Discrimination of Farming Practices Through Olive Leaf Phenolic and Mineral Analysis
Abstract
1. Introduction
2. Materials and Methods
2.1. Solvents and Reagents
2.2. Geographic Localization, Treatments, and Processing
2.3. HPLC Identification and Quantification of Phenolic Compounds
2.4. Mineral Content Analysis by ICP-OES
2.5. Statistical Analysis
3. Results
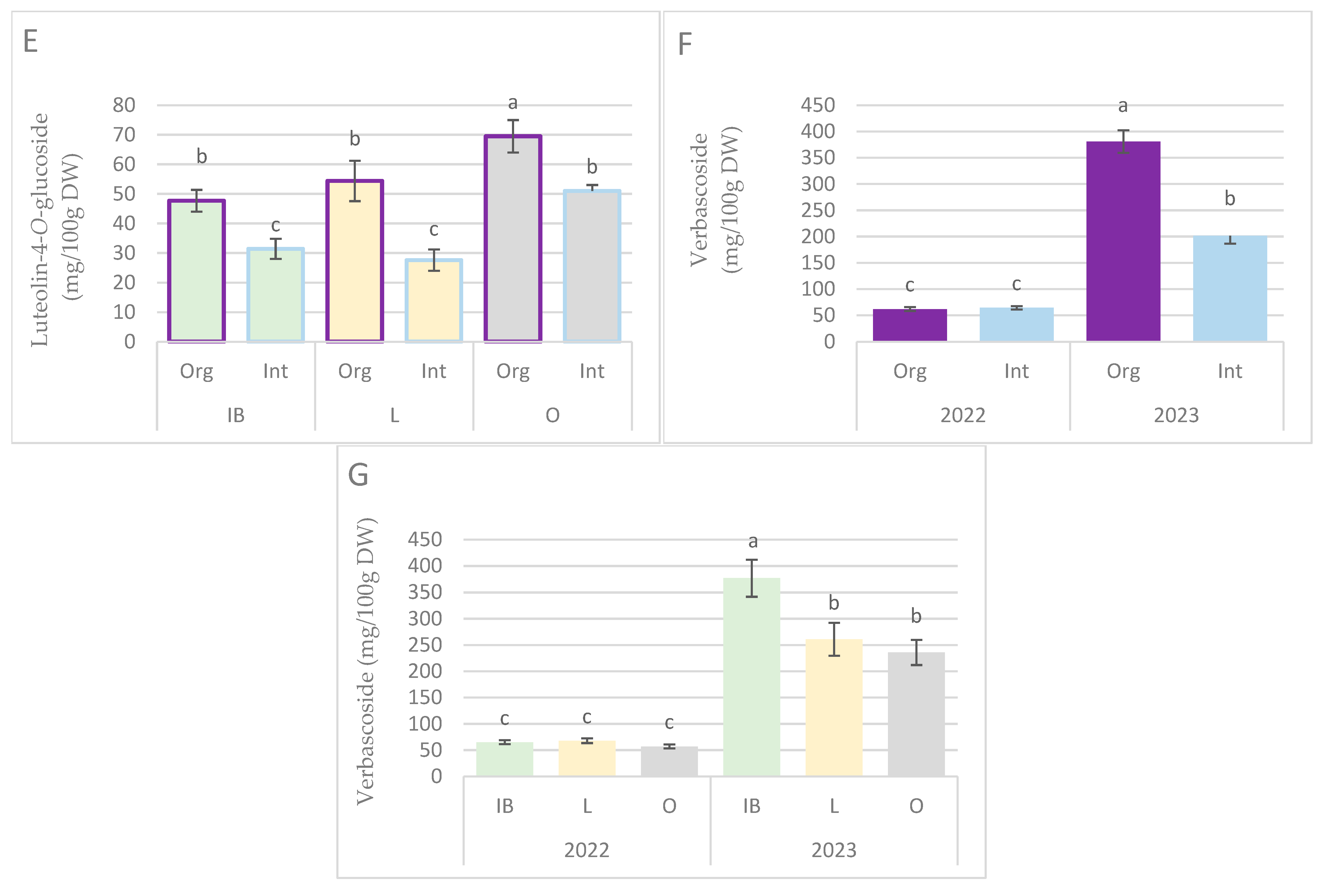
3.1. Phenolic Content in Olive Leaves
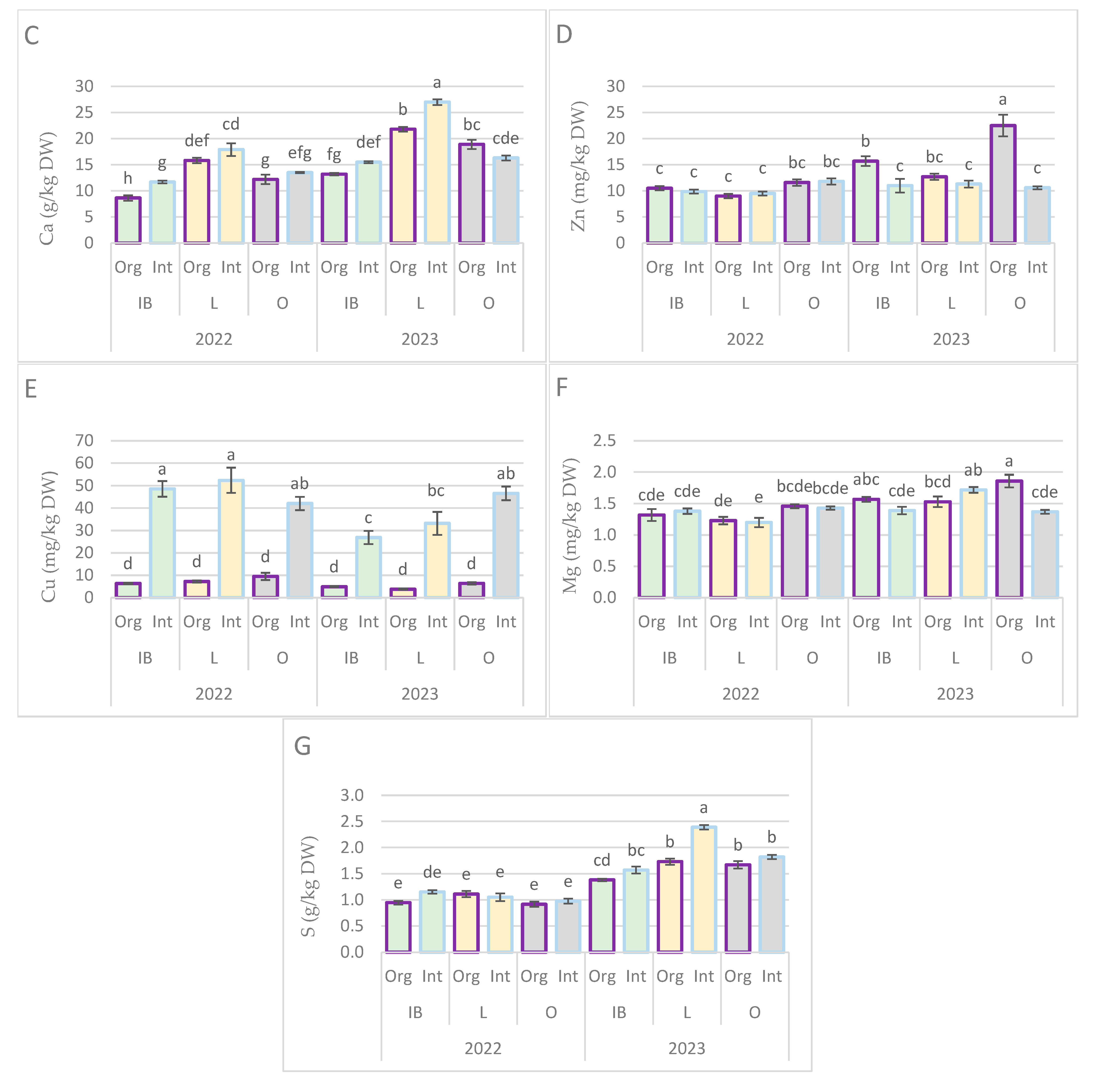
3.2. Mineral Content in Olive Leaves
3.3. Pearson’s Correlation Analysis
3.4. Principal Component Analysis (PCA)
4. Discussion
5. Conclusions
Author Contributions
Funding
Data Availability Statement
Conflicts of Interest
References
- UNESCO Mediterranean Diet—Intangible Heritage—Culture Sector—UNESCO. Available online: https://ich.unesco.org/en/RL/mediterranean-diet-00884 (accessed on 22 October 2024).
- FAO, FAOSTAT. Available online: https://www.fao.org/faostat/en/#data/QCL (accessed on 22 October 2024).
- Ranalli, A.; Contento, S.; Lucera, L.; Di Febo, M.; Marchegiani, D.; Di Fonzo, V. Factors Affecting the Contents of Iridoid Oleuropein in Olive Leaves (Olea europaea L.). J. Agric. Food Chem. 2006, 54, 434–440. [Google Scholar] [CrossRef] [PubMed]
- Markhali, F.S.; Teixeira, J.A.; Rocha, C.M.R. Olive Tree Leaves—A Source of Valuable Active Compounds. Processes 2020, 8, 1177. [Google Scholar] [CrossRef]
- Lama-Muñoz, A.; del Mar Contreras, M.; Espínola, F.; Moya, M.; de Torres, A.; Romero, I.; Castro, E. Extraction of Oleuropein and Luteolin-7-O-Glucoside from Olive Leaves: Optimization of Technique and Operating Conditions. Food Chem. 2019, 293, 161–168. [Google Scholar] [CrossRef]
- Benavente-García, O.; Castillo, J.; Lorente, J.; Ortuño, A.; Del Rio, J.A. Antioxidant Activity of Phenolics Extracted from Olea europaea L. Leaves. Food Chem. 2000, 68, 457–462. [Google Scholar] [CrossRef]
- Omar, S.H. Cardioprotective and Neuroprotective Roles of Oleuropein in Olive. Saudi Pharm. J. 2010, 18, 111–121. [Google Scholar] [CrossRef]
- Tekaya, M.; El-Gharbi, S.; Mechri, B.; Chehab, H.; Bchir, A.; Chraief, I.; Ayachi, M.; Boujnah, D.; Attia, F.; Hammami, M. Improving Performance of Olive Trees by the Enhancement of Key Physiological Parameters of Olive Leaves in Response to Foliar Fertilization. Acta Physiol. Plant. 2016, 38, 101. [Google Scholar] [CrossRef]
- Toric, J.; Markovic, A.K.; Brala, C.J.; Barbaric, M. Anticancer Effects of Olive Oil Polyphenols and Their Combinations with Anticancer Drugs. Acta Pharm. 2019, 69, 461–482. [Google Scholar] [CrossRef]
