Discovery and Characterization of a Novel Bacteriocin That Strongly Inhibits Staphylococcus aureus
Abstract
1. Introduction
2. Materials and Methods
2.1. Strains
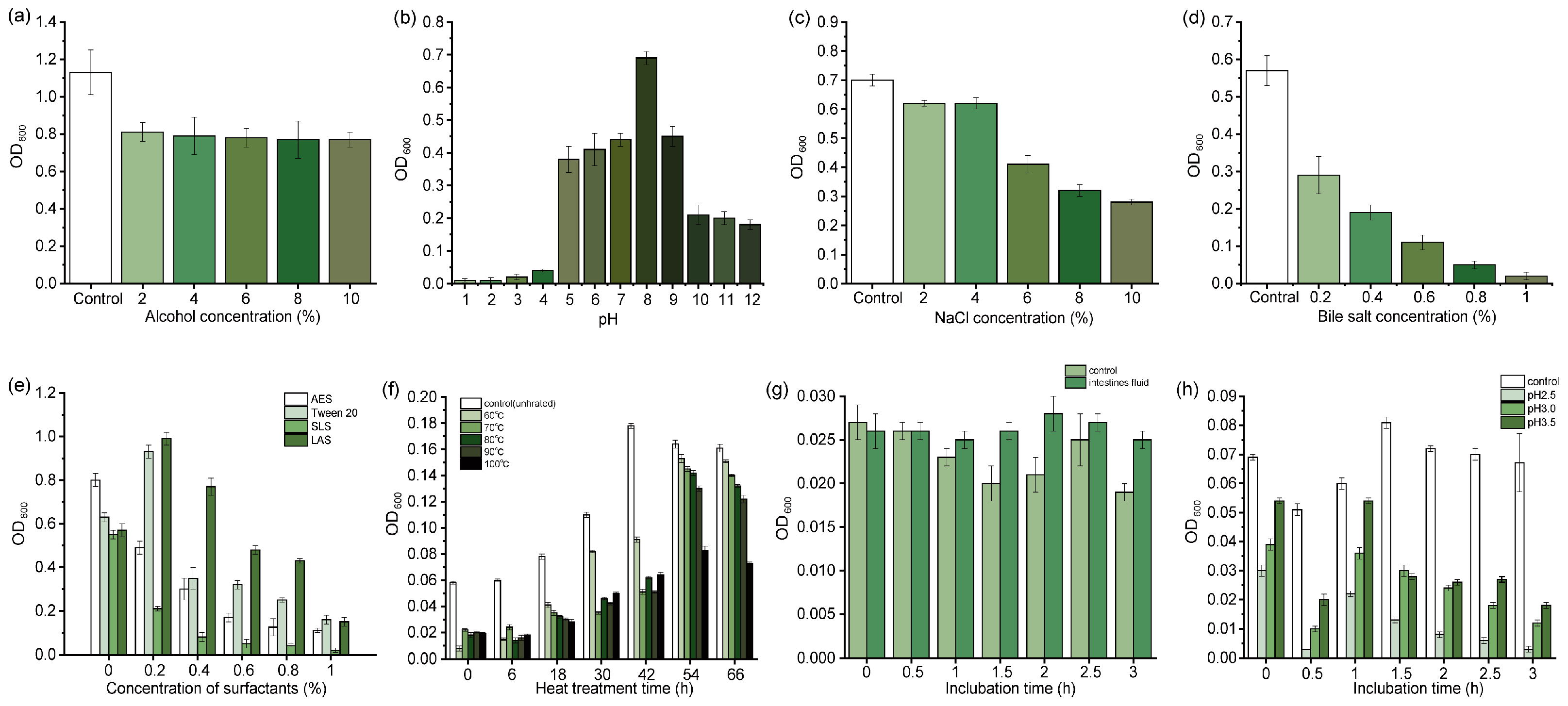
2.2. Stability Analysis
2.2.1. Alcohol
2.2.2. pH
2.2.3. Salt
2.2.4. Pig Bile Salt
2.2.5. Surfactants
2.2.6. High Temperature
2.2.7. Enteric Liquid and Gastric Fluid
2.3. Fermentation Optimization
2.3.1. Screening Method
2.3.2. pH
2.3.3. Inoculum Quantity
2.3.4. Inorganic Salt
2.3.5. Carbon Source
2.3.6. Nitrogen Source
2.4. Stability Analysis of Bacteriostatic Active Ingredients
2.5. Separation and Purification of Bacteriostatic Substances
2.6. Antibacterial Spectrum and Minimum Inhibitory Concentration of the Bacteriocin
2.6.1. Antibacterial Spectrum
2.6.2. Minimum Inhibitory Concentration
2.7. Growth Rate and Sterilization Kinetic Curve
2.8. Propidium Iodide Staining
3. Results and Discussion
3.1. Strain Identification
3.2. Stability Analysis of B. subtilis
3.3. Fermentation Optimization and Stability Analysis of Bacteriostatic Substances
3.4. Identification of Bacteriocin
3.5. Antimicrobial Spectrum and Minimum Inhibitory Concentration of Bacteriocins
3.6. Growth and Killing Kinetics Curves
3.7. Propidium Iodide (PI) Chromatography
4. Conclusions
Supplementary Materials
Author Contributions
Funding
Institutional Review Board Statement
Informed Consent Statement
Data Availability Statement
Conflicts of Interest
References
- Foster, T.J. Immune evasion by staphylococci. Nat. Rev. Microbiol. 2005, 3, 948–958. [Google Scholar] [CrossRef] [PubMed]
- Wardenburg, J.B.; Bae, T.; Otto, M.; Deleo, F.R.; Schneewind, O. Poring over pores: α-hemolysin and Panton-Valentine leukocidin in Staphylococcus aureus pneumonia. Nat. Med. 2007, 13, 1405–1406. [Google Scholar] [CrossRef] [PubMed]
- Gay, F. The risk of multiple sclerosis on the Orkney islands. A review of the search for distinctively Orcadian risks, with a hypothesis for further investigations. Mult. Scler. Relat. Dis. 2024, 82, 105386. [Google Scholar] [CrossRef] [PubMed]
- Musser, J.M.; Schlievert, P.M.; Chow, A.W.; Ewan, P.; Kreiswirth, B.N.; Rosdahl, V.T.; Naidu, A.S.; Witte, W.; Selander, R.K. A single clone of Staphylococcus aureus causes the majority of cases of toxic shock syndrome. Proc. Natl. Acad. Sci. USA 1990, 87, 225–229. [Google Scholar] [CrossRef] [PubMed]
- DeLeo, F.R.; Diep, B.A.; Otto, M. Host defense and pathogenesis in Staphylococcus aureus infections. Infect. Dis. Clin. N. Am. 2009, 23, 17–34. [Google Scholar] [CrossRef]
- Padera, R.F. Infection in ventricular assist devices: The role of biofilm. Cardiovasc. Pathol. 2006, 15, 264–270. [Google Scholar] [CrossRef]
- Arumugam, P.; Kielian, T. Metabolism shapes immune responses to Staphylococcus aureus. J. Innate. Immun. 2023, 16, 12–30. [Google Scholar] [CrossRef]
- Costerton, J.W.; Stewart, P.S.; Greenberg, E.P. Bacterial biofilms: A common cause of persistent infections. Science 1999, 284, 1318–1322. [Google Scholar] [CrossRef]
