Evaluation of Five Asian Lily Cultivars in Chongqing Province China and Effects of Exogenous Substances on the Heat Resistance
Abstract
1. Introduction
2. Materials and Methods
2.1. Plant Materials and Growth Conditions
2.2. Morphological Observations
2.3. Exogenous Substances Treatment
2.4. Dermination of Physiological Index
2.4.1. Determination of RWC
2.4.2. Determination of Chlorophyll Content
2.4.3. Determination of REL Rate and MDA Content
2.4.4. Determination of SOD Content
2.4.5. Determination of Osmoregulatory Substances Content
2.5. Data Analysis and Processing
3. Results
3.1. Observation on the Introduction of Five Asiatic Lily Cultivars in Chongqing Region
3.2. Exogenous Application of Different Substances Remission Oxidative Stress of Lily Under High Temperature Stress
3.3. Effects of Exogenous Application of Different Substances on Chlorophyll Content of Lily Under High Temperature Stress
3.4. Effects of Exogenous Application of Different Substances on SODcontent in Lily Under High Temperature Stress
3.5. Effects of Different Substances Applied Externally on Osmoregulatory Substances of Lily Under High Temperature Stress
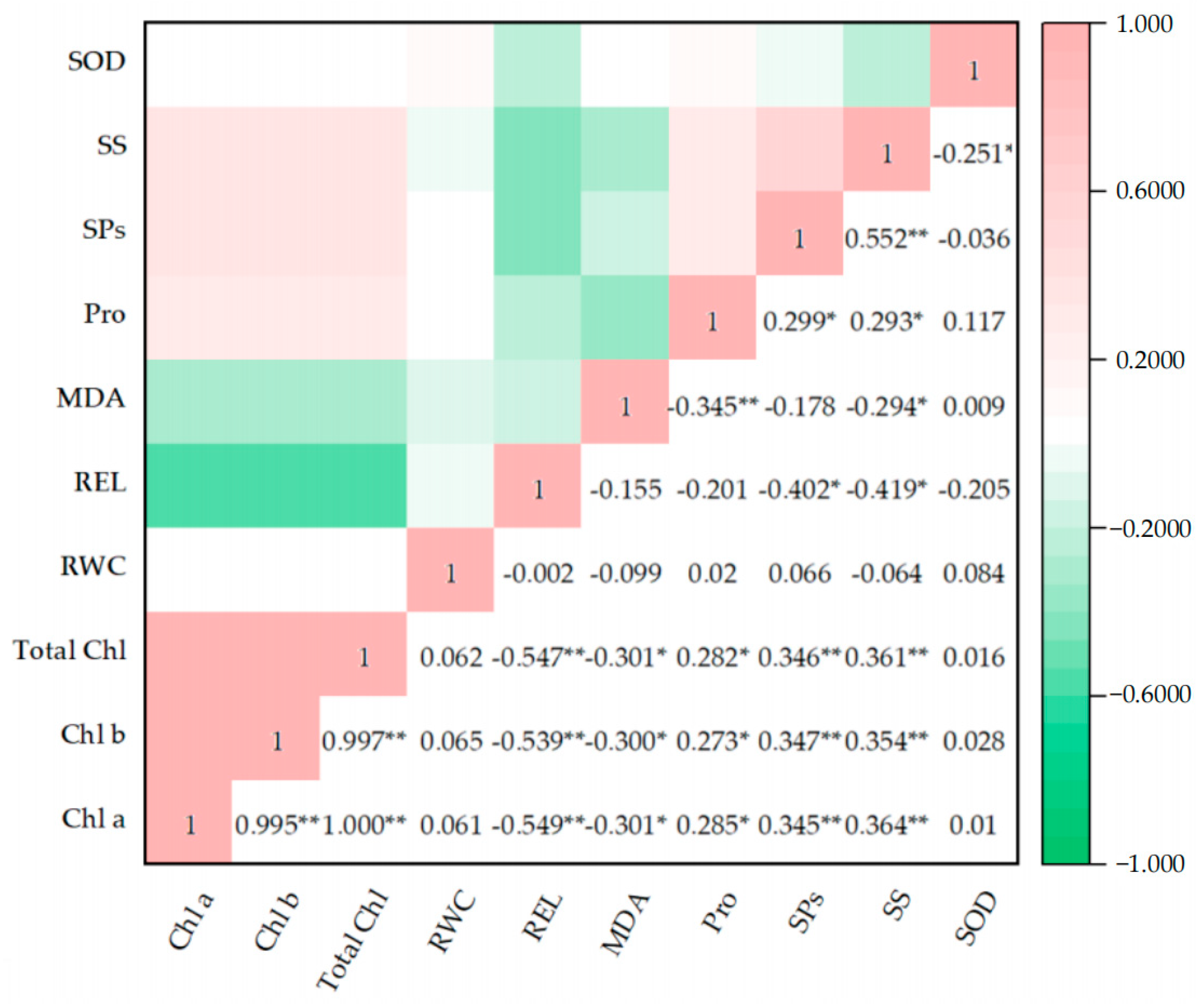
3.6. Comprehensive Evaluation of Heat Resistance of Lily ‘Tiny Diamond’ by Exogenous Application of Different Substances
4. Discussion
5. Conclusions
Supplementary Materials
Author Contributions
Funding
Data Availability Statement
Conflicts of Interest
References
- Wang, J.M.; Ma, S.L.; Li, W.Q.; Wang, Q.; Cao, H.Y.; Gu, J.H.; Lu, Y.M. Genetic variability and diversity of the main resources of lily assessed via phenotypic characters, pollen morphology, and ISSR markers. Genet. Mol. Res. 2016, 15. [Google Scholar] [CrossRef] [PubMed]
- Benschop, M.; Kamenetsky, R.; Le Nard, M.; Okubo, H.; De Hertogh, A. The Global Flower Bulb Industry: Production, Utilization, Research. Hortic. Rev. 2009, 36, 1–115. [Google Scholar] [CrossRef]
- Chen, M.; Nie, G.; Li, X.; Yang, L.; Cai, Y.; Zhang, Y. Development of EST-SSR markers based on transcriptome sequencing for germplasm evaluation of 65 lilies (Lilium). Mol. Biol. Rep. 2023, 50, 3259–3269. [Google Scholar] [CrossRef] [PubMed]
