Next Article in Journal
Comparative Study of Mesophilic Biomethane Production in Ex Situ Trickling Bed and Bubble Reactors
Previous Article in Journal
Predicting the Microbiome and Metabolome Dynamics of Natural Apple Fermentation Towards the Development of Enhanced Functional Vinegar
 
 
Font Type:
Arial Georgia Verdana
Font Size:
Aa Aa Aa
Line Spacing:
Column Width:
Background:
Article

Regulation of Cultivation Temperature on Biomass and Activity of Bifidobacterium breve B2798

1
Key Laboratory of Dairy Biotechnology and Engineering, Ministry of Education, Inner Mongolia Agricultural University, Hohhot 010018, China
2
Key Laboratory of Dairy Products Processing, Ministry of Agriculture and Rural Affairs, Inner Mongolia Agricultural University, Hohhot 010018, China
3
Inner Mongolia Key Laboratory of Dairy Biotechnology and Engineering, Inner Mongolia Agricultural University, Hohhot 010018, China
4
Collaborative Innovative Center for Lactic Acid Bacteria and Fermented Dairy Products, Ministry of Education, Inner Mongolia Agricultural University, Hohhot 010018, China
*
Author to whom correspondence should be addressed.
Kailong Liu and Yiting Liu contributed equally to this work.
Fermentation 2024, 10(11), 553; https://doi.org/10.3390/fermentation10110553
Submission received: 7 October 2024 / Revised: 24 October 2024 / Accepted: 26 October 2024 / Published: 30 October 2024
(This article belongs to the Section Probiotic Strains and Fermentation)

Abstract

Bifidobacterium is among the dominant flora in the healthy intestine of the human body. It has many probiotic effects such as lowering cholesterol, inhibiting tumors, and regulating immunity. However, fluctuations in culture conditions during cultivation will lead to a decrease in the number of active bacteria. Therefore, more precise control of culture conditions is required to reduce the activity damage caused by environmental fluctuations. Based on this, this study utilized a fully automatic intelligent fermentation tank to develop a cultivation technique suitable for improving the activity and biomass of Bifidobacterium breve B2798. The results show that, under a cultivation temperature of 38.0 °C, the highest viable cell count, which is (2.56 ± 0.04) × 1010 CFU/mL, can be achieved in the culture medium, with the conclusion that the fermentation endpoint should be controlled at the end period of bacteria logarithmic growth when there is the highest viable cell count and bacterial activity in the culture medium. This study has elucidated the influences of different temperatures on the biomass, viable cell count, and activity of Bifidobacterium breve B2798, providing basic data for the later development of industrialized processing techniques for this bacteria strain.

1. Introduction

Probiotics are live microorganisms that, when administered in adequate amounts, confer a health benefit on the host [1]. Common probiotics include Lactobacillus and Bifidobacterium, as well as other bacteria and fungi [2]. In recent years, the scale of the probiotic processing industry has been expanding continuously. The core requirement of the large-scale cultivation of lactic acid bacteria is the number of highly active cells, which is also the key to determining whether the industrialized application of lactic acid bacteria can be realized. However, the low biomass of cells and their easily attenuated activity have become the bottleneck that restricts the development of the probiotic processing industry.
Temperature is one of the most important influencing factors during the cultivation process of probiotics [3], whose growth and development rely on the transport and metabolism of nutrition substances [4]. However, temperature also affects the rates of most enzymatic reactions. Under an ideal temperature, the process of fermentation can be significantly shortened, while, under an improper temperature, the process can be significantly prolonged, which is not conducive to the expression of activities of relevant enzymes. Key enzymes can be passivated, leading to the cessation of their growth [5,6]. A high cultivation temperature can affect the activities of enzymes and may promote their reactions in the short term [7]. However, prolonged high-temperature cultivation could result in the inactivity of some enzymes, leading to the autolysis of cells [8]. A low reaction temperatures cannot satisfy the requirements of bacteria growth and development, leading to the slow growth of bacteria and their excessive long cycles of growth and development [9], which is not conducive to their industrialized applications [10,11]. Cultivation temperatures can also affect the utilization of some nutrition substances and the transport of extracellular substances of microorganisms [12]. Therefore, an appropriate cultivation temperature can enable cell strains to achieve ideal growth and development, shorten their production cycles, and improve cell activities. However, due to the variations among cell strains of lactic acid bacteria, the fermentation and cultivation conditions of single cell-strain species need to be optimized, and the cultivation temperatures of special cell-strain species need to be dynamically regulated [13]. Therefore, poor cell activities and low viable cell counts caused by temperature variations can be avoided.
Bifidobacterium breve B2798 are a lactic acid bacteria with probiotic effects and broad application prospects. Its health effects have attracted the attention of researchers. It has antioxidant, immunity-enhancing, and antibacterial biological activity functions [14]. However, there are problems such as the low bacterial biomass and easy attenuation during the cultivation process [15]. Therefore, this study utilized the characteristics of the good sealing effect and precise temperature control of fully automatic intelligent fermentation tanks and investigated the cultivation temperatures of Bifidobacterium breve B2798 to determine its optimal cultivation temperature and establish its growth model. This study aims to effectively improve the biomass and activity of Bifidobacterium breve B2798, thus providing a basis for improving the efficiency of the industrialized production of Bifidobacterium brevis.

2. Materials and Methods

2.1. Microorganism

Bifidobacterium breve B2798 (B. breve B2798) used in this study were isolated from the intestines of healthy infants in Enshi City, Hubei Province in 2017.

2.2. Set the Incubation Temperature

A single-factor test using viable cell count, cell density, and acid production rate as indices was performed to conduct a preliminary selection of cultivation temperatures of Bifidobacterium breve B2798, with the purpose of determining the optimal temperature range of its growth. The specific procedure is described as follows:
Take out the degreased lactobacillus strain tube stored in a −80 °C freezer and place it on a sterile operation table for thawing. Then, the strain was transferred to an improved MRS liquid medium and anaerobically cultured at 37 °C for 24 h in an anaerobic workstation (80% nitrogen, 10% hydrogen, and 10% carbon dioxide). Afterwards, they were placed in fresh improved MRS liquid medium with an inoculation volume ratio of 2% (v/v), with sterile nitrogen pressure maintained at 0.02~0.03 MPa. After inoculation, sodium hydroxide was added to adjust the initial pH of the fermentation broth to 6.50 ± 0.02, and the stirring speed was set to 50 rpm. The culture was carried out at fermentation temperatures of 30 °C, 31 °C, 32 °C, 33 °C, 34 °C, 35 °C, 36 °C, 37 °C, 38 °C, 39 °C, 40 °C, and 41 °C. Inoculate the above seed solution at a rate of 2% (v/v) in RCM medium for expanded cultivation. After inoculation, add ammonia water or sodium hydroxide to adjust the initial pH of the fermentation broth to 6.50 ± 0.02, and start fermentation.

