Abstract
Certain microalgae species have gained traction in the biofuel and food/feed sectors due to their ability to accumulate large amounts of intracellular lipids. However, the extraction of lipids from microalgae is hindered by the presence of complex and recalcitrant cell walls that act as a barrier to mass transfer. This paper examines the intricate details of microalgae cell walls of species belonging to three genera—Nannochloropsis, Scenedesmus, and Schizochytrium—known for their high total lipid contents and omega-3 polyunsaturated fatty acid contents, thus having dual potential for both biofuel and food/feed application. An overview of the techniques used to analyse the cell walls, followed by a detailed description of the cell wall architecture of the three genera and the growth conditions that affect the ultrastructure and composition of their cell walls, is presented. Since cell wall disruption is a crucial step in recovering intracellular products from microalgae biomass, different cell-disruption technologies are also reviewed, focusing specifically on approaches that can be applied directly to wet biomass without the need for biomass drying, thus exerting a low-energy footprint. Enzymatic treatment is operated under mild conditions and offers a promising wet route for targeted recovery of intracellular products from microalgae with minimal side reactions and risk of product degradation. The high cost of enzymes can be mitigated by reducing enzyme requirements through the adoption of a minimal design approach that uses the cell wall composition as the basis to direct enzyme choice and dosage. Different enzyme-recycling and immobilisation strategies to reduce enzyme requirements and improve commercial scalability are also reviewed. Finally, the paper provides a summary of the current state-of-the-art in direct biological approaches using algicidal bacteria and fungi to achieve cell disruption. Overall, the paper provides a roadmap for a more efficient cell disruption of microalgae.
1. Introduction
Fossil fuels contribute to global warming and are becoming increasingly less abundant []. Therefore, alternate forms of biofuels are needed to cater to the rising global demand for bioenergy. Lipid-rich microalgae have been recognised as a promising feedstock for biobased products (including biofuels) due to their high areal productivity and ability to capture CO2 for greenhouse gas sequestration. Microalgae can also be cultivated without diverting valuable agricultural resources (e.g., arable land) from food production [].
Omega-3 polyunsaturated fatty acids (ω-3 PUFAs) are critical for human, animal, and fish health as they serve as essential precursors to immune-promoting bioactive molecules, known for their effect in aiding cognitive development and preventing cardiovascular and inflammatory diseases []. Fish oil mainly consists of C20:5 eicosapentaenoic fatty acid (EPA) and C22:6 docosahexaenoic fatty acid (DHA). It is currently the primary source of ω-3 PUFAs in human, animal, and aquaculture diets. Over the past 2 decades, the exponential increase in the global demand for ω-3 PUFAs within the food and feed sectors has expanded the fish oil industry. This, however, has contributed to the depletion of oceanic fish stock and placed an enormous strain on the marine ecosystem. Certain microalgae species are rich in ω-3 PUFAs and can replace fish oil as a more sustainable source of valuable fatty acids.
“Microalgae” is a common term used to name a group of mostly photosynthetic single-celled organisms in the micrometer range found in marine, brackish, freshwater, or soil habitats with diverse temperatures, illumination, pH, carbon concentration, and nutrient levels []. The kingdom Protista is characterized by metabolic diversity, ranging from autotrophic organisms (commonly referred to as microalgae) to fully heterotrophic organisms such as amoebas. Many protists, such as Euglena sp., exhibit dual metabolic strategies, such that they can perform photosynthesis and feed on organic matters.
To survive in such varied environments and protect themselves against predators and adverse environmental conditions, microalgae have developed a diverse array of cell walls []. The variation in layer composition and architecture can have major implications on the disruption propensity of microalgae biomass and extractability of intracellular products, which can in turn affect the selection and complexity of downstream processing methods []. Most microalgal products are intracellular and can only be recovered after being freed from cell wall encapsulation. Microalgae have developed a multilayered and intricate cell wall structure to (a) act as a barrier between the interior of the cell and the outside environment, regulating the transport of materials in and out of the cells, and (b) provide structural support and protection against external stresses, environmental changes, predators, and infections. Moreover, the cell wall in some algal species is known to regulate buoyancy. For example, the enhanced silicification found in the bipartite cell walls of diatoms raises the density and, consequently, the sinking rate of the cell, aiding in cell relocation to habitats with ample nutrients []. Microalgae cell walls are generally composed of carbohydrates, proteins, lipids, carotenoids, tannins, and even lignin [], though significant variations are observed between genera and species. Polysaccharides are primary structural components of most algal cell walls, taking the form of cellulose, chitin-/chitosan-like molecules, hemicelluloses, pectins, fucans, alginates, ulvans, carrageenans, and lichenins []. The cell wall surfaces are also often decorated with functional groups that can serve as adsorption sites. Spain et al. demonstrated that heavy metals can adsorb to microalgal cell walls, helping to treat wastewater [].
The total lipid content of microalgae like Nannochloropsis, Scenedesmus, and Schizochytrium ranges between 37–60, 30–50, and 50–77 wt.% of the dry weight of biomass, respectively [,]. This makes them desirable candidates for biofuel production. Microalgae exhibit considerable biotechnological promise for a range of industries beyond biofuel production, with applications ranging in food, feed, chemical, and personal care, nutraceuticals, and pharmaceutical sectors. A comprehensive understanding of the structure and composition of microalgal cell walls can contribute to a more informed selection of downstream processes for targeted extraction of biochemical components or a more efficient design of a cascading biorefinery approach for the fractionation of the biomass into multiple product streams.
Cell disruption is a critical step in the downstream process, enabling the release of intracellular products for further recovery or purification steps. The selection of cell-disruption methods is based on several factors, including the scale of production, the type of compounds to be extracted, and the structure and toughness of the cell walls. An ideal cell-disruption process should be rapid, efficient, and non-degradative to the target products while having a low energy footprint and cost requirements. To achieve a low energy footprint, it is critical that the selected disruption system can directly process wet biomass, thereby overriding the need for an energy-intensive drying step.
In this paper, the cell walls of microalgae belonging to the lipid-rich genera Nannochloropsis, Scenedesmus, and Schizochytrium are reviewed. The three genera have been selected because of their dual potential in being able to accumulate lipid fractions for both biofuel production (e.g., triacylglycerols) and food/feed/nutraceutical applications (e.g., ω-3 PUFAs). An overview of the techniques used in the isolation and analysis of microalgal cell walls, followed by a detailed review of the cell wall architecture of these species and the growth conditions that affect the ultrastructure and composition of the walls, are presented. The study then reviews different cell-disruption technologies that can be applied for the targeted recovery of intracellular lipids from the biomass, focusing on enzymatic treatment and biological approaches as a novel processing route for wet biomass. The review aims to improve the current understanding of the state-of-the-art cell-wall characterisation, cell-wall architecture, and enzymatic cell disruption for lipid-rich species, paving the way for more efficient cell disruption and commercially viable biorefinery processes.
2. Microalgae Cell Wall
2.1. Cell-Wall Isolation
To study the cell wall of any microalgae, it is important to first isolate the cell wall from the rest of cellular components. This separation involves many steps, as the microalgae cells contain complex organic components. A summary of microalgal cell-wall isolation methods is provided in Table 1.
Table 1.
Summary of microalgae cell-wall isolation methods.
Cell-wall isolation generally begins with the disintegration of the cells. The commonly used methods are mechanical in nature, such as bead milling, ultrasonication, or simple homogenization using a mortar and pestle. In Rashidi and Trindade, dry N. oleoabundans biomass was milled for 1 min at a frequency of 25 s−1 []. Homogenisation of wet biomass paste was carried out using pestle and mortar in the presence of liquid nitrogen by authors Vojvodić et al. in their work []. Scholz et al. conducted experiments using a French press and sucrose gradient centrifugation to isolate cell walls. They used seven passes through the French press at 18,000 lb/in2 pressure for nearly complete cell lysis. Multiple centrifugation cycles at 5000× g were used to separate cell walls from entire cells. The pressed cell walls were then layered onto sucrose gradients of 20, 30, 40, and 60% and centrifuged for 30 to 60 min at 10,000× g. One of the most effective methods for separating molecules is sucrose density gradient ultracentrifugation. Different-sized molecules sediment through the gradient at varying speeds during centrifugation. Larger macromolecules sediment at the bottom of the gradient while lighter ones stay near the top, separating them based on size []. Hence, the pressed walls migrated to the bottom, while shed cell walls and debris remained in the higher strata []. Alternatively, solvents can be used to initially break the cell walls. For example, in Spain and Funk, 80% ethanol was first added to dry microalgal biomass. The samples then underwent heating, cooling, and a 10-min centrifugation at 21,000× g centrifugation, were resuspended in 70% ethanol, and heated twice to 95 °C []. Ethanol and temperature fluctuations cause the cell wall and cell membrane to lose its integrity. It has been demonstrated that ethanol alters the proton motive force and increases metabolite leakage from cells [].
The next steps involve the removal of intracellular components from the walls. The lipids are usually removed using a total lipid extraction method (e.g., Folch method or Bligh and Dyer method), which uses both polar and nonpolar solvents. The polar solvent disrupts the protein-lipid complexes, while the nonpolar solvent dissolves the neutral lipids []. Both the Folch method and Bligh and Dyer method use chloroform and methanol in different ratios for lipid extraction. Rashidi and Trindade removed all intracellular lipids in three cycles of chloroform: methanol (2:1 v/v) incubation, each lasting 30 min at 60 °C with constant shaking at 600 rpm []. In the total lipid extraction performed by Vojvodić et al., they used a 1:1 v/v ratio of chloroform and methanol and incubated the mixture overnight at 4 °C []. Similarly, Spain and Funk also used a 1:1 v/v ratio of chloroform and methanol solvent mixture and incubated the mixture at room temperature for 15 min []. Unlike the previously mentioned studies, which used chloroform/methanol extraction with varying ratios, Scholz et al. treated the pressed cell wall with n-hexane-acetone instead of chloroform and methanol and incubated for 15 min in a sonicating water bath to remove loosely bound proteins, lipids, carotenoids, and other soluble material [].
Removal of starch is the next step in cell-wall isolation. Amylase enzyme or a cocktail of enzymes containing Amylase is generally used to remove starch from cell walls. For example, in Rashidi and Trindade, alpha-amylase was added to the Chlorella sorokiniana cell wall in maleate buffer with a pH of 6.5, and the mixture was then incubated for 24 h at 30 °C []. Vojvodić et al. treated the disintegrated lipid-free cell wall extract with an amylase enzyme in a phosphate buffer (pH 7.2) for 24 h at 30 °C in order to remove starch []. In Spain and Funk, the cell wall material was digested with 0.01% sodium azide, α-amylase, and Amyloglucosidase in a shaker for a duration of 24 h at 37 °C. The pellet was resuspended with 0.1 M potassium phosphate buffer after the samples were centrifuged, and 0.01% sodium azide, α-amylase, and Amyloglucosidase were added per gram. The digestion procedure was repeated three times for complete removal of starch. Once isolated, the cell walls can then be studied for their structure and composition []. In all examples provided, the reactions were carried out at a pH and temperature range of 6.5–7.2 and 30–37 °C, respectively. This is because it is the optimal pH and temperature range for the Amylase enzyme.
2.2. Cell-Wall Characterization
Relevant methods used for studying microalgal cell walls, namely staining and labelling, component analysis, ultrastructure analysis, and spectroscopy, are reviewed in this section. A summary of the analytical methods can be found in Table 2.
Table 2.
Microalgal cell-wall characterisation methods.
2.2.1. Staining and Overall Labelling
Imaging techniques based on labelling are the classic approach to studying cell walls, as they allow for the identification and location of components within the cell wall. Common techniques include staining, immunolabeling, and genetically encoded techniques.
A commonly used dye is calcofluor white (CFW), a nonspecific fluorochrome that binds with cellulose and chitin. The dye has been used to stain Botryococcus braunii cell walls and assess cellulase treatment efficiency []. CFW was also used to study the cell wall of Haematococcus pluvialis, in addition to primuline (Direct Yellow 7) to confirm the presence of algaenan and aniline blue in lactophenol to examine the trilaminar sheath [].
Analogously, CFW labelling of cell walls has allowed for the confirmation of the presence of (1→3, 1→4)-β-glucan in the secondary cell wall of Micrasterias spp., with anti-xyloglucan staining the primary wall []. Polyphosphate in Chlamydomonas reinhardtii cell walls, whose abundance correlated with the cell cycle, was stained using a histidine-tagged exopolyphosphatase (EcPPXc) [].
2.2.2. Chemical Analysis
The majority of methods used to characterise cell-wall components require prior isolation and purification of the cell wall. This is a critical step that needs to be carried out rigorously, as the isolation and purification steps can lead to unintended loss of molecules (e.g., polar lipids, weakly bound proteins). Once the cell walls have been isolated, they are subjected to a solvent-extraction process to remove impurities, followed by a digestion step to recover the target group of molecules.
For example, Scholz et al. were able to identify cellulose, amino acids, and minerals from isolated Nannochloropsis gaditana cell walls. Isolated cell walls were successively extracted with solvents of decreasing polarity to remove lipids, proteins, and organic matter, leaving behind pure cell wall materials that were ready to be digested and compositionally analysed. Cell wall monosaccharides were characterised by digesting the isolated cell wall with enzymes and analysing the resultant supernatant for released sugars using high-performance anion exchange chromatography with pulsed amperometric detection (HPAEC-PAD). Polysaccharide composition (e.g., cellulose) was then inferred based on monosaccharide profiles coupled with staining and microscopy results. Similarly, an amino acid analyser was used to characterise the HCl hydrolysate of the isolated cell walls, and inductively coupled plasma atomic emission spectroscopy (ICP-AES) was applied for elemental quantification of cell walls after HNO3 digestion [].