- Younis, A.; Hwang, Y.; Lim, K. Classical vs. Modern Genetic and Breeding Approaches for Lily (Lilium) Crop Improvement: A Review. Flower Res. J. 2014, 22, 39–47. [Google Scholar] [CrossRef]
- Van Huylenbroeck, J. Ornamental Crops; Springer Nature: Cham, Switzerland, 2018. [Google Scholar]
- Yamagishi, M. How genes paint lily flowers: Regulation of colouration and pigmentation patterning. Sci. Hortic. 2013, 163, 27–36. [Google Scholar] [CrossRef]
- Li, J.; Chen, J.; Zhang, Q.; Yu, P.; Zhou, Y.; Jia, G. The Composition of Anthocyanins and Carotenoids Influenced the Flower Color Heredity in Asiatic Hybrid Lilies. Horticulturae 2022, 8, 1206. [Google Scholar] [CrossRef]
- Inada, Y.; Oyama-Okubo, N.; Yamagishi, M. Introduction of Floral Scent Traits into Asiatic Hybrid Lilies (Unscented) by Crossbreeding with Lilium cernuum (Scented). Hortic. J. 2023, 92, 485–492. [Google Scholar] [CrossRef]
- Zhu, X.; Chai, M.; Li, Y.; Sun, M.; Zhang, J.; Sun, G.; Jiang, C.; Shi, L. Global Transcriptome Profiling Analysis of Inhibitory Effects of Paclobutrazol on Leaf Growth in Lily (Lilium Longiflorum-Asiatic Hybrid). Front. Plant Sci. 2016, 7, 491. [Google Scholar] [CrossRef]
- Basit, A.; Lim, K. Recent approaches towards characterization, genetic, and genomic perspectives of genus Lilium. Genet. Resour. Crop Evol. 2024. [Google Scholar] [CrossRef]
- Yin, H.; Chen, Q.; Yi, M. Effects of short-term heat stress on oxidative damage and responses of antioxidant system in Lilium longiflorum. Plant Growth Regul. 2008, 54, 45–54. [Google Scholar] [CrossRef]
- Xin, H.; Zhang, H.; Chen, L.; Li, X.; Lian, Q.; Yuan, X.; Hu, X.; Cao, L.; He, X.; Yi, M. Cloning and characterization of HsfA2 from Lily (Lilium longiflorum). Plant Cell Rep. 2010, 29, 875–885. [Google Scholar] [CrossRef] [PubMed]
- Lan, L.; Wu, Z.; Zhang, D. Study on heat resistance evaluation and summer cultivation techniques of cut flower lily. J. Nanjing Agric. Univ. 2021, 44, 1063–1073. (In Chinese) [Google Scholar] [CrossRef]
- Lucidos, J.G.; Ryu, K.B.; Younis, A.; Kim, C.; Hwang, Y.; Son, B.; Lim, K. Different day and night temperature responses in Lilium hansonii in relation to growth and flower development. Hortic. Environ. Biotechnol. 2013, 54, 405–411. [Google Scholar] [CrossRef]