2.3. Rate of Acid Production, Cell Density, and Viable Cell Count

Anaerobic fermentation was performed on Bifidobacterium breve B2798. Under the same experimental conditions, cell growth curves under different cultivation temperatures were constructed based on the viable cell count, cell density, and acid production rate of Bifidobacterium breve B2798.
Cell density measurement: A UV spectrophotometer was used to measure the absorbance values under a wavelength of 600 nm, with values within the range of 0.2–0.8 taken as valid values.
Viable cell count: A plate count method was used in the test. Moreover, a pour plate method using a solid reinforced clostridial medium (RCM) was applied in the test, with test results expressed as CFU/mL.

2.4. Biomass Measurement

Wet weight method: Take fermentation broths with a volume of 30 mL and pour them into sterile and enzyme-free centrifuge tubes with a volume of 50 mL separately. After the centrifuging process (12,000× g and 5 min), discard their supernatants and rinse bacteria cells two or three times with distilled water. Then, use an analytical balance to weigh the tubes with precipitates and record the weight data. Thus, wet weights of bacterial cells can be calculated with these weight data deducted by weights of empty tubes [16].
Dry weight method: Perform 80 °C water bath and sterilization processes on fermentation broths of all groups for 30 min. Cool them to room temperature, and, after a centrifuging process (8000× g and 5 min), discard their supernatants and rinse the bacteria cells two or three times with distilled water. Then, put these centrifuged bacteria cells in a drying oven (105 °C) and dry them until constant weights are reached. After that, use an analytical balance to weigh all the tubes. Then, the dry weights of bacterial cells can be obtained with weights of empty tubes deducted from these measured tube weights [17].

2.5. Key Enzyme Activity Measurement

The test followed the assay method provided by the Microbial F6PPK enzyme-linked immunoassay kit in testing the activities of F6PPK, and the detailed procedure can be found in the instruction manual.

2.6. Lactic Acid Measurement

An online measurement using a biochemical analyzer was performed in this test (Shenzhen Silman Technology M-900, Shenzhen, China).

2.7. Acidity

pH value measurement: A Mettler FE20 type pH meter was used to measure pH values directly.
Total acidity (TA) measurement: This test followed the phenolphthalein indicator method specified in the Measurement of Food Acidity to perform the TA measurement.
The acidity of the sample solution is calculated with the following formula:
Total acidity (%) = (c × (V1 − V2) × k × V0 × 100)/(m × V3)
where C—concentration of standard NaOH solution (unit: mol/L); V1—the volume of standard NaOH solution consumed in titration (unit: mL); V2—the volume of standard NaOH solution consumed in blank (unit: mL); V0—total volume of diluent sample (unit: mL); V3—volume of sample used in titration (unit: mL); m—mass or volume of sample (unit: g or mL); and k—conversion coefficient to an appropriate acid.

2.8. Data Analysis

We used one-way ANOVA in the Data Processing System 7.05 software to evaluate the significance of differences among groups: the significance level was set at 0.05.

3. Results

3.1. Static Cultivation

3.1.1. Construction of Growth Curves

The microbial growth curve is a fundamental method to describe the growth status of microorganisms. A typical growth curve can be divided into four growth phases, which are the lag phase, logarithmic growth phase, stable phase, and demise phase [18]. The accuracy of the microbial growth measurement can directly determine the accuracy of the measurement results of microbial growth curves, and accurately measured microbial growth curves have significant guidance implications in practical production.
Under a cultivation temperature range of 30.0 °C–32.0 °C, there is no significant variation in OD values within the time period of 0 h to 18 h (p > 0.05). Under the cultivation temperature range of 33.0 °C–38.0 °C, there is no significant variation in OD values within the time period of 0 h to 10 h (p > 0.05). Under the cultivation temperature range of 39.0 °C–41.0 °C, there is no significant variation in OD values within the time period of 0 h to 6 h (p > 0.05) (Figure 1A–D). This indicates relatively slow growth rates of bacteria cells, with a lag phase of cell growth, and that cells cultivated under different temperatures present a different time duration of lag phases. Under a cultivation temperature range of 36.0 °C–41.0 °C, the bacterial cell density presents a basically consistent increase rate during the logarithmic growth phase. However, during the late logarithmic growth phase, the bacterial cell density under the cultivation temperature range of 36.0 °C–38.0 °C is significantly higher than that under the cultivation temperature range of 39.0 °C–41.0 °C (p < 0.05). Within the range, cells cultivated at 41.0 °C first enter their logarithmic growth phases. Therefore, a higher cultivation temperature will result in a faster cell metabolic rate, which causes cells to move into their demise phases quickly. Guo Xinghua reported that high-temperature fermentation has a direct impact on the yields of Bifidobacteria and can prolong their fermentation time and that, under a maximum cultivation temperature of 41 °C, the survival abilities of Bifidobacteria are significantly lower than those of Streptococcus lactis. Therefore, changes in the cell densities of Bifidobacteria can reflect the relative growth amounts of these bacteria under the conditions of this experiment [19].
Under a temperature range of 30.0 °C–33.0 °C, Bifidobacterium breve B2798 exhibit a slow growth rate of cells, and, under a temperature range of 34.0 °C–41.0 °C, these bacteria present a relatively high viable cell count, with good cell growth. Under a temperature range of 36.0 °C–39.0 °C, the growth rates of Bifidobacterium breve B2798 are significantly higher than those of Bifidobacterium breve B2798 under a cultivation temperature range of 34.0 °C–36.0 °C (p < 0.05) (Figure 2A–D). Moreover, the number of viable cells cultivated at 38.0 °C for 18 h reaches its maximum value of (5.98 ± 0.36) ×109 CFU/mL. Meanwhile, the number of viable cells cultivated at 37.0 °C for 20 h reaches a value of (5.96 ± 0.28) × 109 CFU/mL, and the number of viable cells cultivated at 39.0 °C for 20 h reaches a value of (5.89 ± 0.18) × 109 CFU/mL, presenting no significant differences among these three numbers (p > 0.05).
The experimental results show that, after a static fermentation period of 8–26 h, cells of Bifidobacterium breve B2798 cultivated under different temperatures basically move into their logarithmic growth phases. After a fermentation period of 24 h, these cells move into their middle–late logarithmic growth phases, with fast increase rates of the cell biomass. The primary reason lies in that there are abundant nutrition substances in the culture medium at this time, and, under an optimal cultivation temperature, the growth and metabolism of bacteria cells are primarily conducted through the consumption of nutrition substances, resulting in the fastest cell growth rates at this time. After a fermentation period of 24 h, these cells start to move into their stable growth phases. The reason is that, at this time, nutrition substances in the fermentation broth are gradually exhausted, and, with the gradual depletion of nutrients, a large number of metabolic products harmful to bacteria cells start to accumulate, and these toxic metabolic products can inhibit the growth and metabolism of bacteria cells [20].

