Evaluating Food Production, Cooling Potential, and Gardener Perspectives in Urban Allotment Gardens of Valladolid, Spain
Abstract
1. Introduction
- -
- RQ1: What is the crop diversity and estimated food production contribution of urban allotment gardens in Valladolid?
- -
- RQ2: How does temperature vary in the gardens in relation to crop system characteristics, and are there significant cooling benefits in comparison to non-vegetated “gray” spaces as well as to other urban parks in the city? Do the crop system characteristics influence the microclimatic temperature variables in the garden plots?
- -
- RQ3: How do gardeners perceive the benefits of allotment gardens for their city as well as the impacts of changes in weather patterns to their gardening practices?
2. Materials and Methods
2.1. Study Places
2.2. Crop Data
- -
- Crop Abundance: Total number of individual crop plants within each plot.
- -
- Diversity: Total number of crop plant species within each plot.
- -
- Height: The average height of crop plants within each plot (considering five random crop plants’ measurements).
- -
- Crop Plant Cover: The proportion of soil covered by crop plants within each subplot.
- -
- Ground Cover: The proportion of soil covered by bare soil, grass, straw, mulch, and rock within each subplot.
2.3. Temperature Data
2.4. Crop–Temperature Relationship
2.5. Survey Data
3. Results
3.1. Contributions of Urban Allotment Gardens as Sources of Food Crops
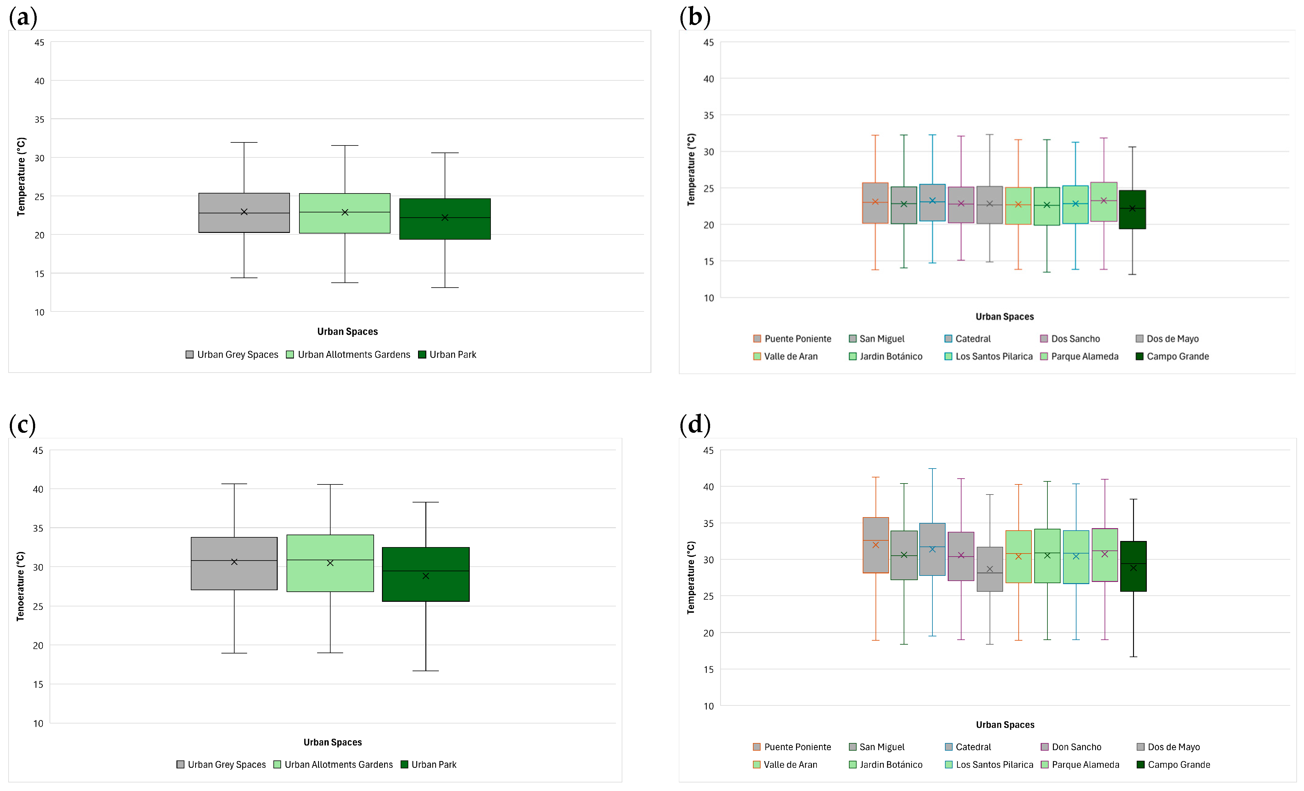
3.2. Temperature Comparison Across Urban Allotment Gardens, Urban Parks, and Urban Gray Spaces
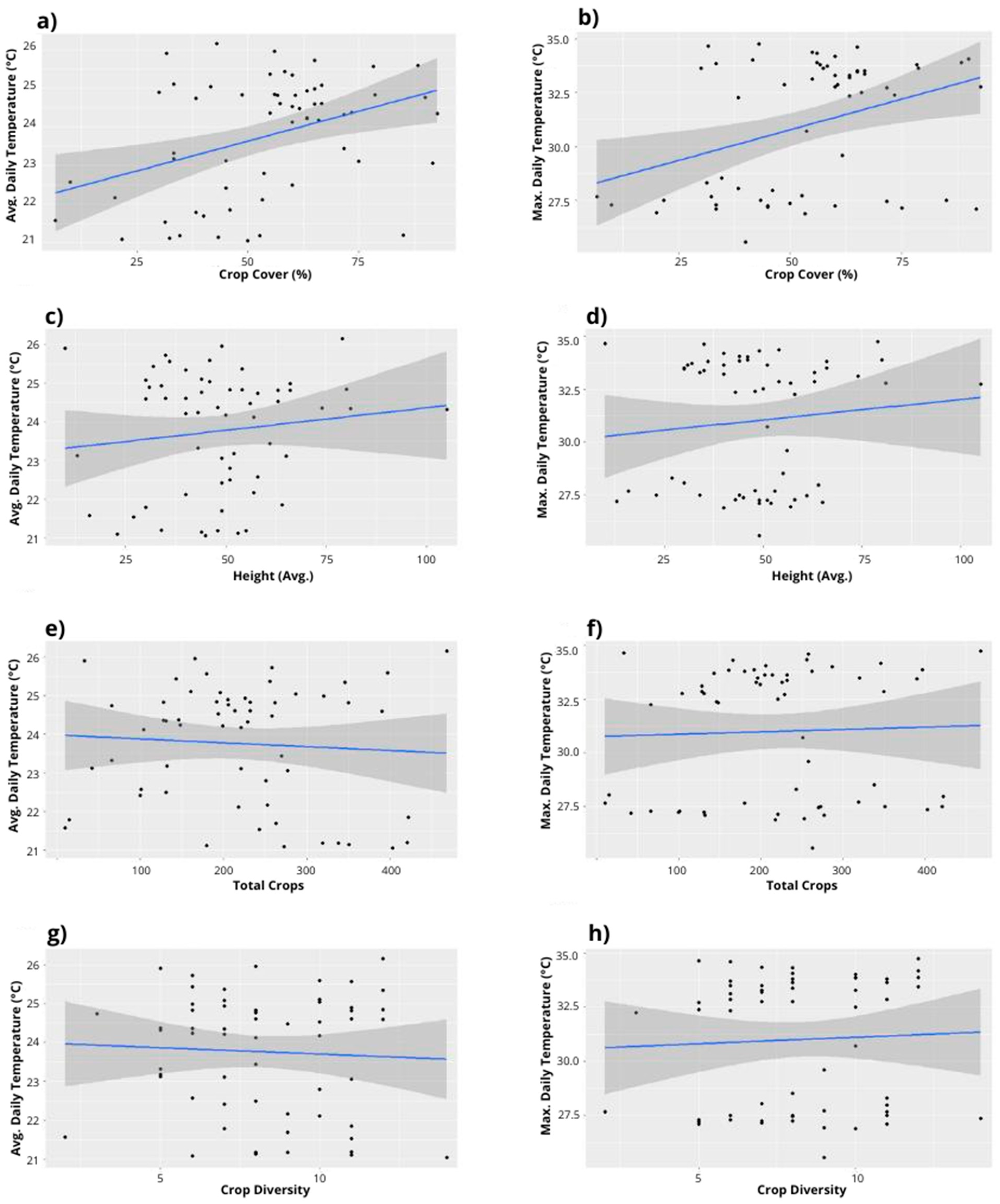
3.3. Influence of Crop Characteristics on Summer Temperature Records
3.4. Perceptions of Urban Gardeners About Climate Change
4. Discussion
5. Limitations
6. Conclusions
Supplementary Materials
Author Contributions
Funding
Data Availability Statement
Acknowledgments
Conflicts of Interest
References
- OECD. Cities and Climate Change; OECD Publishing: Paris, France, 2010. [Google Scholar] [CrossRef]
- United Nations. World Urbanization Prospects; Demographic Research; United Nations: New York, NY, USA, 2019; Volume 12, Available online: https://population.un.org/wup/Publications/Files/WUP2018-Report.pdf (accessed on 15 July 2023).
- Rego, L.F.G. Urban vegetable production for sustainability: The Riortas Project in the city of Rio de Janeiro, Brazil. Habitat Int. 2014, 44, 510–516. [Google Scholar] [CrossRef]
- UN-Habitat. Urbanization and Development-Emerging Futures. World Cities Report. 2016. Available online: https://unhabitat.org/sites/default/files/download-manager-files/WCR-2016-WEB.pdf (accessed on 14 July 2023).