- Sato, T.; Miyoshi, K. Restoration of intact anthers in a thermosensitive, antherless, male-sterile cultivar of Asiatic hybrid lily in response to high temperature. J. Hortic. Sci. Biotechnol. 2007, 82, 791–797. [Google Scholar] [CrossRef]
- Tseng, Y.-L.; Kao, C.-Y.; Chu, Y. Effects of low temperature treatments in summer on the growth of Asiatic lily (‘Elite’) bulblets in Taiwan. Acta Hortic. 2018, 1208, 277–280. [Google Scholar] [CrossRef]
- Hu, Z.; Zhang, H.; Leng, P.; Zhao, J.; Wang, W.; Wang, S. The emission of floral scent from Lilium ‘siberia’ in response to light intensity and temperature. Acta Physiol. Plant 2013, 35, 1691–1700. [Google Scholar] [CrossRef]
- Lai, Y.; Yamagishi, M.; Suzuki, T. Elevated temperature inhibits anthocyanin biosynthesis in the tepals of an Oriental hybrid lily via the suppression of LhMYB12 transcription. Sci. Hortic. 2011, 132, 59–65. [Google Scholar] [CrossRef]
- Zhu, A.; Li, J.; Fu, W.; Wang, W.; Tao, L.; Fu, G.; Chen, T.; Feng, B. Abscisic Acid Improves Rice Thermo-Tolerance by Affecting Trehalose Metabolism. Int. J. Mol. Sci. 2022, 23, 10615. [Google Scholar] [CrossRef]
- Wang, W.; Xie, Y.; Liu, C.; Jiang, H. The Exogenous Application of Brassinosteroids Confers Tolerance to Heat Stress by Increasing Antioxidant Capacity in Soybeans. Agriculture 2022, 12, 1095. [Google Scholar] [CrossRef]
- Sun, L.; Song, S.-L.; Yang, Y.; Sun, H.-M. Melatonin regulates lily bulblet development through the lobpm3-lorav module. Ornam. Plant Res. 2022, 2, 1–11. [Google Scholar] [CrossRef]
- Senthil-Kumar, M.; Kumar, G.; Srikanthbabu, V.; Udayakumar, M. Assessment of variability in acquired thermotolerance: Potential option to study genotypic response and the relevance of stress genes. J. Plant Physiol. 2007, 164, 111–125. [Google Scholar] [CrossRef] [PubMed]
- Cao, X.; Yi, J.; Wu, Z.; Luo, X.; Zhong, X.; Wu, J.; Khan, M.A.; Zhao, Y.; Yi, M. Involvement of Ca2+ and CaM3 in Regulation of Thermotolerance in Lily (Lilium longiflorum). Plant Mol. Biol. Rep. 2013, 31, 1293–1304. [Google Scholar] [CrossRef]
- Ding, L.; Wu, Z.; Teng, R.; Xu, S.; Cao, X.; Yuan, G.; Zhang, D.; Teng, N. LlWRKY39 is involved in thermotolerance by activating LlMBF1c and interacting with LlCaM3 in lily (Lilium longiflorum). Hortic. Res. 2021, 8, 36. [Google Scholar] [CrossRef]