3.1.2. Acid Production Rate

The acid production characteristics of cell strains are a key indicator for evaluating the production performance of lactic acid bacteria [21]. These characteristics can directly affect the fermentation time, relevant enzyme activities, production rates, and metabolism of cell strains [22]. The pH values of culture media gradually decrease with the growth of Bifidobacterium breve because bacteria cells will absorb a large number of nutrition substances during their growth and metabolic processes, producing a large quantity of acid or neutral metabolic products, such as lactic acids and acetic acids [23]. A longer cultivation time of bacteria cells leads to more metabolic products like lactic acids and acetic acids accumulating in the culture medium, thus resulting in lower pH values in the surrounding environments of bacteria cells. Therefore, the normal growth and metabolism of bacteria cells are affected, with their growth and reproduction inhibited [24]. The acid production curve of Bifidobacterium breve B2798 cultivated under 30.0 °C presents a slow decrease trend in their pH values, while the corresponding acid production curve of the bacteria cultivated at 31.0 °C presents an increasingly decreased trend in their pH values. Under a cultivation temperature range of 32.0 °C–35.0 °C, their acid production curves present similar decrease trends in pH values, which all tend to stabilize after a cultivation period of 36 h. Within a cell cultivation temperature range of 36.0 °C–41.0 °C, all acid production curves present similar decrease trends in pH values, and, after a cultivation period of 24 h, their pH values start to stabilize. This indicates that, within this cultivation temperature range, Bifidobacterium breve B2798 show relatively fast cell growth rates and strong acid production abilities (Figure 3A–D).
The test results show that, under different cultivation temperatures, a continuous cultivation period of 36 h on Bifidobacterium breve B2798 will bring about significant differences in their acid production rates, bacteria cell densities, and viable cell counts. It can be seen that, within a temperature range of 37.0 °C–39.0 °C, Bifidobacterium breve B2798 grow well, indicating that this is the optimal temperature range for the growth of Bifidobacterium breve B2798.

3.1.3. Biomass

The growth and metabolism of bacteria cells under different temperatures present significantly different situations, leading to different yield rates of bacteria cells. A dry weight method was used in this test to measure the yield rates of cells under different cultivation temperatures. The test results show that within a temperature range between 30.0 °C and 35.0 °C, the cell-biomass dry weight of Bifidobacterium breve B2798 keeps increasing. Within a temperature range of 35.0 °C–38.0 °C, the cell-biomass dry weight of Bifidobacterium breve B2798 reaches its peak value at 38.0 °C, and, within the temperature range of 39.0 °C–41.0 °C, the yield rates of dry-weight cells of Bifidobacterium breve B2798 gradually decrease. The test results indicate that, under a temperature that is too high, the growth and metabolism of Bifidobacterium breve B2798 will be inhibited, which further inhibits the final production volume of bacteria cells (Figure 4A).
The biomass of Bifidobacterium breve B2798 was measured using the wet weight method. The test results show that, with the increase in temperature, the wet-weight yield rates of bacteria cells at 38.0 °C are higher than those of bacteria cells under other cultivation temperatures (Figure 4B).

