Genomic Insights and Plant Growth-Promoting Potential of Rhizobial Strains from Agave americana
Abstract
1. Introduction
2. Materials and Methods
2.1. Bacterial Strains
2.2. Functional Analysis and Gene Annotations of PGP Traits
2.3. Phenotypic Characterization of Rhizobial Strains
2.4. Evaluation of PGP Traits of the Strains
2.4.1. Phosphate Solubilization
2.4.2. Siderophore Production
2.4.3. Indole Acetic Acid (IAA) Production
2.5. Effect of Biofertilization on Agave americana Seed Germination
2.6. Plant Inoculation Assay on Agave americana
2.7. Statistical Analysis
3. Results
3.1. Biosynthetic Gene Clusters in Native Rhizobial Strains with PGP Potential
3.2. Tolerance to Abiotic Stress in Agave Rhizobial Strains
3.3. Plant Growth-Promotion Ability of Native Rhizobial Strains
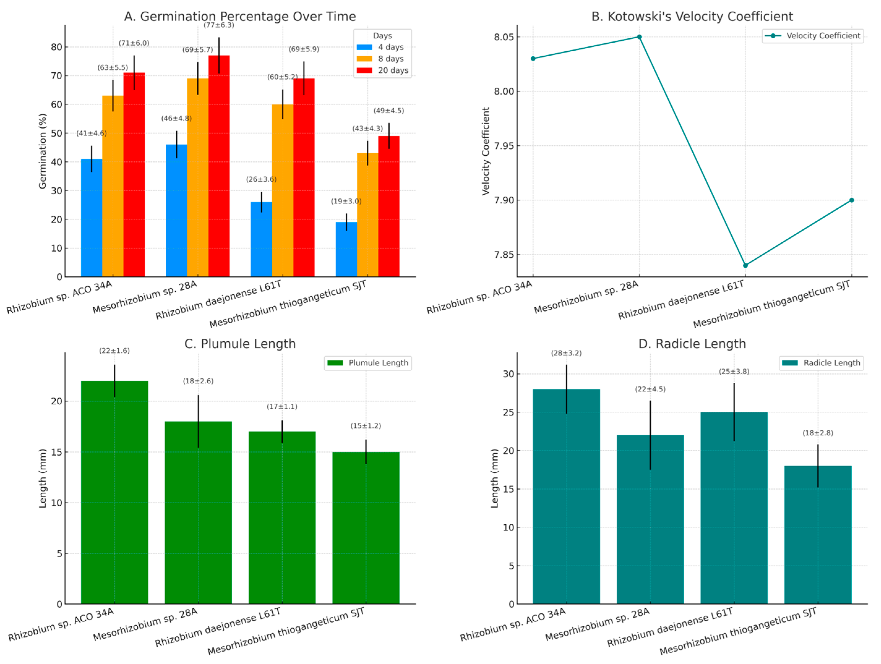
3.4. Effect of Rhizobial Biofertilization on Agave americana Seed Germination
3.5. Growth Parameters of Agave americana Inoculated with Native Rhizobial PGP Bacteria
3.6. Effect of Biofertilization on Sugar Content in Agave americana Plants
4. Discussion
5. Conclusions
Supplementary Materials
Author Contributions
Funding
Data Availability Statement
Acknowledgments
Conflicts of Interest
References
- Gentry, H.S. Agaves of Continental North America; University of Arizona Press: Tucson, AZ, USA, 1982. [Google Scholar] [CrossRef]
- Purseglove, J.W. Tropical Crops: Monocotyledons; Halsted Press Division, Wiley: New York, NY, USA, 1972; Volume 1, p. 607. ISBN 0471702420. [Google Scholar]
- Davis, S.C.; Dohleman, F.G.; Long, S.P. The global potential for Agave as a biofuel feedstock. GCB Bioenergy 2010, 14, 34–48. [Google Scholar] [CrossRef]
- Nobel, P.S. Environmental Biology of Agaves and Cacti; Cambridge University Press: New York, NY, USA, 1988. [Google Scholar]
- García-Mendoza, A.J.; Galván, R. Los Agaves de México; CONABIO: Mexico City, Mexico, 2019. [Google Scholar]
- Colunga-García-Marín, P.; Larqué-Saavedra, A.; Eguiarte, L.E.; Zizumbo-Villarreal, D. Evolución y Domesticación de Plantas en Mesoamérica; Universidad Nacional Autónoma de México: Mexico City, Mexico, 2007. [Google Scholar]
- García-Mendoza, A.J. Distribution of Agave (Agavaceae) in Mexico. Cactus Succul. J. 2002, 74, 177–187. [Google Scholar]
- Santiago-Martínez, A.; Pérez-Herrera, A.; Martínez-Gutiérrez, G.A.; Meneses, M.E. Contributions of Agaves to Human Health and Nutrition. Food Biosci. 2023, 53, 102753. [Google Scholar] [CrossRef]
- Bhattacharyya, P.N.; Jha, D.K. Plant growth-promoting rhizobacteria (PGPR): Emergence in agriculture. World J. Microbiol. Biotechnol. 2012, 28, 1327–1350. [Google Scholar] [CrossRef] [PubMed]
