Next Article in Journal
Trichoderma viride: An Eco-Friendly Biocontrol Solution Against Soil-Borne Pathogens in Vegetables Under Different Soil Conditions
Previous Article in Journal
Foliar Application of Nettle and Japanese Knotweed Extracts on Vitis vinifera: Consequences for Plant Physiology, Biochemical Parameters, and Yield
 
 
Font Type:
Arial Georgia Verdana
Font Size:
Aa Aa Aa
Line Spacing:
Column Width:
Background:
Article

Exogenous Application of 1-Aminocyclopropane-1-carboxylic Acid as a New Strategy to Trigger the Color Development of Table Grapes Grown in Subtropics

by
Aline Cristina de Aguiar
1,
Fábio Yamashita
1,
Renata Koyama
2,
Bruna Evelise Bosso Caetano
1,
Carlos Akira Komoli Utiamada
1 and
Sergio Ruffo Roberto
1,*
1
Agricultural Research Center, Agronomy Department, State University of Londrina, Celso Garcia Cid Road, km 380, Londrina 86057-970, Brazil
2
Department of Agronomy, State University of Maringá, Av. Colombo, 5790, Maringá 87020-900, Brazil
*
Author to whom correspondence should be addressed.
Horticulturae 2024, 10(12), 1276; https://doi.org/10.3390/horticulturae10121276
Submission received: 10 October 2024 / Revised: 6 November 2024 / Accepted: 28 November 2024 / Published: 30 November 2024
(This article belongs to the Section Viticulture)

Abstract

This study aimed to assess, for the first time, the exogenous application of a new formulation of 1-aminocyclopropane-1-carboxylic acid (ACC) developed for agricultural use at different concentrations as a strategy to trigger color development in table grapes grown in the subtropics. Trials were conducted in commercial vineyards of ‘Benitaka’ and ‘Rubi’ grapes located in a subtropical area in the South of Brazil. For each cultivar, a randomized block design with seven treatments and four replications was used as the statistical model. Treatments included various concentrations of a formulation containing 400 g kg−1 of ACC: 0, 25, 50, 75, 100, and 125 g 100 L−1, as well as a standard concentration of a formulation containing 100 g L−1 of abscisic acid (S-ABA): 3.2 L ha−1. Treatments were exogenously applied at véraison, and for each cultivar, two trials were conducted independently, including two methods of application: to the entire canopy of the vines or only to the bunches, totaling four independent trials. The concentration of total anthocyanins and the color index of the berries were assessed weekly, whereas visual sensory analysis of the color coverage of the berries was performed at harvest. The data were subjected to analysis of variance, and means were compared by Tukey’s test at 5% significance using R-Studio software. A single exogenous application of ACC, ranging from 75 g 100 L−1 to 125 g 100 L−1, intensified berry color by increasing the total anthocyanin concentration in berry skins. For ‘Benitaka’ grape, applications of ACC to the entire canopy of vines or only to bunches ranging from 75 g 100 L−1 to 100 g 100 L−1 resulted in enough color coverage, while for ‘Rubi’, ACC at 100 g 100 L−1 was enough to intensify and to uniform the red color of berries, as well as the application of S-ABA at 3.2 L ha−1, with no negative impact to the bunches or vines.

1. Introduction

Grapes are one of the main fruit species cultivated worldwide, with a global production of 78 million tons by 2022, including approximately 32 million tons of table grapes [1]. The high acceptance of table grapes by consumers is owing to their excellent sensorial and nutritional qualities, which have increased their consumption in recent years [2].
A unique difference among table grapes grown in some subtropical areas of the Southern Hemisphere is the cultivation of a two-crops-a-year system, which is possible because of the mild winters in these areas and the combined use of bud break stimulators [3]. Therefore, in addition to the summer harvest season from November to January, it is possible to obtain an autumn harvest season from May to June, supplying a fresh grape market for a longer period of the year [4].
The color of grapes, owing to their visual appearance, is one of the main quality indicators that significantly influences the selection process and commercial value of the product. Therefore, bunches with intense and uniform colors have greater acceptance in the market [5,6]. The color of grape berries is associated with the quantity and composition of anthocyanins in the skin, which are phenolic compounds responsible for the blue, purple, and all shades of red colors in fruits, flowers, and leaves, and is determined by the allelic status of an essential locus that covers a 200 kb region on chromosome 2 [7,8,9]. The accumulation of anthocyanins in berries is stimulated during early ripening (véraison). When several physiological processes occur, berries begin to soften and change color, and the soluble solid content begins to increase [10].
Climate directly influences the anthocyanin content of grapes. Higher temperatures generally accelerate the ripening process but can lead to lighter coloration in red or purple grape varieties, as intense heat can hinder anthocyanin accumulation, which is responsible for red and purple hues. On the other hand, cooler temperatures, especially at night, enhance anthocyanin synthesis, resulting in richer, darker berry colors. Adequate sunlight exposure is also critical, as it promotes the production of flavonoids and anthocyanins, leading to more vibrant coloration. However, excessive direct sunlight can lead to sunburn, causing browning and reducing the grape’s visual appeal. Therefore, an optimal balance between moderate temperature and sufficient sunlight is crucial to achieve the desired color in table grapes. Therefore, when colored table grapes, such as ‘Rubi’ and ‘Benitaka’ are grown in subtropical areas with hot summers, such conditions inhibit the accumulation of these pigments in the grape skins, negatively affecting berry color development [5,11,12,13].
Several agricultural practices that tend to overcome and/or prevent these problems have been implemented, such as the removal of leaves close to the bunches, shoot thinning, and bunch and berry thinning to adjust the crop load. Removing leaves close to grape bunches, especially in shaded areas, exposes grapes to more sunlight, which promotes anthocyanin synthesis. Additionally, shoot thinning reduces competition for resources like water and nutrients, allowing the plant to focus its energy on fewer bunches, leading to more uniform ripening and color development. Bunch and berry thinning, which involves selectively removing parts of the crop load, also improves air circulation and ensures that the remaining berries receive more nutrients and sunlight [14], and the exogenous application of plant growth regulators at early ripening, such as ethephon [13,15,16] and abscisic acid (S-ABA) [17,18,19,20]. However, depending on the grape cultivar, the application of ethephon, which is subsequently converted into ethylene—a plant growth regulator associated with bunch ripening and leaf senescence—can promote the softening of berries by accelerating ripening, especially at higher concentrations, which may eventually cause fruit cracking [21]. This negative impact can be reduced by using lower concentrations of this compound; however, these are less effective in terms of the accumulation of anthocyanins and intensification of berry color [13,17]. In contrast, the exogenous application of S-ABA, which is a common practice in several tropical/subtropical areas, results in a significant increase in berry color and does not affect fruit ripening because it participates in a different metabolic route, known as the phenylpropanoid route [22,23]. However, multiple applications of this compound may be required [5,20,24].
Ethylene biosynthesis is tightly controlled by plant developmental stages and environmental signals. This process is biochemically straightforward and involves a two-step conversion of the universal methyl donor S-adenosylmethionine (SAMe) into ethylene. Initially, SAMe is transformed into 1-aminocyclopropane-1-carboxylic acid (ACC) by ACC synthase, and then ACC is converted to ethylene by ACC oxidase. Each step in this pathway is carefully regulated, ensuring precise control over ethylene-dependent processes [25,26,27,28], thereby playing a crucial role in grape berry ripening [29,30].
ACC is an ethylene precursor, and to the best of our knowledge, the first field trials using exogenous ACC were conducted in olive tree cultivation with the aim of promoting fruit abscission and avoiding the use of mechanical methods for fruit harvesting, such as mechanical shaking of the trunks, which may cause damage to trees [31]. In addition, the exogenous application of ACC has been assessed in apple trees as a potential chemical thinner at the early stage of fruit development [32,33]. Nevertheless, at that time, the product sources containing ACC were chemical reagents exclusively employed for some specific analytical analysis, not for agriculture.
Recently, a new formulation containing ACC for agronomic use was developed and released on the market under the trade name Accede® (Sumitomo Chemical, Tokyo, Japan) with the purpose of promoting chemical thinning of apples. As it is a natural precursor of ethylene in plants [25], when ACC is applied in apple trees during the flower fading stage (BBCH#67) and in fruitlets 25 mm in diameter (BBCH#73), it stimulates the synthesis of ethylene, which in turn promotes the abscission of apple flowers and fruitlets, reducing the requirement for manual thinning, which is considered a costly operation in apple tree cultivation.
Following the release of this new formulation containing ACC as a plant growth regulator, pioneering field trials on grapevines were conducted with the aim of verifying its effectiveness in promoting machine-harvested ‘Thompson Seedless’ grapes by inducing berry abscission [34], as well in promoting vine defoliation and accelerating the dehydration process of ‘Selma Pete’ grapes for the production of raisins, based on applications at the late stage of grape ripening [35]. Later, in our preliminary trials using this new formulation, we described the first evidence of the exogenous application of ACC to promote the development of berry color in table grapes [36]. In these trials, we found that ACC applied at véraison had promising efficacy by enhancing the berry color of grapes grown in the subtropics compared with the control treatment, which motivated an in-depth understanding of these new findings.
Furthermore, the method of exogenous application of ACC, whether by spraying the entire canopy of the vines, including the bunches and shoots, or only the bunches, is an essential factor to consider when evaluating its effectiveness. In other words, depending on the size of the vineyard to be treated, the most appropriate method can be selected to optimize the process and reduce operational production costs.
The objective of this work was to assess, for the first time, various concentrations of a new formulation of ACC developed for agricultural use in field trials as a strategy to trigger the anthocyanins accumulation and to increase the color index of ‘Benitaka’ and ‘Rubi’ table grapes grown in subtropics, including two methods of application: to the entire canopy of the vines, or only to the bunches during the 2022 off-season crop.