Similarly, Spain and Funk isolated the cell walls of C. vulgaris, Coelastrella sp., Scendesmus sp., and Haematococcus pluvialis from freeze-dried biomass. After extracting phenolics and degrading starches, the cell-wall isolates were analysed for sugar composition via trimethylsilyl derivatisation and gas chromatography–mass spectrometry (GC–MS) analysis. Bound proteins were analysed using acid hydrolysation, AccQ-Tag derivatisation, and measurement by Liquid Chromatography Electrospray Ionization Tandem Mass Spectrometric (LC/ESI-MS/MS) [].
2.2.3. Ultrastructure Analysis
Microalgae sizes can range from 1–1000 μm (e.g., Ostreococcus spp. and Ceratium spp., respectively), which can pose a challenge particularly when studying the physiological characteristics of the cell wall of smaller species. The ultrastructure of microalgae cell walls is generally studied using different types of electron and atomic force microscopy, using either intact cells or isolated cell walls.
Transmission electron microscopy (TEM) is a technique used to observe cross-sections of fixed samples, providing valuable insights into the layer and structural configurations of cell walls. Early studies on microalgal ultrastructure established the existence of trilaminar structure in Chlorella sp. [] and Arthrospira ptatensis [] cell walls. More recently, this technique was employed to study cell wall modifications in industry-relevant species, such as Nannochloropsis oceanica upon nitrogen starvation [] or Chlorella vulgaris after enzymatic treatment [].
Scanning electron microscopy (SEM) is the method of choice to study the surface of cell walls. SEM was used to examine the intricate nanostructure of diatoms’ silica exoskeleton (frustule), teratologies associated with contamination, and cell wall morphogenesis [,]. Surface analysis using SEM can also provide valuable information regarding disruption method efficiency and the effect of cell disruption on the morphology and intactness of cell walls, such as the use of a lysozyme treatment to remove the outer layer of Chlorella sp. and Nannochloropsis sp. cell walls [].
Atomic force microscopy (AFM) is a non-destructive technique used to measure rheological properties of living structures by measuring interactions between atoms, although its use in the microalgae field is still limited [,]. Nonetheless, AFM has been used in several studies to investigate the properties of microalgae’s surface, such as the roughness and rigidity of the C. vulgaris cell wall when exposed to salinity stress [], cell aggregation in the presence of microplastics [], as well as changes in the fibril layer of cell walls during growth and lysozyme treatment [].
3D electron microscopy (3D-EM) is a powerful technique to study not only the structure of the cell walls but also the interactions among the different organelles, providing a holistic understanding of biological processes. 3D-EM techniques rely on cryo-preservation, electron tomography [], and volume EM [] to overcome key limitations of TEM/SEM, such as nanostructure loss and artifact generation during sample preparation and the limited depth of 2D analysis. Included in this group are techniques such as serial block face imaging SEM (FIB-SEM), Cryo-soft X-ray tomography (Cryo-SXT), cryo-scanning transmission electron tomography (CSTET), phase contrast cryo-transmission electron tomography (PC-CET), and sub-tomogram averaging PC-CET (Subtomo Avg PC-CET). Since recent advances for all these techniques have been reviewed in Varsano & Wolf [], only a brief description of FIB-SEM and Cryo-SXT will be provided in this review. FIB-SEM block face imaging is a technique that employs a beam of ions (e.g., gallium) to remove the top surface of a sample, exposing a new layer, which can then be imaged by SEM []. This process is repeated in an iterative manner, which allows for 3D reconstruction of a posteriori []. This technique has previously been used to generate 3D reconstruction of cells incorporating changes in cell wall architecture due to high-pressure freezing []. Cryo-SXT leverages the different linear absorption coefficients of carbon (proteins) and oxygen (water) to obtain high-resolution (dozen nanometres) and high-contrast images without the need to stain the samples []. Cell walls were expected to influence x-ray absorbance, but a study comparing wild-type and mutant cell wall-less Chlamydomonas reinhardtii strains showed no major impact of cell wall presence on tomogram resolution []. The same authors also reported the effect of the presence of ice in the samples, which can lower tomogram quality and deform the cell wall.
2.2.4. Spectroscopy
The use of spectroscopic analysis, particularly the non-destructive type, for molecular group identification (and thus, chemical composition) in the biological sciences has long been established []. In the particular case of microalgae cell-wall analysis, it allows for the study of cell-wall properties in isolated cell walls or directly in intact cells. The analysis provides qualitative and semiquantitative data, albeit with less detail when compared with chemical analysis.
Fourier–Transform InfraRed (FTIR) spectroscopy uses mid-infrared light absorption to interrogate the vibrational activity of molecular groups (e.g., OH, NH, CH, CH2, and >PO) [,] and generate a unique fingerprint of a compound. When used to analyse a biological sample (e.g., isolated cell walls), the method generates multiple fingerprints, which can be juxtaposed to produce a unique signature of the sample to reflect the specific lipid, protein, carbohydrate, and biopolymer contents of the sample. The signature can be used as the basis to monitor any changes in the chemical composition of the cell walls (e.g., before and after enzymatic treatment). FTIR spectroscopy was fundamental in the identification of algaenan in N. gaditana cell walls []. It was also used to study polysaccharide changes in C. vulgaris, Coelastrella sp., Scenedesmus sp., and H. pluvialis cell walls during growth [].
Raman spectroscopy relies on the scattered light emitted by the biological molecules, each having a spectrum composed of overlapping bands related to specific molecular bonds (e.g., O–H, C=O, N=O, C≡C), to generate a signature spectrum that reflects the composition of a complex biological sample, e.g., isolated cell walls []. The spectrum of experimental samples can then be compared to that of the control sample to detect any changes in chemical composition. Confocal Raman spectroscopy has been used to study changes in the cell- walls of Mougeotia disjuncta during zygospore formation, highlighting the presence of lipids and aromatic compounds []. Similarly, the development of the cell wall was studied in Micrasterias sp., which displayed two strong carbohydrate signals at the cell-wall level in mother cells but not in the developing cells [].
Cryogenic X-ray photoelectron spectroscopy (cryo-XPS), an emerging technique in microalgae cell wall characterisation, as well as fungi and bacteria, can be used to study the surface chemical composition of hydrate samples without the need for prior cell-wall isolation []. This technique has the advantage of being fast and non-destructive, with an analysis depth of a dozen nanometres. Cryo-XPS has been used to study the surface of the whole C. vulgaris and Coelastrella sp. cells [,], as well as the effect of pH changes on cell wall polysaccharides and proteins of freshwater Chlorella sp. and marine N. oculata [].
Nuclear Magnetic Resonance (NMR) is a powerful spectroscopic technique with subatomic resolution, which has been used to analyse biomolecules in many organisms and tissues since the middle of the last century [,]. Solid-state NMR (ssNMR) is an emerging technique in the study of cell walls and extracellular matrices of whole cells and organisms, as it overcomes many of the limitations of traditional solution NMR, such as chemical modification and solubilization of the matrices []. In the microalgae field, ssNMR has been used to characterise the composition of the cell wall, namely glycans in Parachlorella beijerinckii [], the fibril and glycoprotein network in C. reinhardtii, the cellulose scales of Pavlova lutheri, and the rigid cellulose in N. ocultata [].
2.3. Cell-Wall Ultrastructure and Composition
The cell-wall structure and composition of each microalgae genus is unique. The cell-wall features are detailed in this section and summarized in Table 3.
Table 3.
Cell-wall ultrastructure and composition of Nannochloropis, Scenedesmus, and Schizochytrium genus.
2.3.1. Nannochloropsis
Many species of Nannochloropsis sp., part of the Eustigmatophyceae family, are being studied for their ability to produce biofuel-convertible lipids and long-chain PUFAs. For many years, Nannochloropsis species have been employed to make feed additives and nutraceuticals because of their robust growth patterns and high lipid yield.
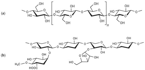
The cell walls of Nannochloropsis are relatively robust and thick (0.06–0.11 nm), conferring the cells with significant resistance to the externally applied cell-disruption step. The structure of the Nannochloropsis cell wall is illustrated in Figure 1 and Figure 2. The walls are composed of two distinct layers, which shield the cells from outside forces and create mass transfer barriers that resist biomolecule extraction. The bi-layered cell wall consists of an internal cellulose layer with algaenan as an exterior layer. Algaenan, an insoluble, non-hydrolyzable biopolymer, is generally attributed for cell-wall hardness and resistance to disruption []. Fourier Transform Infrared Spectroscopy (FTIR) and electron microscopy (EM) reveal that algaenan is made up of straight-chain (C30), highly saturated aliphatic hydrocarbons joined by ether bonds at the terminal and one or two mid-chain positions. Cellulose is a homopolysaccharide of β-1,4-linked glucose units (Figure 3a) forming a long chain of varying lengths that resemble microfibrils when viewed under an electron microscope []. The plasma membrane and the inner cellulose layer of the cell wall are joined by struts []. “Interlayer gap” denotes the electron-sparse space between the cellulose layer and the algaenan layer [].
Figure 1.
Schematic representation of the Nannochloropsis sp. cell wall. Created with BioRender.com.
Figure 2.
Quick-Freeze Deep-Etch Electron Microscopy (QFDE-EM) image of the cell wall of Nannochloropsis. 1,2—Layers of cell wall, ext—extensions, pm—Plasma Membrane, mito—Mitochondria. Extracted from [].

Figure 3.
(a). Structure of Cellulose present in Nannochloropsis and Scenedesmus. Created with BioRender.com. (b). Structure of Hemicellulose present in Scenedesmus. Created with BioRender.com. (c). Structure of Pectin present in Scenedesmus and Schizochytrium [].
Experiments performed by Scholz et al. showed that the cell walls of Nannochloropsis gaditana primarily contain glucose as the dominant monosaccharide, with a significant presence of 1,4-linked glucose confirmed through linkage analysis. These experiments provided concrete evidence of cellulose as the primary constituent of the Nannochloropsis cell wall. Two proteins identified as cellulose synthases, similar to those found in cyanobacteria, and nine proteins that the authors characterize as having strong similarities to plant endoglucanases, were obtained via bioinformatic analysis of the CCMP 1779 (a strain of the N. oceanica) genome. As a proportion of the whole biomass, the cell wall protein content was 6.2 ± 1.7%. According to an amino acid analysis of the cell wall material, the most dominant amino acid was Asparagine/Aspartic Acid with 10.8 ± 0.7% of the total protein, followed by Glutamine/Glutamic Acid at 9.7 ± 0.8% of the total protein. Tryptophan, cysteine, and methionine were not quantitatively recovered [].
2.3.2. Scenedesmus
The order Chlorococcales is home to the genus Scenedesmus. Species of this order can live as solitary cells, but later in their life cycles, they typically form coenobia, which are clusters of four to 16 cells. The structures of the Scenedesmus cell wall are illustrated in Figure 4 and Figure 5. Members of the order Chlorococcales have rigid cell walls because of the presence of algaenans in the trilaminar outer layers of their cell walls. The cell walls also contain cellulose in the inner wall layers. Additional components of these tough cell walls include glycoproteins and biopolymers containing glucosamine []. The cell wall of Scenedesmus microalgae is also known to contain hemicellulose, a complex polymer that is linked with β-(1,4)-glycosidic bonds and contains pentoses and hexoses as the primary sugars. Its branched structure, which is characterised by the attachment of organic acids and saccharide residues to the main sugar chain, prevents the formation of microfibrils (unlike cellulose) and lowers the crystallinity of the wall [,]. This can be seen in Figure 3b. The cell walls form a pectic layer that separates each individual cell within the coenobium. The thickness and structure of this layer are dependent on the culture conditions. The pectic layer’s outer surface is covered in ornaments like bristles, fangs, and spines. The coenobium’s marginal cells are covered in lengthy spines, speculated to be a defence mechanism against grazing zooplankton. These spines and teeth-like structures on the outside of Scenedesmus’s cell wall are embedded in the pectic layer and have been shown to be made of glycoproteins []. Scenedesmus obliquus has a multilayered cell wall that is ultra-structurally similar to Chlamydomonas reinhardtii’s cell wall [].
Figure 4.
Schematic representation of the Scenedesmus sp. cell wall. Created with BioRender.com.
Figure 5.
TEM image of the cell wall of Scenedesmus sp. Extracted from [].
According to the study by Spain and Funk, fewer polysaccharides and more proteins are found at the surface of Scenedesmus sp. compared to other species they investigated. The spines in the outer cell wall layer are made up of glycoproteins. This would explain the significant level of proteins found in the Scenedesmus cell wall’s outer layer. The three main monosaccharides found in Scenedesmus cell walls are glucose, galactose, and mannose, while the five most prevalent amino acids are glycine, glutamic acid, aspartic acid, threonine, and alanine. It has been noted that the cell walls of Scenedesmus sp. and C. reinhardtii share some structural characteristics, both having high glycine contents in their glycoproteins. The monosaccharide composition of the Scenedesmus cell wall varies among species. According to Takeda H, mannose is the main sugar in the wall matrices of S. acutiformis, S. falcatus, S. obliquus, and S. wisconsiensis, while glucose is the predominant sugar in the matrices of S. acuminatus, S. armatus, and S. producto-capitatus []. Scenedesmus obliquus has a significantly lower hydroxyproline content compared to Chlamydomonas reinhardtii [].
2.3.3. Schizochytrium
Schizochytrium sp. is a heterotrophic microalga belonging to the order Thraustochytriales in the phylum Heterokonta. The species is rich in PUFAs, with DHA being the most prevalent. The DHA-rich lipid extracted from Schizochytrium sp. is currently available as a commercial food/feed/nutraceutical ingredient to replace fish oil [].