- Houston, P.; Rowe, S.E.; Pozzi, C.; Waters, E.M.; O’Gara, J.P. Essential Role for the Major Autolysin in the Fibronectin-Binding Protein-Mediated Staphylococcus aureus Biofilm Phenotype. Infect. Immun. 2011, 79, 1153–1165. [Google Scholar] [CrossRef]
- Lynch, J.P.; Zhanel, G.G. Escalation of antimicrobial resistance among MRSA part 1: Focus on global spread. Expert Rev. Anti Infect. Ther. 2023, 21, 99–113. [Google Scholar] [CrossRef]
- Budhwani, Z.; Buragina, J.T.; Lang, J.; Acedo, J.Z. Characterization of the Novel Leaderless Bacteriocin, Bawcin, from Bacillus wiedmannii. Int. J. Mol. Sci. 2023, 24, 16965. [Google Scholar] [CrossRef] [PubMed]
- Acedo, J.Z.; Chiorean, S.; Vederas, J.C.; van Belkum, M.J. The expanding structural variety among bacteriocins from Gram-positive bacteria. FEMS Microbiol. Rev. 2018, 42, 805–828. [Google Scholar] [CrossRef]
- Baindara, P.; Korpole, S.; Grover, V. Bacteriocins: Perspective for the development of novel anticancer drugs. Appl. Microbiol. Biot. 2018, 102, 10393–10408. [Google Scholar] [CrossRef] [PubMed]
- Abriouel, H.; Franz, C.M.; Omar, N.B.; Gálvez, A. Diversity and applications of Bacillus bacteriocins. FEMS Microbiol. Rev. 2011, 35, 201–232. [Google Scholar] [CrossRef]
- Nath, S.; Chowdhury, S.; Dora, K.C. Application of Bacillus sp. as a biopreservative for food preservation. Int. J. Eng. Res. Appl. 2015, 5, 85–95. [Google Scholar]
- Sharma, G.; Dang, S.; Gupta, S.; Gabrani, R. Antibacterial activity, cytotoxicity, and the mechanism of action of bacteriocin from Bacillus subtilis GAS101. Med. Princ. Pract. 2018, 27, 186–192. [Google Scholar] [CrossRef]
- Peng, Z.; He, M.; Yang, X.; Zhang, J. Discovery and Characterization of a Novel Bacteriocin HA2-5 that Strongly Inhibits Propionibacterium acnes. J. Agric. Food Chem. 2023, 71, 12741–12748. [Google Scholar] [CrossRef] [PubMed]
- Caulier, S.; Nannan, C.; Gillis, A.; Licciardi, F.; Bragard, C.; Mahillon, J. Overview of the Antimicrobial Compounds Produced by Members of the Bacillus subtilis Group. Front. Microbiol. 2019, 10, 302. [Google Scholar] [CrossRef]
- Hernández-Aristizábal, I.; Ocampo-Ibáñez, I.D. Antimicrobial Peptides with Antibacterial Activity against Vancomycin-Resistant Staphylococcus aureus Strains: Classification, Structures, and Mechanisms of Action. Int. J. Mol. Sci. 2021, 22, 7927. [Google Scholar] [CrossRef]
- Reddy, K.V.R.; Yedery, R.D.; Aranha, C. Antimicrobial peptides: Premises and promises. Int. J. Antimicrob. Agents 2004, 24, 536–547. [Google Scholar] [CrossRef]
- Li, S.Q.; Wang, Y.J.; Xue, Z.H.; Jia, Y.A.; Li, R.L.; He, C.W.; Chen, H.X. The structure-mechanism relationship and mode of actions of antimicrobial peptides: A review. Trends Food Sci. Technol. 2021, 109, 103–115. [Google Scholar] [CrossRef]
- Zhang, J.H.; Cui, X.; Zhang, M.; Bai, B.Q.; Yang, Y.K.; Fan, S.H. The antibacterial mechanism of perilla rosmarinic acid. Biotech. Appl. Biochem. 2022, 69, 1757–1764. [Google Scholar] [CrossRef] [PubMed]