2. Materials and Methods

2.1. Location of Experiments and Evaluated Grape Cultivar

This study was conducted in two commercial areas in a subtropical region. In the first area, located in the municipality of Cambira, PR, Brazil (23°35′27″ S 51°34′14″ W, elevation 820 m), the 3-year-old ‘Benitaka’ table grape (Vitis vinifera L.) grafted onto ‘IAC-766 Campinas’ rootstock was assessed. In the second area, located in the municipality of Marialva, PR, Brazil (23°29′46″ S 51°48′1″ W, elevation 600 m), the 10-year-old ‘Rubi’ table grape (Vitis vinifera L.) grafted onto the ‘IAC-766 Campinas’ rootstock was assessed. In both areas, vines were trained in a double cordon on an overhead trellis system covered with black screen mash with 18% shading, and vines were spaced at 2.5 m × 3.5 m. Standard regional cultivation practices for nutrition, weed control, and pest and disease management were used in all trials.
The local climate of both areas is classified as humid subtropical (Cfa) by Köppen, with an average winter temperature below 18 °C, an average summer temperature above 22 °C and 1600 mm of precipitation, which occurs mainly during the summer, without long periods of drought [37], and for this reason, no irrigation system was used.

2.2. Treatments and Experimental Design

The effects of ACC and S-ABA at various concentrations and methods of application were assessed regarding berry color development during the off-season crop from January to May 2022. The vines were long-pruned with 10–12 buds retained per cane, followed by the application of hydrogenated cyanamide (2.5%) to the 2 terminal buds (80 buds per vine) to induce and standardize bud break. At pea size, the crop load was adjusted to 5 bunches m−2, and the yield was estimated to be 28 t ha−1.
For each grape cultivar, an independent trial was carried out in the same vineyard, but in blocks located 10 m apart. The experimental layout for each trial was a randomized block design containing 24 experimental units, one vine per unit consisting of an area of 8.75 m2, replicated in four blocks. For each grape cultivar, two trials were conducted independently, including two methods of exogenous application: to the entire canopy of the vines or only to the bunches, accounting for four trials. As a source of ACC, the commercial product Accede® was used (Sumitomo Chemical, Tokyo, Japan) containing 40% of the active ingredient (400 g kg−1, water-soluble granules, SG), and treatments included concentrations at 0, 25, 50, 75, 100, and 125 g 100 L−1 of the commercial product, as well as the standard concentration of S-ABA for comparisons, by using the commercial product ProTone® (Valent Biosciences, Libertyville, IL, USA) containing 10% of the active ingredient (100 g L−1, soluble concentrate, SL) at 3.2 L ha−1.
Treatments were exogenously applied at the véraison stage (BBCH #81) when berries of both cultivars reached approximately 7.5° Brix. For each grape cultivar, two trials were conducted independently, including two methods of exogenous application: to the entire canopy of the vines or only to the bunches, accounting for four trials. The application of S-ABA was performed by spraying only the bunches to prevent potential leaf injuries [38]. The non-ionic surfactant BreakThru® at 0.5 mL L−1 (Evonik Degussa Brasil Ltd., Sao Paulo, SP, Brazil) was added to the solution of all treatments. The plant growth regulators ACC and S-ABA were supplied by Sumitomo Chemical (Tokyo, Japan).
For application to the entire canopy of vines, a 3.0 m wide bar containing six simple fan nozzles (n° 020, yellow) connected to a CO2 cylinder was used. The applications simultaneously covered the shoots, leaves, and bunches, with an estimated application volume of 1000 L ha−1. For applications only to bunches, a backpack sprayer connected to a CO2 cylinder was used to maintain a constant pressure, providing complete and uniform coverage. The applications were conducted until run-off, with an estimated application volume of 300–400 L ha−1. The applications were conducted in the morning, between 9:00 and 11:00, with no rain reported on the day of application, and the bunches were completely dried after 30–40 min of application.

2.3. Assessments

Assessments were performed weekly from the date of treatment until harvest of the bunches, when they reached the full ripeness stage for each grape cultivar, and 28 and 42 days after treatment application for ‘Benitaka’ and ‘Rubi’ table grapes, respectively. In each evaluation, 10 berries were sampled per plot to assess the concentration of total anthocyanins and berry color index (CIRG). Additionally, a visual sensory analysis of the color coverage of the bunches was performed at harvest, as well as the soluble solids and titratable acidity of the berries.
The method outlined by Peppi et al. [13] was used to determine the total anthocyanin concentration in the berries, from which the skins were carefully removed with tweezers, ensuring that only the skin was taken without any pulp. The skins were rinsed in a sieve with water and then with deionized water and dried with absorbent paper. Next, a 3 g sample of the skins was weighed in a polystyrene tube, and 30 mL of methanol acidified with 1% HCl was added. The samples were then stored in the dark at room temperature for 48 h. Afterward, the tubes were removed from the dark and manually shaken for 5 s. Finally, the absorbance was measured using a spectrophotometer (Genesys 10S, UV-VIS®) at 520 nm, with the acidified methanol serving as the “blank”, and the results were reported as mg of malvidin-3-glucoside per gram of skin (mg g−1).
The berry color index was analyzed using a color reader (CR-10 Plus, Minolta®, Ramsey, NJ, USA) to measure the following variables in the equatorial portion of the berries (n = 2 per berry): L* (lightness), C* (chroma), and (hue angle). Based on these values, the CIRG was calculated using the following equation proposed by Carreño et al: [39]: CIRG = 180 − /(L* + C*).
For visual sensory analysis of the color coverage of bunches at harvest, a classification system based on Olivares et al. [6] was previously developed for each grape cultivar, considering that these grapes present distinct characteristics of color intensity and uniformity [4]. The systems were composed of six categories or classes of color coverage of the bunches as follows: Class 1, 100% covered by green color; Class 2, 1–25% covered by red color; Class 3, 25–50% covered by red color; Class 4, 50–75% covered by red color; Class 5, 75–100% covered by red color; and Class 6, 100% covered by intense red or purplish−red color (Figure 1). Class 5 is considered the most representative and attractive class of color coverage for both cultivars. Visual sensory evaluation of the prevalence of color coverage classes in each treatment was performed by 10 trained panelists. The number of bunches corresponding to each color category (1–6) per plot was assessed, and the results were expressed as the percentage of bunches in each color coverage class.
Soluble solid (SS) and titratable acidity (AT) contents of berries were assessed at harvest according to Koyama et al. (2019). For each trial, 10 berries were analyzed per plot, and the results were expressed in °Brix and % of tartaric acid, respectively.
The data set was subjected to analysis of variance, and the means were compared by Tukey’s test (p < 0.05) using the R-Studio software package Expdes.pt.