Literature regarding the makeup of the Schizochytrium cell wall is sparse. The wall is relatively thin and covered mostly in round scales. There are no fibrillar or firm structural elements in the scales. In addition to the wall, Schizochytrium also creates filamentous “rhizoids” known as sagenogenetosomes or bothrosome that develop from invaginations of the cell membrane []. This organelle is known to be involved in cell motility and the search for and attachment to food sources []. The primary components of Schizochytrium sp.’s cell wall are pectin and protein []. Pectins are heterogeneous polysaccharides. Three major structural domains make up pectins: homogalacturonan (Figure 3c), which alternates with two kinds of highly branched rhamnogalacturonan regions known as RG-I and RG-II []. The structure of the Schizochytrium cell wall is illustrated in Figure 6 and Figure 7.
Figure 6.
Schematic representation of the Schizochytrium sp. cell wall. Created with BioRender.com.
Figure 7.
TEM image of the cell wall of Schizochytrium sp. The arrows in the figure indicate overlapping scales. Extracted from [].
In terms of composition, the Schizochytrium cell wall comprises 30–43% protein and 21–36% carbohydrate by dry weight. Studies also suggest that pectin is a component of the Schizochytrium cell wall [], with L-galactose being the primary monosaccharide constituent of the cell wall. Other monosaccharides like glucose, mannose, and xylose are also present. Schizochytrium sp. cell walls have no uronic acids and show a low degree of sulfation. The most prevalent amino acid present in the cell wall of Schizochytrium sp. is glutamic acid, which is followed by aspartic acid and lysine, with minor amounts of taurine and hydroxyproline [,,].
2.4. Changes in Cell Wall Ultrastructure to Growth Environment
Table 4 provides a summary of the effect of growth parameters on cell-wall ultrastructure and composition.
Table 4.
Effect of growth parameters on the ultrastructure and composition of cell walls.
2.4.1. Nitrogen
Nitrogen availability plays an important role in the growth of microalgae, being a critical element in protein and nucleic acid needed for cell division. Research has shown that nitrogen content in the media has a significant impact on cell-wall thickness and composition in a microalgae cell, with nitrogen deprivation found to induce cell-wall thickening. In Halim et al., the thickness of the cellulose layer in the Nannochloropsis cell wall was shown to almost double under nitrogen starvation (from 33.3 ± 5.9 nm to 57.8 ± 9.6 nm). The biomass sugar content concurrently increased from 159.3 to 228.9 mg/g, validating the accumulation of structural polysaccharides []. TEM images of N. salina cells under nitrogen starvation showed that the N-limited cells exhibited a 1.54-fold thicker cell wall than that of N-replete cells due to the apparent swelling of the inner cell layer [].
2.4.2. Salinity
Salinity of growth medium can have a significant impact on cell-wall thickness, with a decrease in salinity generally shown to induce cell-wall thickening. The low-salt treatment conducted by Dong and collaborators showed that the composition of the cell wall changes with salinity. Calcofluor-white was employed to stain Schizochytrium cell walls grown at 20 and 6 g/L of sea salt concentration. The fluorescence intensity of the 6 g/L culture was found to be substantially higher than that of the 20 g/L culture, indicating an enhancement in the concentrations of chitin and cellulose. These findings imply that Schizochytrium adapted to an environment with a low salt concentration by increasing the polysaccharides in its cell walls []. A study conducted by Beacham and collaborators showed that the increased osmotic potential under reduced saline growth circumstances led to a 20% thickening of the cell wall. There was a slight negative impact on lipid productivity due to the shift from 90% salinity to 10% salinity, suggesting that the cells adapted to low salinity by rerouting carbon from lipid synthesis to cell-wall accumulation. Salinity amendment can potentially be used as a growth strategy to reroute carbon from cell-wall production to lipid production for lipid-based biofuel. Growth under reduced salinity can lead to increased cell-wall thickness [].
2.4.3. Growth Phase
Microalgal cells generally develop thicker cell walls as they enter the stationary phase or experience increasing levels of stress. Spain and Funk used TEM imaging to observe changes in cell wall shape and thickness under normal growth conditions in S. abundans. The cell-wall thickness increased in all strains as they transitioned from the exponential growth phase to the stationary growth phase [].
In the study conducted by Hanagata and Dubinsky, Scenedesmus komarekii cells were subjected to both high light intensity and nitrogen limitation. The cell colour changed from green to brown to orange/red as the cultivation progressed. The overall thickness of the cell wall of the orange cells was almost five times that attained in the green cells. The thickness of the inner polysaccharide layer of the cell wall, however, remained identical to that of the green cell. The cell-wall thickening can be attributed to the proliferation of electron-dense granules between the inner and outer cell wall layers [].
2.4.4. Concentration of Carbon Dioxide
Carbon dioxide concentration can also affect the composition of microalgal cell walls. A study conducted by Cheng et al. showed that the cell walls of four different Chlorella species had a higher level of uronic acid when grown in 2% enriched CO2 relative to ambient air. For C. vulgaris, C. variabilis, and C. sorokiniana, the amount of uronic acid significantly increased under 2% CO2-enriched conditions, resulting in an increase in the cell-wall carbohydrate content as a proportion of the cell-wall dry weight [].
3. Cell Wall Disruption
3.1. Cell-Disruption Technology
The selection of cell-disruption methods is based on several factors, such as the scale at which the biomass is processed and the type of compounds to be extracted. Cell-disruption methods can generally be classified under three types—Physical/mechanical, chemical, and biological (mainly enzymatic). The methods can be applied in combination with one another to disrupt the cell walls and extract valuable intracellular compounds. Each method has its own set of advantages and disadvantages (as displayed in Table 5).
Physical/mechanical methods use shear force (high pressure, high temperature, or a combination), electrochemical pulses, or electromagnetic radiation to break the cell walls. Chemical methods generally involve the use of chemicals to indiscriminately degrade the cell wall components, such as acid or alkali. Biological methods are mainly based on the use of enzymatic treatment to selectively target specific components in the cell wall to achieve disruption. Enzymatic treatment can be carried out using a single enzyme or a mixture of enzymes (known as enzyme cocktails) that bind to specific molecules on the cell wall.
3.1.1. Mechanical Methods
Physical or mechanical methods involve the application of force and/or energy on the cells directly to break the cell walls, such as bead-beating, milling, ultrasonication, high-pressure homogenization, spray-drying microwaving, autoclaving, and freezing. These methods are non-specific and may cause the cell wall and other lipid- and protein-storing cell compartments to degrade. As a result, it is difficult to achieve targeted extraction as all soluble intracellular components will be released into the suspension medium immediately upon disruption. A sequential biorefinery procedure that permits selective protein release prior to solvent extraction without adversely influencing biomass composition should be developed in order to extract both proteins and lipids from microalgae [].
3.1.2. Chemical Methods
Chemical methods use chemicals, such as hydroxides, hypochlorites, chaotropes, chelating agents, and detergents, to degrade the components on the cell walls. The active chemical component contaminates the cell solution, requiring an additional recovery step that complicates downstream processes and adds to the overall cost of unit operations. In addition, the chemicals can also be highly corrosive and expensive [].
3.2. Enzymatic Cell Disruption
Enzymatic treatment is one of the most promising approaches to disrupt microalgal cell walls. Enzymes target specific structures in the cell walls to achieve either cell wall disruption or cell permeabilization. Enzymes are biological catalytic proteins (or biocatalysts) with the capacity to lower the activation energy required for a reaction to happen, therefore speeding up the specific reactions needed to produce desired substances []. Enzymes are generally produced by fermentation using fungi or bacteria. These molecules have grown in importance in different types of industries for different reasons, as outlined below [,,].
Chemical industry: enzymes make the process greener by replacing heavy metal catalysts and harmful solvents with greener alternatives [] alongside the high selectivity for a specific enantiomer. Pharmaceutical industry: Enzymes offer a lower environmental impact on the production chain. Food industry: Enzymes provide the possibility to produce food enriched with various substances, such as prebiotics, and to have more efficient processes []. Feed industry: Enzyme mixtures help animals’ digestion and protect them from harmful compounds. Cosmetic industry: Enzymes facilitate the production of natural products with greener processes.
A fundamental aspect that makes enzymes an attractive alternative to conventional mechanical or chemical disruption methods in microalgae is their mild operational conditions. Since enzymes are proteins, the settings required for them to be fully operational (pH, temperature, substrate availability) [] are relatively mild, reducing the risk of product degradation while lowering the total energy cost of the process. Enzymes are also substrate-specific, able to attain disruption by attacking target components/linkages in the cell walls while preserving the rest of the cell walls and intracellular components.
Despite their considerable benefits, enzymes also draw various disadvantages []. The high cost of purified enzymes, relatively low efficiency, strict operational conditions for optimum operation, and long reaction time are some of the major roadblocks in the application of enzymes in microalgal biotechnology [].
Maintaining optimal reaction conditions requires careful control and fine-tuning of process parameters []. A study by Lin et al. discovered that oil yield and DHA yield from microalgae Schizochytrium sp. fell when temperature either rose over 55 °C or dropped below 45 °C. The maximum enzyme activity had a sharp peak at 55 °C. The amount of DHA produced rose with the pH of the enzymatic treatment, peaking at pH 10 and then declining as the pH rose further. With an increase in enzymatic time, DHA yield peaked at 9 h and thereafter declined [,].
Enzymatic approaches to disrupt the microalgal cell wall need to be fine-tuned to achieve high disruption efficiency while keeping the enzyme cost to a minimum [,]. It is already known that disrupting microalgae cell walls using a mixture of enzymes (or enzyme cocktails) rather than a single enzyme can bring about higher disruption efficiency and, consequently, a higher yield of relevant biomolecules [,,,]. The selection of enzymes in the mixture, however, must be carefully considered to ensure that the enzymes do not produce molecules that hinder one another’s catalytic activity, thus decreasing the overall enzymatic efficiency of the mixture [].
The high cost of enzymatic treatment can potentially be mitigated by the adoption of a minimal design approach, where the enzyme types and dosage are carefully optimised so that disruption can be achieved at the lowest possible enzyme requirements. A minimal design approach avoids the addition of excessive/wasteful enzymes by configuring the enzyme cocktails to the specific ultrastructure and composition of the targeted cell walls. For example, enzyme cocktails targeting Chlorella cell walls should contain enzymes that attack N-acetylglucosamine polymers (e.g., Chitinases, Lysozymes), while those aimed at hydrolysing Nannochloropsis walls can be comprised of β(1->4) glucan-degrading enzymes (e.g., Cellulase). A detailed understanding of the cell-wall architecture and the composition of the target species is needed to design a tailored enzyme cocktail, underscoring the importance of cell-wall studies for the development of cost-effective microalgal biorefinery.
Table 5.
Advantages and disadvantages of different cell-disruption methods.
Table 5.
Advantages and disadvantages of different cell-disruption methods.
| Method | Advantages | Disadvantages |
|---|---|---|
| Physical/Mechanical—Bead milling, Autoclave, Microwave, Sonication, Ultrasonication, and High-pressure homogenization |
|
|
| Chemical—Acids, Surfactants, Detergents |
|
|
| Enzymatic (or Indirect Biological approach) |
|
|
3.3. Enzymatic Cell Disruption for Nannochloropsis, Scenedesmus, and Schizochytrium
Studies investigating enzymatic cell disruption of Nannochloropsis, Scenedesmus, and Schizochytrium are reviewed in this section. Table 6 provides a summary of the treatment conditions (i.e., water content, enzyme type, pH, temperature, enzyme dosage, incubation time) and the key results obtained from the studies.
Table 6.
Summary of studies investigating enzymatic cell disruption or enzyme-assisted lipid extraction of Nannochloropsis, Scenedesmus, and Schizochytrium biomass.
The genus Nannochloropsis is composed of six different species (N. oculata, N. oceanica, N. salina, N. gaditana, N. limnetica, and N. granulata) with the common feature of being able to produce high quantities of lipids, above all omega-3 polyunsaturated fatty acids (ω-3 PUFAs) in the form of eicosapentaenoic acid (EPA) []. Furthermore, these species can produce other high-value products, such as essential amino acids, carbohydrates, pigments, and vitamins [,]. These classes of compounds should also be taken under consideration when thinking about the industrial use of Nannochloropsis, as they would increase the value of the biomass through the adoption of a multi-stream biorefinery fractionation process []. Despite their potential, Nannochloropsis sp. has a highly resistant cell wall with the ability to withstand both mechanical and chemical disruption []. Generally, the enzymes used to treat and degrade Nannochloropsis cell walls act on the principal sugar and protein components of the cell walls (i.e., Cellulase, Mannanase, and Lysozyme) [,,].
In Scholz et al., isolated Nannochloropsis cell walls were treated with enzymes (such as Chitinase, Chitosanase, Lysozyme, Lyticase, Protease, Sulfatase, Cellulase, and Cellulase Onozuka R10) at room temperature and pH 7. The two most efficient Cellulase formulations, Cellulase and Cellulase R10 hydrolyzed up to 76% of the mass of the cell wall [], confirming Cellulose as the primary component of the Nannochloropsis sp. cell wall. Gerken et al. was able to identify the components of Nannochloropsis cell walls by assessing its sensitivity to various enzymes. Lysozyme, Chitinase, and Sulfatase were able to permeabilise most cells, indicating the presence of an N-acetylglucosamine-containing polymer in the cell walls of Nannochloropsis sp. [].
A study conducted by Maffei et al. investigated the effect of Cellulase and Mannanase on the cell wall of lyophilized powder of marine Nannochloropsis sp. These enzymes had been selected based on preliminary experiments that showed mannan-type hemicelluloses and cellulose as the primary component of the inner wall of Nannochloropsis sp. cells. In the study, 0.2 g of microalgae biomass was treated with 10 mL of enzyme solution prior to lipid extraction. Lipid yield was found to increase from 40.8% for the control sample to over 73% in the treated sample []. Similarly, in a study by Zuorro et al., the temperature, pH, enzyme dosage, and incubation time for Cellulase and Mannanase enzyme treatment of Nannochloropsis biomass was optimised using response surface methodology and central composite design. Optimal enzyme concentration was found to be 13.8 mg/g biomass for Cellulase and 1.5 mg/g biomass for Mannanase []. Lipid extraction using hexane/isopropanol mixture on the enzyme-treated biomass successfully recovered 90% of available lipids (or 36.6 g lipids/100 g of biomass).
