Design and Ventilation Optimization of a Mechanized Corridor in a Solar Greenhouse Cluster
Abstract
1. Introduction
2. Numerical Simulation
2.1. Geometric Model
2.2. Mathematical Model
2.3. Assumptions and Boundary Conditions
2.4. Correctness Verification
3. Results and Discussion
3.1. Effect of Corridor Structure on Ventilation Effect
3.1.1. Corridor Height
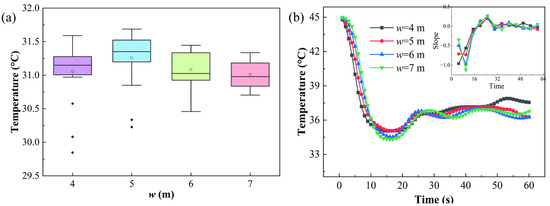
3.1.2. Corridor Width
3.2. Effect of Corridor Window Openings on the Ventilation Effect
3.2.1. Distribution of Ventilation Openings
3.2.2. Thermal Ventilation and Chimney Effect
3.2.3. Bottom Window Opening Ratio
3.3. Effect of Wind Speed and Direction on the Ventilation Effect
3.3.1. Wind Speed
3.3.2. Wind Direction
4. Conclusions
- (1)
- A mechanized corridor is beneficial for improving the efficiency of solar greenhouse clusters, but there may be a phenomenon of concentrated heat distribution. Following a thorough analysis for ventilation, 3.2 m in height and 5 m in width is the optimal structure for the corridor;
- (2)
- Bottom + top ventilation, with a 70% bottom window opening ratio, is the optimal ventilation strategy for the modern solar greenhouse corridor. The combined ventilation method achieves more efficient airflow in the corridor and effectively reduces the corridor temperature;
- (3)
- The optimal wind speed for the external corridor of a modern solar greenhouse cluster is 2 m/s, and the optimal wind directions are east and west. The ventilation effect is significantly enhanced by this wind speed and direction.
Author Contributions
Funding
Data Availability Statement
Conflicts of Interest
References
- Ismail, M.M.; Dincer, I.; Bicer, Y.; Saghir, M.Z. Effect of using phase change materials on thermal performance of passive solar greenhouses in cold climates. Int. J. Thermofluids 2023, 19, 100380. [Google Scholar] [CrossRef]
- Nicholas, K.; Stanley, P.D.; Joshua, W.; San, C.; Denis, M.; Emmanuel, Z.; Faizal, M.; Alessandra, F. Greenhouse gas emissions from Uganda’s cattle corridor farming systems. Agric. Syst. 2019, 176, 102649. [Google Scholar]
- Li, Y.R.; Jian, Y.B.; Wang, S.; Liu, X.; Li, W.X.; Arici, M.; Zhang, L.L.; Li, W.L.; Cao, Y. Spatial temperature distribution and ground thermal storage in the plastic greenhouse: An experimental and modeling study. J. Energy Storage 2024, 77, 109938. [Google Scholar] [CrossRef]
- Boulard, T.; Wang, S. Experimental and numerical studies on the heterogeneity of crop transpiration in a plastic tunnel. Comput. Electron. Agric. 2002, 34, 173–190. [Google Scholar] [CrossRef]
- Bartzanas, T.; Boulard, T.; Kittas, C. Effect of vent arrangement on windward ventilation of a tunnel greenhouse. Biosyst. Eng. 2004, 88, 479–490. [Google Scholar] [CrossRef]
- Abbes, M.; Farhat, A.; Mami, A.; Dauphin-Tanguy, G. Pseudo bond graph model of coupled heat and mass transfers in a plastic tunnel greenhouse. Simul. Model. Pract. Theory 2010, 18, 1327–1341. [Google Scholar] [CrossRef]
- He, Z.H.; Su, C.J.; Cai, Z.L.; Wang, Z.; Li, R.; Liu, J.C.; He, J.Q.; Zhang, Z. Multi-factor coupling regulation of greenhouse environment based on comprehensive growth of cherry tomato seedlings. Sci. Hortic-Amst. 2022, 297, 110960. [Google Scholar] [CrossRef]
- Li, L.; Li, H.T.; Liu, N.; Lu, Y.; Shao, L.W.; Chen, S.Y.; Zhang, X.Y. Water use characteristics and drought tolerant ability of different winter wheat cultivars assessed under whole growth circle and at seedling stage. Agric. Water Manag. 2024, 300, 108921. [Google Scholar] [CrossRef]
- Feng, J.Y.; Hu, X.P. An IoT-based hierarchical control method for greenhouse seedling production. Procedia Comput. Sci. 2021, 192, 1954–1963. [Google Scholar] [CrossRef]