- Pradhan, R.; Sarkar, B.C.; Abha Manohar, K.; Shukla, G.; Tamang, M.; Vineeta; Bhat, J.A.; Kumar, M.; Chakravarty, S. Biomass carbon and soil nutrient status in urban green sites at foothills of eastern Himalayas: Implication for carbon management. Environ. Sustain. 2022, 4, 100168. [Google Scholar] [CrossRef]
- Lumbreras, J.; Oquendo. CitiES2030. Accelerating Climate Neutrality. 2022. Available online: https://diadespues.org/ (accessed on 19 January 2024).
- UN-Habitat. Envisaging the Future of Cities. World Cities Report. 2022. Available online: https://unhabitat.org/sites/default/files/2022/06/wcr_2022.pdf (accessed on 14 July 2023).
- Keatinge, J.D.H.; Chadha, M.L.; D’Hughes, J.A.; Easdown, W.J.; Holmer, R.J.; Tenkouano, A.; Yang, R.Y.; Mavlyanova, R.; Neave, S.; Afari-Sefa, V.; et al. Vegetable gardens and their impact on the attainment of the Millennium Development Goals. Biol. Agric. Hortic. 2012, 28, 71–85. [Google Scholar] [CrossRef]
- Schoen, V.; Blythe, C.; Caputo, S.; Fox-Kämper, R.; Specht, K.; Fargue-Lelièvre, A.; Cohen, N.; Poniży, L.; Fedeńczak, K. “We Have Been Part of the Response”: The Effects of COVID-19 on Community and Allotment Gardens in the Global North. Front. Sustain. Food Syst. 2021, 5, 732641. [Google Scholar] [CrossRef]
- Coronel, A.S.; Feldman, S.R.; Jozami, E.; Facundo, K.; Piacentini, R.D.; Dubbeling, M.; Escobedo, F.J. Effects of urban green areas on air temperature in a medium-sized Argentinian city. AIMS Environ. Sci. 2015, 2, 803–826. [Google Scholar] [CrossRef]
- Mancebo, F. Gardening the city: Addressing sustainability and adapting to global warming through urban agriculture. Environments 2018, 5, 38. [Google Scholar] [CrossRef]
- Tomatis, F.; Egerer, M.; Correa-Guimaraes, A.; Navas-Gracia, L.M. Urban Gardening in a Changing Climate: A Review of Effects, Responses and Adaptation Capacities for Cities. Agriculture 2023, 13, 502. [Google Scholar] [CrossRef]
- Winkler, B.; Maier, A.; Lewandowski, I. Urban gardening in Germany: Cultivating a sustainable lifestyle for the societal transition to a bioeconomy. Sustainability 2019, 11, 801. [Google Scholar] [CrossRef]
- Oke, T.R. The energetic basis of the urban heat island. Q. J. R. Meteorol. Soc. 1982, 108, 1–24. [Google Scholar] [CrossRef]
- Doblas-Reyes, F.J.; Sörensson, A.A.; Almazroui, M.; Dosio, A.; Gutowski, W.J.; Haarsma, R.; Hamdi, R.; Hewitson, B.; Kwon, W.-T.; Lamptey, B.L.; et al. Linking Global to Regional Climate Change. In Climate Change 2021: The Physical Science Basis. Contribution of Working Group I to the Sixth Assessment Report of the Intergovernmental Panel on Climate Change; Cambridge University Press: Cambridge, UK; New York, NY, USA, 2021; pp. 1363–1512. [Google Scholar] [CrossRef]
- Gilbert, R.; Stevenson, D.; Girardet, H.; Stren, R. Role of Local Authorities in the Urban Environment. Making Cities Work; Routledge: London, UK, 2021. [Google Scholar] [CrossRef]
- Berardy, A.; Chester, M.V. Climate change vulnerability in the food, energy, and water nexus: Concerns for agricultural production in Arizona and its urban export supply. Environ. Res. Lett. 2017, 12, 035004. [Google Scholar] [CrossRef]
- Demuzere, M.; Orru, K.; Heidrich, O.; Olazabal, E.; Geneletti, D.; Orru, H.; Bhave, A.G.; Mittal, N.; Feliu, E.; Faehnle, M. Mitigating and adapting to climate change: Multi-functional and multi-scale assessment of green urban infrastructure. J. Environ. Manag. 2014, 146, 107–115. [Google Scholar] [CrossRef]
- Dixon, G.R.; Collier, R.H.; Bhattacharya, I. An assessment of the effects of climate change on horticulture. Horticulture: Plants for People and Places. Environ. Hortic. 2014, 2, 817–857. [Google Scholar]
- Singh, V.S.; Pandey, D.N.; Chaudhry, P. Urban Forests and Open Green Spaces: Lessons for Jaipur, Rajasthan, India; Occasional Paper, 23; Rajasthan State Pollution Control Board: Jaipur, India, 2010.
- Red de Ciudades por el Clima, FEMP, & Gea21. Medidas para la Mitigación y la Adaptación al Cambio Climático en el Planeamiento Urbano Guía Metodológica. 2015. 208p. Available online: https://oa.upm.es/35571/7/FEMP_Medidas_CCC_Planeamiento_urbano.pdf (accessed on 25 August 2023).