In another study by Zuorro et al., they investigated enzyme-assisted lipid extraction from Nannochloropsis sp. For every 0.2 g of microalgae biomass,10 mL of enzyme solution was used. Treated biomass was then subjected to lipid extraction using a hexane/isopropanol mix. An enzyme cocktail consisting of Cellulase, Endo-1,3(4)-β-glucanase, and Endo-β-1,4-mannanase was shown to have a greater lipid-extraction yield (37.8 g lipids/100 g of biomass) compared to a Cellulase, Endo-1,3(4)-β-glucanase, and Endo-1,4-β-galactanase enzyme mix (34 g lipids/100 g of biomass). The authors demonstrated that successful disintegration of the Nannochloropsis cell wall required the simultaneous presence of different forms of Cellulase and Hemicellulases []. In the study conducted by Blanco-Llamero et al., Nannochloropsis gaditana biomass was treated with three commercially available enzymes—Viscozyme, Celluclast, and Alcalase. For each gram of dried microalgal biomass, 46 mg of a single enzyme or a combination of enzymes was added []. He et al. investigated enzymatic hydrolysis of three species of Nannochloropsis (N. oculata, Nannochloropsis sp., and N. oceanica) for biodiesel production. A mixture of four enzymes—Cellulase, Papain, Hemicellulase, and Pectinase—was applied on N. oculata biomass. The highest lipid yield of 221.4 mg lipids/g of biomass (equivalent to a fatty acid methyl esters recovery of 50.21%) was achieved at an equal ratio of all enzymes and incubation conditions of pH 5.5, 45 °C, 150 rpm [].
Zhao et al. optimised enzymatic pretreatment to weaken the cell wall of Nannochloropsis oceanica using Cellulase, Laccase, Pectinase, Mannanase, and Xylanase enzymes prior to lipid extraction with ethanol. The response surface method was used to develop a predictive model. As described in Table 6, the dose of the enzyme was 21 mg/g of biomass (in powder form). They showed that the enzyme mixture containing Laccase and Cellulase in the ratio of 1:2.5 produced the highest lipid yield (26.9 ± 0.20% of available lipids) []. These findings were further supported in a follow-up study by Zhao et al., which confirmed that a Cellulase (500 U/mL) and Laccase (0.24 U/mL) cocktail at optimal parameters (Table 6) was able to hydrolyse Nannochloropsis biomass and increased lipid yields by 69.31% and EPA content of the extracted lipids by 42.63% []. Gallego et al. studied enzymatic treatment as a means to weaken the cell walls of Nannochloropsis oceanica before pressurized liquid extraction (Table 6). Enzymatic treatment was carried out at 37 °C with an enzyme dosage of 500 μL of Cellulase per g of spray-dried biomass. The process resulted in the recovery of 57.6% of available lipids. The lipid extracts also contained Carotenoid, up to 25.3 ± 0.2 mg Carotenoid/g extract [].
Liang et al. investigated enzyme-assisted extraction of lipids from wet microalgal biomass using Hexane as an extraction solvent. The following enzymes were used to treat the fresh paste (biomass concentration = 18 wt.%) of Scenedesmus dimorphus and Nannochloropsis sp.: Cellulose, Snailase, neutral Protease, alkaline Protease, and Trypsin. Prior to that, the samples were sonicated for 15 min at 600 W. The enzyme concentration, combination, pH, and duration of incubation during enzymatic treatment were optimised to obtain maximum lipid yield. The incubation temperature was set at each enzyme’s optimal temperature. Trypsin and Snailase achieved the highest lipid yield (11.73% of available lipids for Nannochloropsis sp. and 46.81% of available lipids for Scenedesmus dimorphus) at an enzyme dose of 4% (Table 6) [].
In Trivedi et al., five different enzymes (Cellulase, neutral Protease, Lysozyme, Pectinase, and Trypsin) were investigated as a pre-treatment for lipid extraction from wet S. obliquus biomass using a combination of water-immiscible ethyl acetate and chloroform. The enzymatic treatments were compared with surfactant-based cell disruption. S. obliquus slurry at 15% dry biomass concentration was treated enzymatically at the optimum pH of each enzyme (Table 6). A maximum lipid recovery of 75.7% of total lipid was obtained by adding a neutral protease enzyme to S. obliquus slurry at a dosage of 5% (w/w of biomass). The authors ascribed the high lipid yield obtained from S. obliquus when treated with neutral protease to the high protein content in the biochemical makeup of the targeted microalgae cell wall []. Reshma and Arumugam examined the effect of Pectinase and Cellulase on the cell wall of Scenedesmus quadricauda. They selected these enzymes based on the structure of the cell wall of Scenedesmus quadricauda, which is made up triple layers, with the innermost layer being Cellulose and the outermost layer being Pectin. Initially, they optimized the dosage of the enzyme, pH, incubation temperature, and incubation time to increase the lipid yield (Table 6). Incubation time of 14h with 1:5 [Enzyme]:[biomass] ratio attained the highest total reducing sugar yield of 129.82 mg/g biomass using only Pectinase. This yield can be increased to 352.44 mg/g biomass when Cellulase and Pectinase enzyme mixture was used, and the enzymatic treatment was coupled with sonication for 2 min [].
Taher et al. researched enzymatic disruption of Scenedesmus sp. using Lysosyme and Cellulase. The researchers used wet biomass to avoid the expensive drying step. Using enzymatic hydrolysis followed by lipid extraction with hexane or supercritical carbon dioxide, lipid extraction yields of 16.6% and 15.4% of total lipid content using Lysozyme and Cellulase, respectively, were obtained [].
Zhang et al. investigated enzymatic hydrolysis for cell disruption of Scenedesmus sp. biomass. They used Cellulase, Xylanase, and Pectinase for cell disruption. An experimental framework based on central composite design was conducted to investigate the effect of temperature, pH, length of pre-treatment, and amount of enzymes during enzymatic treatment of Scenedesmus sp. biomass on lipid yield with a Chloroform/Methanol mixture. Lipid extraction yields of 13.8 ± 0.4 g/100 g of biomass (equivalent to 86.4% of total available lipids) were achieved under optimum enzymatic treatment conditions outlined in Table 6 [].
Lin et al. studied Schizochytrium sp. cell wall disruption using an alkaline protease enzyme. Studies were conducted to optimize pH value, enzyme dose, enzymatic lysis incubation temperature, and enzymatic lysis duration to increase the lipid and DHA yields by subsequent freeze drying and extraction with Soxhlet. The results demonstrated that lipid yield and DHA yield achieved their maximum levels at 14.52 g/L solvent and 7.12 g/L solvent, respectively, under the following enzymatic treatment conditions: lysis temperature of 55 °C, lysis duration of 9 h, enzyme dosage of 3% of biomass, and pH 8 [].
The study by Hac İsa et al. compared acid treatment, osmotic shock, enzyme applications, and ultrasonication to increase the lipid yield from the spray-dried Schizochytrium biomass. They compared two lipid-extraction methods: Bligh and Dyer and Soxhlet. Biomass treatment with 10% Hemicellulase enzyme mixture coupled with Bligh and Dyer extraction achieved a lipid yield of 21.72 ± 0.74% of total available lipids with a DHA content of 19.25 ± 0.09% in the extract. This pre-treatment and lipid-extraction combination was able to produce the highest lipid yield when compared to other methods [].
Across all of the studies shown in Table 6, enzymatic treatment was carried out on both wet and dry algal biomass. While sun drying can be used as a low-cost method to dry microalgae biomass prior to biorefinery processing (such as enzymatic treatment and lipid extraction), this method is time-consuming, can introduce significant biomass degradation, and relies on uncertain and seasonal weather conditions. Other drying methods (e.g., thermal drying or spray drying) are energy-intensive and can account for up to 89% of the necessary energy input and 70–75% of the total processing cost. The high energy cost associated with biomass drying renders their commercial use in microalgal processing prohibitive, particularly when the target biorefinery end-products are fuels (where achievement of a favourable overall energy balance is paramount) and high-volume, low-value products (e.g., animal feeds and aquaculture feed). Additionally, thermal drying can also inadvertently degrade lipid structure and denature protein []. Future studies on microalgal biomass processing should therefore focus their investigation on wet extraction pathways, where cell disruption is directly applied on wet biomass rather than dried biomass form, in order to emulate industrially relevant conditions. A study by Lardon et al. showed that wet oil extraction (i.e., lipid extraction on wet microalgal biomass) greatly lowered heat and cost requirements [].
Across all studies reviewed in Table 6, higher cell disruption is generally achieved when a combination of enzymes was used instead of a single enzyme, confirming the benefits of using enzyme cocktails with multiple modes of action. Even when a single enzyme was used, it was often accompanied by other mechanical (e.g., sonication) or chemical cell-disruption methods to enhance cellular disintegration and enzyme-substrate contact. Improved lipid yield and EPA content were obtained when Laccase and Cellulase were combined to pretreat N. oceanica compared to pretreatment with individual enzymes. This can likely be attributed to Laccase ability in hydrolysing the outermost algaenan layer, exposing the inner amorphous cellulose layer to Cellulase activity [,].
3.4. Use of Enzymes on Other Microalgal Species
Microalgal cell walls are varied in architecture, both in terms of ultrastructure and composition, with many genera displaying considerable interspecies variation. For example, in Chlamydomonas sp., the cell wall is composed of six distinct layers, some of them made of intricate Cellulose-Pectin complexes while others are made of Hydroxyproline-rich glycoproteins []. Another example is Chlorella sp., whose cell wall can be composed of either a single microfibrillar layer or two separate layers, with an inner microfibrillar layer and an outer trilaminar layer []. The enzyme mixture used to disrupt microalgal cell walls will have to be tailored to the specific ultrastructure and composition of the target microalgae species. Various studies have used alpha-amylase and proteases, as well as Autolysin, Carbohydrases, and Lipases/phospholipases for Chlamydomonas. For Chlorella, the most commonly used enzymes are Amylase, Xylanase and Cellulase, with Chitinases and Lysozyme added to enhance performance [,,]. The major parameters that ensure the success of an enzymatic treatment of the cell wall are the enzyme dosage, incubation time, incubation temperature, and pH of the media. Most of the studies summarized in Section 3.3 have selected optimum pH and temperature of Cellulase (pH 5 and 50–55 °C) for their treatment given that the enzyme was used as the primary component of their mix.
3.5. Recycling and Immobilization
Enzyme recycling and/or immobilisation are often used to reduce the quantity (and thus, the cost) of enzymatic treatment. Enzyme recycling generally consists of recovering the biocatalysts from the different phases generated during biomass processing steps. In order to be recoverable, the enzymes need to be reversibly bound to the substrates and must be stable throughout the entire process []. The easiest enzymes to recover tend to be those which remain soluble in water and have partitioned in the liquid fraction. During enzyme reaction, an equilibrium will be reached where certain amounts of enzymes will bind to the substrate while the rest remains free in the medium. The first strategy of enzyme recycling is based on the sole recovery of the fraction suspended in the medium. In the case of cellulase used to hydrolyze lignocellulose at an industrial scale, the efficiency of the recovered enzymes varies from 48–59% after the first round to 35/40% after up to five rounds of hydrolysis reactions [,,,]. The second strategy of enzyme recycling generally consists of recovering enzymes from the spent biomass. This involves using solvents or reagents to modify environmental conditions (pH and temperature) to facilitate the desorption of enzymes from the spent biomass back into the medium, which can then be recovered together with other soluble enzymes. In the third strategy, fresh substrate (e.g., a new batch of biomass) is added to the spent substrate (e.g., spent biomass) to promote the transfer of the catalysts from the spent substrate to the fresh substrate [,].
Enzyme immobilisation is another industrially relevant method that can be applied to reduce enzyme requirements. Compared to recycling, these techniques are better characterized and consequently, more frequently utilized. Briefly, the enzymes are first physically trapped in a non-reactive matrix (normally made of silica) prior to the reaction, which in turn allows for facile post-reaction separation from the liquid medium or the spent substrates. The enzymes can also be chemically immobilized in the matrix. In this case, immobilization is obtained by making the enzymes react with the stationary phase to form a covalent bond (reversible or irreversible) that traps the proteins. Either way, the goal for both of these alternatives is to trap the enzymes so that they can catalyse the desired reaction without being suspended in the solution and being washed away in further processing steps. Enzyme immobilisation offers several advantages over enzyme recycling. In addition to conferring simpler and, consequently, cheaper downstream processing for enzyme recovery, the process is also more readily transferable to a continuous operation mode, which in turn allows for higher throughput. The main disadvantages of enzyme immobilisation, however, reside in the hydrolytic efficiency of these methods. Since enzymes are immobilized on a solid surface, the total surface available to bind the substrate will be steric, which will hinder reaction and slow down enzyme activity. Moreover, the solid phase used for immobilisation also has to be frequently replenished, adding to the overall cost of the operation [].
Blanco-Llamero et al. investigated carrier-free immobilization of commercial enzymes Viscozyme, Celluclast, and Alcalase for microalgal processing. They suggested a method to catalyze the enzymatic breakdown of the N. gaditana cell wall, which involved combining three enzymes in an enzyme mix. The immobilized enzymes were shown to be 10 times more stable than soluble enzymes. When applied on microalgae biomass as a pre-treatment, immobilized enzymes attained a lipid yield ranging from 27.15% to 33.23% [].
Fu et al. immobilized cellulase onto an electrospun polyacrylonitrile (PAN) nanofibrous membrane and investigated their application for the hydrolysis of C. pyrenoidosa cell walls, which are made up of 45% cellulose. PAN nanofibers’ nitrile groups were made active by amidination and covalent bonding to the amino groups of enzymes. The microalgal cell walls were then hydrolyzed using the immobilized cellulase under ideal circumstances, including temperature, pH, and substrate concentration. The immobilized cellulase exhibited a stable structure and strong activity in the pH range of 4.6 to 6.6 [].