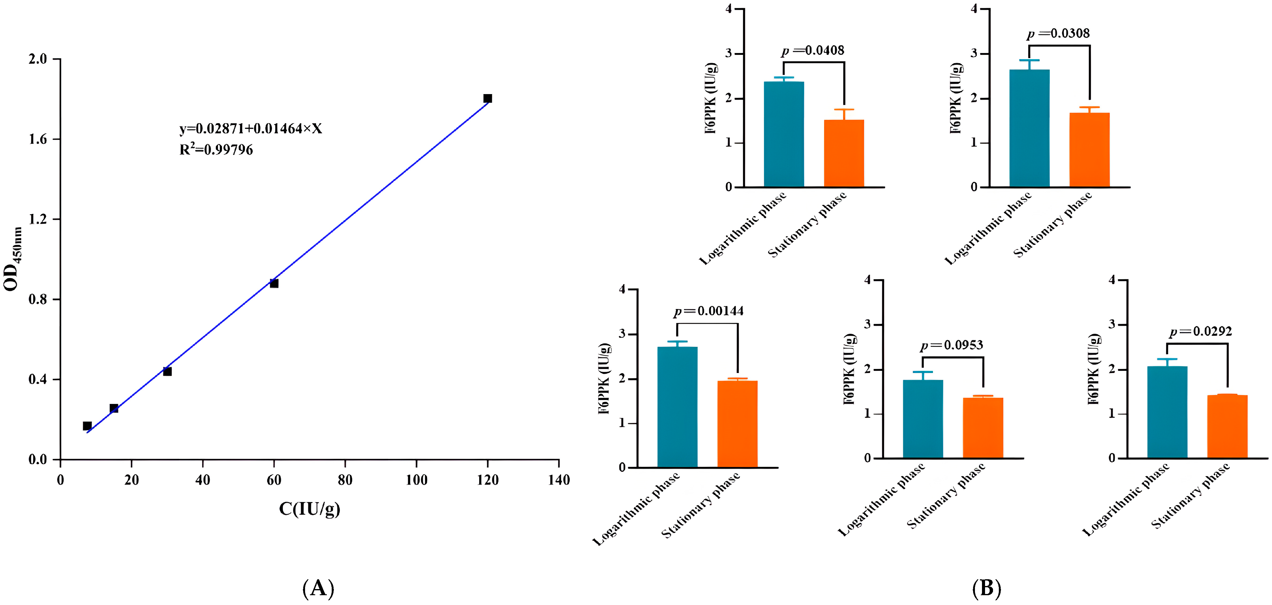
3.1.4. Key Enzyme Activity

This study used the F6PPK enzyme-linked immunoassay method to plot the standard curve of key enzyme activity. With the concentrations and absorbance values of the F6PPK enzyme used as the X-axis and Y-axis coordinates, respectively, a standard curve, with which a standard equation, Y = 0.0146X + 0.0254 (R2 = 0.9977), is obtained, is plotted (Figure 5). This equation, which presents a good linearity, can be applied in subsequent tests.
The growth status and biomass of bacteria cells are influenced by their metabolic characteristics. Fructose-6-phosphate phosphoketase (F6PPK) is regarded as one of the important key enzymes in the pathway of phosphoketolase. The pathway of phosphoketolase is a special metabolic pathway of Bifidobacteria [25]. Therefore, the F6PPK enzyme activity assay method first introduced by Scardovi is one of the most reliable non-molecular methods for identifying Bifidobacteria. A positive F6PPK result indicates the presence of Bifidobacteria. Therefore, it is commonly used as a qualitative way to determine the existence of Bifidobacteria. Bifidobacterium breve B2798 does not contain fructose-1,6-diphosphate aldolase and dehydrogenase, and their growth and metabolism depend on the pathway of phosphoketolase, which is a special pathway of the short bifurcation branch reaction. Therefore, their growth and metabolic characteristics can be evaluated with the activities of key enzymes in the pathway of metabolism.
Bifidobacterium breve B2798 cultivated under different temperatures present significant differences in the concentrations of F6PPK enzyme activities (p < 0.05). Within a temperature range of 37.0 °C–41.0 °C, the enzyme activities of bacteria are significantly higher than those of bacteria cultivated under other temperatures (p < 0.05), and enzyme activities can directly influence the lactic-acid and acetic-acid production volumes of Bifidobacterium breve B2798. It can be seen that, within an optimal growth temperature range of 37.0 °C–41.0 °C, the F6PPK enzyme activities of bacteria reach their highest levels. A too-low or too-high temperature will inhibit the enzyme activities, as well as the growth and metabolism of Bifidobacterium breve B2798, thus further directly impacting their biomass and acid production volumes. Previous studies have shown that the optimal temperature for cultivating F6PPK enzymes is around 40.0 °C, and a cultivation temperature that is too low is not conducive to the activities of enzymes. Meanwhile, with the increase in temperature, a cultivation temperature that is too high will reduce the activities of enzymes to varying degrees or deactivate enzymes, inhibiting the growth and metabolism of bacteria cells (Figure 6).

3.1.5. Simulation Test of Cell Activity

In order to assess the influence of the cultivation temperature on the physiological status of cells, a 7-day storage simulation test at 4 °C was carried out, and efforts were made to evaluate the changes in the activities of cells cultivated during the subsequent experimental process. Generally, Bifidobacteria can grow within the lowest temperature range between 25 °C and 28 °C [26], and a low storage temperature at 4 °C will inhibit their activities to a certain extent. However, with the prolonged storage time, these bacteria will become increasingly unstable. Maduka et al. proved that the enzyme activities of long Bifidobacteria in freeze-dried dairy products stored at 4 °C were twice these activities of enzymes of long Bifidobacteria in freeze-dried dairy products stored at 20 °C [27]. Bifidobacterium breve B2798 cultivated under different temperatures and fermented during different growth phases were stored for seven days at 4 °C. It has been found that the pH values of fermentation broths are relatively stable after storage. However, within a cultivation temperature range of 30.0 °C–33.0 °C, a 7-day storage test was performed on the fermentation broths of Bifidobacterium breve B2798 during the late logarithmic growth phase (Figure 7A,B), indicating that the pH values of these fermentation broths continue to drop until these values decrease to the pH values of fermentation broths cultivated at corresponding temperatures during the late stable growth phases. During the low-temperature storage period, Bifidobacterium breve B2798 primarily rely on metabolic residual nutrition substances to produce acids, leading to reduced pH values, which are reduced to around 4.0. Reduced pH values will increase the permeability of bacteria cell membranes and affect the pH values inside bacteria, thus inhibiting the activities of characteristic F6PPK enzymes of Bifidobacterium breve B2798.
Temperature is a key factor influencing the viability of Bifidobacterium breve B2798 during the storage period. Under the conditions of low-temperature storage, Bifidobacterium breve B2798 still present good storage stability, which provides a basis for the later industrialized development of this bacteria strain. The primary reason lies in that, under a low-temperature condition, the metabolic activities of microorganisms and rates of unfavorable physical and chemical reactions are all low [28]. Total acidity plays a crucial role during the in vivo metabolic processes of bacteria cells. During the period of storage, fermentation broths under different fermentation temperatures present significant changes in their total-acid production capacities during their early growth phases, with significant differences in their capacities before and after the late logarithmic growth phase. During the process of storage, bacteria cells will undergo internal consumption. Under different cultivation temperatures, an acidity titration test was conducted on fermentation broths of Bifidobacterium breve B2798 after a 7-day storage period during those two late logarithmic and late stable growth phases. After a 7-day storage period, the titration acidity of fermentation broths collected during the late logarithmic growth phase increased, while the titration acidity of fermentation broths collected during the stable growth phase basically remained unchanged. Bacteria cells remain active during the late logarithmic growth phase and can still produce acids by utilizing residual nutrition substances during the storage period, which provides motivation for the later industrialized development of this bacteria strain. A comprehensive analysis shows that Bifidobacterium breve B2798 present relatively stable activities before and after storage (Figure 8A,B).
In this test, Bifidobacterium breve B2798 were stored at a low temperature of 4 °C for seven days to explore the cell viability rates of Bifidobacterium breve B2798 under different cultivation temperatures and verify the stability of their viable cells. The test results show that, after a storage period of seven days, Bifidobacterium breve B2798 under different cultivation temperatures and during different growth phases present significant differences in their cell viability rates (p < 0.05), and that the viability rates of cells during the late logarithmic growth phase are higher than those of cells during the late stable growth phase as a whole. It can be seen that Bifidobacterium breve B2798, with fermentation terminated in the late logarithmic growth phase, exhibit greater advantages in their cell viability rates, with more stable performances during their subsequent fermentation processes (Table 1); it can be seen that, during the late logarithmic and late stable growth phases, bacteria cells cultivated at 36.0 °C exhibit the highest viability rates. However, the biomass and viable cell counts of these bacteria strains are low. Meanwhile, Bifidobacterium breve B2798 cultivated at 34.0 °C present high viability rates during their late logarithmic growth phases, but their viability rates during late stable growth phases drop quickly, with low cell nutrition contents and quickly decreased cell activities.
Therefore, the stability of cells stored at room temperature still needs to be further improved. Different bacteria strains contain different enzymes, whose stability of storage activities can lead to different tolerances of bacteria strains to temperatures. Therefore, it is of particular importance to measure the storage activity stability of bacteria products [29]. A simulation storage test was performed to compare the storage performances of cells at the same cultivation temperature and during different fermentation stages and cells at different cultivation temperatures and during the same fermentation stage. The study results show that, within the temperature range of 37.0 °C to 39.0 °C, Bifidobacterium breve B2798 exhibit good cell growth and stable cell activity. This test aimed to further verify these findings through high-density fermentation to achieve precise temperature control.
In this experiment, a temperature range of 37 °C–39 °C was selected as the optimal cultivation temperature range of Bifidobacterium breve B2798. The reason is that bacteria strains statically fermented within this temperature range present high biomass, strong activities, and approved high activity stability, which is conducive to future industrialized development.

