223, 57–65. [Google Scholar] [CrossRef]
- Xue, N.; Anwar, S.; Shafiq, F.; Ullah, K.; Zulqarnain, M.; Haider, I.; Ashraf, M. Nanobiochar Application in Combination with Mulching Improves Metabolites and Curd Quality Traits in Cauliflower. Horticulturae 2023, 9, 687. [Google Scholar] [CrossRef]
- Geng, G.; Bai, G.; Du, S.; Yu, J. Effects of surface mulching on soil water-heat and tomato growth in the Hetao irrigation district. Bull. Soil Water Conserv. 2011, 31, 36–41. [Google Scholar]
- Zhang, M.; Li, Y.; Liu, J.; Wang, J.; Zhang, Z.; Xiao, N. Changes of Soil Water and Heat Transport and Yield of Tomato (Solanum lycopersicum) in Greenhouses with Micro-Sprinkler Irrigation under Plastic Film. Agronomy 2022, 12, 664. [Google Scholar] [CrossRef]
- Li, W.; Xu, J.; Li, W.; Zhang, J. Effects of different colored mulching on soil water-heat conditions and yield of greenhouse tomatoes. Mod. Agric. Sci. Technol. 2024, 61–66. [Google Scholar]
- Xu, X. Effects of Plastic Film Mulching and Planting Density on the Growth and Development and Yield of Mung Beans. Ph.D. Thesis, Northwest A&F University, Xianyang, China, 2024. [Google Scholar]
- Bonachela, S.; Granados, M.R.; Hernández, J.; López, J.C.; Magán, J.J. Combined Passive Heating Systems in Mediterranean, Low-Cost, Greenhouse Cucumber Crops. Agronomy 2024, 14, 374. [Google Scholar] [CrossRef]
- Shan, X.; Zhang, W.; Dai, Z.; Li, J.; Mao, W.; Yu, F.; Ma, J.; Wang, S.; Zeng, X. Comparative Analysis of the Effects of Plastic Mulch Films on Soil Nutrient, Yields and Soil Microbiome in Three Vegetable Fields. Agronomy 2022, 12, 506. [Google Scholar] [CrossRef]
- Morra, L.; Bilotto, M.; Mignoli, E.; Sicignano, M.; Magri, A.; Cice, D.; Cozzolino, R.; Malorni, L.; Siano, F.; Picariello, G.; et al. New Mater-Bi, Biodegradable Mulching Film for Strawberry (Fragaria × Ananassa Duch.): Effects on Film Duration, Crop Yields, Qualitative, and Nutraceutical Traits of Fruits. Plants 2022, 11, 1726. [Google Scholar] [CrossRef]
- Zhao, W.; Ma, F.; Cao, W.; Ma, F.; Han, L. Effects of water-fertilizer coupling on the yield and quality of tomato grown in substrate culture. Trans. Chin. Soc. Agric. Eng. 2022, 38, 95–101. [Google Scholar]
- Guo, S.R. Effects of dissolved oxygen concentration in nutrient solution on respiratory intensity of cucumber and tomato roots. Acta Hortic. Sin. 2000, 27, 141–142. [Google Scholar]
- Fang, Z.; Ma, F.; Cui, J.; Zheng, Z.; Feng, S.; Wang, J. Study on the root distribution pattern of processing tomato under mulched drip irrigation. Xinjiang Agric. Sci. 2008, 45, 15–20. [Google Scholar]
- Hu, J.; Gettel, G.; Fan, Z.; Lv, H.; Zhao, Y.; Yu, Y.; Wang, J.; Butterbach-Bahl, K.; Li, G.; Lin, S. Drip fertigation promotes water and nitrogen use efficiency and yield stability through improved root growth for tomatoes in plastic greenhouse production. Agric. Ecosyst. Environ. 2021, 313, 107379. [Google Scholar] [CrossRef]
- Xue, L.; Zhang, Y.; Duan, J.; Liu, N.; Wang, Z. Relationship between root distribution and water consumption of winter wheat under regulated deficit irrigation. J. Triticeae Crops 2010, 30, 693–697. [Google Scholar]
- Babalola, O.; Fawusi, M.O.A. Drought susceptibility of two tomato (Lycopersicum esculentum) varieties. Plant Soil 1980, 55, 205–214. [Google Scholar] [CrossRef]
- Dinneny, J.R. Developmental responses to water and salinity in root systems. Annu. Rev. Cell Dev. Biol. 2019, 35, 239–257. [Google Scholar] [CrossRef]
- Javaux, M.; Couvreur, V.; Vanderborght, J.; Vereecken, H. Root water uptake: From three-dimensional biophysical processes to macroscopic modeling approaches. Vadose Zone J. 2013, 12, 1–16. [Google Scholar] [CrossRef]
- Liu, Y.; Kumar, M.; Katul, G.G.; Feng, X.; Konings, A.G. Plant hydraulics accentuates the effect of atmospheric moisture stress on transpiration. Nat. Clim. Chang. 2020, 10, 691–695. [Google Scholar] [CrossRef]
- Zuo, Q.; Jie, F.; Zhang, R.; Meng, L. A generalized function of wheat’s root length density distributions. Vadose Zone J. 2004, 3, 271–277. [Google Scholar] [CrossRef]
- Ma, T.; Li, Q.; Yang, L.; Zeng, W.; Wu, J.; Huang, J. Simulation of water uptake by sunflower roots in salinized farmland based on different root distribution patterns. China Rural. Water Hydropower 2016, 9, 18–23. [Google Scholar]
- Gao, R.X. Model Construction of Water Uptake and Root Distribution of Facility-Grown Tomatoes Under Salt Stress. Ph.D. Thesis, Shanxi Agricultural University, Jinzhong, China, 2017. [Google Scholar]