4. Direct Biological Approach for Cell-Wall Disruption
Conventional cell-wall disruption involves the use of mechanical methods (such as ultrasonication and microwaves). They are effective but can be energy-intensive, have limitations regarding scalability, and can often lead to product degradation. Therefore, research on the disruption of microalgae cell walls by biological organisms is crucial for developing efficient and sustainable extraction methods. Biological disruption can be divided into two types: a direct biological approach, whereby microalgal cells are exposed to the lysing organisms, or an indirect approach, where microalgal cells are exposed to enzymes that have been isolated from the enzyme-secreting organisms. The indirect enzymatic approach is more commonly applied, as discussed in Section 3. The direct biological approach can potentially be more effective than the indirect approach as the enzyme-secreting or algicide-secreting organisms naturally adapt to co-existence with microalgae and thus produce enzymes or algicides that are tailored to disrupt the cell walls. The indirect approach, on the other hand, relies on the design and selection of enzyme cocktails based on known cell wall composition (or intelligent guessing, in the case that cell wall composition has not been fully elucidated). The direct approach generally uses either symbiotic bacteria or fungi to disrupt microalgal cell walls (Figure 8). The scope of this section has been expanded to include other microalgae species beyond N., Scenedesmus, and Schizochytrium due to limited literature found on algicidal bacteria and fungi for these genera. Table 7 summarises different studies that have investigated direct biological approaches for microalgal cell disruption.
Figure 8.
Comparison between direct and indirect methods of enzymatic cell-wall disruption.
Table 7.
Summary of studies investigating a direct biological approach for cell disruption.
4.1. Algicidal Bacteria
Microalgal cells are surrounded by a microscale environment named “phycosphere”, a layer enriched in exudates that forms a concentration gradient of dissolved organic material (DOM) []; the phycosphere is also the layer where most associated bacterial cells reside in the culture and interact with microalgal cells []. These symbiotic associations are both complex and dynamic and can range from mutualism to parasitism. For cell-wall destruction, the most interesting aspect is antagonistic interactions in bacteria–algae relationships. There are two terms for the description of these kinds of interactions. The broad term “algicidal” or “pathogenic” refers to interactions that kill algae, while the term “algistatic” more specifically denotes interactions that inhibit algal growth [].
One possible mechanism for cell disruption using live bacteria (such as those in the phycosphere) involves the infection of the microalgal cells through direct physical contact []. Lee et al. described the application of a new predatory bacterium belonging to the Bdellovibrio-and-like-organisms (BALOs) group isolated from N. salina culture. Light and TEM microscopy revealed the presence of multiple bacterial morphologies, including free-swimming and those attached to the host cell surface. The bacteria were inoculated in N. salina culture to induce infection. As the infection progressed, the colour of the algal cells appeared to recede. Eventually, the cellular contents were completely degraded, leaving behind hollow cell walls []. Furusawa et al. identified a bacterium from the sea, Saprospira sp. SS98-5, which was able to destroy diatom cells Chaetoceros ceratosporum upon contact [].
Another possible mechanism for cell disruption using live bacterial cells is through the secretion of enzymes or algicides by bacteria to attack microalgal cell walls []. The bacteria releasing chemicals to adversely affect the growth or structural integrity of microalgal cells are often referred to as algicidal bacteria. The algicidal action often relies on specific microalgal-bacterial interactions for delivery.
The main component of the algicidal activity of Alteromonas FDHY-03 is the enzyme Beta-glucosidase, whose level increased while being co-cultured with dinoflagellate Prorocentrum donghaiense []. Alteromonas was also able to produce algicidal compound Questiomycin A when exposed to Chattonella antiqua cells []. Algal cues appear to play a role in inducing algicidal properties for these bacteria. For instance, the haptophyte algal species Emiliania huxleyi produced dimethyl sulfoniopropionate (DMSP), which triggered algicidal actions by the alpha proteobacterium Sulfitobacter D7 []. The lysing effect of Alteromonas and Pseudoalteromonas species on algae occurs through the extracellular secretion of a complex mixture of agarases, toxins, bacteriolytic substances, and other enzymes []. Yang et al. showed that two different bacterial strains were able to cease the growth of M. aeruginosa and achieve an algicidal effect within a short time frame by damaging the photosynthetic system and lowering the rate of photosynthetic activity [].
Algicidal bacteria can release a wide range of extracellular substances to damage algal cell walls, including lipid peroxidases, proteins, enzymes, bacillamide, amino-peptidase, lipase, glucosaminidase, alkaline phosphatase, and antibiotics []. The bacteria Sagittula stellata showed strong algicidal activity against two microalgal species, Nannochloropsis oculata and Dunaliella salina. The algicidal rate reached 64.7% for N. oculata and 52.4% for D. salina in 6 days. A decrease in chlorophyll-a fluorescence of both algae upon bacteria addition in a co-culture system was observed. The bacterial pre-treatment was found to have a positive impact on the lipid yield of the biomass when subjected to subsequent hexane extraction. The crude lipid yields of N. oculata and D. salina biomass that had been incubated with S. stellata for 6 days increased from 32.9% to 45.7% and from 19.6% to 36.4%, respectively, relative to those obtained from control biomass not previously treated with bacterial addition. These results demonstrated the capacity of algicidal bacteria S. stellata in promoting cell disruption and lipid recovery [].
Deng et al. measured the percentage of cell disruption and lipid extraction of Chlorella when treated with five different algicidal bacteria and their cell-free supernatants. The results demonstrated that both bacteria cells and supernatant can induce cell disruption and lipid release from Chlorella biomass. Supernatant isolated from the bacteria Aeromonas hydrophila achieved the highest percentage of cell disruption and lipid extraction. The extent of cell disruption increased with incubation time [].
Even though algicidal bacteria have commonly been applied in the management of harmful algae bloom in aquatic ecosystems, a scalable application of this technology for sustainable cell disruption in microalgal biorefinery settings still requires significant process development and a deeper understanding of the mechanism that governs algae/bacteria interactions and the effect on algicidal activity on the integrity of target products (e.g., lipids).
4.2. Fungal Enzymes
Fungi is another promising group of organisms with the capacity to exert direct biological cell disruption in microalgae. Fungi are better known as hydrological enzyme producers than bacteria and are being actively studied for microalgae biomass processing. The majority of studies investigating indirect enzymatic approaches for disrupting microalgae cells have used enzymes previously isolated from fungi. Researchers have reported that fungal extracellular enzymes, particularly Cellulase, Amylase, Lipase, and Xylanase, can efficiently dissolve the cellulose and hemicellulose structure present in algal cell walls, allowing for the release of lipids from algal cells [].
Jia et al. reported that all microalgal cells in the cultures of Microcystis aeruginosa, M. flosaquae, Oocystis borgei, and M. aeruginosa were destroyed within 48 h of co-incubation with the fungus strain Trichaptum abietinum []. Aspergillus niger demonstrated excellent catalytic/hydrolase activity on glycosyl and O-glycosyl compounds when used to treat Chlorella sorokiniana and Scenedesmus obliquus biomass [].
A 20% (v/v) dosage of Aspergillus lentulus crude enzyme (AL2) was shown to have a considerable impact on Chroococcus sp. biomass. Within 48 h of incubation at 30 °C, AL2 resulted in nearly 100% cell death of Chroococcus sp. Furthermore, the activity of AL2 led to the solubilisation of up to 44% and 46% of total sugar and COD in the biomass, respectively []. Direct co-incubation of the fungi with microalgae cells, however, was not tested in the study.
The addition of fungus Trametes versicolor broth to a mixed algae biomass (mainly Oocystis sp.) harvested from cultivation in raceway ponds was shown to successfully increase the methane potential of the algal biomass. When subjected to a subsequent digestion step, the fungal-treated biomass produced 74% more biogas than untreated microalgal biomass. On the other hand, the addition of commercial laccase to microalgal biomass only managed to increase the methane yield by 20%, demonstrating that a direct isolate of an enzymatic cocktail from fungus can potentially be more effective in disrupting microalgal biomass compared to a single purified enzyme []. Direct co-incubation of the fungi with microalgal cells, however, was also not tested in the study. Despite these early promises, the application of fungal-based processes for direct biological disruption of microalgal cells is still at an early stage of development, with significant efforts required to elucidate the underlying mechanism of algae/fungi interaction and the associated enzyme production or algicidal activity.
5. Conclusions and Perspectives
This review provides an overview of the microalgae cell walls and approaches used for their characterisation and cell disruption, focusing on three lipid-accumulating genera, namely, Nannochloropsis, Scenedesmus, and Schizochytrium. Enzymatic cell disruption is a gentle and non-degradative process that can be directly applied on wet biomass and finetuned to target specific components in the cell wall, thus potentially achieving cell disruption or permeabilization at low energy and infrastructure costs. Numerous studies undertaken over the past 2 decades have attested to the effectiveness of enzymatic treatment in disrupting/lysing or permeabilizing microalgal cell walls, leading to increased product recovery (such as lipid) when applied as a pre-treatment to solvent extraction. Despite the promising nature of enzymatic treatment in disrupting microalgal cell walls over mechanical and chemical methods, their use for commercial-scale microalgae processing has been hampered by the high cost associated with enzyme purchase. To overcome this limitation, it is imperative to reduce enzyme requirements. This can potentially be achieved through the adoption of a minimal design approach that uses the cell wall composition of the target species as the basis for direct enzyme choice and dosage, enabling maximum cell disruption at minimum enzyme amounts. The design of enzymatic treatment should, therefore, be based on the cell wall ultrastructure and composition of the target species, signifying the need to understand better the cell wall architecture of microalgae and their morphological changes under different growth conditions, particularly those that are conducive for product accumulation. Another method to reduce the process cost is developing an efficient method for recycling and immobilizing enzymes that can be optimized to minimize the enzyme needs; however, this approach necessitates an extra purification step and may unintentionally reduce enzymatic performance over multiple cycles. To avoid using pure enzyme cocktails or recycling enzymes, a direct biological approach can be adopted. Using this approach, microalgal cells are directly contacted with algicidal bacteria or fungi that secrete enzymes to break down cell walls. Implementation of this strategy in a biorefinery setting, however, is still in its infancy and will require significant process optimisation and mechanistic understanding of the interactions between microalgae and the algicidal organisms to progress the process through technology-readiness levels. This study provides guidance for scientists and manufacturers who are considering the use of lipid-rich microalgae for the production of biofuels and food/feed on (a) cell wall structures of lipid-rich microalgal species, (b) the importance of determining an optimal cell-disruption strategy based on target products and cell-wall architecture of the species, and (c) state-of-the-arts in enzymatic cell disruption and direct biological cell disruption for a more ecologically friendly biorefinery process.
Author Contributions
S.S.: Writing—original draft, Writing—review and editing, Data curation. N.S.: Writing—original draft. S.M.E.: Writing—original draft, Writing—review and editing. S.M.: Writing—original draft, Writing—review and editing. R.H.: Writing—review and editing, Visualization, Supervision, Funding acquisition, Project administration. All authors have read and agreed to the published version of the manuscript.
Funding
Sneha Shivakumar, Nicholas Serlini, and Sara Esteves are grateful to the Irish Research Council’s Startin Laureate Scheme (IRCLA/2022/3336) for their financial support. Svitlana Miros would like to acknowledge the Irish Research Council’s Ukrainian Researchers Scheme (URS/2022/3L) for financial support.
Data Availability Statement
No data was used for the research described in the article.
Conflicts of Interest
The authors declare that they have no known competing financial interests or personal relationships that could have appeared to influence the work reported in this paper.
