Eliminating Luck and Chance in the Reactivation Process: A Systematic and Quantitative Study of the Thermal Reactivation of Activated Carbons
Abstract
:1. Introduction
2. Materials and Methods
2.1. Preparation of Exhausted AC
2.2. Reactivation Conditions and Target Parameters
2.3. Thermal Reactivation Protocol
2.4. Determination of RAC’s Adsorption Capacity
2.5. Design of Experiments
- the estimates for the coefficients β in model (Equation (1)) are independent of each other (i.e., they do not influence each other), and
- for given step values for −1 and 1 (code values) and a given number of individual trials, one obtains the narrowest possible confidence intervals for the coefficients β [24].
3. Results and Discussion
3.1. Thermal Reactivation
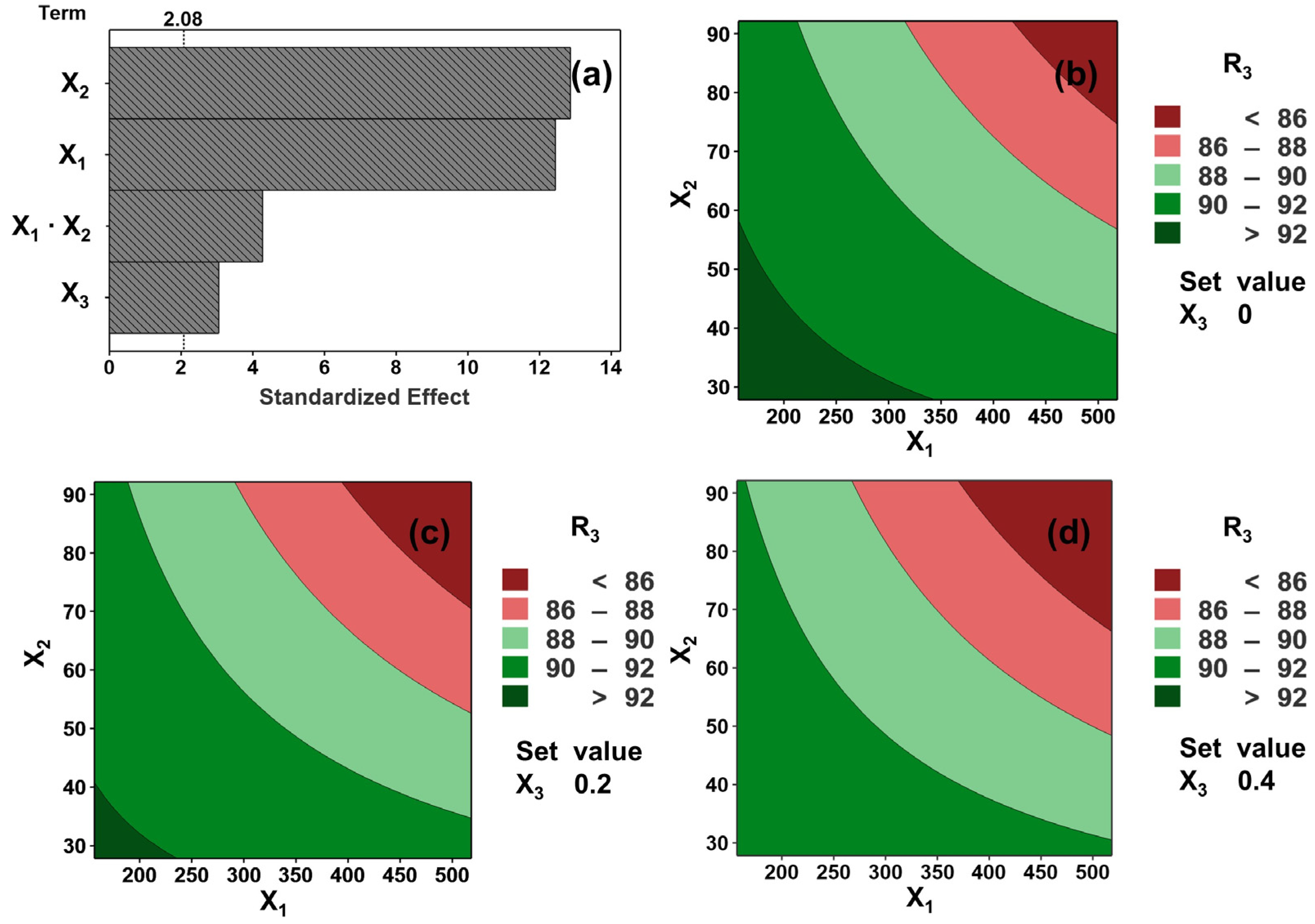
3.2. Statistical Model Analysis
3.3. Production of Reactivates with a Defined BET Surface Area at Lowest Energy Consumption
4. Conclusions and Outlook
- heating rate and heating time had the greatest influence on all the considered process and product criteria.
