Altered Photoprotective Mechanisms and Pigment Synthesis in Torreya grandis with Leaf Color Mutations: An Integrated Transcriptome and Photosynthesis Analysis
Abstract
1. Introduction
2. Materials and Methods
2.1. Plant Material
2.2. Measurement of Photosynthetic Pigment
2.3. Measurements of Chlorophyll a Fluorescence
2.4. Transcriptome Sequencing
2.5. Validation by RT-qPCR of Some DEGs
2.6. Statistical Analysis
3. Results
3.1. Determination of Photosynthetic Pigment
3.2. Assessment of Fluorescence Kinetic Parameters
3.3. Transcriptomic Analysis of Mutant and Wild-Type Torreya
3.4. Functional Annotation and Classification of the DEGs
3.5. Identification of the DEGs Associated with Leaf Coloration
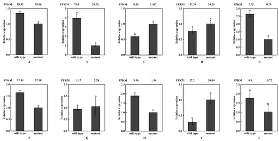
3.6. Validation of Transcription Data Accuracy
4. Discussion
4.1. Photosynthesis Performance in the Mutant Torreya
4.2. Integrated Analysis of DEGs in Carotenoid, Chlorophyll, and Photosynthesis Pathways
5. Conclusions
Supplementary Materials
Author Contributions
Funding
Data Availability Statement
Conflicts of Interest
References
- Chen, X.; Jin, H. Review of cultivation and development of Chinese torreya in China. For. Trees Livelihoods 2019, 28, 68–78. [Google Scholar] [CrossRef]
- Shen, J.; Li, X.; Zhu, X.; Ding, Z.; Huang, X.; Chen, X.; Jin, S. Molecular and photosynthetic performance in the yellow leaf mutant of Torreya grandis according to transcriptome sequencing, chlorophyll a fluorescence, and modulated 820 nm reflection. Cells 2022, 11, 431. [Google Scholar] [CrossRef] [PubMed]
- Yang, Y.; Chen, X.; Xu, B.; Li, Y.; Ma, Y.; Wang, G. Phenotype and transcriptome analysis reveals chloroplast development and pigment biosynthesis together influenced the leaf color formation in mutants of Anthurium andraeanum ‘Sonate’. Front. Plant Sci. 2015, 6, 139. [Google Scholar] [CrossRef]
- Tian, Y.; Rao, S.; Li, Q.; Xu, M.; Wang, A.; Zhang, H.; Chen, J. The coloring mechanism of a novel golden variety in Populus deltoides based on the RGB color mode. For. Res. 2021, 1, 5. [Google Scholar] [CrossRef]
- Wu, Y.; Guo, J.; Wang, T.; Cao, F.; Wang, G. Metabolomic and transcriptomic analyses of mutant yellow leaves provide insights into pigment synthesis and metabolism in Ginkgo biloba. BMC Genom. 2020, 21, 858. [Google Scholar] [CrossRef] [PubMed]
- Wang, H.; Wang, X.; Song, W.; Bao, Y.; Zhang, H. PdMYB118, isolated from a red leaf mutant of Populus deltoids, is a new transcription factor regulating anthocyanin biosynthesis in poplar. Plant Cell Rep. 2019, 38, 927–936. [Google Scholar] [CrossRef]
- Fan, L.; Hou, Y.; Zheng, L.; Shi, H.; Liu, Z.; Wang, Y.; Li, S.; Liu, L.; Guo, M.; Yang, Z. Characterization and fine mapping of a yellow leaf gene regulating chlorophyll biosynthesis and chloroplast development in cotton (Gossypium arboreum). Gene 2023, 885, 147712. [Google Scholar] [CrossRef]
- Qin, H.; Guo, J.; Jin, Y.; Li, Z.; Chen, J.; Bie, Z.; Luo, C.; Peng, F.; Yan, D.; Kong, Q. Integrative analysis of transcriptome and metabolome provides insights into the mechanisms of leaf variegation in Heliopsis helianthoides. BMC Plant Biol. 2024, 24, 731. [Google Scholar] [CrossRef]