References
- Bermejo, R. The Limits of Fossil Fuels. In Handbook for a Sustainable Economy; Bermejo, R., Ed.; Springer Netherlands: Dordrecht, The Netherlands, 2014; pp. 151–171. [Google Scholar]
- Bhaskar, T.; Pandey, A. Advances in Thermochemical Conversion of Biomass—Introduction; Elsevier: Amsterdam, The Netherlands, 2015; pp. 3–30. [Google Scholar]
- Ruxton, C.H.S.; Reed, S.C.; Simpson, M.J.A.; Millington, K.J. The health benefits of omega-3 polyunsaturated fatty acids: A review of the evidence. J. Hum. Nutr. Diet. 2004, 17, 449–459. [Google Scholar] [CrossRef] [PubMed]
- Singh, J.; Saxena, R.C. Chapter 2—An Introduction to Microalgae: Diversity and Significance. In Handbook of Marine Microalgae; Kim, S.-K., Ed.; Academic Press: Boston, MA, USA, 2015; pp. 11–24. [Google Scholar]
- Gonçalves, C.D.A.; Figueredo, C.C. What we really know about the composition and function of microalgae cell coverings?—An overview. Acta Bot. Bras. 2020, 34, 599–614. [Google Scholar] [CrossRef]
- de Carvalho, J.C.; Magalhães, A.I.; de Melo Pereira, G.V.; Medeiros, A.B.P.; Sydney, E.B.; Rodrigues, C.; Aulestia, D.T.M.; de Souza Vandenberghe, L.P.; Soccol, V.T.; Soccol, C.R. Microalgal biomass pretreatment for integrated processing into biofuels, food, and feed. Bioresour. Technol. 2020, 300, 122719. [Google Scholar] [CrossRef]
- Raven, J.A.; Waite, A.M. The evolution of silicification in diatoms: Inescapable sinking and sinking as escape? New Phytol. 2004, 162, 45–61. [Google Scholar] [CrossRef]
- Borowitzka, M.A. Chapter 3—Biology of Microalgae. In Microalgae in Health and Disease Prevention; Levine, I.A., Fleurence, J., Eds.; Academic Press: Cambridge, MA, USA, 2018; pp. 23–72. [Google Scholar]
- Scholz Matthew, J.; Weiss Taylor, L.; Jinkerson Robert, E.; Jing, J.; Roth, R.; Goodenough, U.; Posewitz Matthew, C.; Gerken Henri, G. Ultrastructure and Composition of the Nannochloropsis gaditana Cell Wall. Eukaryot. Cell 2014, 13, 1450–1464. [Google Scholar] [CrossRef]
- Spain, O.; Plöhn, M.; Funk, C. The cell wall of green microalgae and its role in heavy metal removal. Physiol. Plant. 2021, 173, 526–535. [Google Scholar] [CrossRef]
- Ma, X.-N.; Chen, T.-P.; Yang, B.; Liu, J.; Chen, F. Lipid Production from Nannochloropsis. Mar. Drugs 2016, 14, 61. [Google Scholar] [CrossRef] [PubMed]
- Udayan, A.; Pandey, A.K.; Sirohi, R.; Sreekumar, N.; Sang, B.-I.; Sim, S.J.; Kim, S.H.; Pandey, A. Production of microalgae with high lipid content and their potential as sources of nutraceuticals. Phytochem. Rev. 2023, 22, 833–860. [Google Scholar] [CrossRef] [PubMed]
- Rashidi, B.; Dechesne, A.; Rydahl, M.G.; Jørgensen, B.; Trindade, L.M. Neochloris oleoabundans cell walls have an altered composition when cultivated under different growing conditions. Algal Res. 2019, 40, 101482. [Google Scholar] [CrossRef]
- Vojvodić, S.; Luković, J.D.; Zechmann, B.; Jevtović, M.; Pristov, J.B.; Stanić, M.; Lizzul, A.M.; Pittman, J.K.; Spasojević, I. The effects of ionizing radiation on the structure and antioxidative and metal-binding capacity of the cell wall of microalga Chlorella sorokiniana. Chemosphere 2020, 260, 127553. [Google Scholar] [CrossRef]
- Spain, O.; Funk, C. Detailed Characterization of the Cell Wall Structure and Composition of Nordic Green Microalgae. J. Agric. Food Chem. 2022, 70, 9711–9721. [Google Scholar] [CrossRef] [PubMed]
- Raschke, S.; Guan, J.; Iliakis, G. Application of alkaline sucrose gradient centrifugation in the analysis of DNA replication after DNA damage. Methods Mol. Biol. 2009, 521, 329–342. [Google Scholar] [CrossRef] [PubMed]
- Wu, G.; Lu, F.; Wu, G.; Wu, M. Insights into the physiology, biochemistry, and metabolic pathways of ethanol-resistant marine microalgae in phytoplankton. Algal Res. 2024, 81, 103580. [Google Scholar] [CrossRef]
- Saini, R.K.; Prasad, P.; Shang, X.; Keum, Y.-S. Advances in Lipid Extraction Methods—A Review. Int. J. Mol. Sci. 2021, 22, 13643. [Google Scholar] [CrossRef] [PubMed]
- Zych, M.; Burczyk, J.; Kotowska, M.; Kapuścik, A.; Banaś, A.; Stolarczyk, A.; Termińska-Pabis, K.; Dudek, S.; Klasik, S. Differences in staining of the unicellular algae Chlorococcales as a function of algaenan content. Acta Agron. Hung. 2009, 57, 377–381. [Google Scholar] [CrossRef]
- Berrios, H.; Zapata, M.; Rivas, M. A method for genetic transformation of Botryococcus braunii using a cellulase pretreatment. J. Appl. Phycol. 2016, 28, 201–208. [Google Scholar] [CrossRef]
- Lütz-Meindl, U. Micrasterias as a Model System in Plant Cell Biology. Front. Plant Sci. 2016, 7, 999. [Google Scholar] [CrossRef]
- Fischer, H.; Robl, I.; Sumper, M.; Kröger, N. Targeting and covalent modification of cell wall and membrane proteins heterologously expressed in the diatom Cylindrotheca fusiformis (bacillariophyceae). J. Phycol. 1999, 35, 113–120. [Google Scholar] [CrossRef]
- Tesson, B.; Lerch, S.J.; Hildebrand, M. Characterization of a new protein family associated with the silica deposition vesicle membrane enables genetic manipulation of diatom silica. Sci. Rep. 2017, 7, 13457. [Google Scholar] [CrossRef]
- Bernaerts, T.M.M.; Gheysen, L.; Kyomugasho, C.; Jamsazzadeh Kermani, Z.; Vandionant, S.; Foubert, I.; Hendrickx, M.E.; Van Loey, A.M. Comparison of microalgal biomasses as functional food ingredients: Focus on the composition of cell wall related polysaccharides. Algal Res. 2018, 32, 150–161. [Google Scholar] [CrossRef]
- Blokker, P.; Schouten, S.; van den Ende, H.; De Leeuw, J.W.; Sinninghe Damsté, J.S. Cell wall-specific ω-hydroxy fatty acids in some freshwater green microalgae. Phytochemistry 1998, 49, 691–695. [Google Scholar] [CrossRef]
- Poulsen, N.; Hennig, H.; Geyer, V.F.; Diez, S.; Wetherbee, R.; Fitz-Gibbon, S.; Pellegrini, M.; Kröger, N. On the role of cell surface associated, mucin-like glycoproteins in the pennate diatom Craspedostauros australis (Bacillariophyceae). J. Phycol. 2023, 59, 54–69. [Google Scholar] [CrossRef]
- Tatli, M.; Ishihara, M.; Heiss, C.; Browne, D.R.; Dangott, L.J.; Vitha, S.; Azadi, P.; Devarenne, T.P. Polysaccharide associated protein (PSAP) from the green microalga Botryococcus braunii is a unique extracellular matrix hydroxyproline-rich glycoprotein. Algal Res. 2018, 29, 92–103. [Google Scholar] [CrossRef]
- Gerken, H.G.; Donohoe, B.; Knoshaug, E.P. Enzymatic cell wall degradation of Chlorella vulgaris and other microalgae for biofuels production. Planta 2013, 237, 239–253. [Google Scholar] [CrossRef] [PubMed]
- Roncaglia, B.; Papini, A.; Chini Zittelli, G.; Rodolfi, L.; Tredici, M.R. Cell wall and organelle modifications during nitrogen starvation in Nannochloropsis oceanica F&M-M24. J. Appl. Phycol. 2021, 33, 2069–2080. [Google Scholar] [CrossRef]
- Lavoie, I.; Hamilton, P.B.; Morin, S.; Kim Tiam, S.; Kahlert, M.; Gonçalves, S.; Falasco, E.; Fortin, C.; Gontero, B.; Heudre, D.; et al. Diatom teratologies as biomarkers of contamination: Are all deformities ecologically meaningful? Ecol. Indic. 2017, 82, 539–550. [Google Scholar] [CrossRef]
- Demir-Yilmaz, I.; Schiavone, M.; Esvan, J.; Guiraud, P.; Formosa-Dague, C. Combining AFM, XPS and chemical hydrolysis to understand the complexity and dynamics of C. vulgaris cell wall composition and architecture. Algal Res. 2023, 72, 103102. [Google Scholar] [CrossRef]
- Duval, J.F.L.; Razafitianamaharavo, A.; Bihannic, I.; Offroy, M.; Lesniewska, N.; Sohm, B.; Le Cordier, H.; Mustin, C.; Pagnout, C.; Beaussart, A. New insights into the effects of growth phase and enzymatic treatment on the cell-wall properties of Chlorella vulgaris microalgae. Algal Res. 2023, 69, 102955. [Google Scholar] [CrossRef]
- Feng, L.; Guo, W.; Guo, J.; Zhang, X.; Zou, X.; Rao, M.; Ye, J.; Kuang, C.; Chen, G.; Chen, C.; et al. FIB-SEM analysis on three-dimensional structures of growing organelles in wild Chlorella pyrenoidosa cells. Protoplasma 2023, 260, 885–897. [Google Scholar] [CrossRef]
- Dang, Z.; Tao, X.-Y.; Guan, Y.; Wu, Z.; Xiong, Y.; Liu, G.; Tian, Y.; Tian, L.-J. Direct Visualization and Restoration of Metallic Ion-Induced Subcellular Ultrastructural Remodeling. ACS Nano 2023, 17, 9069–9081. [Google Scholar] [CrossRef]
- He, X.; Dai, J.; Wu, Q. Identification of Sporopollenin as the Outer Layer of Cell Wall in Microalga Chlorella protothecoides. Front. Microbiol. 2016, 7, 1047. [Google Scholar] [CrossRef]
- Zhang, C.; Tang, X.; Yang, X. Overcoming the cell wall recalcitrance of heterotrophic Chlorella to promote the efficiency of lipid extraction. J. Clean. Prod. 2018, 198, 1224–1231. [Google Scholar] [CrossRef]
- Permann, C.; Herburger, K.; Niedermeier, M.; Felhofer, M.; Gierlinger, N.; Holzinger, A. Cell wall characteristics during sexual reproduction of Mougeotia sp. (Zygnematophyceae) revealed by electron microscopy, glycan microarrays and RAMAN spectroscopy. Protoplasma 2021, 258, 1261–1275. [Google Scholar] [CrossRef]
- Felhofer, M.; Mayr, K.; Lütz-Meindl, U.; Gierlinger, N. Raman imaging of Micrasterias: New insights into shape formation. Protoplasma 2021, 258, 1323–1334. [Google Scholar] [CrossRef] [PubMed]
- Shchukarev, A.; Gojkovic, Z.; Funk, C.; Ramstedt, M. Cryo-XPS analysis reveals surface composition of microalgae. Appl. Surf. Sci. 2020, 526, 146538. [Google Scholar] [CrossRef]
- Yuan, H.; Zhang, X.; Jiang, Z.; Wang, X.; Chen, X.; Cao, L.; Zhang, X. Analyzing the effect of pH on microalgae adhesion by identifying the dominant interaction between cell and surface. Colloids Surf. B Biointerfaces 2019, 177, 479–486. [Google Scholar] [CrossRef]
- Poulhazan, A.; Dickwella Widanage, M.C.; Muszyński, A.; Arnold, A.A.; Warschawski, D.E.; Azadi, P.; Marcotte, I.; Wang, T. Identification and Quantification of Glycans in Whole Cells: Architecture of Microalgal Polysaccharides Described by Solid-State Nuclear Magnetic Resonance. J. Am. Chem. Soc. 2021, 143, 19374–19388. [Google Scholar] [CrossRef]
- Arnold, A.A.; Genard, B.; Zito, F.; Tremblay, R.; Warschawski, D.E.; Marcotte, I. Identification of lipid and saccharide constituents of whole microalgal cells by 13C solid-state NMR. Biochim. Biophys. Acta (BBA)-Biomembr. 2015, 1848, 369–377. [Google Scholar] [CrossRef]
- Hagen, C.; Siegmund, S.; Braune, W. Ultrastructural and chemical changes in the cell wall of Haematococcus pluvialis (Volvocales, Chlorophyta) during aplanospore formation. Eur. J. Phycol. 2002, 37, 217–226. [Google Scholar] [CrossRef]
- Allard, B.; Rager, M.-N.; Templier, J. Occurrence of high molecular weight lipids (C80+) in the trilaminar outer cell walls of some freshwater microalgae. A reappraisal of algaenan structure. Org. Geochem. 2002, 33, 789–801. [Google Scholar] [CrossRef]
- Lee, J. Electron microscopic studies on the ultrastructure of pyrenoid and cell wall in Chlorella cells. Kor. J. Microbiol 1966, 4, 1–13. [Google Scholar]
- Hedenskog, G.; Hofsten, A.V. The Ultrastructure of Spirulina platensis—A New Source of Microbial Protein. Physiol. Plant. 1970, 23, 209–216. [Google Scholar] [CrossRef]
- Schmid, A.M.M.; Schulz, D. Wall morphogenesis in diatoms: Deposition of silica by cytoplasmic vesicles. Protoplasma 1979, 100, 267–288. [Google Scholar] [CrossRef]
- Binnig, G.; Quate, C.F.; Gerber, C. Atomic Force Microscope. Phys. Rev. Lett. 1986, 56, 930–933. [Google Scholar] [CrossRef] [PubMed]
- Mišić Radić, T.; Vukosav, P.; Čačković, A.; Dulebo, A. Insights into the Morphology and Surface Properties of Microalgae at the Nanoscale by Atomic Force Microscopy (AFM): A Review. Water 2023, 15, 1983. [Google Scholar] [CrossRef]