- Santoyo, G.; Moreno-Hagelsieb, G.; del Carmen Orozco-Mosqueda, M.; Glick, B.R. Rhizobia as plant probiotics in agriculture. Microbiol. Res. 2010, 165, 411–417. [Google Scholar] [CrossRef]
- Guardado-Fierros, B.G.; Tuesta-Popolizio, D.A.; Lorenzo-Santiago, M.A.; Rubio-Cortés, R.; Camacho-Ruíz, R.M.; Castañeda-Nava, J.J.; Gutiérrez-Mora, A.; Contreras-Ramos, S.M. PGPB Consortium Formulation to Increase Fermentable Sugar in Agave tequilana Weber var. Blue: A Study in the Field. Plants 2024, 13, 1371. [Google Scholar] [CrossRef]
- Mendoza-Suárez, M.; Andersen, S.U.; Poole, P.S.; Sánchez-Cañizares, C. Competition, Nodule Occupancy, and Persistence of Inoculant Strains: Key Factors in the Rhizobium-Legume Symbioses. Front. Plant Sci. 2021, 12, 690567. [Google Scholar] [CrossRef] [PubMed]
- Wang, Z.-J.; Li, X.; Wang, J.-H.; Qi, S.-S.; Dai, Z.-C.; Du, D.-L. Effect of Nitrogen-Fixing Bacteria on Resource Investment of the Root System in an Invasive Clonal Plant under Low Nutritional Environment. Flora 2022, 297, 52166. [Google Scholar] [CrossRef]
- de Andrade, L.A.; Santos, C.H.B.; Frezarin, E.T.; Sales, L.R.; Rigobelo, E.C. Plant Growth-Promoting Rhizobacteria for Sustainable Agricultural Production. Microorganisms 2023, 11, 1088. [Google Scholar] [CrossRef] [PubMed]
- Di Salvo, L.P.; Cellucci, G.C.; Carlino, M.E.; García de Salamone, I.E. Plant Growth-Promoting Rhizobacteria Inoculation and Nitrogen Fertilization Increase Maize (Zea mays L.) Grain Yield and Modify Rhizosphere Microbial Communities. Appl. Soil Ecol. 2018, 126, 113–120. [Google Scholar] [CrossRef]
- Jiao, X.; Takishita, Y.; Zhou, G.; Smith, D.L. Plant-Associated Rhizobacteria for Biocontrol and Plant Growth Enhancement. Front. Plant Sci. 2021, 12, 634796. [Google Scholar] [CrossRef] [PubMed]
- Liu-Xu, L.; González-Hernández, A.I.; Camanes, G.; Vicedo, B.; Scalschi, L.; Llorens, E. Harnessing Green Helpers: Nitrogen-Fixing Bacteria and Other Beneficial Microorganisms in Plant–Microbe Interactions for Sustainable Agriculture. Horticulturae 2024, 10, 621. [Google Scholar] [CrossRef]
- Khosravi, H.; Khoshru, B.; Fallah Nosratabad, A.; Mitra, D. Exploring the Landscape of Biofertilizers Containing Plant Growth-Promoting Rhizobacteria in Iran: Progress and Research Prospects. Curr. Res. Microbiol. Sci. 2024, 7, 100268. [Google Scholar] [CrossRef] [PubMed]
- Li, Y.; Guo, T.; Sun, L.; Wang, E.-T.; Young, J.P.W.; Tian, C.-F. Phylogenomic analyses and reclassification of the Mesorhizobium complex: Proposal for 9 novel genera and reclassification of 15 species. BMC Genom. 2024, 25, 419. [Google Scholar] [CrossRef] [PubMed]