3. Results

The exogenous application of ACC, in both application methods, resulted in a higher accumulation of total anthocyanins in berries of ‘Benitaka’ grape compared with the control throughout the assessment periods for all concentrations tested (Figure 2).
Bunches treated with ACC at concentrations of 100 g 100 L−1 and 125 g 100 L−1 stood out, mainly 14 days after application, and had the highest mean. The progressive behavior of anthocyanin development was maintained until the complete ripening of the bunches, which occurred 28 days after the application. However, the highest mean accumulation of total anthocyanins at harvest was observed when ACC was applied at 125 g 100 L−1, followed by 100 g 100 L−1, 75 g 100 L−1, S-ABA at 3.2 L ha−1, and finally ACC at 50 g 100 L−1, which differed from the control. ACC at 25 g L−1 had low performance regarding the accumulation of total anthocyanins, similar to that of the control.
The application of ACC at various concentrations, in both methods of application, also enhanced the accumulation of total anthocyanins of ‘Rubi’ table grape (Figure 3). However, unlike in the previous trial, the accumulation of total anthocyanins was slower at the beginning of the assessments, increasing from 21 days after application until 42 days after application. All treated bunches with ACC or S-ABA had higher anthocyanin development than the control; however, bunches treated with ACC at 125 g 100 L−1, regardless of the application methods, had higher means of anthocyanin accumulation throughout the assessment period, differing from all treatments, followed by the concentrations 100 g 100 L−1, 75 g 100 L−1, 50 g 100 L−1, and S-ABA at 3.2 L ha−1, which in turn differed from the control treatment. Similar to the previous trial, ‘Rubi’ grapes subjected to the application of ACC at 25 g 100 L−1 had low performance in terms of total anthocyanin accumulation, which did not differ from the control. Furthermore, the accumulation of total anthocyanins was approximately 6.6 to 8 times higher in bunches treated with ACC at 125 g 100 L−1 compared with the control in applications to the entire canopy or only to the bunches.
Regarding berry-CIRG development, a similar behavior was observed for ‘Benitaka’ grape, where ACC and S-ABA-treated berries, regardless of the application methods, had higher means than those from the control (Figure 4). The superior development of CIRG for grapes treated with ACC at the highest concentrations (100 g 100 L−1 and 125 g 100 L−1) was observed from 14 days after the application of the treatments until the bunches were completely ripened.
In general, CIRG development in all treatments was similar to the total anthocyanin concentration (Figure 2), but CIRG represents the visual perception that consumers use to choose the grapes to be consumed, making it one of the most relevant characteristics to compare treatments. Thus, the highest CIRG means were observed when ACC was applied at 100 g 100 L−1 and 125 g L−1, S-ABA at 3.2 L ha−1, followed by ACC at 75 g 100 L−1 and 50 g 100 L−1, differing from the control. However, bunches subjected to the application of ACC at 25 g 100 L−1 had a low CIRG, similar to that of the control treatment.
For ‘Rubi’ grape, differences among treatments were found from 7 and 14 days after treatments, for applications to the entire canopy or only to the bunches, respectively (Figure 5). Bunches treated with ACC or S-ABA had higher means compared with control until 42 days after application when bunches were harvested. For applications to the entire canopy (Figure 5A), bunches treated with ACC from 50 g 100 L−1 to 125 g 100 L−1 and S-ABA 3.2 L ha−1 resulted in higher means of CIRG compared with the control. When only the bunches were treated (Figure 5B), the highest CIRG means were found for ACC at 100 g 100 L−1 and 125 g 100 L−1, followed by 75 g 100 L−1 and S-ABA 3.2 L ha−1, which differed from the control. At the end of bunch maturation, ACC at 125 g 100 L−1 resulted in a CIRG approximately 2-fold higher than that of the control in both application methods.