- Demir-Yilmaz, I.; Yakovenko, N.; Roux, C.; Guiraud, P.; Collin, F.; Coudret, C.; ter Halle, A.; Formosa-Dague, C. The role of microplastics in microalgae cells aggregation: A study at the molecular scale using atomic force microscopy. Sci. Total Environ. 2022, 832, 155036. [Google Scholar] [CrossRef]
- Elbaum, M. Expanding horizons of cryo-tomography to larger volumes. Curr. Opin. Microbiol. 2018, 43, 155–161. [Google Scholar] [CrossRef]
- Peddie, C.J.; Collinson, L.M. Exploring the third dimension: Volume electron microscopy comes of age. Micron 2014, 61, 9–19. [Google Scholar] [CrossRef]
- Varsano, N.; Wolf, S.G. Electron microscopy of cellular ultrastructure in three dimensions. Curr. Opin. Struct. Biol. 2022, 76, 102444. [Google Scholar] [CrossRef]
- Knott, G.; Marchman, H.; Wall, D.; Lich, B. Serial Section Scanning Electron Microscopy of Adult Brain Tissue Using Focused Ion Beam Milling. J. Neurosci. 2008, 28, 2959–2964. [Google Scholar] [CrossRef]
- Xu, C.S.; Hayworth, K.J.; Lu, Z.; Grob, P.; Hassan, A.M.; García-Cerdán, J.G.; Niyogi, K.K.; Nogales, E.; Weinberg, R.J.; Hess, H.F. Enhanced FIB-SEM systems for large-volume 3D imaging. eLife 2017, 6, e25916. [Google Scholar] [CrossRef] [PubMed]
- Guo, W.; Feng, L.; Wang, Z.; Guo, J.; Park, D.; Carroll, B.L.; Zhang, X.; Liu, J.; Cheng, J. In-situ high-resolution 3D imaging combined with proteomics and metabolomics reveals enlargement of subcellular architecture and enhancement of photosynthesis pathways in nuclear-irradiated Chlorella pyrenoidosa. Chem. Eng. J. 2022, 430, 133037. [Google Scholar] [CrossRef]
- Kirz, J.; Jacobsen, C.; Howells, M. Soft X-ray microscopes and their biological applications. Q. Rev. Biophys. 1995, 28, 33–130. [Google Scholar] [CrossRef] [PubMed]
- Hummel, E.; Guttmann, P.; Werner, S.; Tarek, B.; Schneider, G.; Kunz, M.; Frangakis, A.S.; Westermann, B. 3D Ultrastructural Organization of Whole Chlamydomonas reinhardtii Cells Studied by Nanoscale Soft X-Ray Tomography. PLoS ONE 2012, 7, e53293. [Google Scholar] [CrossRef] [PubMed]
- Tumerman, L.A. Applications of spectroscopy in biology and biochemistry. Sov. Phys. Uspekhi 1959, 2, 407. [Google Scholar] [CrossRef]
- Mantsch, H.H.; Chapman, D. Infrared Spectroscopy of Biomolecules; Wiley-Liss: Hoboken, NJ, USA, 1996. [Google Scholar]
- Stuart, B.H. Infrared Spectroscopy: Fundamentals and Applications; John Wiley & Sons: Hoboken, NJ, USA, 2004. [Google Scholar]
- Pezzotti, G. Raman spectroscopy in cell biology and microbiology. J. Raman Spectrosc. 2021, 52, 2348–2443. [Google Scholar] [CrossRef]
- Shchukarev, A.; Backman, E.; Watts, S.; Salentinig, S.; Urban, C.F.; Ramstedt, M. Applying Cryo-X-ray Photoelectron Spectroscopy to Study the Surface Chemical Composition of Fungi and Viruses. Front. Chem. 2021, 9, 666853. [Google Scholar] [CrossRef] [PubMed]
- Gojkovic, Z.; Shchukarev, A.; Ramstedt, M.; Funk, C. Cryogenic X-ray photoelectron spectroscopy determines surface composition of algal cells and gives insights into their spontaneous sedimentation. Algal Res. 2020, 47, 101836. [Google Scholar] [CrossRef]
- Eakin, R.T.; Morgan, L.O.; Gregg, C.T.; Matwiyoff, N.A. Carbon-13 nuclear magnetic resonance spectroscopy of living cells and their metabolism of a specifically labeled 13C substrate. FEBS Lett. 1972, 28, 259–264. [Google Scholar] [CrossRef]
- Odeblad, E.; Lindström, G. Some preliminary observations on the proton magnetic resonance in biologic samples. Acta Radiol. 2008, 49, 57–61. [Google Scholar] [CrossRef]
- Ghassemi, N.; Poulhazan, A.; Deligey, F.; Mentink-Vigier, F.; Marcotte, I.; Wang, T. Solid-State NMR Investigations of Extracellular Matrixes and Cell Walls of Algae, Bacteria, Fungi, and Plants. Chem. Rev. 2022, 122, 10036–10086. [Google Scholar] [CrossRef] [PubMed]
- Zhang, R.; Parniakov, O.; Grimi, N.; Lebovka, N.; Marchal, L.; Vorobiev, E. Emerging techniques for cell disruption and extraction of valuable bio-molecules of microalgae Nannochloropsis sp. Bioprocess Biosyst. Eng. 2019, 42, 173–186. [Google Scholar] [CrossRef] [PubMed]
- Lee, S.Y.; Cho, J.M.; Chang, Y.K.; Oh, Y.-K. Cell disruption and lipid extraction for microalgal biorefineries: A review. Bioresour. Technol. 2017, 244, 1317–1328. [Google Scholar] [CrossRef] [PubMed]
- Takeda, H. Cell wall sugars of some Scenedesmus species. Phytochemistry 1996, 42, 673–675. [Google Scholar] [CrossRef]
- Darley, W.M.; Porter, D.; Fuller, M.S. Cell wall composition and synthesis via Golgi-directed scale formation in the marine eucaryote, Schizochytrium aggregatum, with a note on Thraustochytrium sp. Arch. Für Mikrobiol. 1973, 90, 89–106. [Google Scholar] [CrossRef]
- Collier, J.L.; Rest, J.S. Swimming, gliding, and rolling toward the mainstream: Cell biology of marine protists. Mol. Biol. Cell 2019, 30, 1245–1248. [Google Scholar] [CrossRef]
- Hanley, S.J.; Revol, J.-F.; Godbout, L.; Gray, D.G. Atomic force microscopy and transmission electron microscopy of cellulose from Micrasterias denticulata; evidence for a chiral helical microfibril twist. Cellulose 1997, 4, 209–220. [Google Scholar] [CrossRef]
- Halim, R.; Harun, R.; Danquah, M.K.; Webley, P.A. Microalgal cell disruption for biofuel development. Appl. Energy 2012, 91, 116–121. [Google Scholar] [CrossRef]
- Ali, S.A.; El-Regal, N.S.; Saeed, S.M. Antischistosomal Activity of Two Active Constituents Isolated from the Leaves of Egyptian Medicinal Plants. Infect. Dis. Res. Treat. 2015, 8, IDRT-S24342. [Google Scholar] [CrossRef]
- Voigt, J.; Stolarczyk, A.; Zych, M.; Malec, P.; Burczyk, J. The cell-wall glycoproteins of the green alga Scenedesmus obliquus. The predominant cell-wall polypeptide of Scenedesmus obliquus is related to the cell-wall glycoprotein gp3 of Chlamydomonas reinhardtii. Plant Sci. 2014, 215–216, 39–47. [Google Scholar] [CrossRef]
- Mahdy, A.; Mendez, L.; Tomás-Pejó, E.; del Mar Morales, M.; Ballesteros, M.; González-Fernández, C. Influence of enzymatic hydrolysis on the biochemical methane potential of Chlorella vulgaris and Scenedesmus sp. J. Chem. Technol. Biotechnol. 2016, 91, 1299–1305. [Google Scholar] [CrossRef]
- Miazek, K.; Remacle, C.; Richel, A.; Goffin, D. Effect of Lignocellulose Related Compounds on Microalgae Growth and Product Biosynthesis: A Review. Energies 2014, 7, 4446–4481. [Google Scholar] [CrossRef]
- Hammond, B.G.; Mayhew, D.A.; Naylor, M.W.; Ruecker, F.A.; Mast, R.W.; Sander, W.J. Safety Assessment of DHA-Rich Microalgae from Schizochytrium sp.: I. Subchronic Rat Feeding Study. Regul. Toxicol. Pharmacol. 2001, 33, 192–204. [Google Scholar] [CrossRef] [PubMed]
- Lin, Y.; Xie, X.; Yuan, B.; Fu, J.; Liu, L.; Tian, H.; Chen, T.; He, D. Optimization of Enzymatic Cell Disruption for Improving Lipid Extraction from Schizochytrium sp. through Response Surface Methodology. J. Oleo Sci. 2018, 67, 215–224. [Google Scholar] [CrossRef] [PubMed]
- Lara-Espinoza, C.; Carvajal-Millán, E.; Balandrán-Quintana, R.; López-Franco, Y.; Rascón-Chu, A. Pectin and Pectin-Based Composite Materials: Beyond Food Texture. Molecules 2018, 23, 942. [Google Scholar] [CrossRef] [PubMed]
- Ramos-Vega, A.; Rosales-Mendoza, S.; Bañuelos-Hernández, B.; Angulo, C. Prospects on the Use of Schizochytrium sp. to Develop Oral Vaccines. Front. Microbiol. 2018, 9, 2506. [Google Scholar] [CrossRef]
- Jeong, S.W.; Nam, S.W.; HwangBo, K.; Jeong, W.J.; Jeong, B.-r.; Chang, Y.K.; Park, Y.-I. Transcriptional Regulation of Cellulose Biosynthesis during the Early Phase of Nitrogen Deprivation in Nannochloropsis salina. Sci. Rep. 2017, 7, 5264. [Google Scholar] [CrossRef]
- Dong, L.; Wang, F.; Chen, L.; Zhang, W. Metabolomic analysis reveals the responses of docosahexaenoic-acid-producing Schizochytrium under hyposalinity conditions. Algal Res. 2023, 70, 102987. [Google Scholar] [CrossRef]
- Hanagata, N.; Dubinsky, Z. Secondary carotenoid accumulation in Scenedesmus komarekii (chlorophyceae, chlorophyta). J. Phycol. 1999, 35, 960–966. [Google Scholar] [CrossRef]
- Cheng, Y.S.; Labavitch, J.M.; VanderGheynst, J.S. Elevated CO2 concentration impacts cell wall polysaccharide composition of green microalgae of the genus Chlorella. Lett. Appl. Microbiol. 2015, 60, 1–7. [Google Scholar] [CrossRef]
- Halim, R.; Hill, D.R.A.; Hanssen, E.; Webley, P.A.; Martin, G.J.O. Thermally coupled dark-anoxia incubation: A platform technology to induce auto-fermentation and thus cell-wall thinning in both nitrogen-replete and nitrogen-deplete Nannochloropsis slurries. Bioresour. Technol. 2019, 290, 121769. [Google Scholar] [CrossRef] [PubMed]
- Beacham, T.A.; Bradley, C.; White, D.A.; Bond, P.; Ali, S.T. Lipid productivity and cell wall ultrastructure of six strains of Nannochloropsis: Implications for biofuel production and downstream processing. Algal Res. 2014, 6, 64–69. [Google Scholar] [CrossRef]
- Sierra, L.S.; Dixon, C.K.; Wilken, L.R. Enzymatic cell disruption of the microalgae Chlamydomonas reinhardtii for lipid and protein extraction. Algal Res. 2017, 25, 149–159. [Google Scholar] [CrossRef]
- Wang, M.; Chen, S.; Zhou, W.; Yuan, W.; Wang, D. Algal cell lysis by bacteria: A review and comparison to conventional methods. Algal Res. 2020, 46, 101794. [Google Scholar] [CrossRef]
- Rigoldi, F.; Donini, S.; Redaelli, A.; Parisini, E.; Gautieri, A. Review: Engineering of thermostable enzymes for industrial applications. APL Bioeng. 2018, 2, 011501. [Google Scholar] [CrossRef] [PubMed]
- Choi, J.-M.; Han, S.-S.; Kim, H.-S. Industrial applications of enzyme biocatalysis: Current status and future aspects. Biotechnol. Adv. 2015, 33, 1443–1454. [Google Scholar] [CrossRef]
- Jemli, S.; Ayadi-Zouari, D.; Hlima, H.B.; Bejar, S. Biocatalysts: Application and engineering for industrial purposes. Crit. Rev. Biotechnol. 2016, 36, 246–258. [Google Scholar] [CrossRef] [PubMed]
- Molina-Espeja, P.; Sanz-Aparicio, J.; Golyshin, P.N.; Robles-Martín, A.; Guallar, V.; Beltrametti, F.; Müller, M.; Yakimov, M.M.; Modregger, J.; van Logchem, M.; et al. Enzymes for consumer products to achieve climate neutrality. Oxf. Open Clim. Chang. 2023, 3, kgad003. [Google Scholar] [CrossRef]
- Raveendran, S.; Parameswaran, B.; Ummalyma, S.B.; Abraham, A.; Mathew, A.K.; Madhavan, A.; Rebello, S.; Pandey, A. Applications of Microbial Enzymes in Food Industry. Food Technol. Biotechnol. 2018, 56, 16–30. [Google Scholar] [CrossRef]
- Zuorro, A.; Maffei, G.; Lavecchia, R. Optimization of enzyme-assisted lipid extraction from Nannochloropsis microalgae. J. Taiwan Inst. Chem. Eng. 2016, 67, 106–114. [Google Scholar] [CrossRef]
- Liu, G.; Zhang, J.; Bao, J. Cost evaluation of cellulase enzyme for industrial-scale cellulosic ethanol production based on rigorous Aspen Plus modeling. Bioprocess Biosyst. Eng. 2016, 39, 133–140. [Google Scholar] [CrossRef] [PubMed]
- Sati, H.; Mitra, M.; Mishra, S.; Baredar, P. Microalgal lipid extraction strategies for biodiesel production: A review. Algal Res. 2019, 38, 101413. [Google Scholar] [CrossRef]
- Singh, R.K.; Tiwari, M.K.; Singh, R.; Lee, J.-K. From Protein Engineering to Immobilization: Promising Strategies for the Upgrade of Industrial Enzymes. Int. J. Mol. Sci. 2013, 14, 1232–1277. [Google Scholar] [CrossRef]
- Porter, J.L.; Rusli, R.A.; Ollis, D.L. Directed Evolution of Enzymes for Industrial Biocatalysis. ChemBioChem 2016, 17, 197–203. [Google Scholar] [CrossRef]