- the H2O/N2 ratio generally showed less effect, but a proper adjustment can help to increase the yield or the adsorption capacity.
- the CO2/N2 ratio only affected the adsorption capacity for diatrizoic acid.
- The results further show that the correlations between the effects (reactivation conditions or their combinations) have considerably nonlinear components. Therefore, the conducted nonlinear regression was necessary for the statistical modeling.
- a recovery of the adsorption properties as complete as possible can be achieved at a minimum mass loss,
- a tailor-made reactivate with desired characteristics can be produced, and
- the energy input and CO2 emissions can be minimized to produce reactivates with sufficient quality for less demanding treatment processes (downscaling).
Supplementary Materials
Author Contributions
Funding
Data Availability Statement
Conflicts of Interest
References
- Kennedy, A.M.; Reinert, A.M.; Knappe, D.R.U.; Ferrer, I.; Summers, R.S. Full- and pilot-scale GAC adsorption of organic micropollutants. Water Res. 2015, 68, 238–248. [Google Scholar] [CrossRef] [PubMed]
- Löwenberg, J.; Zenker, A.; Baggenstos, M.; Koch, G.; Kazner, C.; Wintgens, T. Comparison of two PAC/UF processes for the removal of micropollutants from wastewater treatment plant effluent: Process performance and removal efficiency. Water Res. 2014, 56, 26–36. [Google Scholar] [CrossRef]
- Freedonia Group. Activated Carbon: US Industry Study with Forecasts for 2020 & 2025; Study #3467; Freedonia Group: Cuyahoga County, OH, USA, 2016. [Google Scholar]
- Roskil Information Service Ltd. Information Service: Activated Carbon: Global Industry, Markets & Outlook, 9th ed.; Roskil Information Service Ltd.: London, UK, 2012. [Google Scholar]
- Zhao, F.F. Anwendung von Mikrowellen zur Reaktivierung von granulierter Aktivkohle aus der Abwasserbehandlung. In Dissertation 2016, Fakultät für Bauingenieurwesen der Rheinisch-Westfälischen Technischen Hochschule Aachen; RWTH Aachen University: Aachen, Germany, 2016. [Google Scholar]
- DWA. Arbeitsgruppe KA-8.6: Aktivkohleeinsatz auf kommunalen Kläranlagen zur Spurenstoffentfernung. Korresp. Abwasser Abfall 2016, 63, 1062–1067. [Google Scholar] [CrossRef]
- Salvador, F.; Martin-Sanchez, N.; Sanchez-Hernandez, R.; Sanchez-Montero, M.J.; Izquierdo, C. Regeneration of carbonaceous adsorbents. Part I: Thermal Regeneration. Microporous Mesoporous Mater. 2015, 202, 259–276. [Google Scholar] [CrossRef]
- Salvador, F.; Martin-Sanchez, N.; Sanchez-Hernandez, R.; Sanchez-Montero, M.J.; Izquierdo, C. Regeneration of carbonaceous adsorbents. Part II: Chemical, Microbiological and Vacuum Regeneration. Microporous Mesoporous Mater. 2015, 202, 277–296. [Google Scholar] [CrossRef]
- Xin-hui, D.; Srinivasakannan, C.; Jin-sheng, L. Process optimization of thermal regeneration of spent coal based activated carbon using steam and application to methylene blue dye adsorption. J. Taiwan Inst. Chem. Eng. 2014, 45, 1618–1627. [Google Scholar] [CrossRef]
- Vliet, B.M.V. The regeneration of activated carbon. J. South. Afr. Inst. Min. Metall. 1991, 91, 159–167. [Google Scholar] [CrossRef]
- Rodríguez-Reinoso, F.; Molina-Sabio, M.; González, M.T. The use of steam and CO2 as activating agents in the preparation of activated carbons. Carbon 1995, 33, 15–23. [Google Scholar] [CrossRef]