3.2. High-Density Dynamic Cell Cultivation

3.2.1. Cell Growth Curves Constructed Based on Cell Densities and Viable Cell Counts

Based on the statically screened temperature range, a precise screening was performed in this test at five cultivation temperatures of 37.0 °C, 37.5 °C, 38.0 °C, 38.5 °C, and 39.0 °C, with a temperature interval of 0.5 °C (Figure 9A,a). Within the temperature range of 37.0 °C–39.0 °C, Bifidobacterium breve B2798 cultivated under different temperatures present no significant differences in their viable cell counts and relatively good growth of cells, which is consistent with the results of the static test. After a cultivation period of two hours, Bifidobacterium breve B2798 move into their logarithmic growth phases, with relatively short lag phases. These logarithmic growth phases correspond to the cultivation period between 2 h and 14 h, during which bacteria cells present vigorous growth and development. After a cultivation period of fourteen hours, bacterial cells move into their stable growth phases, marking the intersection time points between their logarithmic and stable growth phases. At this moment, Bifidobacterium breve B2798 stop fermentation, with their cells obtained, which present the highest cell vitality during the whole process. After a cultivation period of twenty-four hours, bacterial cells move into their demise phases, with cells cultivated at 38.0 °C for sixteen hours presenting the highest cell vitality among cells cultivated under the same conditions (Figure 9B,b). Meanwhile, it can be seen that, during the cell growth process of Bifidobacterium breve B2798, cells present fast metabolism, resulting in higher volumes of acids produced. Therefore, future production processes must control the cell metabolism of Bifidobacterium breve B2798 produced at this temperature to control their acid production volumes and increase their cell densities through improving cell proliferation.

3.2.2. Biomass Measurement

The growth curve obtained by the biomass dry weight method can accurately determine the growth phases of *Bifidobacterium breve* B2798: the lag phase, the logarithmic phase, and the onset of the stationary phase. However, the dry weight method cannot determine the end time of the stationary phase or the onset of the death phase. This result indicates that the growth curves measured through static experiments and dynamic validations are feasible.
From Figure 10, it can be observed that the dry weight under different dynamic cultivation temperatures shows an increasing trend followed by a gradual decline as the temperature rises. The dry cell weight (DCW) at 38.0 °C is significantly higher than that at 37.0 °C (p < 0.01) and 37.5 °C (p < 0.01). However, considering that, although the biomass dry weight at 38.5 °C and 39.0 °C is high, the growth curve indicates that their activity is relatively low, with a short stationary phase, which is not conducive to biomass collection and determining the endpoint of high-density fermentation.
The wet cell weight yield rate is correlated with the cultivation temperature. Within a temperature range of 37.0 °C–39.0 °C, the wet-weight yield rates of cells increase with the temperature, presenting a certain correlation with their DCW. Therefore, the test results mentioned above are verified. Bifidobacterium breve B2798 cultivated at 38.0 °C present a significantly higher DCW than Bifidobacterium breve B2798 cultivated at 37.0 °C (p < 0.01) and 37.5 °C (p < 0.01). During the initial stage of fermentation, Bifidobacterium breve B2798 are in their lag phases, with quickly changed cell wet-weight yield rates. After a cultivation period of two hours, the glucose content in the culture medium starts to decline. At this moment, the production of bacteria cells accelerates, and their wet-weight yield rates quickly increase, with cells moving into their logarithmic growth phases. After a cultivation period of 12 h to 18 h, cells’ WCWs present a changing trend of first stabilizing and then increasing, with cell biomass, DCWs, WCWs, and metabolic products reaching their extreme levels and cells moving into their logarithmic growth phases and main fermentation stages. During the late fermentation period, the accumulated products play an inhibitory role in the growth of cells, leading to a decreasing trend of WCW.

3.2.3. Activities of Key Enzymes During Different Cell Growth Phases

Under different cultivation temperature conditions, the F6PPK enzyme activity concentrations of Bifidobacterium breve B2798 during different fermentation periods primarily reach their significant values at 38.0 °C, which are 2.33 IU/g and are significantly higher than those of Bifidobacterium breve B2798 cultivated at 37.0 °C, 37.5 °C, 38.5 °C, and 39.0 °C (p < 0.05). The test results prove that a temperature that is too high will lead to the degeneration and deactivation of proteins or nucleic acids, while a temperature that is too low will inhibit the activities of enzymes, thus reducing the metabolism activities of cells. During the late logarithmic growth phase (that is, after a cultivation period of 12 h–14 h), the F6PPK enzyme concentrations of Bifidobacterium breve B2798 cultivated within a temperature range of 37.0 °C–38.0 °C will increase with the cultivation temperature. During the late stable growth phase (24 h), the activity concentrations of F6PPK enzymes cultivated at 38 °C are significantly higher than those of F6PPK enzymes cultivated at 37.0 °C and 37.5 °C (p < 0.01), as well as those of F6PPK enzymes cultivated at 38.5 °C and 39.0 °C (p < 0.01). These findings have verified that, under a high-density fermentation condition, the enzyme activity concentrations of Bifidobacterium breve B2798 cultivated at 38.0 °C reach their highest values during their late logarithmic growth phases (Figure 11A,B).
Studies have shown that some enzymes contained in bacteria cells within the same strain species present different optimal activity temperatures. For example, after cultivating crude enzyme solutions of Bifidobacterium bifidum at different temperatures of 37 °C, 40 °C, 45 °C, and 50 °C for 30 min, Chen measured the activities of F6PPK enzymes under the wavelength of 500 nm [30]. The results showed that the optimal cultivation temperature and pH value for F6PPK are 40 °C and 6.0, respectively, and this differs slightly from the optimal temperature of 38 °C obtained in this test. This difference could be attributed to the different optimal temperatures for activities of other enzymes contained in Bifidobacterium breve B2798 or the influences of optimal temperatures for their own strains. In summary, Bifidobacterium breve B2798 during the late logarithmic growth phase present a significantly higher biomass and cell activities than Bifidobacterium breve B2798 during the late stable growth phase, and, under the condition of high-density fermentation, these bacteria strains present the most significant biomass and cell activities at 38.0 °C. Under this temperature, the biomass and cell activities of Bifidobacterium breve B2798 during the late logarithmic growth phase (14 h) reach their peak values. In this test, not only has cell biomass been considered, but the activities of cells have also been taken into account accordingly. Moreover, the highest enzyme activities of bacteria cells achieved in this study can be used to promote various metabolic activities of organisms.