- Zuorro, A.; Miglietta, S.; Familiari, G.; Lavecchia, R. Enhanced lipid recovery from Nannochloropsis microalgae by treatment with optimized cell wall degrading enzyme mixtures. Bioresour. Technol. 2016, 212, 35–41. [Google Scholar] [CrossRef] [PubMed]
- Zhao, K.; Zhang, M.; Tian, H.; Lei, F.; He, D.; Zheng, J.; Zhang, L. Effects of Structural and Compositional Changes of Nanochloropsis oceania after Enzyme Treatment on EPA-Rich Lipids Extraction. Mar. Drugs 2022, 20, 160. [Google Scholar] [CrossRef]
- Maffei, G.; Bracciale, M.P.; Broggi, A.; Zuorro, A.; Santarelli, M.L.; Lavecchia, R. Effect of an enzymatic treatment with cellulase and mannanase on the structural properties of Nannochloropsis microalgae. Bioresour. Technol. 2018, 249, 592–598. [Google Scholar] [CrossRef]
- Wu, C.; Xiao, Y.; Lin, W.; Li, J.; Zhang, S.; Zhu, J.; Rong, J. Aqueous enzymatic process for cell wall degradation and lipid extraction from Nannochloropsis sp. Bioresour. Technol. 2017, 223, 312–316. [Google Scholar] [CrossRef]
- Shahavi, M.H.; Hosseini, M.; Jahanshahi, M.; Darzi, G.N. Optimization of encapsulated clove oil particle size with biodegradable shell using design expert methodology. Pak. J. Biotechnol. 2015, 12, 149–160. [Google Scholar]
- D’Hondt, E.; Martín-Juárez, J.; Bolado, S.; Kasperoviciene, J.; Koreiviene, J.; Sulcius, S.; Elst, K.; Bastiaens, L. Cell Disruption Technologies; Elsevier: Amsterdam, The Netherlands, 2017; pp. 133–154. [Google Scholar]
- Canelli, G.; Murciano Martínez, P.; Maude Hauser, B.; Kuster, I.; Rohfritsch, Z.; Dionisi, F.; Bolten, C.J.; Neutsch, L.; Mathys, A. Tailored enzymatic treatment of Chlorella vulgaris cell wall leads to effective disruption while preserving oxidative stability. LWT 2021, 143, 111157. [Google Scholar] [CrossRef]
- Liang, K.; Zhang, Q.; Cong, W. Enzyme-Assisted Aqueous Extraction of Lipid from Microalgae. J. Agric. Food Chem. 2012, 60, 11771–11776. [Google Scholar] [CrossRef] [PubMed]
- Blanco-Llamero, C.; García-García, P.; Señoráns, F.J. Combination of Synergic Enzymes and Ultrasounds as an Effective Pretreatment Process to Break Microalgal Cell Wall and Enhance Algal Oil Extraction. Foods 2021, 10, 1928. [Google Scholar] [CrossRef] [PubMed]
- He, Y.; Zhang, B.; Guo, S.; Guo, Z.; Chen, B.; Wang, M. Sustainable biodiesel production from the green microalgae Nannochloropsis: Novel integrated processes from cultivation to enzyme-assisted extraction and ethanolysis of lipids. Energy Convers. Manag. 2020, 209, 112618. [Google Scholar] [CrossRef]
- Zhao, K.; Zhang, L.; Zhang, M.; Tian, H.; He, D.; Zheng, J. Response Surface Optimization of Enzyme Pretreatment Improves Yield of Ethanol-Extracted Lipids from Nannochloropsis oceanica. Eur. J. Lipid Sci. Technol. 2022, 124, 2100200. [Google Scholar] [CrossRef]
- Gallego, R.; Bueno, M.; Chourio, A.M.; Ibáñez, E.; Saldaña, M.D.A.; Herrero, M. Use of high and ultra-high pressure based-processes for the effective recovery of bioactive compounds from Nannochloropsis oceanica microalgae. J. Supercrit. Fluids 2021, 167, 105039. [Google Scholar] [CrossRef]
- Zhang, Y.; Kong, X.; Wang, Z.; Sun, Y.; Zhu, S.; Li, L.; Lv, P. Optimization of enzymatic hydrolysis for effective lipid extraction from microalgae Scenedesmus sp. Renew. Energy 2018, 125, 1049–1057. [Google Scholar] [CrossRef]
- Taher, H.; Al-Zuhair, S.; Al-Marzouqi, A.H.; Haik, Y.; Farid, M. Effective extraction of microalgae lipids from wet biomass for biodiesel production. Biomass Bioenergy 2014, 66, 159–167. [Google Scholar] [CrossRef]
- Reshma, R.; Arumugam, M. Selective degradation of the recalcitrant cell wall of Scenedesmus quadricauda CASA CC202. Planta 2017, 246, 779–790. [Google Scholar] [CrossRef]
- Trivedi, J.; Atray, N.; Agrawal, D. Evaluating Cell Disruption Strategies for Aqueous Lipid Extraction from Oleaginous Scenedesmus obliquus at High Solid Loadings. Eur. J. Lipid Sci. Technol. 2020, 122, 1900328. [Google Scholar] [CrossRef]
- Hac İsa, M.; Metin, C.; Ercan, E.; Alparslan, Y. Effect of different cell disruption methods on lipid yield of Schizochytrium sp. J. Am. Oil Chem. Soc. 2022, 99, 129–139. [Google Scholar] [CrossRef]
- Chua, E.T.; Schenk, P.M. A biorefinery for Nannochloropsis: Induction, harvesting, and extraction of EPA-rich oil and high-value protein. Bioresour. Technol. 2017, 244, 1416–1424. [Google Scholar] [CrossRef] [PubMed]
- Chew, K.W.; Yap, J.Y.; Show, P.L.; Suan, N.H.; Juan, J.C.; Ling, T.C.; Lee, D.-J.; Chang, J.-S. Microalgae biorefinery: High value products perspectives. Bioresour. Technol. 2017, 229, 53–62. [Google Scholar] [CrossRef] [PubMed]
- Lardon, L.; Hélias, A.; Sialve, B.; Steyer, J.-P.; Bernard, O. Life-Cycle Assessment of Biodiesel Production from Microalgae. Environ. Sci. Technol. 2009, 43, 6475–6481. [Google Scholar] [CrossRef] [PubMed]
- Demuez, M.; Mahdy, A.; Tomás-Pejó, E.; González-Fernández, C.; Ballesteros, M. Enzymatic cell disruption of microalgae biomass in biorefinery processes. Biotechnol. Bioeng. 2015, 112, 1955–1966. [Google Scholar] [CrossRef] [PubMed]
- Dixon, C.; Wilken, L.R. Green microalgae biomolecule separations and recovery. Bioresour. Bioprocess. 2018, 5, 14. [Google Scholar] [CrossRef]
- Lindedam, J.; Haven, M.Ø.; Chylenski, P.; Jørgensen, H.; Felby, C. Recycling cellulases for cellulosic ethanol production at industrial relevant conditions: Potential and temperature dependency at high solid processes. Bioresour. Technol. 2013, 148, 180–188. [Google Scholar] [CrossRef]
- Gomes, D.; Rodrigues, A.C.; Domingues, L.; Gama, M. Cellulase recycling in biorefineries—Is it possible? Appl. Microbiol. Biotechnol. 2015, 99, 4131–4143. [Google Scholar] [CrossRef]
- Jørgensen, H.; Pinelo, M. Enzyme recycling in lignocellulosic biorefineries. Biofuels Bioprod. Biorefining 2017, 11, 150–167. [Google Scholar] [CrossRef]
- Wang, Q.; Liu, S.; Yang, G.; Chen, J.; Ji, X.; Ni, Y. Recycling cellulase towards industrial application of enzyme treatment on hardwood kraft-based dissolving pulp. Bioresour. Technol. 2016, 212, 160–163. [Google Scholar] [CrossRef]
- Basso, A.; Serban, S. Industrial applications of immobilized enzymes—A review. Mol. Catal. 2019, 479, 110607. [Google Scholar] [CrossRef]
- Blanco-Llamero, C.; García-García, P.; Señoráns, F.J. Cross-Linked Enzyme Aggregates and Their Application in Enzymatic Pretreatment of Microalgae: Comparison Between CLEAs and Combi-CLEAs. Front. Bioeng. Biotechnol. 2021, 9, 794672. [Google Scholar] [CrossRef] [PubMed]
- Fu, C.-C.; Hung, T.-C.; Chen, J.-Y.; Su, C.-H.; Wu, W.-T. Hydrolysis of microalgae cell walls for production of reducing sugar and lipid extraction. Bioresour. Technol. 2010, 101, 8750–8754. [Google Scholar] [CrossRef] [PubMed]
- Lee, P.A.; Martinez, K.J.L.; Letcher, P.M.; Corcoran, A.A.; Ryan, R.A. A novel predatory bacterium infecting the eukaryotic alga Nannochloropsis. Algal Res. 2018, 32, 314–320. [Google Scholar] [CrossRef]
- Wang, M.; Yuan, W. Bacterial Lysis of Microalgal Cells. J. Sustain. Bioenergy Syst. 2014, 04, 243–248. [Google Scholar] [CrossRef]
- Deng, C.; Cui, Y.; Liu, Y. Microalgae cell disruption and lipid composition and recovery improvements induced by algicidal effects of bacteria. J. Appl. Phycol. 2022, 34, 2027–2036. [Google Scholar] [CrossRef]
- Jia, Y.; Han, G.; Wang, C.; Guo, P.; Jiang, W.; Li, X.; Tian, X. The efficacy and mechanisms of fungal suppression of freshwater harmful algal bloom species. J. Hazard. Mater. 2010, 183, 176–181. [Google Scholar] [CrossRef]
- Prajapati, S.K.; Bhattacharya, A.; Malik, A.; Vijay, V.K. Pretreatment of algal biomass using fungal crude enzymes. Algal Res. 2015, 8, 8–14. [Google Scholar] [CrossRef]
- Bader, A.N.; Sanchez Rizza, L.; Consolo, V.F.; Curatti, L. Bioprospecting for fungal enzymes for applications in microalgal biomass biorefineries. Appl. Microbiol. Biotechnol. 2023, 107, 591–607. [Google Scholar] [CrossRef]
- Amin, S.A.; Parker, M.S.; Armbrust, E.V. Interactions between Diatoms and Bacteria. Microbiol. Mol. Biol. Rev. 2012, 76, 667–684. [Google Scholar] [CrossRef]
- Seymour, J.R.; Amin, S.A.; Raina, J.-B.; Stocker, R. Zooming in on the phycosphere: The ecological interface for phytoplankton–bacteria relationships. Nat. Microbiol. 2017, 2, 17065. [Google Scholar] [CrossRef]
- Coyne, K.J.; Wang, Y.; Johnson, G. Algicidal Bacteria: A Review of Current Knowledge and Applications to Control Harmful Algal Blooms. Front. Microbiol. 2022, 13, 871177. [Google Scholar] [CrossRef]
- Furusawa, G.; Yoshikawa, T.; Yasuda, A.; Sakata, T. Algicidal activity and gliding motility of Saprospira sp. SS98-5. Can. J. Microbiol. 2003, 49, 92–100. [Google Scholar] [CrossRef] [PubMed]
- Shi, X.; Liu, L.; Li, Y.; Xiao, Y.; Ding, G.; Lin, S.; Chen, J. Isolation of an algicidal bacterium and its effects against the harmful-algal- bloom dinoflagellate Prorocentrum donghaiense (Dinophyceae). Harmful Algae 2018, 80, 72–79. [Google Scholar] [CrossRef] [PubMed]
- Umetsu, S.; Kanda, M.; Imai, I.; Sakai, R.; Fujita, M.J. Questiomycins, Algicidal Compounds Produced by the Marine Bacterium Alteromonas sp. D and Their Production Cue. Molecules 2019, 24, 4522. [Google Scholar] [CrossRef] [PubMed]
- Barak-Gavish, N.; Frada, M.J.; Ku, C.; Lee, P.A.; DiTullio, G.R.; Malitsky, S.; Aharoni, A.; Green, S.J.; Rotkopf, R.; Kartvelishvily, E.; et al. Bacterial virulence against an oceanic bloom-forming phytoplankter is mediated by algal DMSP. Sci. Adv. 2018, 4, eaau5716. [Google Scholar] [CrossRef] [PubMed]
- Lovejoy, C.; Bowman, J.P.; Hallegraeff, G.M. Algicidal Effects of a Novel Marine Pseudoalteromonas Isolate (Class Proteobacteria, Gamma Subdivision) on Harmful Algal Bloom Species of the Genera Chattonella. Appl. Environ. Microbiol. 1998, 64, 2806–2813. [Google Scholar] [CrossRef] [PubMed]
- Yang, J.; Qiao, K.; Lv, J.; Liu, Q.; Nan, F.; Xie, S.; Feng, J. Isolation and identification of two algae-lysing bacteria against Microcystis aeruginosa. Water 2020, 12, 2485. [Google Scholar] [CrossRef]
- Mitsutani, A.; Yamasaki, I.; Kitaguchi, H.; Kato, J.; Ueno, S.; Ishida, Y. Analysis of algicidal proteins of a diatom-lytic marine bacterium Pseudoalteromonas sp. strain A25 by two-dimensional electrophoresis. Phycologia 2001, 40, 286–291. [Google Scholar] [CrossRef]
- Das, S.; Das, S.; Ghangrekar, M.M. Enzymatic cell disruption followed by application of imposed potential for enhanced lipid extraction from wet algal biomass employing photosynthetic microbial fuel cell. Bioresour. Technol. 2022, 363, 127924. [Google Scholar] [CrossRef]
- Hom-Diaz, A.; Passos, F.; Ferrer, I.; Vicent, T.; Blánquez, P. Enzymatic pretreatment of microalgae using fungal broth from Trametes versicolor and commercial laccase for improved biogas production. Algal Res. 2016, 19, 184–188. [Google Scholar] [CrossRef]
Disclaimer/Publisher’s Note: The statements, opinions and data contained in all publications are solely those of the individual author(s) and contributor(s) and not of MDPI and/or the editor(s). MDPI and/or the editor(s) disclaim responsibility for any injury to people or property resulting from any ideas, methods, instructions or products referred to in the content. |
© 2024 by the authors. Licensee MDPI, Basel, Switzerland. This article is an open access article distributed under the terms and conditions of the Creative Commons Attribution (CC BY) license (https://creativecommons.org/licenses/by/4.0/).