- Pasković, I.; Lukić, I.; Žurga, P.; Germek, V.M.; Brkljača, M.; Koprivnjak, O.; Major, N.; Grozić, K.; Franić, M.; Ban, D.; et al. Temporal Variation of Phenolic and Mineral Composition in Olive Leaves Is Cultivar Dependent. Plants 2020, 9, 1099. [Google Scholar] [CrossRef]
- Bouaziz, M.; Feki, I.; Ayadi, M.; Jemai, H.; Sayadi, S. Stability of Refined Olive Oil and Olive-Pomace Oil Added by Phenolic Compounds from Olive Leaves. Eur. J. Lipid Sci. Technol. 2010, 112, 894–905. [Google Scholar] [CrossRef]
- Nenadis, N.; Papoti, V.T.; Tsimidou, M.Z. Bioactive Ingredients in Olive Leaves. In Olives Olive Oil Health Disease Prevention, 2nd ed.; Preedy, V.R., Watson, R.R., Eds.; Academic Press: London, UK, 2021; Volume 1, pp. 65–78. [Google Scholar]
- Zhang, Y.; Cai, P.; Cheng, G.; Zhang, Y. A Brief Review of Phenolic Compounds Identified from Plants: Their Extraction, Analysis, and Biological Activity. Nat. Prod. Commun. 2022, 17, 1934578X211069721. [Google Scholar] [CrossRef]
- Balasundram, N.; Sundram, K.; Samman, S. Phenolic Compounds in Plants and Agri-Industrial by-Products: Antioxidant Activity, Occurrence, and Potential Uses. Food Chem. 2006, 99, 191–203. [Google Scholar] [CrossRef]
- Cavaca, L.A.S.; López-Coca, I.M.; Silvero, G.; Afonso, C.A.M. The Olive-Tree Leaves as a Source of High-Added Value Molecules: Oleuropein. Stud. Nat. Prod. Chem. 2020, 64, 131–180. [Google Scholar] [CrossRef]
- Marković, A.K.; Torić, J.; Barbarić, M.; Brala, C.J. Hydroxytyrosol, Tyrosol and Derivatives and Their Potential Effects on Human Health. Molecules 2019, 24, 2001. [Google Scholar] [CrossRef] [PubMed]
- Bakoyiannis, I.; Daskalopoulou, A.; Pergialiotis, V.; Perrea, D. Phytochemicals and Cognitive Health: Are Flavonoids Doing the Trick? Biomed. Pharmacother. 2019, 109, 1488–1497. [Google Scholar] [CrossRef]
- Zakraoui, M.; Hannachi, H.; Pasković, I.; Vidović, N.; Polić Pasković, M.; Palčić, I.; Major, N.; Goreta Ban, S.; Hamrouni, L. Effect of Geographical Location on the Phenolic and Mineral Composition of Chetoui Olive Leaves. Foods 2023, 12, 2565. [Google Scholar] [CrossRef]
- Japón-Luján, R.; Ruiz-Jiménez, J.; De Castro, M.D.L. Discrimination and Classification of Olive Tree Varieties and Cultivation Zones by Biophenol Contents. J. Agric. Food Chem. 2006, 54, 9706–9712. [Google Scholar] [CrossRef]