- Mauer, V.; Rathinam, K.; Bläker, C.; Pasel, C.; Panglisch, S.; Bathen, D. Influence of reactivation conditions on the physio-chemical properties of activated carbon. J. Water Process Eng. 2022, 48, 102784. [Google Scholar] [CrossRef]
- Wang, X.Y.; Li, D.X.; Yang, B.M.; Li, W. Textural Characteristics of Coconut Shell-Based Activated Carbons with Steam Activation. Adv. Mater. Res. 2013, 608–609, 366–373. [Google Scholar] [CrossRef]
- Knappe, D.R.U.; Dagois, G.; DeWolfe, J.R. Effect of Calcium on Thermal Regeneration of GAC. J. AWWA 1992, 84, 73–80. [Google Scholar] [CrossRef]
- Chestnutt, T.E.; Bach, M.T.; Mazyck, D.W. Improvement of thermal reactivation of activated carbon for the removal of 2-methylisoborneol. Water Res. 2007, 41, 79–86. [Google Scholar] [CrossRef]
- Li, Y.; Jin, H.; Liu, W.; Su, H.; Lu, Y.; Li, J. Study on regeneration of waste powder activated carbon through pyrolysis and its adsorption capacity of phosphorus. Sci. Rep. 2018, 8, 778. [Google Scholar] [CrossRef] [PubMed]
- Landwehrkamp, L.; Kouchaki-Shalmani, A.; Forner, C.; Hobby, R.; Eduful, J.; Wagner, C. Development of efficient characterization parameters for activated carbon used in drinking water treatment. J. Water Supply Res. Technol.-Aqua 2015, 64, 688–696. [Google Scholar] [CrossRef]
- Cevallos Toledo, R.B.; Aragón-Tobar, C.F.; Gámez, S.; de la Torre, E. Reactivation Process of Activated Carbons: Effect on the Mechanical and Adsorptive Properties. Molecules 2020, 25, 1681. [Google Scholar] [CrossRef]
- Xiao, F.; Sasi, P.C.; Yao, B.; Kubatova, A.; Golovko, S.A.; Golovko, M.Y.; Soli, D. Thermal Stability and Decomposition of Perfluoroalkyl Substances on Spent Granular Activated Carbon. Environ. Sci. Technol. Lett. 2020, 7, 343–350. [Google Scholar] [CrossRef]
- Gruyter, D. 3 Adsorption equilibrium I: General aspects and single-solute adsorption. In Adsorption Technology in Water Treatment: Fundamentals, Processes, and Modeling; De Gruyter: Berlin, Germany, 2012; pp. 41–76. [Google Scholar] [CrossRef]
- Tran, H.N.; You, S.-J.; Hosseini-Bandegharaei, A.; Chao, H.-P. Mistakes and inconsistencies regarding adsorption of contaminants from aqueous solutions: A critical review. Water Res. 2017, 120, 88–116. [Google Scholar] [CrossRef]
- Wang, J.-P.; Chen, Y.-Z.; Wang, Y.; Yuan, S.-J.; Yu, H.-Q. Optimization of the coagulation-flocculation process for pulp mill wastewater treatment using a combination of uniform design and response surface methodology. Water Res. 2011, 45, 5633–5640. [Google Scholar] [CrossRef]
- Rehman, K.; Arslan, M.; Müller, J.A.; Saeed, M.; Anwar, S.; Islam, E.; Imran, A.; Amin, I.; Mustafa, T.; Iqbal, S.; et al. Operational parameters optimization for remediation of crude oil-polluted water in floating treatment wetlands using response surface methodology. Sci. Rep. 2022, 12, 4566. [Google Scholar] [CrossRef]
- Kleppmann, W. Versuchsplanung: Produkte und Prozesse Optimieren; © 2016 Carl Hanser Verlag GmbH & Co. KG: München, Germany, 2016. [Google Scholar] [CrossRef]
- Dharmaraja Selvamuthu, D.D. Introduction to Statistical Methods, Design of Experiments and Statistical Quality Control; Springer: Singapore, 2018. [Google Scholar] [CrossRef]
- Software, M.S. Available online: https://www.minitab.com/en-us/support/ (accessed on 24 August 2023).