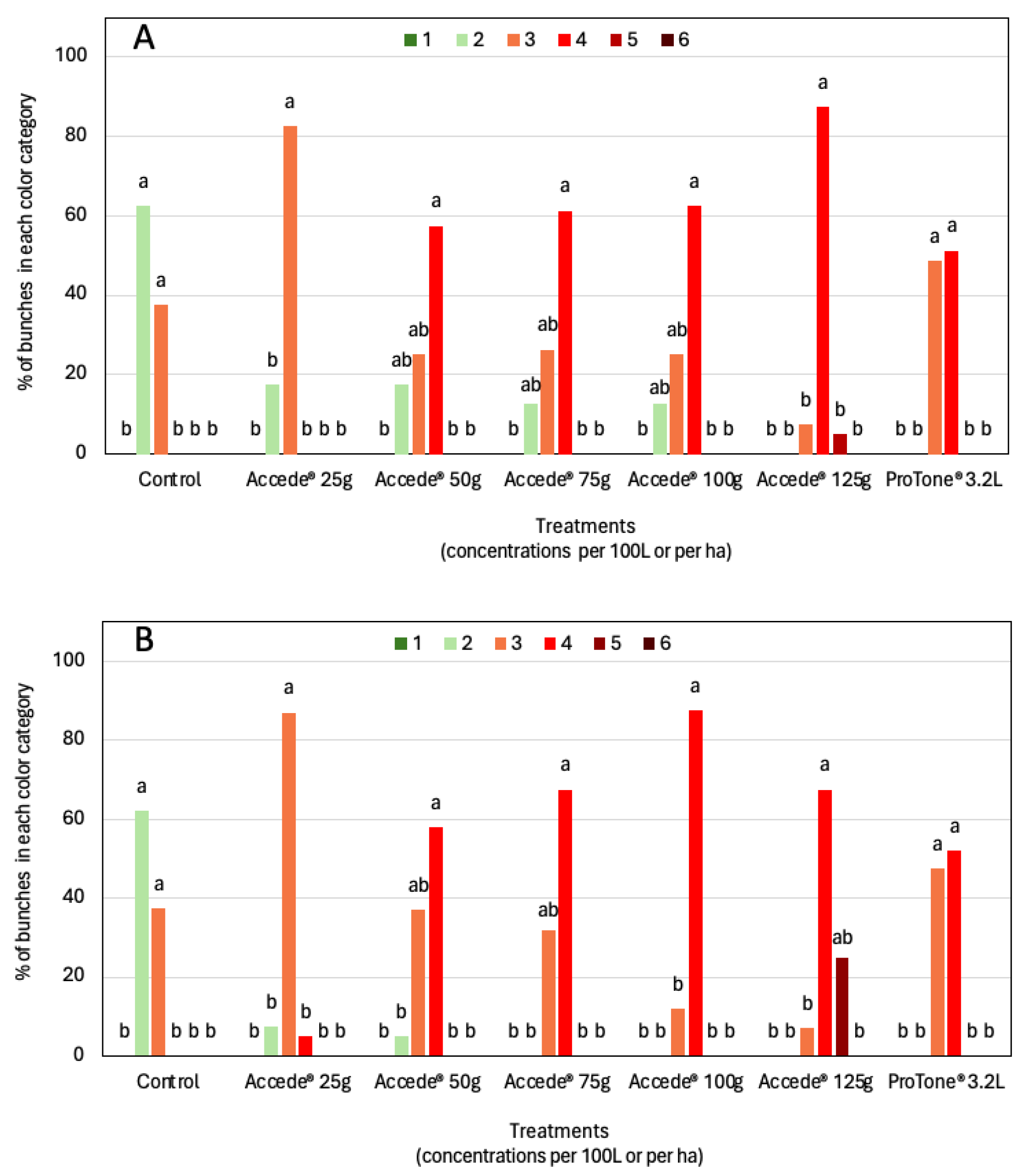
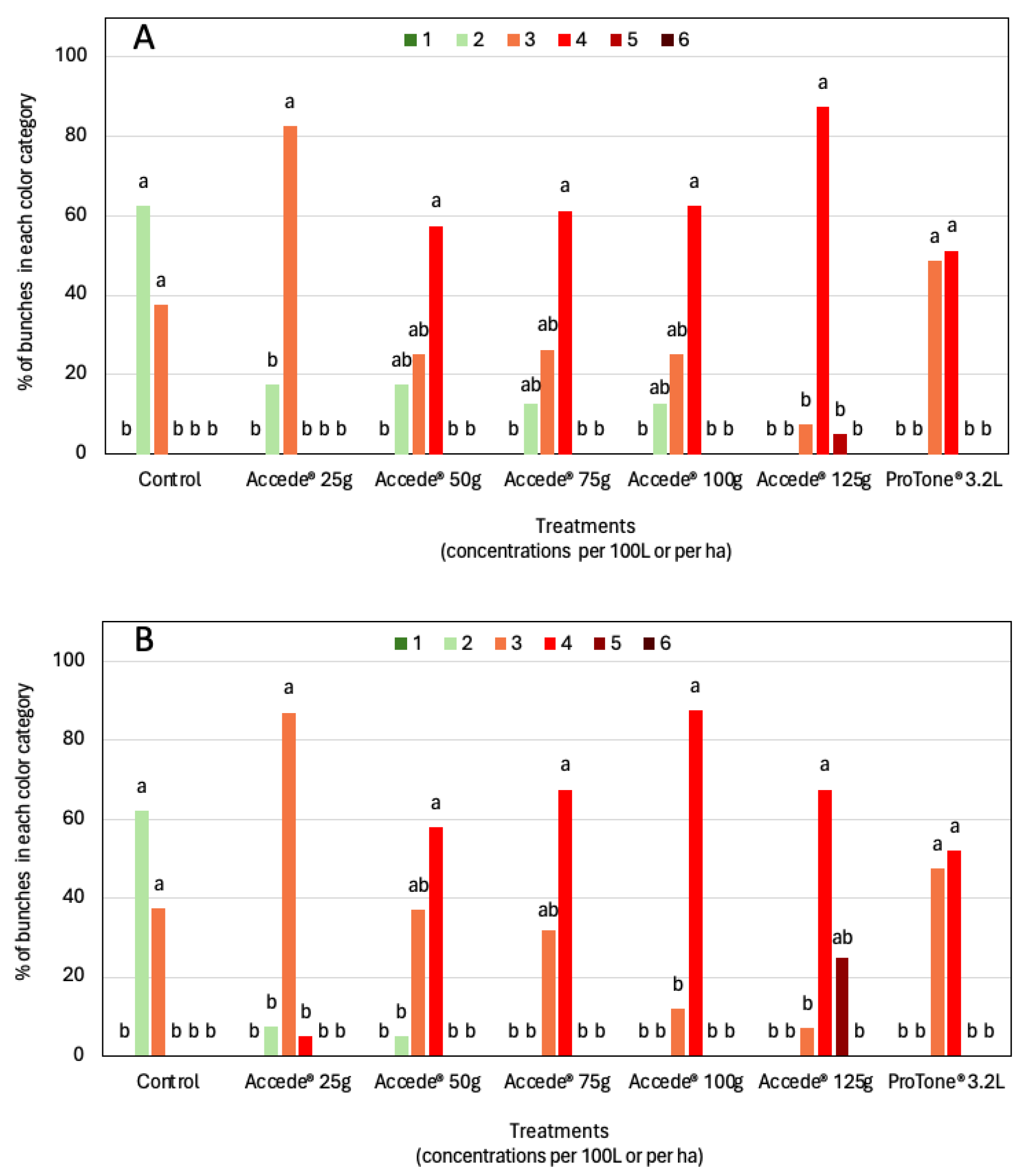
Based on the visual sensory analysis of the ‘Benitaka’ bunch color coverage system (Figure 6), it was found that when ACC was applied at concentrations ranging from 75 g 100 L−1 to 125 g 100 L−1, it resulted in bunches with a more intense red and uniform color coverage, regardless the methods of application. In other words, the higher the ACC concentration, the higher the percentage of bunches grouped in Class 5, especially those subjected to ACC at 125 g 100 L−1, which had >70% of the bunches grouped in this class. However, when the bunches were treated with ACC at concentrations ranging from 50 g 100 L−1 to 100 g 100 L−1, it was found that almost 80% of bunches of ‘Benitaka’ table grape were grouped in Class 4, with similar results found for S-ABA-treated grapes at 3.2 L ha−1. ACC at 25 g 100 L−1 still resulted in 20% of grapes grouped in Class 2, even though Class 4 had been the most prevalent in this treatment, reaching around 50%. For control bunches, the most prevalent color coverage class was 2, reaching around 50%, while Class 4 was the least prevalent, reaching around only 10%.
The pattern of color coverage of the berries at harvest for all treatments and for both methods of application is illustrated in Figure 7. At this stage, the berry color of the control treatment was, for the most part, still green or with little red coverage (Figure 7A,H), in contrast to the bunches treated with ACC, especially those ranging from 75 g 100 L−1 to 125 g 100 L−1 (Figure 7D–F,K–M), which had a better performance of color intensity and coverage, as well those treated with S-ABA treatment (Figure 7G,N).
Regarding grape maturity at harvest, regardless of the mode of application, ACC treatments had no significant impact on the SS or TA contents of the ‘Benitaka’ grape (Tables S1 and S2).
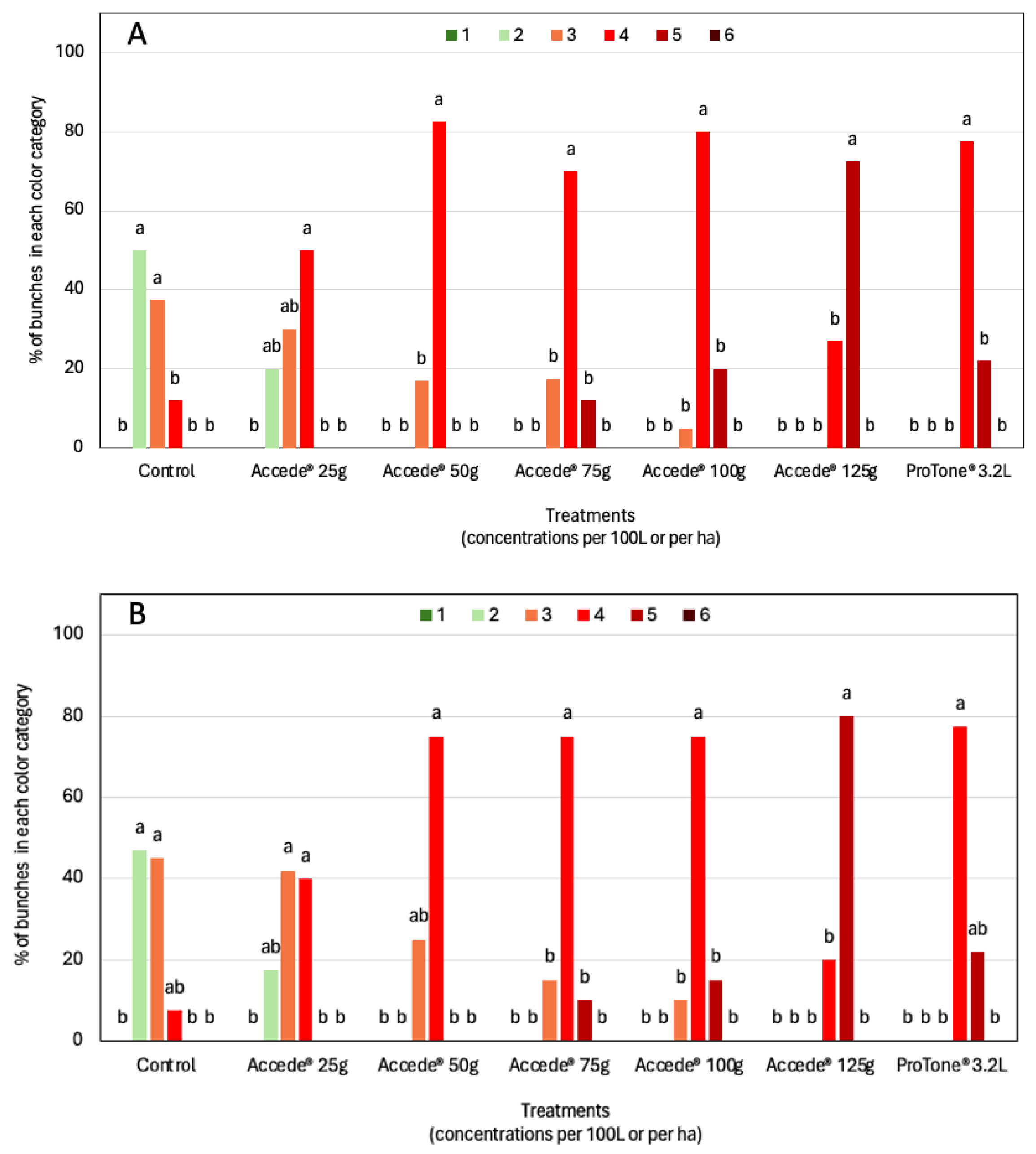
For ‘Rubi’ table grapes subjected to ACC treatments at concentrations from 50 g 100 L−1 to 125 g 100 L−1, regardless of the method of application (Figure 8), Class 4 was the most prevalent category of color coverage, reaching >60%. However, Class 5 reached >20% when only the bunches were treated with ACC at 125 g 100 L−1. In turn, when ACC was applied at 100 g 100 L−1 only to the bunches, Class 4 color coverage reached >80%, and the remaining bunches were grouped in Class 3 (Figure 8B). Grapes treated with S-ABA at 3.2 L ha−1 were evenly grouped in classes 3 and 4, whereas grapes grouped in Class 2 were scarcely observed when ACC was applied only to the bunches. Class 2 was the most prevalent category of color coverage for the control treatment, with no bunches grouped in Class 4, whereas for ACC at 50 g 100 L−1, Class 3 was the most prevalent category.
These findings are confirmed by analyzing Figure 9, in which there is a remarkable color dissimilarity of ‘Rubi’ berries among treatments, such as those from the control treatment which was still green (Figure 9A,H), in contrast to the berries from bunches treated with ACC from 75 g 100 L−1 to 125 g 100 L−1 (Figure 9D–F,K–M) which had better red coverage, demonstrating that the effects of the same ACC concentration were stronger in ‘Rubi’ than ‘Benitaka’ grape. Furthermore, grapes subjected to S-ABA had similar behavior to those treated with ACC 50 g 100 L−1 (Figure 9G,N).
As previously observed for ‘Benitaka’ grape, regardless of the mode of application, the exogenous application of ACC had no influence on the SS and TA contents of ‘Rubi’ grape assessed at harvest (Tables S3 and S4).