- Ruíz-Valdiviezo, V.M.; Rogel-Hernandez, M.A.; Guerrero, G.; Rincón-Molina, C.I.; García-Perez, L.G.; Gutiérrez-Miceli, F.A.; Villalobos-Maldonado, J.J.; López-López, A.; Martinez-Romero, E.; Rincón-Rosales, R. Complete Genome Sequence of a Novel Nonnodulating Rhizobium Species Isolated from Agave americana L. Rhizosphere. Genome Announc. 2017, 5, e01280-17. [Google Scholar] [CrossRef] [PubMed]
- Quan, Z.X.; Bae, H.S.; Baek, J.H.; Chen, W.F.; Im, W.T.; Lee, S.T. Rhizobium daejeonense sp. nov., isolated from a cyanide treatment bioreactor. Int. J. Syst. Evol. Microbiol. 2005, 55, 2543–2549. [Google Scholar] [CrossRef] [PubMed][Green Version]
- Ghosh, W.; Roy, P. Mesorhizobium thiogangeticum sp. nov., a novel sulfur-oxidizing chemolithoautotroph from rhizosphere soil of an Indian tropical leguminous plant. Int. J. Syst. Evol. Microbiol. 2006, 56, 91–97. [Google Scholar] [CrossRef] [PubMed]
- Gomila, M.; Peña, A.; Mulet, M.; Lalucat, J.; García-Valdés, E. Phylogenomics and systematics in Pseudomonas. Front. Microbiol. 2015, 6, 214. [Google Scholar] [CrossRef]
- Arkin, A.P.; Cottingham, R.W.; Henry, C.S.; Harris, N.L.; Stevens, R.L.; Maslov, S.; Dehal, P.; Ware, D.; Perez, F.; Canon, S.; et al. The United States Department of Energy Systems Biology Knowledgebase. Nat. Biotechnol. 2018, 36, 566–569. [Google Scholar] [CrossRef] [PubMed]
- Valenzuela Ruiz, V.; Santoyo, G.; Gómez Godínez, L.J.; Cira Chávez, L.A.; Parra Cota, F.I.; de Los Santos Villalobos, S. Complete genome sequencing of Bacillus cabrialesii TE3T: A plant growth-promoting and biological control agent isolated from wheat (Triticum turgidum subsp. durum) in the Yaqui Valley. Curr. Res. Microb. Sci. 2023, 4, 100193. [Google Scholar] [CrossRef]
- Rincón-Rosales, R.; Lloret, L.; Ponce, E.; Martínez-Romero, E. Rhizobia with different symbiotic efficiencies nodulate Acaciella angustissima in Mexico, including Sinorhizobium chiapanecum sp. nov., which shares common symbiotic genes with Sinorhizobium mexicanum. FEMS Microbiol. Ecol. 2009, 67, 103–117. [Google Scholar] [CrossRef] [PubMed]
- Liu, Z.; Li, Y.; Zhang, S.; Fu, Y.; Fan, X.; Patel, J.; Zhang, M. Characterization of phosphate-solubilizing bacteria isolated from calcareous soils. Appl. Soil Ecol. 2015, 96, 217–224. [Google Scholar] [CrossRef]
- O’Halloran, I.P.; Cade-Menun, B.J. Total and organic phosphorus. In Soil Sampling and Methods of Analysis; Carter, M.R., Gregorich, E.G., Eds.; CRC Press: Boca Raton, FL, USA, 2006; pp. 265–291. [Google Scholar]