- Ning, S.; Shi, J.; Zuo, Q.; Wang, S.; Ben-Gal, A. Generalization of the root length density distribution of cotton under film mulched drip irrigation. Field Crops Res. 2015, 177, 125–136. [Google Scholar] [CrossRef]
- Niu, J.; Feng, J.; Liu, S.; Jia, S.; Fan, F. A Simple Method for Drip Irrigation Scheduling of Spinach (Spinacia oleracea L.) in a Plastic Greenhouse in the North China Plain Using a 20 Cm Standard Pan Outside the Greenhouse. Horticulturae 2023, 9, 706. [Google Scholar] [CrossRef]
- Gong, X.; Liu, H.; Sun, J.; Gao, Y.; Zhang, H. Comparison of Shuttleworth-Wallace model and dual crop coefficient method for estimating evapotranspiration of tomato cultivated in a solar greenhouse. Agric. Water Manag. 2019, 217, 141–153. [Google Scholar] [CrossRef]
- Meng, F. Study on the Distribution Pattern and Simulation of Rice Roots. Ph.D. Thesis, Nanjing University of Information Science and Technology, Nanjing, China, 2009. [Google Scholar]
- Aiyup, M.; Chen, Y.; Li, W.; Hao, X.; Ma, J.; Su, R. Distribution of Fine Roots of Populus euphratica and Soil Characteristics under Extreme Arid Environment. J. Desert Res. 2011, 31, 1449–1458. [Google Scholar]
- Ding, R.; Kang, S.; Li, F.; Zhang, Y.; Tong, L. Evapotranspiration measurement and estimation using modified Priestley–Taylor model in an irrigated maize field with mulching. Agric. For. Meteorol. 2013, 168, 140–148. [Google Scholar] [CrossRef]
- Liao, Y.; Cao, H.; Xue, W.; Liu, X. Effects of the combination of mulching and deficit irrigation on the soil water and heat, growth and productivity of apples. Agric. Water Manag. 2021, 243, 106482. [Google Scholar] [CrossRef]
- Li, D.; Li, M.; Liu, D.; Lv, M.; Jia, Y. Effects of soil wetting range under mulched drip irrigation on soil water-heat environment and root water consumption of cotton root zone. Chin. J. Appl. Ecol. 2015, 26, 2437–2444. [Google Scholar]
- Shen, L.; Wang, P.; Zhang, L. Effects of degradable mulch on soil, temperature, moisture, and corn growth and development. Trans. Chin. Soc. Agric. Eng. 2011, 27, 25–30. [Google Scholar]
- Zhao, Y.; Li, G.A.; Xia, J.; Bo, L.; Mao, X. Effects of mulching and irrigation amounts on root distribution and yield of seed maize. Trans. Chin. Soc. Agric. Eng. 2022, 38, 104–114. [Google Scholar]
- Ren, R. Numerical Simulation of Coupled Soil Water and Heat Transfer under Non-Isothermal Conditions. Ph.D. Thesis, Taiyuan University of Technology, Taiyan, China, 2018. [Google Scholar]
- Liu, S.H.; Cao, H.X.; Yang, H.; Liu, M. Effects of irrigation amount and operating mode of drip irrigation system on tomato root distribution. J. Irrig. Drain. 2016, 36, 77–80. [Google Scholar]
- Zapata-Sierra, A.J.; Moreno-Pérez, M.F.; Reyes-Requena, R.; and Manzano-Agugliaro, F. Root distribution with the use of drip irrigation on layered soils at greenhouses crops. Sci. Total Environ. 2021, 768, 144944. [Google Scholar] [CrossRef]
- Zou, H.; Zhang, F.; Zhang, Y.; Chen, D.; Liu, S.; Zheng, J. Suitable drip irrigation fertilization promotes root growth of spring maize in Hexi and improves yield. Trans. Chin. Soc. Agric. Eng. 2017, 33, 145–155. [Google Scholar]
- Zhu, W.; Wu, J.; Wang, M. Effects of residual mulch on soil physical properties and maize root growth. Environ. Sci. Technol. 2019, 42, 33–38. [Google Scholar]
- Zhu, J.; Li, W.; Wang, Z.; Zong, R.; Wang, T. Effects of residual mulch amount in drip-irrigated cotton fields on cotton growth. Arid. Zone Res. 2021, 38, 570–579. [Google Scholar]
- Wu, J.; Zhang, R.; Gui, S. Modelling soil water movement with water uptake by roots. Plant Soil 1999, 215, 7–17. [Google Scholar] [CrossRef]
- Zou, H.; Zhang, F.; Wu, L.; Xiang, Y.; Fan, J.; Li, Z.; Li, S. Relative root length density distribution model of spring maize based on different water and fertilizer combinations. Trans. Chin. Soc. Agric. Eng. 2018, 34, 133–142. [Google Scholar]
Disclaimer/Publisher’s Note: The statements, opinions and data contained in all publications are solely those of the individual author(s) and contributor(s) and not of MDPI and/or the editor(s). MDPI and/or the editor(s) disclaim responsibility for any injury to people or property resulting from any ideas, methods, instructions or products referred to in the content. |
© 2025 by the authors. Licensee MDPI, Basel, Switzerland. This article is an open access article distributed under the terms and conditions of the Creative Commons Attribution (CC BY) license (https://creativecommons.org/licenses/by/4.0/).