4. Discussion

We observed that exogenous application of ACC or S-ABA increased the accumulation of total anthocyanins for ‘Benitaka’ and ‘Rubi’ table grapes assessed in this work. Furthermore, color development followed a pattern similar to that observed for total anthocyanin accumulation. In other words, similar to the concentration of total anthocyanins, CIRG was expressed more quickly in berries treated with ACC or S-ABA 14 and 21 days after the application for ‘Benitaka’ and ‘Rubi’ grapes, respectively, standing out from the control bunches until they reached full ripeness.
In general, table grapes with high concentrations of total anthocyanins have skin with a more intense and uniform red color compared to those with a low concentration of these compounds. However, the relationship between pigments and berry color characteristics is complex and not strictly linear. While anthocyanins are key pigments, their concentration alone does not directly translate to a specific berry color. Furthermore, pigment interactions, the distribution of these compounds in grape skin layers, and the presence of co-pigmentation add additional layers of complexity. This means that while pigments are essential for color, the final color of table grapes often depends on multiple factors beyond just pigment concentration [13,17,18]. According to our results, for both grape cultivars, it is clear that ACC treatments, especially those at higher concentrations, triggered anthocyanin synthesis, resulting in higher development of berry color index (Figure 2, Figure 3, Figure 4 and Figure 5).
‘Rubi’ table grapes are known for their lack of good coverage of the red color [4,40,41], which is why their cultivation is avoided in areas with low daily diurnal range of temperature during the ripening stage. For this reason, this cultivar took around 21 days after the application of treatments to show an increase in color development. Therefore, the exogenous application of ACC or S-ABA is supposed to be performed at early véraison for better color development [24].
For a better understanding of the effects of the exogenous application of ACC and S-ABA on berry color type, according to the CIRG classification proposed by Carreño et al. [39], at harvest for both application methods, ‘Benitaka’ bunches subjected to ACC at 125 g 100 L−1 had red–violet berries, while those treated with S-ABA 3.2 L ha−1 had red-gray colored berries, and control bunches had pink berries (Figure 4). On the other hand, ‘Rubi’ bunches subjected to ACC treatment at 125 g 100 L−1 had red-gray berries, while those treated with S-ABA 3.2 L ha−1 had red color, and the control bunches were mostly covered by pink color (Figure 5).
It became clear that both grape cultivars were favored by the ACC or S-ABA applications, but ‘Rubi’ in particular, with its natural difficulty in developing berry color, was even more impacted in terms of CIRG development. However, it is known that the color of bunches treated with S-ABA can be intensified by multiple applications, as previously reported [5,20,24]; however, a decision to perform more than one application has to be made considering that as the production cost increases, the price of more colored produce should be worthwhile. However, we demonstrated that a single exogenous application of ACC ranging from 75 g 100 L−1 to 125 g 100 L−1 is enough to intensify berry color by increasing the total anthocyanin concentration in berry skin, as shown in Figure 3 and Figure 5. Moreover, the higher intensity of the red color found when ACC at 125 g 100 L−1 was applied might not necessarily be the most suitable concentration, provided that grapes subjected to lower concentrations, from 75 g 100 L−1 to 100 g 100 L−1, had enough color coverage. Thus, at these concentrations, the amount of ACC needed to achieve this goal is reduced, with a remarkable improvement in bunch color. In addition, grape coloration is influenced not only by the intrinsic characteristics of each cultivar but also by other factors, such as crop load, exposure of grapes to sunlight, and the daily diurnal range of air temperature, among others [17,19,42]. As a result, in subtropical areas, as climatic conditions may vary across years, specific seasons with cooler nights might require lower concentrations of ACC to improve the color of table grapes, provided that this climate condition naturally promotes anthocyanin synthesis by upregulating the expression of genes encoding enzymes that are key in this process [12,43], and the exogenous application of ACC at lower concentrations would be enough to supplement anthocyanin accumulation.
Exogenous application of S-ABA has already been the subject of studies by several authors to intensify and to uniform the color of the berries of table grapes, including ‘Flame Seedless’ [13], ‘Red Globe’ [17], ‘BRS Melodia’ [19], ‘Kyoho’ [44] and ‘Crimson Seedless’ [18,23,45]. However, no information was available for the same purpose; therefore, a new formulation of ACC was developed for agricultural use, which turns this work pioneering on this subject.
Ethylene directly influences multiple aspects related to grape ripening and thus can alter the quality attributes of bunches [46]; however, in our trials, exogenous ACC and S-ABA applications had no impact on the ripening of the grape bunches. In addition, unlike ethephon application, no berry cracking or similar injuries were observed after ACC or S-ABA application in either cultivar. When ethephon (2-chloroethylphosphonic acid) is applied to grapes, the breakdown of this compound results in the immediate production of ethylene, chloride, and phosphate [21], stimulating the expression of anthocyanidin synthase (ANS), also known as leucoanthocyanidin dioxygenase (LDOX) [47], which accelerates the ripening process in a short period of time, possibly resulting in berry softening and cracking. ANS influences berry softening in table grapes by promoting the synthesis of anthocyanins and proanthocyanidins, which strengthen cell walls and maintain berry firmness. During ripening, reduced ANS activity and lower anthocyanin levels weaken cell wall structures, while ethylene triggers cell wall-degrading enzymes, further softening the fruit. Additionally, anthocyanins produced via ANS offer antioxidant protection, preserve cell integrity, and delay softening. Together, these processes link ANS activity to both color development and texture changes in maturing grapes [48]. On the other hand, when ACC is applied and absorbed, it takes longer to promote the synthesis of ethylene, and consequently the synthesis of anthocyanins, about 14 days, as shown in Figure 2 and Figure 3.
The metabolic pathways through which the exogenous application of ACC and S-ABA promotes the biosynthesis of anthocyanins are quite different [28,49], but both ultimately increase berry color development. Free anthocyanins in grape berries are synthesized via the flavonoid pathway, which shares the same upstream pathway with proanthocyanidins, until the formation of anthocyanidins by the catalysis of ANS. When applied to grapevines, exogenous ACC is converted to ethylene via the Yang cycle from the amino acid methionine, of which ACC is the immediate precursor, resulting in higher accumulation of anthocyanins [29]. In contrast, the exogenous application of S-ABA acts on the phenylpropanoid metabolic pathway of vines, favoring the accumulation of the transcription factor VvMYBA1, a regulator of the expression of the UFGT gene, which is expressed only after véraison and is involved in regulating anthocyanin biosynthesis [42,50]. Given these aspects, a hypothesis to increase anthocyanin synthesis in table grapes grown in the subtropics is to combine both ACC and S-ABA in a single application at low concentrations of the active ingredients, which should be explored in future trials.
The color of ‘Benitaka’ and ‘Rubi’ grapes is one of the most important characteristics of consumer preference, which directly influences the commercial quality of the produce. Furthermore, the red color is often related to grape quality, as consumers associate certain flavors with specific colors; thus, the perception of flavor and aroma tends to increase as the color intensifies. Considering that table grapes are usually harvested in multiple passes because of uneven bunch color coverage, the exogenous application of ACC is a new strategy to trigger the color development of table grapes grown in the subtropics. A single exogenous application of ACC at véraison in concentrations ranging from 75 g 100 L−1 to 100 g 100 L−1 provides enough color coverage for ‘Benitaka’ grape, while for ‘Rubi’, due to its natural lack of berry color, ACC at 100 g 100 L−1 is enough to intensify and to uniform the red color of berries, avoiding multiple harvesting passes and reducing the labor and logistics costs.
Regarding the modes of application of ACC assessed in these trials to the entire canopy of the vine or only to the bunches, both methods had similar performance in terms of berry color development. It is worth noting that, when applied only to the bunches by using a backpack sprayer, it is a laborious and time-consuming task because all parts of the bunches have to be completely covered; however, the volume of application is lower than to the application to the entire canopy of the vines, reducing production costs and making it suitable for small vineyards, which allows a more precise application, beneficial if a target specific section of the area or a low rate is required. On the other hand, the exogenous application of ACC to the entire canopy of the vines using a tractor-mounted air blast sprayer is highly effective for achieving thorough coverage, making it ideal for large vineyards, provided that this equipment was designed to handle larger volumes. Finally, depending on the area to be treated, all these aspects must be taken into consideration for greater effectiveness of ACC, including its concentration, to promote better color development of berries.
Furthermore, the exogenous application of ACC did not have any negative impact on the yield attributes of the vine or on its regrowth in the following season, only influencing the color attributes of the bunches.

5. Conclusions

A single exogenous application of ACC at véraison is a new strategy to enhance the color development of table grapes grown in the subtropics. For ‘Benitaka’ grape, applications of ACC to the entire canopy of vines or only to bunches ranging from 75 g 100 L−1 to 100 g 100 L−1 provide enough color coverage, while for ‘Rubi’, ACC at 100 g 100 L−1 is enough to intensify and to uniform the red color of berries, as well as the application of S-ABA at 3.2 L ha−1, with no negative impact to the bunches or vines.

Supplementary Materials

The following supporting information can be downloaded at: https://www.mdpi.com/article/10.3390/horticulturae10121276/s1, Table S1: Soluble solids and titratable acidity of ‘Benitaka’ table grape (Vitis vinifera L.) subjected to exogenous application of 1-aminocyclopropane-1-carboxylic acid (ACC, Accede®) and abscisic acid (S-ABA, ProTone®) to the entire canopy at véraison; Table S2: Soluble solids and titratable acidity of ‘Benitaka’ table grape (Vitis vinifera L.) subjected to exogenous application of 1-aminocyclopropane-1-carboxylic acid (ACC, Accede®) and abscisic acid (S-ABA, ProTone®) only to the bunches at véraison; Table S3: Soluble solids and titratable acidity of ‘Rubi’ table grape (Vitis vinifera L.) subjected to exogenous application of 1-aminocyclopropane-1-carboxylic acid (ACC, Accede®) and abscisic acid (S-ABA, ProTone®) to the entire canopy at véraison; Table S4: Soluble solids and titratable acidity of ‘Rubi’ table grape (Vitis vinifera L.) subjected to exogenous application of 1-aminocyclopropane-1-carboxylic acid (ACC, Accede®) and abscisic acid (S-ABA, ProTone®) only to the bunches at véraison.

Author Contributions

Conceptualization, S.R.R.; methodology, A.C.d.A., R.K., B.E.B.C., C.A.K.U. and S.R.R.; validation, A.C.d.A., F.Y. and S.R.R.; data curation, A.C.d.A., B.E.B.C., C.A.K.U. and F.Y.; formal analysis, A.C.d.A., F.Y. and S.R.R.; writing—original draft preparation, A.C.d.A., R.K. and S.R.R.; writing—review and editing, A.C.d.A. and S.R.R.; supervision, S.R.R.; project administration, S.R.R.; funding acquisition, S.R.R. All authors have read and agreed to the published version of the manuscript.

Funding

This study was financed in part by the Brazilian Federal Agency for Support and Evaluation of Graduate Education (CAPES)—Finance Code 001.

Data Availability Statement

Data are available upon request.

Acknowledgments

The authors would like to express their gratitude to Monte Belo® Grapes and Tony Peres Farms for providing the experimental areas and their invaluable assistance during the research.

Conflicts of Interest

The authors declare no conflicts of interest.