- Yuan, H.; Zhang, J.; Nageswaran, D.; Li, L. Carotenoid metabolism and regulation in horticultural crops. Hortic. Res. 2015, 2, 15036. [Google Scholar] [CrossRef]
- Levin, G.; Schuster, G. LHC-like proteins: The guardians of photosynthesis. Int. J. Mol. Sci. 2023, 24, 2503. [Google Scholar] [CrossRef]
- Su, X.; Cao, D.; Pan, X.; Shi, L.; Liu, Z.; Dall’Osto, L.; Bassi, R.; Zhang, X.; Li, M. Supramolecular assembly of chloroplast NADH dehydrogenase-like complex with photosystem I from Arabidopsis thaliana. Mol. Plant 2022, 15, 454–467. [Google Scholar] [CrossRef] [PubMed]
- Goltsev, V.; Zaharieva, I.; Chernev, P.; Kouzmanova, M.; Kalaji, H.M.; Yordanov, I.; Krasteva, V.; Alexandrov, V.; Stefanov, D.; Allakhverdiev, S.I. Drought-induced modifications of photosynthetic electron transport in intact leaves: Analysis and use of neural networks as a tool for a rapid non-invasive estimation. Biochim. Biophys. Acta Bioenerg. 2012, 1817, 1490–1498. [Google Scholar] [CrossRef] [PubMed]
- Kan, X.; Ren, J.; Chen, T.; Cui, M.; Li, C.; Zhou, R.; Zhang, Y.; Liu, H.; Deng, D.; Yin, Z.; et al. Effects of salinity on photosynthesis in maize probed by prompt fluorescence, delayed fluorescence and P700 signals. Environmental 2017, 140, 56–64. [Google Scholar] [CrossRef]
- Chen, W.; Jia, B.; Chen, J.; Feng, Y.; Li, Y.; Chen, M.; Liu, H.; Yin, Z. Effects of different planting densities on photosynthesis in maize determined via prompt fluorescence, delayed fluorescence and P700 signals. Plants 2021, 10, 276. [Google Scholar] [CrossRef]
- Andrzejowska, A.; Hájek, J.; Puhovkin, A.; Harańczyk, H.; Barták, M. Freezing temperature effects on photosystem II in Antarctic lichens evaluated by chlorophyll fluorescence. J. Plant Physiol. 2024, 294, 154192. [Google Scholar] [CrossRef]
- Rastogi, A.; Kovar, M.; He, X.; Zivcak, M.; Kataria, S.; Kalaji, H.; Skalicky, M.; Ibrahimova, U.; Hussain, S.; Mbarki, S. JIP-test as a tool to identify salinity tolerance in sweet sorghum genotypes. Photosynthetica 2020, 58, 333–343. [Google Scholar] [CrossRef]
- Evans, E.H.; Crofts, A.R. The relationship between delayed fluorescence and the H+ gradient in chloroplasts. Biochim. Biophys. Acta Bioenerg. 1973, 292, 130–139. [Google Scholar] [CrossRef]
- Jursinic, P.; Govindjee; Wraight, C. Membrane potential and microsecond to millisecond delayed light emission after a single excitation flash in isolated chloroplasts. Photochem. Photobiol. 1978, 27, 61–71. [Google Scholar] [CrossRef]
- Gang, H.; Liu, G.; Chen, S.; Jiang, J.J.F. Physiological and transcriptome analysis of a yellow-green leaf mutant in Birch (Betula platyphylla × B. pendula). Forests 2019, 10, 120. [Google Scholar] [CrossRef]
- Lichtenthaler, H.K. Chlorophylls and carotenoids: Pigments of photosynthetic biomembranes. In Methods in Enzymology; Elsevier: Amsterdam, The Netherlands, 1987; Volume 148, pp. 350–382. [Google Scholar]
- Strasser, R.J.; Tsimilli-Michael, M.; Qiang, S.; Goltsev, V. Simultaneous in vivo recording of prompt and delayed fluorescence and 820-nm reflection changes during drying and after rehydration of the resurrection plant Haberlea rhodopensis. Biochim. Biophys. Acta Bioenerg. 2010, 1797, 1313–1326. [Google Scholar] [CrossRef]