4. Discussion

Under the conditions of static fermentation and dynamic fermentation, this study has investigated the biomass and cell activities of Bifidobacterium breve B2798 fermented under different temperatures and constructed suitable processes for improving the biomass and cell activities of Bifidobacterium breve B2798. Bifidobacterium breve B2798 cultivated at 38.0 °C present the highest viable cell count, which is (2.56 ± 0.36) × 1010 CFU/mL. Under this cultivation temperature, the cell density, dry-cell yield rate, wet-cell yield rate, and F6PPK enzyme activity of Bifidobacterium breve B2798 are 7.59, 1.13%, 2.36%, and 2.33 IU/g, respectively, which are significantly higher than those of Bifidobacterium breve B2798 cultivated at other temperatures (p < 0.05). Under the condition of high-density cultivation at 38 °C, viable cell counts of fermentation broths are 4.28 times the viable cell counts of fermentation broths statically fermented, with their cell dry-weight yield rates 1.24 times the rates of fermentation broths statically cultivated, and their cell wet-weight yield rates 1.93 times the rates of broths statically fermented.
In summary, this test has identified the optimal cultivation temperature for Bifidobacterium breve B2798, which ensures a high biomass and high cell activity of this bacteria strain. This study has provided a comprehensive research approach for optimizing the cultivation processes of bacteria strains and determining their fermentation endpoints. Moreover, this study has positive functions in reducing fermentation time, lowering production costs, and improving production yields, thus providing a basis for the practical production application of this bacteria strain.

Author Contributions

K.L.: formal analysis, writing—original draft, writing—review and editing, and visualization. Y.L.: investigation, validation, and data curation. Z.Y.: conceptualization, and resources. J.Y.: formal analysis, software, and data curation. G.Y.: conceptualization, and funding acquisition. All authors have read and agreed to the published version of the manuscript.

Funding

This work was financially supported by the Natural Science Foundation of Inner Mongolia Autonomous Region of China (2022QN03021), the Inner Mongolia Agricultural University High-Level/Excellent Doctoral Talent Introduction Research Initiation Project (NDYB2021-17), and the National Natural Science Foundation of China (32272293, 32394053), the Science and technology project of the Food Science and Engineering College, Inner Mongolia Agricultural University (SPKJ202206).

Institutional Review Board Statement

Not applicable.

Informed Consent Statement

Not applicable.

Data Availability Statement

No new data were created or analyzed in this study. Data sharing is not applicable to this article.

Conflicts of Interest

The authors declare that they have no conflicts of interest.