References

  1. International Organisation of Vine and Wine—OIV. Available online: https://www.oiv.int/en/statistiques/ (accessed on 10 July 2024).
  2. Rodriguez-Lopez, P.; Rueda-Robles, A.; Borrás-Linares, I.; Quirantes-Piné, R.M.; Emanuelli, T.; Segura-Carretero, A.; Lozano-Sánchez, J. Grape and Grape-Based Product Polyphenols: A Systematic Review of Health Properties, Bioavailability, and Gut Microbiota Interactions. Horticulturae 2022, 8, 583. [Google Scholar] [CrossRef]
  3. Chen, W.K.; Bai, X.J.; Cao, M.M.; Cheng, G.; Cao, X.J.; Guo, R.R.; Wang, Y.; He, L.; Yang, X.H.; He, F.; et al. Dissecting the variations of ripening progression and flavonoid metabolism in grape berries grown under double cropping system. Front. Plant Sci. 2017, 8, 1912. [Google Scholar] [CrossRef] [PubMed]
  4. Kishino, A.Y.; Marur, C.J.; Roberto, S.R. Características da planta. In Viticultura Tropical: O sistema de produção de uvas de mesa do Paraná; Kishino, A.Y., de Carvalho, S.L.C., Roberto, S.R., Eds.; IAPAR: Londrina, Brazil, 2019; pp. 155–250. [Google Scholar]
  5. Roberto, S.R.; de Assis, A.M.; Yamamoto, L.Y.; Miotto, L.C.V.; Sato, A.J.; Koyama, R.; Genta, W. Application timing and concentration of abscisic acid improve color of ‘Benitaka’ table grape. Sci. Hortic. 2012, 142, 44–48. [Google Scholar] [CrossRef]
  6. Olivares, D.; Contreras, C.; Munoz, V.; Rivera, S.; Gonzalez-Agüero, M.; Retamales, J.; Defilippi, B.G. Relationship among color development, anthocyanin and pigment-related gene expression in ‘Crimson Seedless’ grapes treated with abscisic acid and sucrose. Plant Physiol. Biochem. 2017, 115, 286–297. [Google Scholar] [CrossRef]
  7. Azuma, A.; Kobayashi, S.; Mitani, N.; Shiraishi, M.; Yamada, M.; Ueno, T.; Kono, A.; Yakushiji, H.; Koshita, Y. Genomic and genetic analysis of myb-related genes that regulate anthocyanin biosynthesis in grape berry skin. Theor. Appl. Genet. 2008, 117, 1009–1019. [Google Scholar] [CrossRef]
  8. Fournier-Level, A.; Le Cunff, L.; Gomez, C.; Doligez, A.; Ageorges, A.; Roux, C.; Bertrand, Y.; Souquet, J.M.; Cheynier, V.; This, P. Quantitative genetic bases of anthocyanin variation in grape (Vitis vinifera L. ssp. sativa) berry: A quantitative trait locus to quantitative trait nucleotide integrated study. Genetics 2009, 183, 1127–1139. [Google Scholar] [CrossRef]
  9. Matus, J.T.; Loyola, R.; Vega, A.; Peña-Neira, A.; Bordeu, E.; Arce-Johnson, P.; Alcalde, J.A. Post-véraison sunlight exposure induces MYB-mediated transcriptional regulation of anthocyanin and flavonol synthesis in berry skins of Vitis vinifera. J. Exp. Bot. 2009, 60, 853–867. [Google Scholar] [CrossRef]
  10. Ribichaud, J.L.; Noble, A.C. Astringency and bitterness of selected phenolic in wines. J. Sci. Food Agric. 1990, 53, 343–353. [Google Scholar] [CrossRef]
  11. Pires, E.J.P.; Pommer, C.V. Fisiologia da videira. In Uva: Tecnologia de produção, pós-colheita, mercado; Pommer, C.V., Ed.; Cinco Continentes: Porto Alegre, Brazil, 2003; pp. 250–295. [Google Scholar]
  12. Mori, K.; Sugaya, S.; Gemma, H. Decreased anthocyanin biosynthesis in grape berries grown under elevated night temperature condition. Sci. Hortic. 2005, 105, 319–330. [Google Scholar] [CrossRef]
  13. Peppi, M.C.; Fidelibus, M.W.; Dokoozlian, N. Abscisic Acid Application Timing and Concentration Affect Firmness, Pigmentation, and Color of ‘Flame Seedless’ Grapes. HortScience 2006, 41, 1440–1445. [Google Scholar] [CrossRef]
  14. Dokoozlian, N.K.; Hirschfelt, D.J. The influence of cluster thinning at various stages of fruit development on Flame Seedless table grapes. Am. J. Enol. Vitic. 1995, 46, 429–436. [Google Scholar] [CrossRef]
  15. Rodrigues, A.; Girardi, E.A.; Scarpare Filho, J.A. Aplicação de ethephon e qualidade da uva ‘Rubi’ em Porto Feliz-SP. Rev. Bras. Fruticul. 2010, 32, 925–930. [Google Scholar] [CrossRef]
  16. Leão, P.C.D.S.; Lima, M.A.C.; Costa, J.P.D.; da Trindade, D.C.G. Abscisic Acid and Ethephon for Improving Red Color and Quality of Crimson Seedless Grapes Grown in a Tropical Region. Am. J. Enol. Vitic. 2015, 66, 37–45. [Google Scholar] [CrossRef]
  17. Peppi, M.C.; Fidelibus, M.W.; Dokoozlian, N.K. Application timing and concentration of abscisic acid affect the quality of ‘Redglobe’ grapes. J. Hortic. Sci. Biotech. 2007, 82, 304–310. [Google Scholar] [CrossRef]
  18. Cantín, C.M.; Fidelibus, M.W.; Crisosto, C.H. Application of abscisic acid (ABA) at veraison advanced red color development and maintained postharvest quality of ‘Crimson Seedless’ grapes. Postharvest Biol. Technol. 2007, 46, 237–241. [Google Scholar] [CrossRef]
  19. Koyama, R.; Colombo, R.C.; Borges, W.F.S.; Silvestre, J.P.; Hussain, I.; Shahab, M.; Ahmed, S.; Prudencio, S.H.; de Souza, R.T.; Roberto, S.R. Abscisic acid application affects color and acceptance of the new hybrid ‘BRS Melodia’ seedless grape grown in a subtropical region. HortScience 2019, 54, 1055–1060. [Google Scholar] [CrossRef]
  20. Ribeiro, L.T.M.; Higuchi, M.T.; de Aguiar, A.C.; Shimizu, G.D.; Gonçalves, L.S.A.; Roberto, S.R. Application of abscisic acid (S-ABA) at different stages of ripening on color development of ‘Rubi’ table grape. Semin. Ciênc. Agrar. 2022, 43, 263–282. [Google Scholar] [CrossRef]
  21. Szyjewicz, E.; Rosner, N.; Kliewer, W.M. Ethephon ((2-chloroethyl) phosphonic acid, Ethrel, CEPA) in viticulture-a review. Am. J. Enol. Vitic. 1984, 35, 117–123. [Google Scholar] [CrossRef]
  22. Peppi, M.C.; Walker, M.A.; Fidelibus, M.W. Application of abscisic acid rapidly upregulated UFGT gene expression and improved color of grape berries. Vitis-Geilweilerhof- 2008, 47, 11–14. [Google Scholar]
  23. Peppi, M.C.; Fidelibus, M.W. Effects of forchlorfenuron and abscisic acid on the quality of ‘Flame Seedless’ grapes. HortScience 2008, 43, 173–176. [Google Scholar] [CrossRef]
  24. Shahab, M.; Roberto, S.R.; Ahmed, S.; Colombo, R.C.; Silvestre, J.P.; Koyama, R.; De Souza, R.T. Anthocyanin accumulation and color development of ‘Benitaka’ table grape subjected to exogenous abscisic acid application at different timings of ripening. Agronomy 2019, 9, 164. [Google Scholar] [CrossRef]
  25. Larsen, P.B. Mechanisms of ethylene biosynthesis and response in plants. Essays Biochem. 2015, 58, 61–70. [Google Scholar] [CrossRef] [PubMed]
  26. Vanderstraeten, L.; Van Der Straeten, D. Accumulation and transport of 1-aminocyclopropane-1-carboxylic acid (ACC) in plants: Current status, considerations for future research and agronomic applications. Front. Plant Sci. 2017, 8, 38. [Google Scholar] [CrossRef] [PubMed]
  27. Polko, J.K.; Kieber, J.J. 1-Aminocyclopropane 1-Carboxylic Acid and Its Emerging Role as an Ethylene-Independent Growth Regulator. Front. Plant Sci. 2019, 10, 1602. [Google Scholar] [CrossRef] [PubMed]
  28. Mou, W.; Kao, Y.; Michard, E.; Simon, A.A.; Li, D.; Wudick, M.M.; Lizzio, M.A.; Feijó, J.A.; Chang, C. Ethylene-independent signaling by the ethylene precursor ACC in Arabidopsis ovular pollen tube attraction. Nat. Commun. 2020, 11, 4082. [Google Scholar] [CrossRef]
  29. Chervin, C.; El-Kereamy, A.; Roustan, J.-P.; Latché, A.; Lamon, J.; Bouzayen, M. Ethylene seems required for the berry development and ripening in grape, a non-climacteric fruit. Plant Sci. 2004, 167, 1301–1305. [Google Scholar] [CrossRef]
  30. Chervin, C.; Deluc, L. Ethylene signalling receptors and transcription factors over the grape berry development: Gene expression profiling. Vitis 2010, 49, 129–136. [Google Scholar] [CrossRef]
  31. Burns, J.K.; Ferguson, L.; Glozer, K.; Krueger, W.H.; Rosecrance, R.C. Screening Fruit Loosening Agents for Black Ripe Processed Table Olives. HortScience 2008, 43, 1449–1453. [Google Scholar] [CrossRef]
  32. Mcartney, S.J. Effects of 1-aminocyclopropane carboxylic acid on the rate of ethylene release from detached fruiting spurs and on fruit abscission in apple. J. Hortic. Sci. Biotech. 2011, 86, 640–644. [Google Scholar] [CrossRef]
  33. Schupp, J.R.; Kon, T.M.; Winzeler, H.E. 1-aminocyclopropane carboxylic acid shows promise as a chemical thinner for apple. HortScience 2012, 47, 1308–1311. [Google Scholar] [CrossRef]
  34. Uzquiza, L.; Martin, P.; Sievert, J.R.; Arpaia, M.L.; Fidelibus, M.W. Methyl Jasmonate and 1-Aminocyclopropane-1-Carboxylic Acid Interact to Promote Grape Berry Abscission. Am. J. Enol. Vitic. 2014, 65, 504–509. [Google Scholar] [CrossRef]
  35. Da Costa, T.V.; Scarpare Filho, J.A.; Fidelibus, M.W. Ethephon with 1-aminocyclopropane-1-carboxylic acid can defoliate grapevines, and thereby improve vine-drying of grapes. HortTechnology 2015, 25, 363–369. [Google Scholar] [CrossRef]
  36. de Aguiar, A.C.; Roberto, S.R.; Koyama, R. Exogenous application of 1-aminocyclopropane-1-carboxylic acid increases anthocyanin accumulation and improves color skin of table grape bunches. In Proceedings of the 10th International Symposium of Table Grapes, Cape Town, South Africa, 26 November–1 December 2023. [Google Scholar]
  37. Nitsche, P.R.; Caramori, P.H.; Ricce, W.D.S.; Pinto, L.F.D. Atlas Climático do Estado do Paraná. IAPAR, Londrina. Available online: https://www.idrparana.pr.gov.br/Pagina/Atlas-Climatico (accessed on 6 May 2024).
  38. Zhang, Y.; Mechlin, T.; Dami, I. Foliar Application of Abscisic Acid Induces Dormancy Responses in Greenhouse-grown Grapevines. HortScience 2011, 46, 1271–1277. [Google Scholar] [CrossRef]
  39. Carreño, J.; Martínez, A.; Almela, L.; Fernández-López, J.A. Proposal of an index for the objective evaluation of the colour of red table grapes. Food Res. Int. 1995, 28, 373–377. [Google Scholar] [CrossRef]
  40. Mattiuz, B.H.; Miguel, A.C.A.; Galati, V.C.; Nachtigal, J.C. Effect of stored temperature in minimally processed seedless table grapes. Rev. Bras. Frutic. 2009, 31, 44–52. [Google Scholar] [CrossRef]
  41. Francis, F.J. Anthocyanins and betalains: Compositions and applications. Cereal Foods World 2000, 45, 208–213. [Google Scholar]
  42. Koyama, R.; Roberto, S.R.; De Souza, R.T.; Borges, W.F.; Anderson, M.; Waterhouse, A.L.; Cantu, D.; Fidelibus, M.W.; Blanco-Ulate, B. Exogenous abscisic acid promotes anthocyanin biosynthesis and increased expression of flavonoid synthesis genes in Vitis vinifera × Vitis labrusca table grapes in a subtropical region. Front. Plant Sci. 2018, 9, 323. [Google Scholar] [CrossRef]
  43. Yamane, T.; Jeong, S.T.; Goto-Yamamoto, N.; Koshita, Y.; Kobayashi, S. Effects of temperature on anthocyanin biosynthesis in grape berry skins. Am. J. Enol. Vitic. 2006, 57, 54–59. [Google Scholar] [CrossRef]
  44. Ban, T.; Ishimaru, M.; Kobayashi, S.; Goto-Yamamoto, N.; Horiuchi, S. Abscisic acid and 2, 4-dichlorophenoxyacetic acid affect the expression of anthocyanin biosynthetic pathway genes in ‘Kyoho’ grape berries. J. Hortic. Sci. Biotech. 2003, 78, 586–589. [Google Scholar] [CrossRef]
  45. Ferrara, G.; Mazzeo, A.; Matarrese, A.M.S.; Pacucci, C.; Punzi, R.; Faccia, M.; Trani, A.; Gambacorta, G. Application of abscisic acid (S-ABA) and sucrose to improve colour, anthocyanin content and antioxidant activity of cv. Crimson Seedless grape berries. Aust. J. Grape Wine Res. 2015, 21, 18–29. [Google Scholar] [CrossRef]
  46. Jara Maureira, R.I. Efectos del Etileno en los Atributos Relacionados con la Calidad de Bayas de uva de la Variedad Red Globe; Universidad de Chile—Faculdade de Ciâncias Agronômicas: Santiago, Chile, 2013. [Google Scholar]
  47. He, F.; Um, L.; Yan, G.L.; Liang, N.N.; Pan, Q.H.; Wang, J.; Reeves, M.J.; Duan, C.Q. Biosynthesis of Anthocyanins and their Regulation in colored Grapes. Molecules 2010, 15, 9057–9091. [Google Scholar] [CrossRef] [PubMed]