- Petridis, A.; Therios, I.; Samouris, G. Genotypic Variation of Total Phenol and Oleuropein Concentration and Antioxidant Activity of 11 Greek Olive Cultivars (Olea europaea L.). HortScience 2012, 47, 339–342. [Google Scholar] [CrossRef]
- El Riachy, M.; Priego-Capote, F.; Rallo, L.; de Castro, M.D.L.; León, L. Phenolic Profile of Virgin Olive Oil from Advanced Breeding Selections. Span. J. Agric. Res. 2012, 10, 443–453. [Google Scholar] [CrossRef]
- Grilo, F.; Sedaghat, S.; Di Stefano, V.; Sacchi, R.; Caruso, T.; Lo Bianco, R. Tree Planting Density and Canopy Position Affect ‘Cerasuola’ and ‘Koroneiki’ Olive Oil Quality. Horticulturae 2021, 7, 11. [Google Scholar] [CrossRef]
- Arbonés, A.; Rufat, J.; Pérez, M.; Pascual, M.; Benito, A.; de Lorenzo, C.; Villar, J.; Sastre, B. The influence of olive tree fertilization on the phenols in virgin olive oils. A review. Grasas Aceites 2022, 73, e470. [Google Scholar] [CrossRef]
- López-Yerena, A.; Lozano-Castellón, J.; Olmo-Cunillera, A.; Tresserra-Rimbau, A.; Quifer-Rada, P.; Jiménez, B.; Pérez, M.; Vallverdú-Queralt, A. Effects of Organic and Conventional Growing Systems on the Phenolic Profile of Extra-Virgin Olive Oil. Molecules 2019, 24, 1986. [Google Scholar] [CrossRef] [PubMed]
- Treutter, D. Managing Phenol Contents in Crop Plants by Phytochemical Farming and Breeding-Visions and Constraints. Int. J. Mol. Sci. 2010, 11, 807–857. [Google Scholar] [CrossRef] [PubMed]
- Martínez-Ballesta, M.C.; López-Pérez, L.; Hernández, M.; López-Berenguer, C.; Fernandez-Garcia, N.; Carvajal, M. Agricultural practices for enhanced human health. Phytochem. Rev. 2008, 7, 251–260. [Google Scholar] [CrossRef]
- Gamage, A.; Gangahagedara, R.; Gamage, J.; Jayasinghe, N.; Kodikara, N.; Suraweera, P.; Merah, O. Role of organic farming for achieving sustainability in agriculture. Farming Syst. 2023, 1, 100005. [Google Scholar] [CrossRef]
- Maffia, A.; Pergola, M.; Palese, A.M.; Celano, G. Environmental Impact Assessment of Organic vs. Integrated Olive-Oil Systems in Mediterranean Context. Agronomy 2020, 10, 416. [Google Scholar] [CrossRef]
- Sintori, A.; Gouta, P.; Konstantidelli, V.; Tzouramani, I. Eco-Efficiency of Olive Farms across Diversified Ecological Farming Approaches. Land 2024, 13, 72. [Google Scholar] [CrossRef]
- Council Regulation (EC) No 834/2007 of 28 June 2007 on Organic Production and Labelling of Organic Products and Repealing Regulation (EEC) No 2092/91. Available online: https://eur-lex.europa.eu/legal-content/EN/ALL/?uri=CELEX%3A32007R0834 (accessed on 22 October 2024).