- Bowler, D.E.; Buyung-Ali, L.; Knight, T.M.; Pullin, A.S. Urban greening to cool towns and cities: A systematic review of the empirical evidence. Landsc. Urban Plan. 2010, 97, 147–155. [Google Scholar] [CrossRef]
- Egerer, M.H.; Lin, B.B.; Threlfall, C.G.; Kendal, D. Temperature variability influences urban garden plant richness and gardener water use behavior, but not planting decisions. Sci. Total Environ. 2018, 646, 111–120. [Google Scholar] [CrossRef] [PubMed]
- Cao, S.Y.; Yin, W.D.; Su, J.Y.; Feng, C.W.; Du, Y.C.; Zhu, J.Y.; Ye, N.; Ding, J.Y.; Li, Y.Z. Spatial and Temporal Evolution of Multi-scale Green Space Environments and Urban Heat Islands: A Case Study of Beijing Sub-center. Sens. Mater. 2023, 35, 589–606. [Google Scholar] [CrossRef]
- Burchard-Dziubińska, M. The role of urban gardening in building city resilience to climate change. Ekon. Srodowisko Econ. Environ. 2021, 3, 32–43. [Google Scholar]
- Breuste, J.H.; Artmann, M. Allotment Gardens Contribute to Urban Ecosystem Service: Case Study Salzburg, Austria. J. Urban Plan. Dev. 2015, 141, A5014005. [Google Scholar] [CrossRef]
- Soga, M.; Cox, D.T.C.; Yamaura, Y.; Gaston, K.J.; Kurisu, K.; Hanaki, K. Health benefits of urban allotment gardening: Improved physical and psychological well-being and social integration. Int. J. Environ. Res. Public Health 2017, 14, 71. [Google Scholar] [CrossRef]
- Mourão, I.; Moreira, M.C.; Almeida, T.C.; Brito, L.M. Perceived changes in well-being and happiness with gardening in urban organic allotments in Portugal. Int. J. Sustain. Dev. World Ecol. 2019, 26, 79–89. [Google Scholar] [CrossRef]
- Kingsley, J.; Donati, K.; Litt, J.; Shimpo, N.; Blythe, C.; Vávra, J.; Caputo, S.; Milbourne, P.; Diekmann, L.O.; Rose, N.; et al. Pandemic gardening: A narrative review, vignettes and implications for future research. Urban For. Urban Green. 2023, 87, 128062. [Google Scholar] [CrossRef]
- Ayuntamiento de Valladolid. Estrategia Alimentaria de Valladolid. 2019. Available online: http://www.alimentavalladolid.info/wp-content/uploads/2019/05/EstrategiaAlimentariaValladolid.pdf (accessed on 11 April 2024).
- Ayuntamiento de Valladolid. Bases para la Convocatoria de Huertos Ecológicos 2024–2025 para Personas Desempleadas y Huertos Ecológicos de Explotación Comunitaria. 2024. Available online: https://www.valladolid.es/es/temas/hacemos/convocatoria-huertos-ecologicos-2024-2025-desempleados-huer.ficheros/1014205-BASES%20DE%20LA%20CONVOCATORIA%20HUERTOS%20URBANOS%20ECOLOGICOS%202024-2025.pdf (accessed on 11 February 2024).
- Krupen, N. Assessing the Social Function of Urban Green Spaces in Vantaa: Focus on Urban Allotment Gardens. Master’s Thesis, Aalto University, Espoo, Finland, 2023. [Google Scholar]
- Johnsrud, M.; Goth, U.S.; Skjerve, H. The Impact of Urban Allotment Gardens on Physical and Mental Health in Norway. Int. J. Environ. Res. Public Health 2024, 21, 720. [Google Scholar] [CrossRef] [PubMed]
- Lin, B.B.; Egerer, M.H. Global social and environmental change drives the management and delivery of ecosystem services from urban gardens: A case study from Central Coast, California. Glob. Environ. Chang. 2020, 60, 102006. [Google Scholar] [CrossRef]
- Egerer, M.H.; Lin, B.B.; Philpott, S.M. Water Use Behavior, Learning, and Adaptation to Future Change in Urban Gardens. Front. Sustain. Food Syst. 2018, 2, 71. [Google Scholar] [CrossRef]
- Nolte, A.C.; Buchholz, S.; Pernat, N.; Egerer, M. Temporal Temperature Variation in Urban Gardens Is Mediated by Local and Landscape Land Cover and Is Linked to Environmental Justice. Front. Sustain. Food Syst. 2022, 6, 826437. [Google Scholar] [CrossRef]
- GEOCyL & CARTIF. Adaptation Strategy to Climate Change of the Municipality of Valladolid. Spain-Portugal Cross-Border Cooperation Operational Program POCTEP 2014–2020. 2020. Available online: https://innolid.testengineonline.com/sites/default/files/articles/vadelante/files/presentacic3b3nencuestaestrategiavllvfinal.pdf (accessed on 15 May 2024). (In Spanish).