References

  1. Todorova, I.; Savov, E.J.A.; Care, I. Probiotics—Properties, mechanisms of action and application. Anaesthesiol. Intensive Care 2012, 41, 26–29. [Google Scholar]
  2. Hill, C.; Guarner, F.; Reid, G.; Gibson, G.R.; Merenstein, D.J.; Pot, B. Expert consensus document: The International Scientific Association for Probiotics and Prebiotics consensus statement on the scope and appropriate use of the term probiotic. Nat. Rev. Gastroenterol. Hepatol. 2014, 11, 506–514. [Google Scholar] [CrossRef]
  3. Zhang, C.; Yuan, Z. Activity Effect of Temperature on Alcohol Dehydrogenase in the Process of Ferment; Shanxi Science and Technology: Xi’an, China, 2008. [Google Scholar]
  4. Liang, J.; Zhao, J.; Wang, Z.; Yong, H. Temperature gradient-based high-cell density fed-batch fermentation for the production of pyruvate oxidase by recombinant E. coli. Prep. Biochem. Biotechnol. 2018, 48, 188–193. [Google Scholar] [CrossRef]
  5. Soto-García, E.; Rutiaga-QuiOnes, M.; López-Miranda, J.; Montoya-Ayón, L.; Soto-Cruz, O. Effect of fermentation temperature and must processing on process productivity and product quality in mescal fermentation. Food Control 2008, 20, 307–309. [Google Scholar] [CrossRef]
  6. Wang, J.; Zhao, W.; Guo, S.; Sun, Y.; Yao, K.; Liu, Z.; Sun, Z.; Kwok, L.; Peng, C. Different growth behaviors and metabolomic profiles in yogurts induced by multistrain probiotics of Lactobacillus casei Zhang and Bifidobacterium lactis V9 under different fermentation temperatures. J. Dairy Sci. 2021, 104, 10528–10539. [Google Scholar] [CrossRef]
  7. Sari, A. The Effect of High Temperature on α-Amylase Enzyme Activity in the Germination of Several Rice Varieties (Oryza sativa L.). JERAMI Indones. J. Crop Sci. 2021, 3, 50–54. [Google Scholar] [CrossRef]
  8. Pang, X.; Zhang, S.; Lu, J.; Liu, L.; Lv, J. Identification and Functional Validation of Autolysis—Associated Genes in Lactobacillus bulgaricus ATCC BAA-365. Front. Microbiol. 2017, 8, 1367. [Google Scholar] [CrossRef]
  9. Liu, X.F.; Chi, J.X.; Lei, W.P.; Liu, C.G. Screening of lactic acid bacteria with high bile saline hydrolase activity and its influencing factors. Food Ferment. Ind. 2020, 46, 63–68. [Google Scholar] [CrossRef]
  10. Adu, K.T.; Wilson, R.; Nichols, D.S.; Baker, A.L.; Bowman, J.P.; Britz, M.L. Proteomic analysis of Lactobacillus casei GCRL163 cell-free extracts reveals a SecB homolog and other biomarkers of prolonged heat stress. Public Libr. Sci. One 2018, 13, e0206317. [Google Scholar] [CrossRef]
  11. Sui, X.Y.; Wang, Y.; Zhang, W.B.; Liang, Q.; Yang, M.; Wen, P.C. Research and application status of cryogenic lactic acid bacteria. Food Ferment. Technol. 2017, 53, 83–87. [Google Scholar]
  12. Abbasiliasi, S.; Tan, J.S.; Ibrahim, T.A.T.; Bashokouh, F.; Ramakrishnan, N.R.; Mustafa, S.; Ariff, A.B. Fermentation factors influencing the production of bacteriocins by lactic acid bacteria: A review. R. Soc. Chem. Adv. 2017, 7, 29395–29420. [Google Scholar] [CrossRef]
  13. Farewell, A.; Neidhardt, F.C. Effect of temperature on in vivo protein synthetic capacity in Escherichia coli. J. Bacteriol. 1998, 180, 4704–4710. [Google Scholar] [CrossRef] [PubMed]
  14. Li, B.; Liu, K.; Kwok, L.Y.; Guo, S.; Bai, L.; Yang, X.; Chen, Y. Development of a non-target metabolomics-based screening method for elucidating metabolic and probiotic potential of bifidobacteria. Innov. Food Sci. Emerg. Technol. 2022, 77, 102971. [Google Scholar] [CrossRef]
  15. Xiong, T.; Huang, Q.F.; Du, M. Screening of excellent Bifidobacterium strains and their resistance to adverse environment of digestive tract. Food Sci. 2014, 35, 161–165. [Google Scholar]
  16. Saduakhasova, S.A.; Kushugulova, A.R.; Rakhimova, S.E.; Oralbaeva, S.S.; Bisenova, N.M.; Almagambetov, K. Characterization of antagonistic and acid formation properties of Lactobacillus casei. Zh Mikrobiol. Epidemiol. Immunobiol. 2007, 2, 84–87. [Google Scholar]
  17. Chen, Q.; Cao, D.; Zan, J.Q.; Li, X.Y.; Qin, P.; Huang, X.M.; Zhang, Y.J. Optimization of fermentation medium of chicken interferon-α engineering bacteria by response surface method. China Feed 2019, 11, 28–31. [Google Scholar] [CrossRef]
  18. Qiu, L.Y.; Wang, M.D.; Song, A.D.; Zhang, S.M.; Liu, X.Y.; Gao, Y.Q.; Qi, Y.C. It is necessary to strengthen the understanding and teaching of the deceleration phase in the growth curve of single-cell organisms in batch culture. Microbiol. Bull. 2008, 35, 432–435. [Google Scholar]
  19. Traisaeng, S.; Herr, D.R.; Kao, H.J.; Chuang, T.H.; Huang, C.M. A Derivative of Butyric Acid, the Fermentation Metabolite of Staphylococcus epidermidis, Inhibits the Growth of a Staphylococcus aureus Strain Isolated from Atopic Dermatitis Patients. Toxins 2019, 11, 311. [Google Scholar] [CrossRef]
  20. Madrid, R.E.; Felice, C.J. Microbial Biomass Estimation. Crit. Rev. Biotechnol. 2005, 25, 97–112. [Google Scholar] [CrossRef]
  21. Wu, H.; Zhao, Y.; Du, Y.; Miao, S.; Liu, J.; Li, Y.; Cai, Y.; Qing, G.; Qiao, J. Quantitative proteomics of Lactococcus lactis F44 under cross-stress of low pH and lactate. J. Dairy Sci. 2018, 101, 6872–6884. [Google Scholar] [CrossRef]
  22. Guo, X.H. Basic and Application of Probiotics; Beijing Science and Technology Press: Beijing, China, 2002; pp. 27–29. [Google Scholar]
  23. Salas-Navarrete, P.C.; de Oca Miranda, A.I.M.; Martínez, A.; Caspeta, L. Evolutionary and reverse engineering to increase Saccharomyces cerevisiae tolerance to acetic acid, acidic pH, and high temperature. Appl. Microbiol. Biotechnol. 2022, 106, 383–399. [Google Scholar] [CrossRef] [PubMed]
  24. Yuan, Y.; Hu, X.; Chen, H.; Zhou, Y.; Zhou, Y.; Wang, D. Advances in enhanced volatile fatty acid production from anaerobic fermentation of waste activated sludge. Sci. Total Environ. 2019, 694, 133741. [Google Scholar] [CrossRef] [PubMed]
  25. Duranti, S.; Lugli, G.A.; Napoli, S.; Anzalone, R.; Milani, C.; Mancabelli, L.; Ventura, M. Characterization of the phylogenetic diversity of five novel species belonging to the genus Bifidobacterium: Bifidobacterium castoris sp. nov., Bifidobacterium callimiconis sp. nov., Bifidobacterium goeldii sp. nov., Bifidobacterium samirii sp. nov. and Bifidobacterium dolichotidis sp. nov. Int. J. Syst. Evol. Microbiol. 2019, 69, 1288–1298. [Google Scholar] [CrossRef] [PubMed]
  26. Meng, X.C. Study on Physiological Function and Application of Bifidobacterium; Northeast Agricultural University: Harbin, China, 2002. [Google Scholar]
  27. Hwang, S.W.; Kwolek, W.F.; Haynes, W.C. Mycological society of america investigation of ultralow temperature for fungal cultures iii. viability and growth rate of mycelial cultures following cryogenic storage. Mycologia 2018, 68, 377–387. [Google Scholar] [CrossRef]
  28. Terpou, A.; Papadaki, A.; Lappa, I.K.; Kachrimanidou, V.; Bosnea, L.A.; Kopsahelis, N. Probiotics in Food Systems: Significance and Emerging Strategies Towards Improved Viability and Delivery of Enhanced Beneficial Value. Nutrients 2019, 11, 1591. [Google Scholar] [CrossRef]
  29. Guo, G.X.; Zhang, X.Q.; Miao, C.; Hou, G.Z.; Xu, L.J. Product evaluation and unqualified factor analysis of ELISA kit. Feed. Rev. 2018, 10, 53–55. [Google Scholar]
  30. Chen, H.G.; Li, Y.H.; Yang, G.Y. Optimization of assay conditions for the characteristic enzyme F6PPK of Bifidobacterium sp. J. Microbiol. 2008, 5, 25–28. [Google Scholar]
Figure 1. OD600nm of Bifidobacterium breve B2798 under different temperature: (A) 30 °C–32 °C; (B) 33 °C–35 °C; (C) 36 °C–38 °C; and (D) 39 °C–41 °C.
Figure 1. OD600nm of Bifidobacterium breve B2798 under different temperature: (A) 30 °C–32 °C; (B) 33 °C–35 °C; (C) 36 °C–38 °C; and (D) 39 °C–41 °C.
Fermentation 10 00553 g001
Figure 2. Viable cell counts of Bifidobacterium breve B2798 under different temperatures: (A) 30 °C–32 °C; (B) 33 °C–35 °C; (C) 36 °C–38 °C; and (D) 39 °C–41 °C.
Figure 2. Viable cell counts of Bifidobacterium breve B2798 under different temperatures: (A) 30 °C–32 °C; (B) 33 °C–35 °C; (C) 36 °C–38 °C; and (D) 39 °C–41 °C.
Fermentation 10 00553 g002
Figure 3. Acid production rates of Bifidobacterium breve B2798 under different cultivation temperatures: (A) 30 °C–32 °C; (B) 33 °C–35 °C; (C) 36 °C–38 °C; and (D) 39 °C–41 °C.
Figure 3. Acid production rates of Bifidobacterium breve B2798 under different cultivation temperatures: (A) 30 °C–32 °C; (B) 33 °C–35 °C; (C) 36 °C–38 °C; and (D) 39 °C–41 °C.
Fermentation 10 00553 g003
Figure 4. Biomass of bacteria cells under different cultivation temperatures: (A) dry cell weight (DCW); and (B) wet cell weight (WCW). Different letters represent significant differences (p < 0.05).
Figure 4. Biomass of bacteria cells under different cultivation temperatures: (A) dry cell weight (DCW); and (B) wet cell weight (WCW). Different letters represent significant differences (p < 0.05).
Fermentation 10 00553 g004
Figure 5. Standard curve of fructose-6-phosphate phosphoketolase (F6PPK).
Figure 5. Standard curve of fructose-6-phosphate phosphoketolase (F6PPK).
Fermentation 10 00553 g005
Figure 6. Dose–effect relationship between key enzyme activity in the metabolic pathway of Bifidobacteria and acid production volume.
Figure 6. Dose–effect relationship between key enzyme activity in the metabolic pathway of Bifidobacteria and acid production volume.
Fermentation 10 00553 g006
Figure 7. Acid-production abilities of Bifidobacterium breve B2798 after a 7-day storage period during different growth phases: (A) cultivation broth during the late logarithmic growth phase; and (B) cultivation broth during the late stable growth phase.
Figure 7. Acid-production abilities of Bifidobacterium breve B2798 after a 7-day storage period during different growth phases: (A) cultivation broth during the late logarithmic growth phase; and (B) cultivation broth during the late stable growth phase.
Fermentation 10 00553 g007
Figure 8. Changes in total acidity after a 7-day storage period of bacteria during different growth phases: (A) fermentation broth during the late logarithmic growth phase; and (B) fermentation broth during the late stable growth phase.
Figure 8. Changes in total acidity after a 7-day storage period of bacteria during different growth phases: (A) fermentation broth during the late logarithmic growth phase; and (B) fermentation broth during the late stable growth phase.
Fermentation 10 00553 g008
Figure 9. Growth curves of Bifidobacterium breve B2798 cultivated under dynamic conditions and different temperatures: (A) viable cell count (37 °C–39 °C); (B) cell density (37 °C–39 °C); (a) maximum viable cell count (37 °C–39 °C); and (b) maximum cell density (37 °C–39 °C). “ns” stands for significant difference (p > 0.05).
Figure 9. Growth curves of Bifidobacterium breve B2798 cultivated under dynamic conditions and different temperatures: (A) viable cell count (37 °C–39 °C); (B) cell density (37 °C–39 °C); (a) maximum viable cell count (37 °C–39 °C); and (b) maximum cell density (37 °C–39 °C). “ns” stands for significant difference (p > 0.05).
Fermentation 10 00553 g009
Figure 10. Cell biomass under different cultivation temperatures and during different growth phases: (A) dry cell weight (DCW); and (B) wet cell weight (WCW).
Figure 10. Cell biomass under different cultivation temperatures and during different growth phases: (A) dry cell weight (DCW); and (B) wet cell weight (WCW).
Fermentation 10 00553 g010
Figure 11. Cell biomass under different cultivation temperatures and during different growth phases: (A) standard curve of fructose-6-phosphate phosphokinase (F6PPK); and (B) enzyme activity concentrations under different growth phases and within a cultivation temperature range of 37 °C–39 °C.
Figure 11. Cell biomass under different cultivation temperatures and during different growth phases: (A) standard curve of fructose-6-phosphate phosphokinase (F6PPK); and (B) enzyme activity concentrations under different growth phases and within a cultivation temperature range of 37 °C–39 °C.
Fermentation 10 00553 g011
Table 1. Viability rates (%) of bacteria cells during different growth phases.
Table 1. Viability rates (%) of bacteria cells during different growth phases.
Cultivation Temperature (°C)Late Logarithmic Growth PhaseLate Stable Growth Phase
30 °C0.79 ± 0.02 Fb1.56 ± 0.03 Ga
31 °C0.00 ± 0.00 Ha0.00 ± 0.00 Ka
32 °C0.01 ± 0.00 Hb1.81 ± 0.01 Fa
33 °C0.02 ± 0.01 Hb0.40 ± 0.01 Ia
34 °C4.39 ± 0.04 Ba0.28 ± 0.01 Jb
35 °C4.18 ± 0.03 Ca2.32 ± 0.02 Eb
36 °C4.61 ± 0.01 Aa4.20 ± 0.03 Ab
37 °C4.36 ± 0.06 Ba3.10 ± 0.04 Cb
38 °C4.10 ± 0.01 Db3.90 ± 0.02 Ba
39 °C1.19 ± 0.01 Eb2.59 ± 0.01 Da
40 °C0.01 ± 0.00 Ha0.00 ± 0.00 Ka
41 °C0.66 ± 0.00 Gb0.90 ± 0.01 Ha
Note: Capital letters represent differences between different temperatures, lowercase letters represent differences between different growth periods at the same temperature, and different letters represent significant differences (p < 0.05).
Disclaimer/Publisher’s Note: The statements, opinions and data contained in all publications are solely those of the individual author(s) and contributor(s) and not of MDPI and/or the editor(s). MDPI and/or the editor(s) disclaim responsibility for any injury to people or property resulting from any ideas, methods, instructions or products referred to in the content.