- Commission Implementing Regulation (EU) 2021/1165 of 15 July 2021 Authorising Certain Products and Substances for Use in Organic Production and Establishing Their Lists. Available online: https://eur-lex.europa.eu/legal-content/EN/TXT/?uri=CELEX%3A32021R1165&qid=1730672967303 (accessed on 2 November 2024).
- Directive 2009/128/EC of the European Parliament and of the Council of 21 October 2009 Establishing a Framework for Community Action to Achieve the Sustainable Use of Pesticides. Available online: https://eur-lex.europa.eu/eli/dir/2009/128/2019-07-26 (accessed on 2 November 2024).
- Volakakis, N.; Kabourakis, E.; Kiritsakis, A.; Rempelos, L.; Leifert, C. Effect of Production System (Organic versus Conventional) on Olive Fruit and Oil Yields and Oil Quality Parameters in the Messara Valley, Crete, Greece; Results from a 3-Year Farm Survey. Agronomy 2022, 12, 1484. [Google Scholar] [CrossRef]
- Carrapiso, A.I.; Rubio, A.; Sánchez-Casas, J.; Martín, L.; Martínez-Cañas, M.; de Miguel, C. Effect of the Organic Production and the Harvesting Method on the Chemical Quality and the Volatile Compounds of Virgin Olive Oil over the Harvesting Season. Foods 2020, 9, 1766. [Google Scholar] [CrossRef]
- Malavolta, C.; Delrio, G.; Boller, E.F. Guidelines for Integrated Production of Olives: IOBC Technical Guideline III. IOBC WPRS Bull. 2002, 25, 1–8. [Google Scholar]
- Cuevas, F.J.; Pradas, I.; Ruiz-Moreno, M.J.; Arroyo, F.T.; Perez-Romero, L.F.; Montenegro, J.C.; Moreno-Rojas, J.M. Effect of organic and conventional management on bio-functional quality of thirteen plum cultivars (Prunus salicina Lindl.). PLoS ONE 2015, 10, e0136596. [Google Scholar] [CrossRef]
- Martí, R.; Leiva-Brondo, M.; Lahoz, I.; Campillo, C.; Cebolla-Cornejo, J.; Roselló, S. Polyphenol and L-ascorbic acid content in tomato as influenced by high lycopene genotypes and organic farming at different environments. Food Chem. 2018, 239, 148–156. [Google Scholar] [CrossRef] [PubMed]
- Pasković, I.; Pecina, M.; Bronić, J.; Perica, S.; Ban, D.; Goreta Ban, S.; Pošćić, F.; Palčić, I.; Herak Ćustić, M. Synthetic Zeolite A as Zinc and Manganese Fertilizer in Calcareous Soil. Commun. Soil Sci. Plant Anal. 2018, 49, 1072–1082. [Google Scholar] [CrossRef]
- Mark, J.; Fantke, P.; Soheilifard, F.; Alcon, F.; Contreras, J.; Abrantes, N.; Campos, I.; Baldi, I.; Bureau, M.; Alaoui, A.; et al. Selected farm-level crop protection practices in Europe and Argentina: Opportunities for moving toward sustainable use of pesticides. J. Clean. Prod. 2024, 477, 143577. [Google Scholar] [CrossRef]
- Pošćić, F.; Runjić, M.; Jukić Špika, M.; Mikac, N.; Rengel, Z.; Romić, M.; Bakić, H.; Fiket, Ž.; Strikić, F.; Klepo, T.; et al. Nutrient deficiencies in olives grown on typical Mediterranean soils (Terra rossa, Rendzina, Lithosol). Arch. Agron. Soil Sci. 2018, 64, 1777–1790. [Google Scholar] [CrossRef]
- Vidović, N.; Pasković, I.; Lukić, I.; Žurga, P.; Majetić Germek, V.; Grozić, K.; Cukrov, M.; Marcelić, Š.; Ban, D.; Talhaoui, N.; et al. Biophenolic Profile Modulations in Olive Tissues as Affected by Manganese Nutrition. Plants 2021, 10, 1724. [Google Scholar] [CrossRef]
- Hammer, Ø.; Harper, D.A.T.; Ryan, P.D. PAST: Paleontological Statistics Software Package for Education and Data Analysis. Palaeontol. Electron. 2001, 4, 9. [Google Scholar]
- Tuck, K.L.; Hayball, P.J. Major Phenolic Compounds in Olive Oil: Metabolism and Health Effects. J. Nutr. Biochem. 2002, 13, 636–644. [Google Scholar] [CrossRef]