  48. Terrier, N.; Romieu, C.; Verries, C.; Glissant, D.; Cheynier, V.; Ollat, N.; Ageorges, A. Expression of flavonoid biosynthesis genes in grape berry skins in relation to berry color and development. J. Exp. Bot. 2009, 60, 3775–3785. [Google Scholar] [CrossRef]
  49. Yang, S.F.; Hoffman, N.E. Ethylene biosynthesis and its regulation in higher plants. Annu. Rev. Plant Physiol. 1984, 35, 155–189. [Google Scholar] [CrossRef]
  50. Boss, P.K.; Davies, C.; Robinson, S.P. Expression of anthocyanin biosynthesis pathway genes in red and white grapes. Plant Mol. Biol. 1996, 32, 565–569. [Google Scholar] [CrossRef] [PubMed]
Figure 1. Bunch color coverage categories for ‘Benitaka’ and ‘Rubi’ table grapes. Class 1, 100% covered by green color; Class 2, 1–25% covered by red color; Class 3, 25–50% covered by red color; Class 4, 50–75% covered by red color; Class 5, 75–100% covered by red color; and Class 6, 100% covered by intense red or purplish−red color. (A): ‘Benitaka’ grape; (B): ‘Rubi’ grape.
Figure 1. Bunch color coverage categories for ‘Benitaka’ and ‘Rubi’ table grapes. Class 1, 100% covered by green color; Class 2, 1–25% covered by red color; Class 3, 25–50% covered by red color; Class 4, 50–75% covered by red color; Class 5, 75–100% covered by red color; and Class 6, 100% covered by intense red or purplish−red color. (A): ‘Benitaka’ grape; (B): ‘Rubi’ grape.
Horticulturae 10 01276 g001
Figure 2. Development of the concentration of total anthocyanins in ‘Benitaka’ table grape (Vitis vinifera L.) subjected to exogenous application of 1−aminocyclopropane−1-carboxylic acid (ACC, Accede®) and abscisic acid (S-ABA, ProTone®) at véraison. Means followed by the same letters within each assessment do not differ according to Tukey’s test (p < 0.05). ns: not significant. (A) Application to the entire canopy of the vines; (B) Application only to the bunches.
Figure 2. Development of the concentration of total anthocyanins in ‘Benitaka’ table grape (Vitis vinifera L.) subjected to exogenous application of 1−aminocyclopropane−1-carboxylic acid (ACC, Accede®) and abscisic acid (S-ABA, ProTone®) at véraison. Means followed by the same letters within each assessment do not differ according to Tukey’s test (p < 0.05). ns: not significant. (A) Application to the entire canopy of the vines; (B) Application only to the bunches.
Horticulturae 10 01276 g002
Figure 3. Development of the concentration of total anthocyanins in ‘Rubi’ table grape (Vitis vinifera L.) subjected to exogenous application of 1−aminocyclopropane−1−carboxylic acid (ACC, Accede®) and abscisic acid (S-ABA, ProTone®) at véraison. Means followed by the same letters within each assessment do not differ according to Tukey’s test (p < 0.05). ns: not significant. (A) Application to the entire canopy of the vines; (B) Application only to the bunches.
Figure 3. Development of the concentration of total anthocyanins in ‘Rubi’ table grape (Vitis vinifera L.) subjected to exogenous application of 1−aminocyclopropane−1−carboxylic acid (ACC, Accede®) and abscisic acid (S-ABA, ProTone®) at véraison. Means followed by the same letters within each assessment do not differ according to Tukey’s test (p < 0.05). ns: not significant. (A) Application to the entire canopy of the vines; (B) Application only to the bunches.
Horticulturae 10 01276 g003
Figure 4. Development of the berry color index (CIRG) in ‘Benitaka’ table grape (Vitis vinifera L.) subjected to exogenous application of 1−aminocyclopropane−1−carboxylic acid (ACC, Accede®) and abscisic acid (S-ABA, ProTone®) at véraison. Means followed by the same letters within each assessment do not differ according to Tukey’s test (p < 0.05). ns: not significant. (A) Application to the entire canopy of the vines; (B) Application only to the bunches.
Figure 4. Development of the berry color index (CIRG) in ‘Benitaka’ table grape (Vitis vinifera L.) subjected to exogenous application of 1−aminocyclopropane−1−carboxylic acid (ACC, Accede®) and abscisic acid (S-ABA, ProTone®) at véraison. Means followed by the same letters within each assessment do not differ according to Tukey’s test (p < 0.05). ns: not significant. (A) Application to the entire canopy of the vines; (B) Application only to the bunches.
Horticulturae 10 01276 g004
Figure 5. Development of the berry color index (CIRG) in ‘Rubi’ table grape (Vitis vinifera L.) subjected to exogenous application of 1−aminocyclopropane−1−carboxylic acid (ACC, Accede®) and abscisic acid (S-ABA, ProTone®) at véraison. Means followed by the same letters within each assessment do not differ according to Tukey’s test (p < 0.05). ns: not significant. (A) Application to the entire canopy of the vines; (B) Application only to the bunches.
Figure 5. Development of the berry color index (CIRG) in ‘Rubi’ table grape (Vitis vinifera L.) subjected to exogenous application of 1−aminocyclopropane−1−carboxylic acid (ACC, Accede®) and abscisic acid (S-ABA, ProTone®) at véraison. Means followed by the same letters within each assessment do not differ according to Tukey’s test (p < 0.05). ns: not significant. (A) Application to the entire canopy of the vines; (B) Application only to the bunches.
Horticulturae 10 01276 g005
Figure 6. Distribution (%) of ‘Benitaka’ grape bunches (Vitis vinifera L.) subjected to exogenous application of 1−aminocyclopropane−1−carboxylic acid (ACC, Accede®) and abscisic acid (S-ABA, ProTone®) to the entire canopy at véraison, in each class of color coverage. Means followed by the same letters within each treatment do not differ according to Tukey’s test (p < 0.05). Class 1, 100% covered by green color; Class 2, 1–25% covered by red color; Class 3, 25–50% covered by red color; Class 4, 50–75% covered by red color; Class 5, 75–100% covered by red color; and Class 6, 100% covered by intense red or purplish red color. (A) Application to the entire canopy of the vines; (B) Application only to the bunches.
Figure 6. Distribution (%) of ‘Benitaka’ grape bunches (Vitis vinifera L.) subjected to exogenous application of 1−aminocyclopropane−1−carboxylic acid (ACC, Accede®) and abscisic acid (S-ABA, ProTone®) to the entire canopy at véraison, in each class of color coverage. Means followed by the same letters within each treatment do not differ according to Tukey’s test (p < 0.05). Class 1, 100% covered by green color; Class 2, 1–25% covered by red color; Class 3, 25–50% covered by red color; Class 4, 50–75% covered by red color; Class 5, 75–100% covered by red color; and Class 6, 100% covered by intense red or purplish red color. (A) Application to the entire canopy of the vines; (B) Application only to the bunches.
Horticulturae 10 01276 g006
Figure 7. Berries of the ‘Benitaka’ table grape (Vitis vinifera L.) subjected to exogenous application of 1–aminocyclopropane–1–carboxylic acid (ACC, Accede®) and abscisic acid (S-ABA, ProTone®) at véraison. The left column represents the application to the entire canopy. (A): Control; (B): Accede® 25 g 100 L−1; (C): Accede® 50 g 100 L−1; (D): Accede® 75 g 100 L−1; (E): Accede® 100 g 100 L−1; (F): Accede® 125 g 100 L−1; (G): ProTone® 3.2 L ha−1. The right column represents the application only to the bunches. (H): Control; (I): Accede® 25 g 100 L−1; (J): Accede® 50 g 100 L−1; (K): Accede® 75 g 100 L−1; (L): Accede® 100 g 100 L−1; (M): Accede® 125 g 100 L−1; (N): ProTone® 3.2 L ha−1.
Figure 7. Berries of the ‘Benitaka’ table grape (Vitis vinifera L.) subjected to exogenous application of 1–aminocyclopropane–1–carboxylic acid (ACC, Accede®) and abscisic acid (S-ABA, ProTone®) at véraison. The left column represents the application to the entire canopy. (A): Control; (B): Accede® 25 g 100 L−1; (C): Accede® 50 g 100 L−1; (D): Accede® 75 g 100 L−1; (E): Accede® 100 g 100 L−1; (F): Accede® 125 g 100 L−1; (G): ProTone® 3.2 L ha−1. The right column represents the application only to the bunches. (H): Control; (I): Accede® 25 g 100 L−1; (J): Accede® 50 g 100 L−1; (K): Accede® 75 g 100 L−1; (L): Accede® 100 g 100 L−1; (M): Accede® 125 g 100 L−1; (N): ProTone® 3.2 L ha−1.
Horticulturae 10 01276 g007
Figure 8. Distribution (%) of ‘Rubi’ grape bunches (Vitis vinifera L.) subjected to exogenous application of 1–aminocyclopropane–1–carboxylic acid (ACC, Accede®) and abscisic acid (S-ABA, ProTone®) to the entire canopy at véraison, in each class of color coverage. Means followed by the same letters within each treatment do not differ according to Tukey’s test (p < 0.05). Class 1, 100% covered by green color; Class 2, 1–25% covered by red color; Class 3, 25–50% covered by red color; Class 4, 50–75% covered by red color; Class 5, 75–100% covered by red color; and Class 6, 100% covered by intense red or purplish red color. (A) Application to the entire canopy of the vines; (B) Application only to the bunches.
Figure 8. Distribution (%) of ‘Rubi’ grape bunches (Vitis vinifera L.) subjected to exogenous application of 1–aminocyclopropane–1–carboxylic acid (ACC, Accede®) and abscisic acid (S-ABA, ProTone®) to the entire canopy at véraison, in each class of color coverage. Means followed by the same letters within each treatment do not differ according to Tukey’s test (p < 0.05). Class 1, 100% covered by green color; Class 2, 1–25% covered by red color; Class 3, 25–50% covered by red color; Class 4, 50–75% covered by red color; Class 5, 75–100% covered by red color; and Class 6, 100% covered by intense red or purplish red color. (A) Application to the entire canopy of the vines; (B) Application only to the bunches.
Horticulturae 10 01276 g008
Figure 9. Berries of the ‘Rubi’ table grape (Vitis vinifera L.) were subjected to exogenous application of 1–aminocyclopropane–1–carboxylic acid (ACC, Accede®) and abscisic acid (S-ABA, ProTone®) at véraison. The left column represents the application to the entire canopy. (A): Control; (B): Accede® 25 g 100 L−1; (C): Accede® 50 g 100 L−1; (D): Accede® 75 g 100 L−1; (E): Accede® 100 g 100 L−1; (F): Accede® 125 g 100 L−1; (G): ProTone® 3.2 L ha−1. The right column represents the application only to the bunches. (H): Control; (I): Accede® 25 g 100 L−1; (J): Accede® 50 g 100 L−1; (K): Accede® 75 g 100 L−1; (L): Accede® 100 g 100 L−1; (M): Accede® 125 g 100 L−1; (N): ProTone® 3.2 L ha−1.
Figure 9. Berries of the ‘Rubi’ table grape (Vitis vinifera L.) were subjected to exogenous application of 1–aminocyclopropane–1–carboxylic acid (ACC, Accede®) and abscisic acid (S-ABA, ProTone®) at véraison. The left column represents the application to the entire canopy. (A): Control; (B): Accede® 25 g 100 L−1; (C): Accede® 50 g 100 L−1; (D): Accede® 75 g 100 L−1; (E): Accede® 100 g 100 L−1; (F): Accede® 125 g 100 L−1; (G): ProTone® 3.2 L ha−1. The right column represents the application only to the bunches. (H): Control; (I): Accede® 25 g 100 L−1; (J): Accede® 50 g 100 L−1; (K): Accede® 75 g 100 L−1; (L): Accede® 100 g 100 L−1; (M): Accede® 125 g 100 L−1; (N): ProTone® 3.2 L ha−1.
Horticulturae 10 01276 g009
Disclaimer/Publisher’s Note: The statements, opinions and data contained in all publications are solely those of the individual author(s) and contributor(s) and not of MDPI and/or the editor(s). MDPI and/or the editor(s) disclaim responsibility for any injury to people or property resulting from any ideas, methods, instructions or products referred to in the content.