- Wang, Y.; Zhou, Y.; Wang, R.; Xu, F.; Tong, S.; Song, C.; Shao, Y.; Yi, M.; He, J. Ethylene Response Factor LlERF110 Mediates Heat Stress Response via Regulation of LlHsfA3a Expression and Interaction with LlHsfA2 in Lilies (Lilium longiflorum). Int. J. Mol. Sci. 2022, 23, 16135. [Google Scholar] [CrossRef]
- Reiter, R.J.; Tan, D.X.; Burkhardt, S.; Manchester, L.C. Melatonin in plants. Nutr. Rev. 2001, 59, 286–290. [Google Scholar] [CrossRef]
- Tian, Z.; Zhao, M.; Wang, J.; Yang, Q.; Ma, Y.; Yang, X.; Ma, L.; Qi, Y.; Li, J.; Quinet, M.; et al. Exogenous melatonin improves germination rate in buckwheat under high temperature stress by regulating seed physiological and biochemical characteristics. PeerJ 2024, 12, e17136. [Google Scholar] [CrossRef]
- Jin, Q.; Zhang, Y.; Wang, Q.; Li, M.; Sun, H.; Liu, N.; Zhang, L.; Zhang, Y.; Liu, Z. Effects of potassium fulvic acid and potassium humate on microbial biodiversity in bulk soil and rhizosphere soil of Panax ginseng. Microbiol. Res. 2022, 254, 126914. [Google Scholar] [CrossRef] [PubMed]
- Braziene, Z.; Paltanavicius, V.; Avizienyte, D. The influence of fulvic acid on spring cereals and sugar beets seed germination and plant productivity. Environ. Res. 2021, 195, 110824. [Google Scholar] [CrossRef]
- Ma, Y.; Zeng, X.M.; Zhang, Y.; Wang, N.; Zheng, Y.; Wang, G.; Chen, C. Impact of the Choice of Land Surface Scheme on a Simulated Heatwave Event: The Case of Sichuan-Chongqing Area, China. Adv. Meteorol. 2017, 2017, 9545896. [Google Scholar] [CrossRef]
- Yue, J.; You, Y.; Zhang, L.; Fu, Z.; Wang, J.; Zhang, J.; Guy, R.D. Exogenous 24-Epibrassinolide Alleviates Effects of Salt Stress on Chloroplasts and Photosynthesis in Robinia pseudoacacia L. Seedlings. J. Plant Growth Regul. 2019, 38, 669–682. [Google Scholar] [CrossRef]
- Wellburn, A.R.; Lichtenthaler, H. Formulae and Program to Determine Total Carotenoids and Chlorophylls a and B of Leaf Extracts in Different Solvents. In Advances in Photosynthesis Research; Springer: Dordrecht, The Netherlands, 1978; pp. 9–12. Available online: http://pku.summon.serialssolutions.com/2.0.0/link (accessed on 27 June 2024).