- Schwyn, B.; Neilands, J.B. Universal chemical assay for the detection and determination of siderophores. Anal. Biochem. 1987, 160, 47–56. [Google Scholar] [CrossRef] [PubMed]
- Agrawal, T.P.; Kotasthane, A.S.; Kosharia, A.; Kushwah, R.; Zaidi, N.W.; Singh, U.S. Crop-specific plant growth-promoting effects of ACC deaminase enzyme, siderophore production, and cyanogenic fluorescent Pseudomonas. 3 Biotech 2017, 7, 27. [Google Scholar] [CrossRef]
- Bric, J.M.; Bostock, R.M.; Silverstonet, S.E. Rapid in situ assay for indoleacetic acid production by bacteria immobilized on a nitrocellulose membrane. Appl. Environ. Microbiol. 1991, 57, 535–538. [Google Scholar] [CrossRef]
- Cuéllar-Martínez, M.; Galindo-González, J.; Andrade-Torres, A. Germination of Agave obscura seeds: Effects of storage time and crossing systems. Plant Ecol. 2024, 225, 189–199. [Google Scholar] [CrossRef]
- De La Torre-Ruiz, N.; Ruiz-Valdiviezo, V.M.; Rincón-Molina, C.I.; Rodríguez-Mendiola, M.; Arias-Castro, C.; Gutiérrez-Miceli, F.A.; Palomeque-Dominguez, H.; Rincón-Rosales, R. Effect of plant growth-promoting bacteria on the growth and fructan production of Agave americana L. Braz. J. Microbiol. 2016, 47, 587–596. [Google Scholar] [CrossRef] [PubMed]
- Compant, S.; Clément, C.; Sessitsch, A. Plant Growth-Promoting Bacteria in the Rhizosphere: Their Potential for Improving Plant Growth and Health. Soil Biol. Biochem. 2010, 42, 669–678. [Google Scholar] [CrossRef]
- Peix, A.; Ramírez-Bahena, M.H.; Velázquez, E.; Bedmar, E.J. Bacterial Associations with Legumes. Crit. Rev. Plant Sci. 2015, 34, 17–42. [Google Scholar] [CrossRef]
- Toro, A. Nodulation competitiveness in the Rhizobium-legume symbiosis. World J. Microbiol. Biotechnol. 1996, 12, 157–162. [Google Scholar] [CrossRef]
- Remigi, P.; Zhu, J.; Young, J.P.W.; Masson-Boivin, C. Symbiosis within Symbiosis: Evolving Nitrogen-Fixing Legume Symbionts. Trends Microbiol. 2016, 24, 63–75. [Google Scholar] [CrossRef] [PubMed]
- Rodríguez, H.; Fraga, R.; Gonzalez, T.; Bashan, Y. Genetics of Phosphate Solubilization and Its Potential Applications for Improving Plant Growth-Promoting Bacteria. Plant Soil 2006, 287, 15–21. [Google Scholar] [CrossRef]
- Noori, F.; Etesami, H.; Zarini, H.N.; Khoshkholgh-Sima, N.A.; Hosseini Salekdeh, G.; Alishahi, F. Mining alfalfa (Medicago sativa L.) nodules for salinity-tolerant non-rhizobial bacteria to improve growth of alfalfa under salinity stress. Ecotoxicol. Environ. Saf. 2018, 162, 129–138. [Google Scholar] [CrossRef]
- Garrido-Oter, R.; Nakano, R.; Dombrowski, N.; Ma, K.-W.; McHardy, A.; Schulze-Lefert, P. Modular traits of the Rhizobiales root microbiota and their evolutionary relationship with symbiotic rhizobia. Cell Host Microbe 2018, 24, 155–167.e5. [Google Scholar] [CrossRef]