- Morad, M.M.; El-Shazly, M.A.; Wasfy, K.I.; El-Maghawry Hend, A.M. Thermal analysis and performance evaluation of a solar tunnel greenhouse dryer for drying peppermint plants. Renew. Energy 2017, 101, 992–1004. [Google Scholar] [CrossRef]
- Patil, R.; Gawande, R. A review on solar tunnel greenhouse drying system. Renew. Sust. Energy Rev. 2016, 56, 196–214. [Google Scholar] [CrossRef]
- Duraivel, B.; Muthuswamy, N.; Gnanavendan, S. Comprehensive analysis of the greenhouse solar tunnel dryer (GSTD) using Tomato, snake Gourd, and Cucumber: Insights into energy Efficiency, exergy Performance, economic Viability, and environmental impact. Sol. Energy 2024, 267, 112263. [Google Scholar] [CrossRef]
- Condori, M.; Echazu, R.; Saravia, L. Solar drying of sweet pepper and garlic using the tunnel greenhouse drier. Renew. Energy 2001, 22, 447–460. [Google Scholar] [CrossRef]
- Ding, G.Q.; Yi, D.; Yi, J.L.; Guo, J.; Ou, M.H.; Ou, W.X.; Tao, Y.; Pueppke, S.G. Protecting and constructing ecological corridors for biodiversity conservation: A framework that integrates landscape similarity assessment. Appl. Geogr. 2023, 160, 103098. [Google Scholar] [CrossRef]
- Zhao, Y.; Ko, J. Vocational teachers’ perceptions on workplace learning in facilitating students’ professional engagement in the context of industry-university collaboration in China. J. Workplace Learn. 2024, 36, 282–297. [Google Scholar] [CrossRef]
- He, X.L.; Wang, J.; Guo, S.R.; Zhang, J.; Wei, B.; Sun, J.; Shu, S. Ventilation optimization of solar greenhouse with removable back walls based on CFD. Comput. Electron. Agric. 2018, 149, 16–25. [Google Scholar] [CrossRef]
- Fu, W.H.; You, S.J. The numerical simulation of thermal environment strawberry greenhouse in natural ventilation. Appl. Mech. Mater. 2014, 501–504, 2276–2281. [Google Scholar] [CrossRef]
- Zhang, G.X.; Fu, Z.T.; Yang, M.S.; Liu, X.X.; Dong, Y.H.; Li, X.X. Nonlinear simulation for coupling modeling of air humidity and vent opening in Chinese solar greenhouse based on CFD. Comput. Electron. Agric. 2019, 162, 337–347. [Google Scholar] [CrossRef]
- Li, H.; Li, Y.M.; Yue, X.; Liu, X.A.; Tian, S.B.; Li, T.L. Evaluation of airflow pattern and thermal behavior of the arched greenhouses with designed roof ventilation scenarios using CFD simulation. PLoS ONE 2020, 15, e0239851. [Google Scholar] [CrossRef]
- Zhang, L.; Liu, X.A.; Shi, W.B.; Li, T.L.; Ji, J.W. Study of a novel front-roof-back natural ventilation system for Chinese solar greenhouses. Roy. Soc. Open Sci. 2022, 9, 220251. [Google Scholar] [CrossRef]
- Schatzmann, M.; Leitl, B. Issues with validation of urban flow and dispersion CFD models. J. Wind Eng. Ind. Aerodyn. 2011, 99, 169–186. [Google Scholar] [CrossRef]
- Jiang, Z.W.; Cheng, H.M.; Zhang, P.H.; Kang, T.F. Influence of urban morphological parameters on the distribution and diffusion of air pollutants: A case study in China. J. Environ. Sci. 2021, 105, 163–172. [Google Scholar] [CrossRef] [PubMed]
- Zhou, H.; Lu, Y.J.; Liu, X.D.; Chang, R.D.; Wang, B. Harvesting wind energy in low-rise residential buildings: Design and optimization of building forms. J. Clean. Prod. 2017, 167, 306–316. [Google Scholar] [CrossRef]
- Argento, S.; Garcia, G.; Treccarichi, S. Sustainable and low-input techniques in Mediterranean greenhouse vegetable production. Horticulturae 2024, 10, 997. [Google Scholar] [CrossRef]
- Sousa, P.; Rodrigues, C.V.; Afonso, A. Enhancing CFD solver with Machine Learning techniques. Comput. Methods Appl. Mech. Eng. 2024, 429, 11713. [Google Scholar] [CrossRef]