- Min, D.; Dong, L.; Shu, P.; Cui, X.; Zhang, X.; Li, F. The application of carbon dioxide and 1-methylcyclopropene to maintain fruit quality of ‘Niuxin’ persimmon during storage. Sci. Hortic. 2018, 229, 201–206. [Google Scholar] [CrossRef]
- Zhu, X.; Song, F.; Xu, H. Influence of arbuscular mycorrhiza on lipid peroxidation and antioxidant enzyme activity of maize plants under temperature stress. Mycorrhiza 2010, 20, 325–332. [Google Scholar] [CrossRef]
- Erinle, K.O.; Jiang, Z.; Ma, B.; Li, J.; Chen, Y.; Ur-Rehman, K.; Shahla, A.; Zhang, Y. Exogenous calcium induces tolerance to atrazine stress in Pennisetum seedlings and promotes photosynthetic activity, antioxidant enzymes and psbA gene transcripts. Ecotoxicol. Environ. Saf. 2016, 132, 403–412. [Google Scholar] [CrossRef] [PubMed]
- Sairam, R.K.; Rao, K.V.; Srivastava, G.C. Differential response of wheat genotypes to long term salinity stress in relation to oxidative stress, antioxidant activity and osmolyte concentration. Plant Sci. 2002, 163, 1037–1046. [Google Scholar] [CrossRef]
- Fan, H.; Li, T.; Sun, X.; Sun, X.; Zheng, C. Effects of humic acid derived from sediments on the postharvest vase life extension in cut chrysanthemum flowers. Postharvest Biol. Technol. 2015, 101, 82–87. [Google Scholar] [CrossRef]
- Fröhlich, M.; Kutschera, U. Changes in Soluble Sugars and Proteins during Development of Rye Coleoptiles. J. Plant Physiol. 1995, 146, 121–125. [Google Scholar] [CrossRef]
- Hayat, S.; Hasan, S.A.; Yusuf, M.; Hayat, Q.; Ahmad, A. Effect of 28-homobrassinolide on photosynthesis, fluorescence and antioxidant system in the presence or absence of salinity and temperature in Vigna radiata. Environ. Exp. Bot. 2010, 69, 105–112. [Google Scholar] [CrossRef]
- Eriksen, R.L.; Rutto, L.K.; Dombrowski, J.E.; Henning, J.A. Photosynthetic Activity of Six Hop (Humulus lupulus L.) Cultivars under Different Temperature Treatments. HortScience 2020, 55, 403–409. [Google Scholar] [CrossRef]
- Wassie, M.; Zhang, W.; Zhang, Q.; Ji, K.; Chen, L. Effect of Heat Stress on Growth and Physiological Traits of Alfalfa (Medicago sativa L.) And a Comprehensive Evaluation for Heat Tolerance. Agronomy 2019, 9, 597. [Google Scholar] [CrossRef]
- Khanna-Chopra, R.; Sabarinath, S. Heat-stable chloroplastic Cu/Zn superoxide dismutase in Chenopodium murale. Biochem. Biophys. Res. Commun. 2004, 320, 1187–1192. [Google Scholar] [CrossRef]
- Dien, D.C.; Mochizuki, T.; Yamakawa, T. Effect of various drought stresses and subsequent recovery on proline, total soluble sugar and starch metabolisms in Rice (Oryza sativa L.) Varieties. Plant Prod. Sci. 2019, 22, 530–545. [Google Scholar] [CrossRef]
- Luo, J.; Yang, Z.; Zhang, F.; Li, C. Effect of nitrogen application on enhancing high-temperature stress tolerance of tomato plants during the flowering and fruiting stage. Front. Plant Sci. 2023, 14, 1172078. [Google Scholar] [CrossRef] [PubMed]