- Pereira, A.P.; Ferreira, I.C.F.R.; Marcelino, F.; Valentão, P.; Andrade, P.B.; Seabra, R.; Estevinho, L.; Bento, A.; Pereira, J.A. Phenolic Compounds and Antimicrobial Activity of Olive (Olea europaea L. Cv. Cobrançosa) Leaves. Molecules 2007, 12, 1153–1162. [Google Scholar] [CrossRef]
- Ramos, M.E.; Benítez, E.; García, P.A.; Robles, A.B. Cover Crops under Different Managements vs. Frequent Tillage in Almond Orchards in Semiarid Conditions: Effects on Soil Quality. Appl. Soil Ecol. 2010, 44, 6–14. [Google Scholar] [CrossRef]
- Kourgialas, N.N.; Koubouris, G.C.; Karatzas, G.P.; Metzidakis, I. Assessing Water Erosion in Mediterranean Tree Crops Using GIS Techniques and Field Measurements: The Effect of Climate Change. Nat. Hazards 2016, 83, 65–81. [Google Scholar] [CrossRef]
- Hinojosa-Rodríguez, A.; Parra-López, C.; Carmona-Torres, C.; Sayadi, S.; Gallardo-Cobos, R. Certified Quality Systems and Farming Practices in Olive Growing: The Case of Integrated Production in Andalusia. Renew. Agric. Food Syst. 2014, 29, 291–309. [Google Scholar] [CrossRef]
- Martínez-Navarro, M.E.; Cebrián-Tarancón, C.; Alonso, G.L.; Salinas, M.R. Determination of the Variability of Bioactive Compounds and Minerals in Olive Leaf along an Agronomic Cycle. Agronomy 2021, 11, 2447. [Google Scholar] [CrossRef]
- Therios, I. Mineral nutrition of the olive. In Olives, 1st ed.; Atheron, J., Rees, A., Eds.; CABI: Wallingford, UK, 2009; pp. 179–209. [Google Scholar]
- Di Donna, L.; Mazzotti, F.; Naccarato, A.; Salerno, R.; Tagarelli, A.; Taverna, D.; Sindona, G. Secondary Metabolites of Olea europaea Leaves as Markers for the Discrimination of Cultivars and Cultivation Zones by Multivariate Analysis. Food Chem. 2010, 121, 492–496. [Google Scholar] [CrossRef]
- Croatian Meteorogical and Hydrological Service. Available online: https://meteo.hr/index_en.php (accessed on 2 November 2024).
- Lavee, S. Biennial bearing in olive (Olea europaea). In Annales: Series Historia Naturalis; Centro di ricerche scientifiche della Repubblica di Slovenia: Koper, Slovenia, 2007; Volume 17, pp. 101–112. Available online: https://zdjp.si/wp-content/uploads/2015/12/ASHN_17-2007-1_lavee.pdf (accessed on 10 December 2024).
- Gutiérrez, F.; Arnaud, T.; Albi, M.A. Influence of Ecological Cultivation on Virgin Olive Oil Quality. JAOCS J. Am. Oil Chem. Soc. 1999, 76, 617–621. [Google Scholar] [CrossRef]
- Anastasopoulos, E.; Kalogeropoulos, N.; Kaliora, A.C.; Kountouri, A.; Andrikopoulos, N.K. The Influence of Ripening and Crop Year on Quality Indices, Polyphenols, Terpenic Acids, Squalene, Fatty Acid Profile, and Sterols in Virgin Olive Oil (Koroneiki Cv.) Produced by Organic versus Non-Organic Cultivation Method. Int. J. Food Sci. Technol. 2011, 46, 170–178. [Google Scholar] [CrossRef]
- Ranalli, A.; Contento, S. Analytical Assessment of Destoned and Organic-Destoned Extra-Virgin Olive Oil. Eur. Food Res. Technol. 2010, 230, 965–971. [Google Scholar] [CrossRef]
- Sotiropoulos, S.; Chatzissavvidis, C.; Papadakis, I.; Kavvadias, V.; Paschalidis, C.; Antonopoulou, C.; Koriki, A. Inorganic and organic foliar fertilization in olives. Hortic. Sci. 2023, 50, 1–11. [Google Scholar] [CrossRef]
- Szafirowska, A.; Elkner, K. The Comparison of Yielding and Nutritive Value of Organic and Conventional Pepper Fruits. Veg. Crops Res. Bull. 2009, 71, 111–121. [Google Scholar] [CrossRef]
- Del Amor, F.M.; Serrano-Martínez, A.; Fortea, I.; Núñez-Delicado, E. Differential Effect of Organic Cultivation on the Levels of Phenolics, Peroxidase and Capsidiol in Sweet Peppers. J. Sci. Food Agric. 2008, 88, 770–777. [Google Scholar] [CrossRef]