- Saha, M.; Sarkar, S.; Sarkar, B.; Sharma, B.K.; Bhattacharjee, S.; Tribedi, P. Microbial Siderophores and Their Potential Applications: A Review. Environ. Sci. Pollut. Res. 2016, 23, 3984–3999. [Google Scholar] [CrossRef]
- Spaepen, S.; Vanderleyden, J.; Remans, R. Indole-3-Acetic Acid in Microbial and Microorganism-Plant Signaling. FEMS Microbiol. Rev. 2019, 31, 425–448. [Google Scholar] [CrossRef] [PubMed]
- Giller, K.E.; Witter, E.; McGrath, S.P. Toxicity of Heavy Metals to Microorganisms and Microbial Processes in Agricultural Soils: A Review. Soil Biol. Biochem. 2009, 41, 2031–2047. [Google Scholar] [CrossRef]
- Shameem, M.R.; Sonali, J.M.I.; Kumar, P.S.; Rangasamy, G.; Gayathri, K.V.; Parthasarathy, V. Rhizobium mayense sp. nov., an Efficient Plant Growth-Promoting Nitrogen-Fixing Bacteria Isolated from Rhizosphere Soil. Environ. Res. 2023, 220, 115200. [Google Scholar] [CrossRef]
- Zebracki, K.; Koper, P.; Wójcik, M.; Marczak, M.; Mazur, A. Transcriptomic Response of Rhizobium leguminosarum to Acidic Stress and Nutrient Limitation Is Versatile and Substantially Influenced by Extrachromosomal Gene Pool. Int. J. Mol. Sci. 2024, 25, 11734. [Google Scholar] [CrossRef]
- Zahran, H.H. Rhizobium-Legume Symbiosis and Nitrogen Fixation Under Severe Conditions and in an Arid Climate. Microbiol. Mol. Biol. Rev. 1999, 63, 968–989. [Google Scholar] [CrossRef] [PubMed]
- Ryu, H.; Cho, H.; Choi, D.; Hwang, I. Plant Hormonal Regulation of Nitrogen-Fixing Nodule Organogenesis. Mol. Cells 2012, 34, 117–126. [Google Scholar] [CrossRef] [PubMed]
- Chabbi, N.; Chafiki, S.; Telmoudi, M.; Labbassi, S.; Bouharroud, R.; Tahiri, A.; Mentag, R.; El Amri, M.; Bendiab, K.; Hsissou, D.; et al. Plant-Growth-Promoting Rhizobacteria Improve Seeds Germination and Growth of Argania spinosa. Plants 2024, 13, 2025. [Google Scholar] [CrossRef] [PubMed]
- Patel, P.; Kalathil, S.; Roy, S. Auxin Signaling and Its Role in Root Development and Adaptation. Trends Plant Sci. 2022, 27, 765–778. [Google Scholar] [CrossRef]
- Li, J.; McConkey, B.J.; Cheng, Z.; Guo, S.; Glick, B.R. Identification of plant growth-promoting bacteria-responsive proteins in cucumber roots under hypoxic stress using a proteomic approach. J. Proteomics 2013, 84, 119–131. [Google Scholar] [CrossRef] [PubMed]
- Rahi, P.; Khairnar, M.; Hagir, A.; Narayan, A.; Jain, K.R.; Madamwar, D.; Pansare, A.; Shouche, Y. Peteryoungia gen. nov. with Four New Species Combinations and Description of Peteryoungia desertarenae sp. nov., and Taxonomic Revision of the Genus Ciceribacter Based on Phylogenomics of Rhizobiaceae. Arch. Microbiol. 2021, 203, 3591–3604. [Google Scholar] [CrossRef] [PubMed]