- INE—Instituto Nacional de Estadísticas de España. Población por Sexo, Municipios y Edad. 2022. Available online: https://www.ine.es/jaxiT3/Datos.htm?t=33950 (accessed on 25 March 2024).
- AEMET (Agencia Estatal de Meteorología de España). Valores Climatológicos Normales. Valladolid (1981–2010). Available online: https://www.aemet.es/es/serviciosclimaticos/datosclimatologicos/valoresclimatologicos?l=2422 (accessed on 12 November 2024).
- CARTIF. URBAN GreenUP. New Strategy for Renaturing Cities Through Nature Based Solutions. European Union’s Horizon 2020. Grant Agreement N° 730426. 2017. Available online: https://www.urbangreenup.eu/cities/front-runners/valladolid.kl (accessed on 25 March 2024).
- Carpintero, Ó.; Lomas, P.L. Metabolismo y Huella Ecológica de la Alimentación: El Caso de Valladolid; Diagnóstico para la Estrategia Alimentaria Local; Grupo de Investigación Energía, Economía y Dinámica de Sistemas (GEEDS), Universidad de Valladolid: Valladolid, Spain, 2017; 134p. [Google Scholar]
- Ayuntamiento de Valladolid. Agenda Urbana de Valladolid 2030. 2021. Available online: https://auva2030.es/wp-content/uploads/2022/07/agenda-urbana-valladolid-2030-3.pdf (accessed on 4 January 2024).
- Ayuntamiento de Valladolid. SmartVA! Strategic Plan for Digital Transformation and Applied Innovation in the City of Valladolid. Innovation and Smart City Plan. 2022. Available online: https://www.ideva.es/sites/default/files/Innovation_Plan.pdf (accessed on 9 November 2023).
- Serrano Stampa, J. Análisis y Cuantificación del Carbono Almacenado en los Parques y Jardines de la Ciudad de Valladolid. Master’s Thesis, Universidad de Valladolid, Valladolid, Spain, 2016; pp. 1–49. [Google Scholar]
- Philpott, S.M.; Egerer, M.H.; Bichier, P.; Cohen, H.; Cohen, R.; Liere, H.; Jha, S.; Lin, B.B. Gardener demographics, experience, and motivations drive differences in plant species richness and composition in urban gardens. Ecol. Soc. 2020, 25, 8. [Google Scholar] [CrossRef]
- Clarke, M.; Davidson, M.; Egerer, M.; Anderson, E. The underutilized role of community gardens in improving cities ’adaptation to climate change: A review. People Place Policy Online 2019, 12, 241–251. [Google Scholar] [CrossRef]
- Gregory, M.M.; Leslie, T.W.; Drinkwater, L.E. Agroecological and social characteristics of New York city community gardens: Contributions to urban food security, ecosystem services, and environmental education. Urban Ecosyst. 2016, 19, 763–794. [Google Scholar] [CrossRef]
- Woods, M.E.; Ata, R.; Teitel, Z.; Arachchige, N.M.; Yang, Y.; Raychaba, B.E.; Khuns, J.; Campbell, L.G. Crop diversity and plant–plant interactions in urban allotment gardens. Renew. Agric. Food Syst. 2016, 31, 540–549. [Google Scholar] [CrossRef]
- Dorr, E.; Hawes, J.K.; Goldstein, B.; Fargue-Lelièvre, A.; Fox-Kämper, R.; Specht, K.; Fedenczak, K.; Caputo, S.; Cohen, N.; Ponizy, L.; et al. Food production and resource use of urban farms and gardens: A five-country study. Agron. Sustain. Dev. 2023, 43, 18. [Google Scholar] [CrossRef]
- Maher, R.M.; Rangarajan, A.; Caldwell, B.A.; Ho, S.-T.; Hutton, M.G.; Ginakes, P. Tarping and mulching effects on crop yields, profitability, and soil nutrients in a continuous no-till organic vegetable production system. Renew. Agric. Food Syst. 2024, 39, e1. [Google Scholar] [CrossRef]
- Lin, B.B.; Egerer, M.; Liere, H.; Jha, S.; Philpott, S.M. Soil management is key to maintaining soil moisture in urban gardens facing changing climatic conditions. Sci. Rep. 2018, 8, 17565. [Google Scholar] [CrossRef] [PubMed]