Share and Cite

MDPI and ACS Style

Liu, K.; Liu, Y.; Yang, Z.; Yu, J.; Yao, G. Regulation of Cultivation Temperature on Biomass and Activity of Bifidobacterium breve B2798. Fermentation 2024, 10, 553. https://doi.org/10.3390/fermentation10110553

AMA Style

Liu K, Liu Y, Yang Z, Yu J, Yao G. Regulation of Cultivation Temperature on Biomass and Activity of Bifidobacterium breve B2798. Fermentation. 2024; 10(11):553. https://doi.org/10.3390/fermentation10110553

Chicago/Turabian Style

Liu, Kailong, Yiting Liu, Zhan Yang, Jie Yu, and Guoqiang Yao. 2024. "Regulation of Cultivation Temperature on Biomass and Activity of Bifidobacterium breve B2798" Fermentation 10, no. 11: 553. https://doi.org/10.3390/fermentation10110553

APA Style

Liu, K., Liu, Y., Yang, Z., Yu, J., & Yao, G. (2024). Regulation of Cultivation Temperature on Biomass and Activity of Bifidobacterium breve B2798. Fermentation, 10(11), 553. https://doi.org/10.3390/fermentation10110553

Note that from the first issue of 2016, this journal uses article numbers instead of page numbers. See further details here.

Article Metrics

Back to TopTop