| Characteristic | Rhizobium sp. ACO-34A | R. daejeonense L61T | Mesorhizobium sp. 28A | M. thiogangeticum SJTT |
|---|---|---|---|---|
| Origin | Agave americana (Mexico) | Bioreactor treating cyanide (Korea) | Agave americana (Mexico) | Rhizosphere soil (Indian) |
| Cell morphology | Rods (0.4 × 1.1 μm) | Rods (0.7 × 1.3 μm) | Rods (0.6 × 1.6 μm) | Rods (0.4 × 1.2 μm) |
| Flagella | peritrichous | peritrichous | peritrichous | peritrichous |
| DNA G+C content (mol%) | 61.1 | 60.1 | 62.2 | 59.6 |
| pH range for growth | 5.0–8.0 | 5.0–10.0 | 5.0–9.0 | 5.5–8.5 |
| Growth at/in: 37 °C 1% NaCl 2% NaCl 5% NaCl | (−) (+) (+) (−) | (−) (+) (+) (−) | (−) (+) (+) (−) | (−) (+) (−) (−) |
| Antibiotic resistance (mg mL−1): Netilmicin (10) Penicillin (10) Chloramphenicol (30) Gentamicin (10) Ciprofloxacin (5) Cefalexin (30) Amikacin (30) Ampicillin (10) | (−) (+) (+) (+) (+) (−) (−) (+) | (−) (+) (−) (+) (+) (−) (+) (+) | (−) (+) (−) (−) (+) (+) (−) (+) | (+) (+) (−) (−) (+) (−) (−) (+) |
| Tolerance to heavy metals (μM): Al3⁺ (500 μM) Cu2⁺ (100 μM) Zn2⁺ (100 μM) Pb2⁺ (100 μM) | (+) (+) (−) (−) | (+) (+) (−) (−) | (−) (+) (−) (−) | (+) (+) (−) (−) |
| Strain | P-Solubilization | Siderophore Production | IAA Production (mg L−1) | |||
|---|---|---|---|---|---|---|
| PSI ¥ | Ca2PO3 (mg L−1) | Ca3(PO4)2 (mg L−1) | SID ≠ | % Siderophore | ||
| Rhizobium sp. ACO-34A | 1.17 ± (0.09) * | 34.8 ± (0.65) | 28.4 ± (0.76) | 1.22 ± (0.06) | 32.4 ± (0.84) | 22.5 ± (0.65) |
| Mesorhizobium sp. 28A | 1.89 ± (0.12) | 60.5 ± (1.29) | 42.6 ± (0.89) | 1.45 ± (0.08) | 48.4 ± (0.83) | 15.7 ± (0.57) |
| Rhizobium daejeonense L61T | 1.24 ± (0.08) | 48.5 ± (1.32) | 24.6 ± (0.81) | 1.06 ± (0.05) | 28.5 ± (0.72) | 20.3 ± (0.66) |
| Mesorhizobium thiogangeticum SJTT | 2.52 ± (0.22) | 45.2 ± (1.45) | 31.6 ± (0.84) | 1.18 ± (0.07) | 18.6 ± (0.65) | 16.6 ± (0.51) |
| Treatments | Total Height (cm) | Total Fresh Weight (g) | Piña Weight (g) | Number of Leaves | Chlorophyll (mg/g FW) |
|---|---|---|---|---|---|
| Mesorhizobium sp. 28A | 51.0 b * | 800.1 c | 337.8 c | 12.0 a | 852.5 b |
| Rhizobium sp. ACO-34A | 56.4 a | 1550.6 a | 482.4 b | 11.2 a | 1364.5 a |
| Chemical fertilizer | 57.7 a | 1304.4 b | 645.1 a | 10.0 ab | 685.7 c |
| Negative control | 42.5 c | 602.1 c | 184.4 d | 8.25 b | 687.0 c |
| p-value | 0.0000 | 0.0000 | 0.0000 | 0.0017 | 0.0000 |
| Tukey HSD ¥ (p < 0.05) | 3.3824 | 232.49 | 74.686 | 2.2334 | 96.095 |