- Gao, J.; Li, P.; Ma, F.; Goltsev, V. Photosynthetic performance during leaf expansion in Malus micromalus probed by chlorophyll a fluorescence and modulated 820 nm reflection. J. Photochem. 2014, 137, 144–150. [Google Scholar]
- Love, M.I.; Huber, W.; Anders, S. Moderated estimation of fold change and dispersion for RNA-seq data with DESeq2. Genome Biol. 2014, 15, 550. [Google Scholar] [CrossRef] [PubMed]
- Zhang, R.; Zhang, X.; Camberato, J.; Xue, J. Photosynthetic performance of maize hybrids to drought stress. Russ. J. Plant Physiol. 2015, 62, 788–796. [Google Scholar] [CrossRef]
- Ducruet, J.-M.; Lemoine, Y. Increased heat sensitivity of the photosynthetic apparatus in triazine-resistant biotypes from different plant species. Plant Cell Physiol. 1985, 26, 419–429. [Google Scholar] [CrossRef]
- Oukarroum, A.; Goltsev, V.; Strasser, R.J. Temperature effects on pea plants probed by simultaneous measurements of the kinetics of prompt fluorescence, delayed fluorescence and modulated 820 nm reflection. PLoS ONE 2013, 8, e59433. [Google Scholar] [CrossRef]
- Paunov, M.; Koleva, L.; Vassilev, A.; Vangronsveld, J.; Goltsev, V. Effects of different metals on photosynthesis: Cadmium and zinc affect chlorophyll fluorescence in durum wheat. Int. J. Mol. Sci. 2018, 19, 787. [Google Scholar] [CrossRef]
- Kalaji, H.M.; Schansker, G.; Ladle, R.J.; Goltsev, V.; Bosa, K.; Allakhverdiev, S.I.; Brestic, M.; Bussotti, F.; Calatayud, A.; Dąbrowski, P. Frequently asked questions about in vivo chlorophyll fluorescence: Practical issues. Photosynth. Res. 2014, 122, 121–158. [Google Scholar] [CrossRef]
- Oukarroum, A.; Bussotti, F.; Goltsev, V.; Kalaji, H.M.; Botany, E. Correlation between reactive oxygen species production and photochemistry of photosystems I and II in Lemna gibba L. plants under salt stress. Environmental 2015, 109, 80–88. [Google Scholar] [CrossRef]
- Mihaljević, I.; Viljevac Vuletić, M.; Tomaš, V.; Horvat, D.; Zdunić, Z.; Vuković, D. PSII photochemistry responses to drought stress in autochthonous and modern sweet cherry cultivars. Photosynthetica 2021, 59, 517–528. [Google Scholar] [CrossRef]
- Jiang, D.; Chu, X.; Li, M.; Hou, J.; Tong, X.; Gao, Z.P.; Chen, G.X. Exogenous spermidine enhances salt-stressed rice photosynthetic performance by stabilizing structure and function of chloroplast and thylakoid membranes. Photosynthetica 2020, 58, 61–71. [Google Scholar] [CrossRef]
- Goltsev, V.; Zaharieva, I.; Chernev, P.; Strasser, R.J. Delayed fluorescence in photosynthesis. Photosynth. Res. 2009, 101, 217–232. [Google Scholar] [CrossRef] [PubMed]
- Kalaji, H.M.; Goltsev, V.; Bosa, K.; Allakhverdiev, S.I.; Strasser, R.J.; Govindjee. Experimental in vivo measurements of light emission in plants: A perspective dedicated to David Walker. Photosynth. Res. 2012, 114, 69–96. [Google Scholar] [CrossRef] [PubMed]
- Zhang, K.; Chen, B.-H.; Yan, H.; Rui, Y.; Wang, Y.-A. Effects of short-term heat stress on PSII and subsequent recovery for senescent leaves of Vitis vinifera L. cv. Red Globe. J. Integr. Agric. 2018, 17, 2683–2693. [Google Scholar] [CrossRef]