Share and Cite

MDPI and ACS Style

de Aguiar, A.C.; Yamashita, F.; Koyama, R.; Caetano, B.E.B.; Utiamada, C.A.K.; Roberto, S.R. Exogenous Application of 1-Aminocyclopropane-1-carboxylic Acid as a New Strategy to Trigger the Color Development of Table Grapes Grown in Subtropics. Horticulturae 2024, 10, 1276. https://doi.org/10.3390/horticulturae10121276

AMA Style

de Aguiar AC, Yamashita F, Koyama R, Caetano BEB, Utiamada CAK, Roberto SR. Exogenous Application of 1-Aminocyclopropane-1-carboxylic Acid as a New Strategy to Trigger the Color Development of Table Grapes Grown in Subtropics. Horticulturae. 2024; 10(12):1276. https://doi.org/10.3390/horticulturae10121276

Chicago/Turabian Style

de Aguiar, Aline Cristina, Fábio Yamashita, Renata Koyama, Bruna Evelise Bosso Caetano, Carlos Akira Komoli Utiamada, and Sergio Ruffo Roberto. 2024. "Exogenous Application of 1-Aminocyclopropane-1-carboxylic Acid as a New Strategy to Trigger the Color Development of Table Grapes Grown in Subtropics" Horticulturae 10, no. 12: 1276. https://doi.org/10.3390/horticulturae10121276

APA Style

de Aguiar, A. C., Yamashita, F., Koyama, R., Caetano, B. E. B., Utiamada, C. A. K., & Roberto, S. R. (2024). Exogenous Application of 1-Aminocyclopropane-1-carboxylic Acid as a New Strategy to Trigger the Color Development of Table Grapes Grown in Subtropics. Horticulturae, 10(12), 1276. https://doi.org/10.3390/horticulturae10121276

Note that from the first issue of 2016, this journal uses article numbers instead of page numbers. See further details here.

Article Metrics

Back to TopTop