| Treatments | Inuline (mg g−1) | Sacarose (mg g−1) | Glucose (mg g−1) | Fructose (mg g−1) |
|---|---|---|---|---|
| Mesorhizobium sp. 28A | 2.41 b * | 1.71 b | 2.27 a | 2.18 b |
| Rhizobium sp. ACO-34A | 3.26 a | 2.47 a | 2.28 a | 2.47 a |
| Chemical fertilizer (triple 17) | 2.32 b | 1.40 c | 2.18 a | 2.13 b |
| Negative control | 1.24 c | 1.32 c | 1.57 b | 1.26 c |
| p-value | 0.0000 | 0.0000 | 0.0000 | 0.0000 |
| HSD ¥ (p < 0.05) | 0.466 | 0.1398 | 0.1630 | 0.1709 |
Disclaimer/Publisher’s Note: The statements, opinions and data contained in all publications are solely those of the individual author(s) and contributor(s) and not of MDPI and/or the editor(s). MDPI and/or the editor(s) disclaim responsibility for any injury to people or property resulting from any ideas, methods, instructions or products referred to in the content. |
© 2024 by the authors. Licensee MDPI, Basel, Switzerland. This article is an open access article distributed under the terms and conditions of the Creative Commons Attribution (CC BY) license (https://creativecommons.org/licenses/by/4.0/).
Share and Cite
García-Pérez, L.G.; Rincón-Molina, C.I.; Martínez-Romero, E.; Rogel, M.A.; Tapia-Torres, Y.; Manzano-Gómez, L.A.; Maldonado-Gómez, J.C.; Rincón-Molina, F.A.; Rincón-Rosales, R. Genomic Insights and Plant Growth-Promoting Potential of Rhizobial Strains from Agave americana. Horticulturae 2024, 10, 1370. https://doi.org/10.3390/horticulturae10121370
García-Pérez LG, Rincón-Molina CI, Martínez-Romero E, Rogel MA, Tapia-Torres Y, Manzano-Gómez LA, Maldonado-Gómez JC, Rincón-Molina FA, Rincón-Rosales R. Genomic Insights and Plant Growth-Promoting Potential of Rhizobial Strains from Agave americana. Horticulturae. 2024; 10(12):1370. https://doi.org/10.3390/horticulturae10121370
Chicago/Turabian StyleGarcía-Pérez, Luis Galdino, Clara Ivette Rincón-Molina, Esperanza Martínez-Romero, Marco Antonio Rogel, Yunuen Tapia-Torres, Luis Alberto Manzano-Gómez, Julio César Maldonado-Gómez, Francisco Alexander Rincón-Molina, and Reiner Rincón-Rosales. 2024. "Genomic Insights and Plant Growth-Promoting Potential of Rhizobial Strains from Agave americana" Horticulturae 10, no. 12: 1370. https://doi.org/10.3390/horticulturae10121370
APA StyleGarcía-Pérez, L. G., Rincón-Molina, C. I., Martínez-Romero, E., Rogel, M. A., Tapia-Torres, Y., Manzano-Gómez, L. A., Maldonado-Gómez, J. C., Rincón-Molina, F. A., & Rincón-Rosales, R. (2024). Genomic Insights and Plant Growth-Promoting Potential of Rhizobial Strains from Agave americana. Horticulturae, 10(12), 1370. https://doi.org/10.3390/horticulturae10121370