- Zhou, R.; Xu, J.; Li, L.; Yin, Y.; Xue, B.; Li, J.; Sun, F. Exploration of the Effects of Cadmium Stress on Photosynthesis in Oenanthe javanica (Blume) DC. Toxics 2024, 12, 307. [Google Scholar] [CrossRef]
- Chen, S.; Yang, J.; Zhang, M.; Strasser, R.J.; Qiang, S.; Botany, E. Classification and characteristics of heat tolerance in Ageratina adenophora populations using fast chlorophyll a fluorescence rise OJIP. Environmental 2016, 122, 126–140. [Google Scholar]
- Sato, Y.; Morita, R.; Katsuma, S.; Nishimura, M.; Tanaka, A.; Kusaba, M. Two short-chain dehydrogenase/reductases, NON-YELLOW COLORING 1 and NYC1-LIKE, are required for chlorophyll b and light-harvesting complex II degradation during senescence in rice. Plant J. 2009, 57, 120–131. [Google Scholar] [CrossRef]
- Sakuraba, Y.; Kim, Y.-S.; Yoo, S.-C.; Hörtensteiner, S.; Paek, N.-C.J.B.; Communications, B.R. 7-Hydroxymethyl chlorophyll a reductase functions in metabolic channeling of chlorophyll breakdown intermediates during leaf senescence. Biochemical 2013, 430, 32–37. [Google Scholar] [CrossRef]
- Zhang, K.; Liu, Z.; Shan, X.; Li, C.; Tang, X.; Chi, M.; Feng, H. Physiological properties and chlorophyll biosynthesis in a Pak-choi (Brassica rapa L. ssp. chinensis) yellow leaf mutant, pylm. Acta Physiol. Plant. 2017, 39, 22. [Google Scholar] [CrossRef]
- Meguro, M.; Ito, H.; Takabayashi, A.; Tanaka, R.; Tanaka, A. Identification of the 7-hydroxymethyl chlorophyll a reductase of the chlorophyll cycle in Arabidopsis. Plant Cell 2011, 23, 3442–3453. [Google Scholar] [CrossRef]
- Tanaka, A.; Ito, H.; Physiology, C. Chlorophyll degradation and its physiological function. Plant 2024, pcae093. [Google Scholar] [CrossRef]
- Liu, W.; Chen, G.; Chen, J.; Jahan, M.S.; Guo, S.; Wang, Y.; Sun, J.J.P. Overexpression of 7-hydroxymethyl chlorophyll a reductase from cucumber in tobacco accelerates dark-induced chlorophyll degradation. Plants 2021, 10, 1820. [Google Scholar] [CrossRef] [PubMed]
- Guan, J.; Teng, K.; Yue, Y.; Guo, Y.; Liu, L.; Yin, S.; Han, L. Zoysia japonica chlorophyll b reductase gene NOL participates in chlorophyll degradation and photosynthesis. Front. Plant Sci. 2022, 13, 906018. [Google Scholar] [CrossRef] [PubMed]
- Wang, H.-T.; Ou, L.-Y.; Chen, T.-A.; Kuan, Y.-C. Refrigeration, forchlorfenuron, and gibberellic acid treatments differentially regulate chlorophyll catabolic pathway to delay yellowing of broccoli. Postharvest Biol. Technol. 2023, 197, 112221. [Google Scholar] [CrossRef]
- Armstrong, G.A. Greening in the dark: Light-independent chlorophyll biosynthesis from anoxygenic photosynthetic bacteria to gymnosperms. J. Photochem. Photobiol. B Biol. 1998, 43, 87–100. [Google Scholar] [CrossRef]
- Wang, Q.; Liu, S.; Li, X.; Wu, H.; Shan, X.; Wan, Y. Expression of Genes in New Sprouts of Cunninghamia lanceolata grown under dark and light conditions. J. Plant Growth Regul. 2020, 39, 481–491. [Google Scholar] [CrossRef]
- Weber, A.P.; Schneidereit, J.; Voll, L.M. Using mutants to probe the in vivo function of plastid envelope membrane metabolite transporters. J. Exp. Bot. 2004, 55, 1231–1244. [Google Scholar] [CrossRef]