- Melara, E.G.; Avellaneda, M.C.; Valdivié, M.; García-Hernández, Y.; Aroche, R.; Martínez, Y. Probiotics: Symbiotic Relationship with the Animal Host. Animals 2022, 12, 719. [Google Scholar] [CrossRef] [PubMed]
- Zhao, R.X.; Lu, Y.Q.; Ran, J.J.; Li, G.; Lei, S.; Zhu, Y.; Xu, B.C. Purification and characterization of bacteriocin produced by Lactobacillus rhamnosus zrx01. Food Biosci. 2020, 38, 100754. [Google Scholar] [CrossRef]
- Golneshin, A.; Gor, M.C.; Williamson, N.; Vezina, B.; Van, T.T.H.; May, B.K.; Smith, A.T. Discovery and characterisation of circular bacteriocin plantacyclin B21AG from Lactiplantibacillus plantarum B21. Heliyon 2020, 6, e04715. [Google Scholar] [CrossRef] [PubMed]
- López-Huertas, E.; Rubí-Villegas, J.; Sánchez-Moreno, L.; Nieto, R. Olive Pomace Extract Contains Low Molecular Weight Peptides and Possesses ACE Inhibitory Activity. Int. J. Mol. Sci. 2024, 25, 3962. [Google Scholar] [CrossRef]
- Liu, Y.X.; Li, Z.F.; Lv, Y.J.; Dong, B.; Fan, Z.C. Chlamydomonas reinhardtii expressed multimer of Bacteriocin LS2 potently inhibits the growth of bacteria. Process Biochem. 2020, 95, 139–147. [Google Scholar] [CrossRef]
- Lü, X.; Yi, L.H.; Dang, J.; Dang, Y.; Liu, B.F. Purification of novel bacteriocin produced by Lactobacillus coryniformis MXJ 32 for inhibiting bacterial foodborne pathogens including antibiotic-resistant microorganisms. Food Control 2014, 46, 264–271. [Google Scholar] [CrossRef]






Disclaimer/Publisher’s Note: The statements, opinions and data contained in all publications are solely those of the individual author(s) and contributor(s) and not of MDPI and/or the editor(s). MDPI and/or the editor(s) disclaim responsibility for any injury to people or property resulting from any ideas, methods, instructions or products referred to in the content. |
© 2024 by the authors. Licensee MDPI, Basel, Switzerland. This article is an open access article distributed under the terms and conditions of the Creative Commons Attribution (CC BY) license (https://creativecommons.org/licenses/by/4.0/).
Share and Cite
Song, Y.; Zhou, Y.; Pan, Y. Discovery and Characterization of a Novel Bacteriocin That Strongly Inhibits Staphylococcus aureus. Fermentation 2024, 10, 355. https://doi.org/10.3390/fermentation10070355
Song Y, Zhou Y, Pan Y. Discovery and Characterization of a Novel Bacteriocin That Strongly Inhibits Staphylococcus aureus. Fermentation. 2024; 10(7):355. https://doi.org/10.3390/fermentation10070355
Chicago/Turabian StyleSong, Yang, Yuanzheng Zhou, and Yuanjiang Pan. 2024. "Discovery and Characterization of a Novel Bacteriocin That Strongly Inhibits Staphylococcus aureus" Fermentation 10, no. 7: 355. https://doi.org/10.3390/fermentation10070355
APA StyleSong, Y., Zhou, Y., & Pan, Y. (2024). Discovery and Characterization of a Novel Bacteriocin That Strongly Inhibits Staphylococcus aureus. Fermentation, 10(7), 355. https://doi.org/10.3390/fermentation10070355