- Heimler, D.; Romani, A.; Ieri, F. Plant Polyphenol Content, Soil Fertilization and Agricultural Management: A Review. Eur. Food Res. Technol. 2017, 243, 1107–1115. [Google Scholar] [CrossRef]
- Ferreira, I.C.F.R.; Barros, L.; Soares, M.E.; Bastos, M.L.; Pereira, J.A. Antioxidant activity and phenolic contents of Olea europaea L. leaves sprayed with different copper formulations. Food Chem. 2007, 103, 188–195. [Google Scholar] [CrossRef]
- Hadi, F.; Ali, N.; Fuller, M.P. Molybdenum (Mo) increases endogenous phenolics, proline and photosynthetic pigments and the phytoremediation potential of the industrially important plant Ricinus communis L. for removal of cadmium from contaminated soil. Environ. Sci. Pollut. Res. 2016, 23, 20408–20430. [Google Scholar] [CrossRef] [PubMed]
- Kaiser, B.N.; Gridley, L.K.; Ngaire Brady, J.; Phillips, T.; Tyerman, S.D. The role of molybdenum in agricultural plant production. Ann. Bot. 2005, 5, 745–754. [Google Scholar] [CrossRef] [PubMed]
- Polić Pasković, M.; Vidović, N.; Lukić, I.; Žurga, P.; Majetić Germek, V.; Goreta Ban, S.; Kos, T.; Čoga, L.; Tomljanović, T.; Simonić-Kocijan, S.; et al. Phenolic Potential of Olive Leaves from Different Istrian Cultivars in Croatia. Horticulturae 2023, 9, 594. [Google Scholar] [CrossRef]
- Pasković, I.; Soldo, B.; Talhaoui, N.; Palčić, I.; Brkljača, M.; Koprivnjak, O.; Majetić Germek, V.; Ban, D.; Klanjac, J.; Franić, M.; et al. Boron Foliar Application Enhances Oleuropein Level and Modulates Volatile Compound Composition in Olive Leaves. Sci. Hortic. 2019, 257, 108688. [Google Scholar] [CrossRef]
- Liakopoulos, G.; Karabourniotis, G. Boron deficiency and concentrations and composition of phenolic compounds in Olea europaea leaves: A combined growth chamber and field study. Tree Physiol. 2005, 25, 307–315. [Google Scholar] [CrossRef]
- Tarozzi, A.; Hrelia, S.; Angeloni, C.; Morroni, F.; Biagi, P.; Guardigli, M.; Cantelli-Forti, G.; Hrelia, P. Antioxidant Effectiveness of Organically and Non-Organically Grown Red Oranges in Cell Culture Systems. Eur. J. Nutr. 2006, 45, 152–158. [Google Scholar] [CrossRef]
- Letaief, H.; Zemni, H.; Mliki, A.; Chebil, S. Composition of Citrus sinensis (L.) Osbeck Cv «Maltaise Demi-Sanguine» Juice. A Comparison between Organic and Conventional Farming. Food Chem. 2016, 194, 290–295. [Google Scholar] [CrossRef]
- Hallmann, E.; Lipowski, J.; Marszałek, K.; Rembiałkowska, E. The seasonal variation in bioactive compounds content in juice from organic and non-organic tomatoes. Plant Foods Hum. Nutr. 2013, 68, 171–176. [Google Scholar] [CrossRef]
- Kalogiouri, N.P.; Aalizadeh, R.; Thomaidis, N.S. Investigating the organic and conventional production type of olive oil with target and suspect screening by LC-QTOF-MS, a novel semi-quantification method using chemical similarity and advanced chemometrics. Anal. Bioanal. Chem. 2017, 409, 5413–5426. [Google Scholar] [CrossRef]
- Lukić, I.; Pasković, I.; Žurga, P.; Germek, V.M.; Brkljača, M.; Marcelić, Š.; Ban, D.; Grozić, K.; Lukić, M.; Užila, Z.; et al. Determination of the Variability of Biophenols and Mineral Nutrients in Olive Leaves with Respect to Cultivar, Collection Period and Geographical Location for Their Targeted and Well-Timed Exploitation. Plants 2020, 9, 1667. [Google Scholar] [CrossRef] [PubMed]
- Dicko, M.H.; Gruppen, H.; Barro, C.; Traore, A.S.; Van Berkel, W.J.H.; Voragen, A.G.J. Impact of Phenolic Compounds and Related Enzymes in Sorghum Varieties for Resistance and Susceptibility to Biotic and Abiotic Stresses. J. Chem. Ecol. 2005, 31, 2671–2688. [Google Scholar] [CrossRef] [PubMed]