- Kössler, S.; Armarego-Marriott, T.; Tarkowská, D.; Turečková, V.; Agrawal, S.; Mi, J.; de Souza, L.P.; Schöttler, M.A.; Schadach, A.; Fröhlich, A.J.; et al. Lycopene β-cyclase expression influences plant physiology, development, and metabolism in tobacco plants. J. Exp. Bot. 2021, 72, 2544–2569. [Google Scholar] [CrossRef]
- Nisar, N.; Li, L.; Lu, S.; Khin, N.C.; Pogson, B.J. Carotenoid metabolism in plants. Mol. Plant 2015, 8, 68–82. [Google Scholar] [CrossRef]
- Zakar, T.; Laczko-Dobos, H.; Toth, T.N.; Gombos, Z. Carotenoids assist in cyanobacterial photosystem II assembly and function. Front. Plant Sci. 2016, 7, 295. [Google Scholar] [CrossRef]
- Dong, L.; Tu, W.; Liu, K.; Sun, R.; Liu, C.; Wang, K.; Yang, C. The PsbS protein plays important roles in photosystem II supercomplex remodeling under elevated light conditions. J. Plant Physiol. 2015, 172, 33–41. [Google Scholar] [CrossRef]
- Fernández-Marín, B.; Neuner, G.; Kuprian, E.; Laza, J.M.; García-Plazaola, J.I.; Verhoeven, A. First evidence of freezing tolerance in a resurrection plant: Insights into molecular mobility and zeaxanthin synthesis in the dark. Physiol. Plant. 2018, 163, 472–489. [Google Scholar] [CrossRef] [PubMed]
- Hao, Q.; Zhang, G.; Zuo, X.; He, Y.; Zeng, H. Cia zeaxanthin biosynthesis, OsZEP and OsVDE regulate striped leaves occurring in response to deep transplanting of rice. Int. J. Mol. Sci. 2022, 23, 8340. [Google Scholar] [CrossRef] [PubMed]
- Shi, Y.; Guo, J.; Zhang, W.; Jin, L.; Liu, P.; Chen, X.; Li, F.; Wei, P.; Li, Z.; Li, W. Cloning of the lycopene β-cyclase gene in Nicotiana tabacum and its overexpression confers salt and drought tolerance. Int. J. Mol. Sci. 2015, 16, 30438–30457. [Google Scholar] [CrossRef] [PubMed]
- Alquezar, B.; Rodrigo, M.J.; Lado, J.; Zacarías, L. A comparative physiological and transcriptional study of carotenoid biosynthesis in white and red grapefruit (Citrus paradisi Macf.). Tree Genet. Genomes 2013, 9, 1257–1269. [Google Scholar] [CrossRef]
- Wu, H.; Shi, N.; An, X.; Liu, C.; Fu, H.; Cao, L.; Feng, Y.; Sun, D.; Zhang, L. Candidate genes for yellow leaf color in common wheat (Triticum aestivum L.) and major related metabolic pathways according to transcriptome profiling. Int. J. Mol. Sci. 2018, 19, 1594. [Google Scholar] [CrossRef]
- Roach, T.; Krieger-Liszkay, A. The role of the PsbS protein in the protection of photosystems I and II against high light in Arabidopsis thaliana. Biochim. Biophys. Acta Bioenerg. 2012, 1817, 2158–2165. [Google Scholar] [CrossRef]
- Zhang, M.; Yang, X. PsbS expression analysis in two ecotypes of Sedum alfredii and the role of SaPsbS in Cd tolerance. Russ. J. Plant Physiol. 2014, 61, 427–433. [Google Scholar] [CrossRef]
- Yang, Y.N.; Le, T.T.L.; Hwang, J.-H.; Zulfugarov, I.S.; Kim, E.-H.; Kim, H.U.; Jeon, J.-S.; Lee, D.-H.; Lee, C.-H. High light acclimation mechanisms deficient in a PsbS-knockout Arabidopsis mutant. Int. J. Mol. Sci. 2022, 23, 2695. [Google Scholar] [CrossRef]
- Štroch, M.; Čajánek, M.; Kalina, J.; Špunda, V. Regulation of the excitation energy utilization in the photosynthetic apparatus of chlorina f2 barley mutant grown under different irradiances. J. Photochem. Photobiol. B Biol. 2004, 75, 41–50. [Google Scholar] [CrossRef]