- Egerer, M.H.; Philpott, S.M.; Liere, H.; Jha, S.; Bichier, P.; Lin, B.B. People or place? Neighborhood opportunity influences community garden soil properties and soil-based ecosystem services. Int. J. Biodivers. Sci. Ecosyst. Serv. Manag. 2017, 14, 32–44. [Google Scholar] [CrossRef]
- Piacentini, R.D.; Bracalenti, L.; Salum, G.; Zimmerman, E.; Lattuca, A.; Terrile, R.; Bartolomé, S.; Vega, M.; Tosello, L.; Di Leo, N.; et al. Monitoring the climate change impacts of urban agriculture in Rosario, Argentina. Urban Agric. Mag. 2014, 27, 50–53. [Google Scholar]
- Chan, J.; DuBois, B.; Tidball, K.G. Refuges of local resilience: Community gardens in post-Sandy New York City. Urban For. Urban Green. 2015, 14, 625–635. [Google Scholar] [CrossRef]
- Aram, F.; Higueras García, E.; Solgi, E.; Mansournia, S. Urban green space cooling effect in cities. Heliyon 2019, 5, e01339. [Google Scholar] [CrossRef]
- Shishegar, N. The impacts of green areas on mitigating urban heat island effect: A review. Int. J. Environ. Sustain. 2014, 9, 119. [Google Scholar] [CrossRef]
- Egerer, M.H.; Lin, B.B.; Kendal, D. Temperature variability differs in urban agroecosystems across two metropolitan regions. Climate 2019, 7, 50. [Google Scholar] [CrossRef]
- Egerer, M.H.; Wagner, B.; Lin, B.B.; Kendal, D.; Zhu, K. New methods of spatial analysis in urban gardens inform future vegetation surveying. Landsc. Ecol. 2020, 35, 761–778. [Google Scholar] [CrossRef]
- Arabi Aliabad, F.; Ghafarian Malamiri, H.; Sarsangi, A.; Sekertekin, A.; Ghaderpour, E. Identifying and Monitoring Gardens in Urban Areas Using Aerial and Satellite Imagery. Remote Sens. 2023, 15, 4053. [Google Scholar] [CrossRef]
- Tomatis, F.; Diez, F.J.; Wilhelm, M.S.; Navas-Gracia, L.M. Prediction of Daily Ambient Temperature and Its Hourly Estimation Using Artificial Neural Networks in Urban Allotment Gardens and an Urban Park in Valladolid, Castilla y León, Spain. Agronomy 2024, 14, 60. [Google Scholar] [CrossRef]
- Suomalainen, M.; Hohenthal, J.; Pyysiäinen, J.; Ruuska, T.; Rinkinen, J.; Heikkurinen, P. Food self-provisioning: A review of health and climate implications. Glob. Sustain. 2023, 6, e7. [Google Scholar] [CrossRef]













| Months | T (°C) | MT (°C) | Mt (°C) | P (mm) | RH (%) | FD (Days) | S (Hours) |
|---|---|---|---|---|---|---|---|
| January | 4.2 | 8.2 | 0.2 | 40 | 83 | 15.9 | 101 |
| February | 5.9 | 11.2 | 0.7 | 27 | 72 | 12.8 | 147 |
| March | 9.0 | 15.2 | 2.8 | 22 | 62 | 6.7 | 215 |
| April | 10.7 | 16.9 | 4.6 | 46 | 62 | 2.3 | 232 |
| May | 14.5 | 21.0 | 7.9 | 49 | 60 | 0.3 | 272 |
| June | 19.3 | 27.0 | 11.6 | 29 | 52 | 0.0 | 322 |
| July | 22.3 | 30.7 | 14.0 | 13 | 45 | 0.0 | 363 |
| August | 22.1 | 30.1 | 14.1 | 16 | 48 | 0.0 | 334 |
| September | 18.5 | 25.6 | 11.3 | 31 | 56 | 0.0 | 254 |
| October | 13.2 | 18.9 | 7.6 | 55 | 70 | 0.5 | 182 |
| November | 7.9 | 12.4 | 3.5 | 52 | 79 | 5.8 | 117 |
| December | 5.0 | 8.6 | 1.3 | 53 | 84 | 12.4 | 89 |
| Year | 12.7 | 18.8 | 6.6 | 433 | 64 | 56.2 | 2624 |
| Name | Location | Characteristics | Id. Number of Research Plots |
|---|---|---|---|
| Jardín Botánico | Lat: 41°40′6.18″ N Long: 4°44′0.62″ O | Total surface area: 2600 m2 (33 plots of 50 m2 each) | S2; S11; S11 |
| Valle de Arán | Lat: 41°40′3.32″ N Long: 4°42′58.67″ O | Total surface area: 4620 m2 (50 plots of 50 m2 each; one plot for community work of 800 m2) | S1; S4; S6 |