- Selmar, D. Potential of Salt and Drought Stress to Increase Pharmaceutical Significant Secondary Compounds in Plants. Landbauforsch. vTI Agric. For. Res. 2008, 58, 139–144. [Google Scholar]
- Sharma, A.; Shahzad, B.; Rehman, A.; Bhardwaj, R.; Landi, M.; Zheng, B. Response of Phenylpropanoid Path-way and the Role of Polyphenols in Plants under Abiotic Stress. Molecules 2019, 24, 2452. [Google Scholar] [CrossRef] [PubMed]
- Sánchez-Rodríguez, E.; Moreno, D.A.; Ferreres, F.; Rubio-Wilhelmi, M.D.M.; Ruiz, J.M. Differential Responses of Five Cherry Tomato Varieties to Water Stress: Changes on Phenolic Metabolites and Related Enzymes. Phytochemistry 2011, 72, 723–729. [Google Scholar] [CrossRef]
- Hodaei, M.; Rahimmalek, M.; Arzani, A.; Talebi, M. The Effect of Water Stress on Phytochemical Accumulation Bioactive Compounds and Expression of Key Genes Involved in Flavonoid Biosynthesis in Chrysanthemum morifolium L. Ind. Crops Prod. 2018, 120, 295–304. [Google Scholar] [CrossRef]







| Farming System (F) | Verbascoside | Oleuropein | Oleacein | Rutin | Luteolin-7-O-Glucoside | Apigenin-7-O-Glucoside | Luteolin-4-O-Glucoside |
|---|---|---|---|---|---|---|---|
| Organic | 222.00 ± 29.00 a | 8263.00 ± 358.00 a | 201.00 ± 14.10 a | 138.00 ± 6.00 a | 1369.00 ± 65.30 a | 77.30 ± 8.16 b | 57.20 ± 3.44 a |
| Integrated | 133.00 ± 13.90 b | 5497.00 ± 361.00 b | 132.00 ± 12.70 b | 96.60 ± 5.63 b | 928.00 ± 51.20 b | 92.00 ± 10.90 a | 36.70 ± 2.45 b |
| p | <0.001 | <0.001 | <0.001 | <0.001 | <0.001 | 0.001 | <0.001 |
| Cultivar (Cv.) | |||||||
| IB | 221.00 ± 36.80 a | 7480 ± 518 a | 168.00 ± 17.00 a | 139.00 ± 8.53 a | 923.00 ± 49.50 c | 82.90 ± 11.10 b | 39.50 ± 2.98 b |
| L | 165.00 ± 25.40 b | 7070 ± 458 a | 194.00 ± 17.90 a | 86.70 ± 6.64 c | 1120 ± 69.00 b | 101.00 ± 14.40 a | 41.00 ± 4.70 b |
| O | 147.00 ± 22.10 b | 6090 ± 563 b | 138.00 ± 17.10 b | 126.00 ± 5.37 b | 1403 ± 99.00 a | 70.50 ± 9.01 b | 60.20 ± 3.44 a |
| p | <0.001 | <0.001 | <0.001 | <0.001 | <0.001 | <0.001 | <0.001 |
| Sampling year (Y) | |||||||
| 2022 | 63.50 ± 2.39 b | 5065.00 ± 322.00 b | 104.00 ± 2.79 b | 130.00 ± 8.21 a | 903.00 ± 44.70 b | 34.20 ± 2.27 b | 34.60 ± 2.15 b |
| 2023 | 291.00 ± 19.90 a | 8695.00 ± 275.00 a | 230.00 ± 11.10 a | 105.00 ± 4.00 b | 1395.00 ± 64.90 a | 135.00 ± 6.14 a | 29.20 ± 3.25 a |
| p | <0.001 | <0.001 | <0.001 | <0.001 | <0.001 | <0.001 | <0.001 |
| F × Cv. | ns | ns | ns | <0.001 | <0.001 | <0.001 | 0.043 |
| F × Y | <0.001 | ns | ns | 0.014 | ns | 0.001 | <0.001 |
| Cv. × Y | <0.001 | ns | ns | <0.001 | <0.001 | 0.002 | 0.021 |
| F × Cv. × Y | ns | <0.001 | <0.001 | <0.001 | ns | 0.032 | ns |
| Farming System (F) | B * | Ca | Cu | K | Mg | Mn | Mo | P | S | Si | Zn |
|---|---|---|---|---|---|---|---|---|---|---|---|
| Organic | 10.10 ± 0.27 b | 15.10 ± 0.77 b | 6.36 ± 0.417 b | 7.09 ± 0.34 b | 1.49 ± 0.044 | 37.2 ± 1.79 b | 0.38 ± 0.026 a | 1.01 ± 0.0776 b | 1.29 ± 0.059 b | 62.8 ± 5.87 b | 13.7 ± 0.85 a |
| Integrated | 11.70 ± 0.22 a | 17.00 ± 0.86 a | 41.60 ± 2.14 a | 7.41 ± 0.28 a | 1.41 ± 0.032 | 47.4 ± 2.06 a | 0.25 ± 0.017 b | 1.24 ± 0.0802 a | 1.49 ± 0.087 a | 81.6 ± 8.95 a | 10.7 ± 0.29 b |
| p | <0.001 | <0.001 | <0.001 | 0.038 | ns | <0.001 | <0.001 | <0.001 | <0.001 | <0.001 | <0.001 |
| Cultivar (Cv.) | |||||||||||
| IB | 11.40 ± 0.42 | 12.30 ± 0.54 c | 21.70 ± 3.86 | 6.61 ± 0.37 b | 1.41 ± 0.035 | 29.40 ± 1.19 c | 0.34 ± 0.031 a | 1.08 ± 0.10 b | 1.26 ± 0.053 b | 67.80 ± 8.87 | 11.8 ± 0.62 b |
| L | 10.70 ± 0.48 | 20.60 ± 0.95 a | 24.10 ± 4.50 | 6.93 ± 0.37 b | 1.42 ± 0.055 | 51.50 ± 1.95 a | 0.38 ± 0.032 a | 1.12 ± 0.099 ab | 1.57 ± 0.120 a | 72.10 ± 6.81 | 10.6 ± 0.39 b |