- Couee, I.; Sulmon, C.; Gouesbet, G.; El, A.A. Involvement of soluble sugars in reactive oxygen species balance and responses to oxidative stress in plants. J. Exp. Bot. 2006, 57, 449–459. [Google Scholar] [CrossRef] [PubMed]
- Wang, H.; Yu, J.; Ma, Y.; Zhu, Y.; Ding, Y. Study on Introduction of 11 Species of Double Petal Lily into Cultivation. Hortic. Seed 2023, 43, 8–11. (In Chinese) [Google Scholar] [CrossRef]
- Wang, A.; Luo, D.; Zhang, Y.; Yang, F.; Yang, S.; Lin, J.; Luo, C.; Zhou, J. Characteristics analysis and comprehensive evaluation of new varieties of potted Asian lily. Hubei Agric. Sci. 2023, 62, 97–101. (In Chinese) [Google Scholar] [CrossRef]
- Chen, Z.; Wu, Z.; Zhang, D.; Guo, Y.; Teng, N. Study on the adaptability of potted lily introduction in Nanjing areaC. J. Nanjing Agric. Univ. 2021, 44, 78–88. (In Chinese) [Google Scholar] [CrossRef]
- Mittler, R. Oxidative stress, antioxidants and stress tolerance. Trends Plant Sci. 2002, 7, 405–410. [Google Scholar] [CrossRef]
- Corpas, F.J.; Fernandez-Ocana, A.; Carreras, A.; Valderrama, R.; Luque, F.; Esteban, F.J.; Rodriguez-Serrano, M.; Chaki, M.; Pedrajas, J.R.; Sandalio, L.M.; et al. The expression of different superoxide dismutase forms is cell-type dependent in olive (Olea europaea L.) Leaves. Plant Cell Physiol. 2006, 47, 984–994. [Google Scholar] [CrossRef]
- Guo, X.; Li, Q.; Luo, T.; Han, D.; Zhu, D.; Wu, Z. Postharvest Calcium Chloride Treatment Strengthens Cell Wall Structure to Maintain Litchi Fruit Quality. Foods 2023, 12, 2478. [Google Scholar] [CrossRef]
- Guo, J.; Huang, Y.; Yang, X.; Bu, W.; Tian, J.; Zhang, M.; Huang, K.; Luo, X.; Ye, Y.; Xing, W.; et al. Effects of Three Exogenous Substances on Heat Tolerance of Peony Seedlings. Horticulturae 2023, 9, 765. [Google Scholar] [CrossRef]
- Zhang, M.; Li, X.; Wang, X.; Feng, J.; Zhu, S. Potassium fulvic acid alleviates salt stress of citrus by regulating rhizosphere microbial community, osmotic substances and enzyme activities. Front. Plant Sci. 2023, 14, 1161469. [Google Scholar] [CrossRef] [PubMed]
- Barman, D.; Kumar, R.; Ghimire, O.P.; Ramesh, R.; Gupta, S.; Nagar, S.; Pal, M.; Dalal, M.; Chinnusamy, V.; Arora, A. Melatonin induces acclimation to heat stress and pollen viability by enhancing antioxidative defense in rice (Oryza sativa L.). Environ. Exp. Bot. 2024, 220, 105693. [Google Scholar] [CrossRef]
- Huang, B.; Chen, Y.E.; Zhao, Y.Q.; Ding, C.B.; Liao, J.Q.; Hu, C.; Zhou, L.J.; Zhang, Z.W.; Yuan, S.; Yuan, M. Exogenous Melatonin Alleviates Oxidative Damages and Protects Photosystem II in Maize Seedlings Under Drought Stress. Front. Plant Sci. 2019, 10, 677. [Google Scholar] [CrossRef]
- Wang, H.; Shen, Y.; Wang, K.; He, S.; Kim, W.; Shang, W.; Wang, Z.; Shi, L. Effect of Exogenous Calcium on the Heat Tolerance in Rosa hybrida ‘Carolla’. Horticulturae 2022, 8, 980. [Google Scholar] [CrossRef]