- Wang, J.B.; Zeng, L.C.; Fu, T.; Yu, S.; He, Y.T. Effects of the position and perforation parameters of the delta winglet vortex generators on flow and heat transfer in minichannels. Int. J. Therm. Sci. 2024, 198, 108878. [Google Scholar] [CrossRef]
- Kang, L.Y.; Zhang, Y.; Kacira, M.; van Hooff, T. CFD simulation of air distributions in a small multi-layer vertical farm: Impact of computational and physical parameters. Biosyst. Eng. 2024, 243, 148–174. [Google Scholar] [CrossRef]
- Lateb, M.; Masson, C.; Stathopoulos, T.; Bedard, C. Comparison of various types of k–ε models for pollutant emissions around a two-building configuration. J. Wind Eng. Ind. Aerodyn. 2013, 115, 9–21. [Google Scholar] [CrossRef]
- Fan, Z.L.; Li, Y.M.; Jiang, L.L.; Wang, L.; Li, T.L.; Liu, X.A. Analysis of the effect of exhaust configuration and shape parameters of ventilation windows on microclimate in round arch solar greenhouse. Sustainability 2023, 15, 6432. [Google Scholar] [CrossRef]
- Li, H.; Ji, D.; Hu, X.; Xie, T.; Song, W.T.; Tian, S.B. Comprehensive evaluation of combining CFD simulation and entropy weight to predict natural ventilation strategy in a sliding cover solar greenhouse. Int. J. Agric. Biol. Eng. 2021, 14, 213–221. [Google Scholar] [CrossRef]
- Hu, H.; Kikumoto, H.; Ooka, R. Effect of wind direction on natural ventilation in a multiple-room house via field measurements and numerical simulations. J. Wind Eng. Ind. Aerodyn. 2024, 248, 105718. [Google Scholar] [CrossRef]











| Materials | Thickness, mm | Density, kg/m3 | Specific Heat Capacity, J/(kg·°C) | Thermal Conductivity, W/(m·°C) | Solar Radiation Absorption Rate, % | Solar Radiation Transmittance, % |
|---|---|---|---|---|---|---|
| Brick wall | 370 | 1350 | 1062 | 0.58 | 0.9 | — |
| Polystyrene board | 110 | 30 | 1368 | 0.042 | — | — |
| Wooden board | 370 | 500 | 2520 | 0.29 | 0.7 | — |
| Soil | — | 1800 | 828 | 1.16 | 0.86 | — |
| PO film | 0.2 | 970 | 750 | 0.34 | 0.1 | 0.8 |
| Heat preservation quilt | 40 | 300 | 1275 | 0.11 | 0.01 | — |
Disclaimer/Publisher’s Note: The statements, opinions and data contained in all publications are solely those of the individual author(s) and contributor(s) and not of MDPI and/or the editor(s). MDPI and/or the editor(s) disclaim responsibility for any injury to people or property resulting from any ideas, methods, instructions or products referred to in the content. |
© 2024 by the authors. Licensee MDPI, Basel, Switzerland. This article is an open access article distributed under the terms and conditions of the Creative Commons Attribution (CC BY) license (https://creativecommons.org/licenses/by/4.0/).
Share and Cite
He, M.; Jiang, X.; Wan, X.; Li, Y.; Fan, Q.; Liu, X. Design and Ventilation Optimization of a Mechanized Corridor in a Solar Greenhouse Cluster. Horticulturae 2024, 10, 1240. https://doi.org/10.3390/horticulturae10121240
He M, Jiang X, Wan X, Li Y, Fan Q, Liu X. Design and Ventilation Optimization of a Mechanized Corridor in a Solar Greenhouse Cluster. Horticulturae. 2024; 10(12):1240. https://doi.org/10.3390/horticulturae10121240
Chicago/Turabian StyleHe, Ming, Xinxia Jiang, Xiuchao Wan, Yiming Li, Qinglu Fan, and Xingan Liu. 2024. "Design and Ventilation Optimization of a Mechanized Corridor in a Solar Greenhouse Cluster" Horticulturae 10, no. 12: 1240. https://doi.org/10.3390/horticulturae10121240
APA StyleHe, M., Jiang, X., Wan, X., Li, Y., Fan, Q., & Liu, X. (2024). Design and Ventilation Optimization of a Mechanized Corridor in a Solar Greenhouse Cluster. Horticulturae, 10(12), 1240. https://doi.org/10.3390/horticulturae10121240