| O | 810.60 ± 0.51 | 15.20 ± 0.62 b | 26.20 ± 3.97 | 8.21 ± 0.34 a | 1.53 ± 0.048 | 46.10 ± 1.90 b | 0.24 ± 0.017 b | 1.17 ± 0.10 a | 1.34 ± 0.088 b | 76.60 ± 12.1 | 14.1 ± 1.15 a |
| p | 0.051 | <0.001 | ns | <0.001 | ns | <0.001 | <0.001 | 0.008 | <0.001 | ns | <0.001 |
| Sampling year (Y) | |||||||||||
| 2022 | 9.15 ± 0.27 b | 13.30 ± 0.57 b | 27.70 ± 3.61 a | 5.74 ± 0.21 b | 1.34 ± 0.028 b | 42.00 ± 2.10 | 0.23 ± 0.014 b | 0.67 ± 0.023 b | 1.02 ± 0.024 b | 33.00 ± 2.19 b | 10.40 ± 0.25 b |
| 2023 | 12.60 ± 0.22 a | 18.80 ± 0.79 a | 20.30 ± 2.95 b | 8.76 ± 0.15 a | 1.57 ± 0.038 a | 42.60 ± 2.13 | 0.41 ± 0.022 a | 1.58 ± 0.026 a | 1.76 ± 0.057 a | 111.00 ± 5.19 a | 14.00 ± 0.83 a |
| p | <0.001 | <0.001 | <0.001 | <0.001 | <0.001 | ns | <0.001 | <0.001 | <0.001 | <0.001 | <0.001 |
| F × Cv. | ns | <0.001 | ns | <0.001 | 0.009 | ns | <0.001 | ns | 0.042 | 0.001 | <0.001 |
| F × Y | ns | ns | 0.004 | 0.001 | 0.009 | ns | ns | ns | <0.001 | <0.001 | <0.001 |
| Cv. × Y | ns | 0.002 | 0.003 | ns | <0.001 | ns | ns | ns | <0.001 | <0.001 | ns |
| F × Cv. × Y | ns | 0.003 | 0.001 | ns | <0.001 | 0.002 | ns | ns | <0.001 | <0.001 | <0.001 |
| Statistic | PC1 | PC2 |
|---|---|---|
| Eigenvalue | 8.68 | 3.49 |
| % variance | 48.26 | 19.43 |
| Cumulative % | 48.26 | 67.69 |
| Factor loading/eigenvector | ||
| Variables | PC1 | PC2 |
| Verbascoside | 0.28 | −0.16 |
| Oleuropein | 0.27 | −0.24 |
| Oleacein | 0.27 | −0.14 |
| Rutin | −0.10 | −0.41 |
| Luteolin-7-O-glucoside | 0.24 | −0.21 |
| Apigenin-7-O-glucoside | 0.29 | 0.14 |
| Luteolin-4-O-glucoside | 0.24 | −0.25 |
| B | 0.24 | 0.20 |
| Ca | 0.22 | 0.28 |
| Cu | −0.10 | 0.43 |
| K | 0.28 | 0.07 |
| Mg | 0.21 | −0.06 |
| Mn | 0.03 | 0.37 |
| Mo | 0.24 | −0.14 |
| P | 0.31 | 0.16 |
| S | 0.28 | 0.23 |
| Si | 0.27 | 0.16 |
| Zn | 0.18 | −0.20 |
Disclaimer/Publisher’s Note: The statements, opinions and data contained in all publications are solely those of the individual author(s) and contributor(s) and not of MDPI and/or the editor(s). MDPI and/or the editor(s) disclaim responsibility for any injury to people or property resulting from any ideas, methods, instructions or products referred to in the content. |
© 2024 by the authors. Licensee MDPI, Basel, Switzerland. This article is an open access article distributed under the terms and conditions of the Creative Commons Attribution (CC BY) license (https://creativecommons.org/licenses/by/4.0/).
Share and Cite
Franić, M.; Pasković, I.; Marcelić, Š.; Lukić, I.; Major, N.; Palčić, I.; Goreta Ban, S.; Polić Pasković, M. Discrimination of Farming Practices Through Olive Leaf Phenolic and Mineral Analysis. Horticulturae 2024, 10, 1334. https://doi.org/10.3390/horticulturae10121334
Franić M, Pasković I, Marcelić Š, Lukić I, Major N, Palčić I, Goreta Ban S, Polić Pasković M. Discrimination of Farming Practices Through Olive Leaf Phenolic and Mineral Analysis. Horticulturae. 2024; 10(12):1334. https://doi.org/10.3390/horticulturae10121334
Chicago/Turabian StyleFranić, Mario, Igor Pasković, Šime Marcelić, Igor Lukić, Nikola Major, Igor Palčić, Smiljana Goreta Ban, and Marija Polić Pasković. 2024. "Discrimination of Farming Practices Through Olive Leaf Phenolic and Mineral Analysis" Horticulturae 10, no. 12: 1334. https://doi.org/10.3390/horticulturae10121334
APA StyleFranić, M., Pasković, I., Marcelić, Š., Lukić, I., Major, N., Palčić, I., Goreta Ban, S., & Polić Pasković, M. (2024). Discrimination of Farming Practices Through Olive Leaf Phenolic and Mineral Analysis. Horticulturae, 10(12), 1334. https://doi.org/10.3390/horticulturae10121334