- Cao, Y.; Yang, W.; Ma, J.; Cheng, Z.; Zhang, X.; Liu, X.; Wu, X.; Zhang, J. An Integrated Framework for Drought Stress in Plants. Int. J. Mol. Sci. 2024, 25, 9347. [Google Scholar] [CrossRef] [PubMed]
- Dourado, P.R.M.; de Souza, E.R.; Santos, M.A.D.; Lins, C.M.T.; Monteiro, D.R.; Paulino, M.K.S.S.; Schaffer, B. Stomatal Regulation and Osmotic Adjustment in Sorghum in Response to Salinity. Agriculture 2022, 12, 658. [Google Scholar] [CrossRef]
- Sehar, Z.; Mir, I.R.; Khan, S.; Masood, A.; Khan, N.A. Nitric Oxide and Proline Modulate Redox Homeostasis and Photosynthetic Metabolism in Wheat Plants under High Temperature Stress Acclimation. Plants 2023, 12, 1256. [Google Scholar] [CrossRef] [PubMed]
- Zhang, M.; Jin, Z.; Zhao, J.; Zhang, G.; Wu, F. Physiological and biochemical responses to drought stress in cultivated and Tibetan wild barley. Plant Growth Regul. 2015, 75, 567–574. [Google Scholar] [CrossRef]
- Liang, J.; Chen, Y.; Hou, J.; Hao, J.; Zuo, Z.; Zhang, M.; Cao, L.; Zhang, X.; Wu, J.; Du, Y. Cytokinins influence bulblet formation by modulating sugar metabolism and endogenous hormones in asiatic hybrid lily. Ornam. Plant Res. 2023, 3, 12–19. [Google Scholar] [CrossRef]
- Upadhyaya, H.; Panda, S.K.; Dutta, B.K. CaCl2 improves post-drought recovery potential in Camellia sinensis (L) O. Kuntze. Plant Cell Rep. 2011, 30, 495–503. [Google Scholar] [CrossRef]
- Ma, C.; Pei, Z.; Bai, X.; Lu, S.; Su, M.; Kang, X.; Gao, H.; Wang, J.; Zhang, T.; Zheng, S. Exogenous Melatonin and CaCl2 Alleviate Cold-Induced Oxidative Stress and Photosynthetic Inhibition in Cucumber Seedlings. J. Plant Growth Regul. 2023, 42, 3441–3458. [Google Scholar] [CrossRef]






| Treatment | Exogenous Substances |
|---|---|
| CK | H2O |
| M1 | 100 μmol/L MT |
| M2 | 200 μmol/L MT |
| P1 | 0.5 g/L PFA |
| P2 | 1.0 g/LPFA |
| C1 | 20 mmol/L CaCl2 |
| C2 | 40 mmol/L CaCl2 |
| Cultivar | Season | Seedling Emergence (Day) | Planting to Bud (Day) | Planting to Flower Initiation (Day) | Planting to Full Bloom (Day) | Planting to Final Flowering (Day) | Florescence (Day) | Growth Cycle (Day) |
|---|---|---|---|---|---|---|---|---|
| Tiny Double You | spring | 8 | 25 | 38 | 44 | 58 | 20 | 58 |
| autumn | 8 | 21 | 49 | 60 | 111 | 62 | 111 | |
| Curitiba | spring | 5 | 15 | 39 | 42 | 59 | 20 | 59 |
| autumn | 7 | 17 | 41 | 55 | 90 | 49 | 90 | |
| Tiny Diamond | spring | 17 | 30 | 47 | 57 | 67 | 20 | 67 |
| autumn | 8 | 16 | 49 | 57 | 90 | 41 | 90 | |
| Sugar Love | spring | 18 | 32 | 47 | 55 | 71 | 24 | 71 |
| autumn | 12 | 27 | 53 | 73 | 95 | 42 | 95 | |
| Tiny Ghost | spring | 15 | 33 | 50 | 55 | 74 | 24 | 74 |
| autumn | 8 | 14 | 25 | 51 | 94 | 69 | 94 |
| Cultivar | Season | Plant Height (cm) | Stem Diameter (mm) | Leaf Wide (cm) | Number of Flower Buds | Flower Diameter (cm) | Flowering Rate (%) |
|---|---|---|---|---|---|---|---|
| Tiny Double You | spring | 31.58 ± 1.00 | 5.36 ± 0.17 | 75.30 ± 1.23 | 4.30 ± 0.37 | 9.44 ± 0.12 | 100.00% |
| autumn | 41.19 ± 1.35 | 5.22 ± 0.14 | 78.30 ± 1.71 | 8.40 ± 0.69 | 9.49 ± 0.15 | 100.00% | |