- Kim, Y.-K.; Lee, J.-Y.; Cho, H.S.; Lee, S.S.; Ha, H.J.; Kim, S.; Choi, D.; Pai, H.-S. Inactivation of organellar glutamyl-and seryl-tRNA synthetases leads to developmental arrest of chloroplasts and mitochondria in higher plants. J. Biol. Chem. 2005, 280, 37098–37106. [Google Scholar] [CrossRef]
- Valencia, W.M.; Pandit, A. Photosystem II subunit S (PsbS): A nano regulator of plant photosynthesis. J. Mol. Biol. 2023, 436, 168407. [Google Scholar]
- Kang, S.; Jeon, S.; Kim, S.; Chang, Y.K.; Kim, Y.C. Development of a pVEC peptide-based ribonucleoprotein (RNP) delivery system for genome editing using CRISPR/Cas9 in Chlamydomonas reinhardtii. Sci. Rep. 2020, 10, 22158. [Google Scholar] [CrossRef] [PubMed]







| Torreya grandis | Chl (a + b) (mg/g FW) | Chl a (mg/g FW) | Chl b (mg/g FW) | Chl a/b (mg/g FW) | Carotenoid (mg/g FW) |
|---|---|---|---|---|---|
| Wild type | 0.42 ± 0.01 a | 0.32 ± 0.02 a | 0.09 ± 0.01 a | 3.47 ± 0.08 a | 0.12 ± 0.00 a |
| Mutant | 016 ± 0.00 b | 0.12 ± 0.01 b | 0.04 ± 0.01 b | 2.82 ± 0.20 b | 0.08 ± 0.01 b |
| Torreya grandis | Fv/Fm | φEo | φRo | φDo | δRo | Ψo |
|---|---|---|---|---|---|---|
| Wild type | 0.84 ± 0.01 a | 0.70 ± 0.02 a | 0.26 ± 0.01 a | 0.16 ± 0.01 b | 0.38 ± 0.01 a | 0.83 ± 0.02 a |
| Mutant | 0.57 ± 0.12 b | 0.36 ± 0.16 b | 0.18 ± 0.03 b | 0.21 ± 0.14 b | 0.27 ± 0.05 b | 0.40 ± 0.06 b |
Disclaimer/Publisher’s Note: The statements, opinions and data contained in all publications are solely those of the individual author(s) and contributor(s) and not of MDPI and/or the editor(s). MDPI and/or the editor(s) disclaim responsibility for any injury to people or property resulting from any ideas, methods, instructions or products referred to in the content. |
© 2024 by the authors. Licensee MDPI, Basel, Switzerland. This article is an open access article distributed under the terms and conditions of the Creative Commons Attribution (CC BY) license (https://creativecommons.org/licenses/by/4.0/).
Share and Cite
Chen, Y.; Wang, L.; Zhang, J.; Chen, Y.; Jin, S. Altered Photoprotective Mechanisms and Pigment Synthesis in Torreya grandis with Leaf Color Mutations: An Integrated Transcriptome and Photosynthesis Analysis. Horticulturae 2024, 10, 1211. https://doi.org/10.3390/horticulturae10111211
Chen Y, Wang L, Zhang J, Chen Y, Jin S. Altered Photoprotective Mechanisms and Pigment Synthesis in Torreya grandis with Leaf Color Mutations: An Integrated Transcriptome and Photosynthesis Analysis. Horticulturae. 2024; 10(11):1211. https://doi.org/10.3390/horticulturae10111211
Chicago/Turabian StyleChen, Yujia, Lei Wang, Jing Zhang, Yilu Chen, and Songheng Jin. 2024. "Altered Photoprotective Mechanisms and Pigment Synthesis in Torreya grandis with Leaf Color Mutations: An Integrated Transcriptome and Photosynthesis Analysis" Horticulturae 10, no. 11: 1211. https://doi.org/10.3390/horticulturae10111211
APA StyleChen, Y., Wang, L., Zhang, J., Chen, Y., & Jin, S. (2024). Altered Photoprotective Mechanisms and Pigment Synthesis in Torreya grandis with Leaf Color Mutations: An Integrated Transcriptome and Photosynthesis Analysis. Horticulturae, 10(11), 1211. https://doi.org/10.3390/horticulturae10111211