| Parque Alameda | Lat: 41°37′9.64″ N Long: 4°44′47.45″ O | Total surface area: 3300 m2 (48 plots of 50 m2 each; one plot for community work of 300 m2) | S3; S7; S8 |
| Los Santos Pilarica | Lat: 41°39′5.51″ N Long: 4°42′0.44″ O | Total surface area: 5200 m2 (50 plots of 50 m2 each; one plot for community work of 800 m2) | S5; S9; S13 |
| Field Work Rounds | Season of the Year | Day (DD MM YYYY) |
|---|---|---|
| Field Work N°1 | Summer | 29 June 2022 |
| Field Work N°2 | Summer | 20 July 2022 |
| Field Work N°3 | Summer | 12 September 2022 |
| Field Work N°4 | Autumn | 8 November 2022 |
| Field Work N°5 | Winter | 10 February 2022 |
| Field Work N°6 | Spring | 18 June 2022 |
| Field Work N°7 | Summer | 19 July 2023 |
| Field Work N°8 | Summer | 16 August 2023 |
| Field Work N°9 | Autumn | 26 October 2023 |
| Field Work N°10 | Winter | 8 February 2024 |
| Field Work N°11 | Spring | 14 May 2024 |
| Field Work Round | Research Plots in Valle de Arán | Research Plots in Parque Alameda | ||||
| S6 | S1 | S4 | S3 | S7 | S8 | |
| 161 (10) | 421 (11) | 319 (9) | 10 (2) | 156 (7) | 422 (11) |
| 161 (10) | 258 (9) | 287 (10) | 33 (5) | 166 (8) | 468 (12) |
| 101 (6) | 131 (8) | 263 (9) | 42 (5) | 66 (5) | 270 (8) |
| 59 (3) | 58 (6) | 166 (6) | 24 (3) | 74 (5) | 146 (6) |
| 20 (1) | 28 (2) | 164 (5) | 36 (5) | 18 (5) | 171 (7) |
| 181 (10) | 381 (10) | 295 (11) | 150 (6) | 184 (10) | 423 (11) |
| 214 (11) | 390 (12) | 251 (10) | 143 (6) | 180 (11) | 397 (10) |
| 104 (8) | 221 (10) | 194 (10) | 66 (3) | 128 (6) | 350 (11) |
| 52 (5) | 78 (6) | 175 (10) | 10 (2) | 74 (4) | 256 (10) |
| 41 (5) | 18 (1) | 15 (4) | 63 (5) | 122 (6) | 293 (8) |
| 333 (2) | 237 (9) | No crops | No crops | No crops | 363 (6) |
| Research Plots in Jardín Botánico | Research Plots in Los Santos Pilarica | |||||
| S11 | S2 | S12 | S13 | S9 | S5 | |
| 338 (8) | 243 (11) | 180 (11) | 351 (8) | 403 (14) | 273 (6) |
| 262 (8) | 205 (11) | 192 (12) | 256 (7) | 346 (12) | 258 (6) |
| 218 (10) | 100 (7) | 253 (9) | 221 (7) | 277 (11) | 132 (5) |
| 108 (5) | 77 (5) | 81 (5) | 233 (8) | 146 (4) | |
| 83 (4) | |||||
| 206 (8) | 161 (7) | 383 (8) | 251 (8) | 220 (6) | |
| 206 (8) | 232 (8) | 232 (8) | 320 (6) | 226 (7) | 196 (7) |
| 128 (6) | 131 (7) | 199 (7) | 229 (5) | 148 (6) | 146 (5) |
| 51 (6) | 50 (6) | 130 (9) | 215 (6) | 60 (6) | 26 (2) |
| 74 (4) | No crops | 83 (7) | |||
| 138(7) | 226 (3) | 10 (2) | 234 (8) | 338 (8) | 286 (4) |
| Season of the Year | Sum. 2022 | Aut. 2022 | Win. 2022 | Spr. 2023 | Sum. 2023 | Aut. 2023 | Win. 2023 | Spr. 2024 | |
|---|---|---|---|---|---|---|---|---|---|
| Valle de Arán (allotment garden) | Avg (°C) | 23.13 | 11.76 | 6.45 | 15.78 | 22.44 | 11.68 | 7.19 | 10.61 |
| Min (°C) | 8.81 | −3.13 | −4.34 | −0.26 | 7.65 | −2.32 | −3.42 | 2.71 | |
| Max (°C) | 40.24 | 29.09 | 22.61 | 32.03 | 38.94 | 32.93 | 22.38 | 26.51 | |
| Jardin Botanico (allotment garden) | Avg (°C) | 23.08 | 11.49 | 6.28 | 15.60 | 22.35 | 11.45 | 6.99 | 10.46 |
| Min (°C) | 8.61 | −3.65 | −4.76 | −0.92 | 7.05 | −2.25 | −4.41 | 1.93 | |
| Max (°C) | 40.67 | 28.73 | 22.66 | 32.22 | 39.15 | 32.79 | 22.75 | 26.27 | |
| Los Santos Pilarica (allotment garden) | Avg (°C) | 23.19 | 11.75 | 6.21 | 15.58 | 22.56 | 11.54 | 7.00 | 10.49 |
| Min (°C) | 8.55 | −3.96 | −6.28 | −0.59 | 7.68 | −2.61 | −3.75 | 1.80 | |
| Max (°C) | 40.34 | 29.75 | 22.26 | 31.77 | 38.81 | 32.87 | 22.01 | 26.12 | |
| Parque Alameda (allotment garden) | Avg (°C) | 23.63 | 11.97 | 6.66 | 16.15 | 22.97 | 11.91 | 7.33 | 10.90 |