| Curitiba | spring | 37.41 ± 0.93 | 6.19 ± 0.12 | 64.40 ± 3.23 | 5.30 ± 0.21 | 14.22 ± 0.10 | 100.00% |
| autumn | 47.11 ± 0.40 | 6.67 ± 0.10 | 90.90 ± 4.25 | 4.30 ± 0.26 | 14.68 ± 0.12 | 60.00% | |
| Tiny Diamond | spring | 37.73 ± 1.50 | 8.00 ± 0.13 | 126.40 ± 2.80 | 3.50 ± 0.58 | 17.43 ± 0.40 | 40.00% |
| autumn | 54.00 ± 1.22 | 8.66 ± 0.10 | 118.00 ± 3.01 | 7.20 ± 0.33 | 16.04 ± 0.14 | 96.67% | |
| Sugar Love | spring | 47.03 ± 1.09 | 7.02 ± 0.20 | 138.30 ± 4.15 | 9.50 ± 0.27 | 13.55 ± 0.17 | 100.00% |
| autumn | 48.61 ± 1.26 | 7.47 ± 0.09 | 146.80 ± 2.45 | 6.90 ± 0.18 | 14.68 ± 0.19 | 66.67% | |
| Tiny Ghost | spring | 42.72 ± 1.18 | 7.85 ± 0.17 | 144.20 ± 3.41 | 7.20 ± 0.33 | 15.20 ± 0.28 | 100.00% |
| autumn | 40.35 ± 1.02 | 7.74 ± 0.20 | 131.20 ± 2.56 | 4.30 ± 0.42 | 13.98 ± 0.21 | 86.67% |
| Treatment | Spraying Hormone | Composite Index | Sort | |
|---|---|---|---|---|
| CK | H2O | 0.056 | 7 | |
| M1 | 100 μmol/L MT | 0.521 | 5 | |
| M2 | 200 μmol/L MT | 0.406 | 6 | |
| P1 | 0.5 g/L PFA | 0.534 | 4 | |
| P2 | 1.0 g/L PFA | 0.828 | 2 | |
| C1 | 20 mmol/L CaCl2 | 0.598 | 3 | |
| C2 | 40 mmol/L CaCl2 | 0.843 | 1 | |
Disclaimer/Publisher’s Note: The statements, opinions and data contained in all publications are solely those of the individual author(s) and contributor(s) and not of MDPI and/or the editor(s). MDPI and/or the editor(s) disclaim responsibility for any injury to people or property resulting from any ideas, methods, instructions or products referred to in the content. |
© 2024 by the authors. Licensee MDPI, Basel, Switzerland. This article is an open access article distributed under the terms and conditions of the Creative Commons Attribution (CC BY) license (https://creativecommons.org/licenses/by/4.0/).
Share and Cite
Bai, N.; Song, Y.; Li, Y.; Tan, L.; Li, J.; Luo, L.; Sui, S.; Liu, D. Evaluation of Five Asian Lily Cultivars in Chongqing Province China and Effects of Exogenous Substances on the Heat Resistance. Horticulturae 2024, 10, 1216. https://doi.org/10.3390/horticulturae10111216
Bai N, Song Y, Li Y, Tan L, Li J, Luo L, Sui S, Liu D. Evaluation of Five Asian Lily Cultivars in Chongqing Province China and Effects of Exogenous Substances on the Heat Resistance. Horticulturae. 2024; 10(11):1216. https://doi.org/10.3390/horticulturae10111216
Chicago/Turabian StyleBai, Ningyu, Yangjing Song, Yu Li, Lijun Tan, Jing Li, Lan Luo, Shunzhao Sui, and Daofeng Liu. 2024. "Evaluation of Five Asian Lily Cultivars in Chongqing Province China and Effects of Exogenous Substances on the Heat Resistance" Horticulturae 10, no. 11: 1216. https://doi.org/10.3390/horticulturae10111216
APA StyleBai, N., Song, Y., Li, Y., Tan, L., Li, J., Luo, L., Sui, S., & Liu, D. (2024). Evaluation of Five Asian Lily Cultivars in Chongqing Province China and Effects of Exogenous Substances on the Heat Resistance. Horticulturae, 10(11), 1216. https://doi.org/10.3390/horticulturae10111216