| Min (°C) | 9.92 | −2.98 | −3.62 | 0.66 | 7.52 | −2.38 | −3.21 | 1.54 | |
| Max (°C) | 40.98 | 29.21 | 22.45 | 32.23 | 39.35 | 33.33 | 23.03 | 26.84 | |
| Campo Grande (park) | Avg (°C) | 22.31 | 11.34 | 6.29 | 15.26 | 22.09 | 11.29 | 7.00 | 10.55 |
| Min (°C) | 10.06 | −2.43 | −3.11 | 0.62 | 8.17 | −1.68 | −3.26 | 1.99 | |
| Max (°C) | 38.26 | 26.04 | 21.62 | 30.61 | 37.51 | 29.26 | 22.16 | 25.61 | |
| Puente Poniente (gray space) | Avg (°C) | 23.24 | 11.49 | 7.04 | 14.66 * | 22.87 | 12.15 | ||
| Min (°C) | 8.92 | −2.75 | 0.03 | 0.14 * | 7.74 | −0.93 | |||
| Max (°C) | 41.24 | 29.71 | 23.21 | 31.61 * | 41.02 | 33.78 | |||
| Sin Miguel (gray space) | Avg (°C) | 23.51 | 13.38 | 8.82 * | 16.42 | 22.00 | 10.63 * | ||
| Min (°C) | 9.96 | 1.53 | 0.08 * | 2.73 | 9.67 | 2.20 * | |||
| Max (°C) | 40.36 | 25.13 | 21.60 * | 31.52 | 37.41 | 17.01 * | |||
| Catedral (gray space) | Avg (°C) | 23.74 | 13.04 | 8.88 | 16.83 | 22.73 | 13.97 | ||
| Min (°C) | 9.96 | 0.24 | 0.06 | 3.37 | 10.32 | 1.68 | |||
| Max (°C) | 42.42 | 27.65 | 22.95 | 31.80 | 38.19 | 32.59 | |||
| Don Sancho (gray space) | Avg (°C) | 23.68 | 13.45 | 9.68 * | 16.63 | 21.97 | 13.48 | ||
| Min (°C) | 9.85 | 1.53 | 1.10 * | 4.25 | 10.58 | 2.76 | |||
| Max (°C) | 41.04 | 25.28 | 21.10 * | 29.92 | 36.49 | 29.29 | |||
| Dos de Mayo (gray space) | Avg (°C) | 23.68 | 14.60 * | 12.37 * | 16.28 | 21.90 | 14.52 * | ||
| Min (°C) | 10.04 | 3.99 * | 6.30 * | 4.00 | 10.66 | 2.20 * | |||
| Max (°C) | 38.86 | 24.35 * | 19.76 * | 29.96 | 34.09 | 27.84 * | |||
| CG | PP | SM | Cat | DS | DdM | VdA | JB | LSP | PA | |
|---|---|---|---|---|---|---|---|---|---|---|
| Average temperature (°C) | 14.76 | 15.24 | 15.79 | 16.53 | 16.48 | 17.23 | 15.21 | 15.04 | 15.14 | 15.55 |
| Difference with Campo Grande (°C) | +0.48 | +1.03 | +1.77 | +1.72 | +2.46 | +0.44 | +0.28 | +0.38 | +0.79 |
Disclaimer/Publisher’s Note: The statements, opinions and data contained in all publications are solely those of the individual author(s) and contributor(s) and not of MDPI and/or the editor(s). MDPI and/or the editor(s) disclaim responsibility for any injury to people or property resulting from any ideas, methods, instructions or products referred to in the content. |
© 2024 by the authors. Licensee MDPI, Basel, Switzerland. This article is an open access article distributed under the terms and conditions of the Creative Commons Attribution (CC BY) license (https://creativecommons.org/licenses/by/4.0/).
Share and Cite
Tomatis, F.; Egerer, M.; Navas-Gracia, L.M. Evaluating Food Production, Cooling Potential, and Gardener Perspectives in Urban Allotment Gardens of Valladolid, Spain. Horticulturae 2024, 10, 1232. https://doi.org/10.3390/horticulturae10111232
Tomatis F, Egerer M, Navas-Gracia LM. Evaluating Food Production, Cooling Potential, and Gardener Perspectives in Urban Allotment Gardens of Valladolid, Spain. Horticulturae. 2024; 10(11):1232. https://doi.org/10.3390/horticulturae10111232
Chicago/Turabian StyleTomatis, Francisco, Monika Egerer, and Luis Manuel Navas-Gracia. 2024. "Evaluating Food Production, Cooling Potential, and Gardener Perspectives in Urban Allotment Gardens of Valladolid, Spain" Horticulturae 10, no. 11: 1232. https://doi.org/10.3390/horticulturae10111232
APA StyleTomatis, F., Egerer, M., & Navas-Gracia, L. M. (2024). Evaluating Food Production, Cooling Potential, and Gardener Perspectives in Urban Allotment Gardens of Valladolid, Spain. Horticulturae, 10(11), 1232. https://doi.org/10.3390/horticulturae10111232