- Guo, Y.; Du, E. The Effects of Thermal Regeneration Conditions and Inorganic Compounds on the Characteristics of Activated Carbon Used in Power Plant. Energy Procedia 2012, 17, 444–449. [Google Scholar] [CrossRef]
- Basu, P. Chapter 7—Gasification Theory. In Biomass Gasification, Pyrolysis and Torrefaction, 3rd ed.; Basu, P., Ed.; Academic Press: Cambridge, MA, USA, 2018; pp. 211–262. [Google Scholar] [CrossRef]
- Contescu, C.I.; Adhikari, S.P.; Gallego, N.C.; Evans, N.D.; Biss, B.E. Activated Carbons Derived from High-Temperature Pyrolysis of Lignocellulosic Biomass. C 2018, 4, 51. [Google Scholar] [CrossRef]
- Vilen, A.; Laurell, P.; Vahala, R. Comparative life cycle assessment of activated carbon production from vari-ous raw materials. J. Environ. Manag. 2022, 324, 116356. [Google Scholar] [CrossRef] [PubMed]





| Run | X1 | X2 | X3 | X4 | R1 * | R2 | R3 | R4 * | |
|---|---|---|---|---|---|---|---|---|---|
| Heating Rate in K/h | Heating Time in min | H2O/N2 Volume Ratio | CO2/N2 Volume Ratio | BET Surface in m2/g | Energy Consumption in kWh | Yield in % | Diatrizoic Acid Adsorption Capacity in g/kg | ||
| Factorial points | 1 | 225 | 40 | 0 | 0 | 590 | 2.5 | 92.1 | 23.4 |
| 2 | 450 | 40 | 0 | 0 | 673 | 3.2 | 90.3 | 42.7 | |
| 3 | 225 | 80 | 0 | 0 | 635 | 3.8 | 90.0 | 40.8 | |
| 4 | 450 | 80 | 0 | 0 | 681 | 6 | 87.5 | 47.1 | |
| 5 | 225 | 40 | 0.3 | 0 | 597 | 2.5 | 91.5 | 34.1 | |
| 6 | 450 | 40 | 0.3 | 0 | 687 | 3.3 | 89.8 | 60 | |
| 7 | 225 | 80 | 0.3 | 0 | 659 | 3.9 | 89.8 | 35.4 | |
| 8 | 450 | 80 | 0.3 | 0 | 762 | 6 | 85.8 | 62.4 | |
| 9 | 225 | 40 | 0 | 0.3 | 598 | 2.4 | 92.0 | 30.3 | |
| 10 | 450 | 40 | 0 | 0.3 | 664 | 3.4 | 90.5 | 41.3 | |
| 11 | 225 | 80 | 0 | 0.3 | 649 | 3.8 | 90.4 | 47.7 | |
| 12 | 450 | 80 | 0 | 0.3 | 735 | 5.9 | 86.4 | 51.5 | |
| 13 | 225 | 40 | 0.3 | 0.3 | 644 | 2.6 | 91.4 | 36.2 | |
| 14 | 450 | 40 | 0.3 | 0.3 | 653 | 3.4 | 89.5 | 58.6 | |
| 15 | 225 | 80 | 0.3 | 0.3 | 633 | 4 | 89.9 | 50.6 | |
| 16 | 450 | 80 | 0.3 | 0.3 | 769 | 6 | 84.9 | 69.7 | |
| Axial points | 17 | 157 | 60 | 0.15 | 0.15 | 635 | 2.8 | 91.3 | 29.2 |
| 18 | 518 | 60 | 0.15 | 0.15 | 728 | 4.9 | 87.5 | 65 | |
| 19 | 338 | 28 | 0.15 | 0.15 | 668 | 2.3 | 91.7 | 32 | |
| 20 | 338 | 92 | 0.15 | 0.15 | 737 | 5.6 | 87.3 | 58.6 | |
| 21 | 338 | 60 | 0.4 | 0.15 | 686 | 3.8 | 89.4 | 52.1 | |
| 22 | 338 | 60 | 0.15 | 0.4 | 699 | 3.8 | 89.5 | 53.1 | |
| Center point | 23 | 338 | 60 | 0.15 | 0.15 | 680 | 3.7 | 89.9 | 38.8 |
| 24 | 338 | 60 | 0.15 | 0.15 | 690 | 3.8 | 89.3 | 39.7 | |
| 25 | 338 | 60 | 0.15 | 0.15 | 699 | 3.8 | 87.9 | 41 | |
| 26 | 338 | 60 | 0.15 | 0.15 | 674 | 3.9 | 89.5 | 43.3 |
| Factors | Label | |||||
|---|---|---|---|---|---|---|
| α = −1.61 | −1 | 0 | 1 | 1.61 | ||
| Heating rate (K/h) | X1 | 157 | 225 | 338 | 450 | 518 |
| Heating time (min) | X2 | 28 | 40 | 60 | 80 | 92 |
| H2O/N2 volume ratio | X3 | −0.15 | 0 | 0.15 | 0.3 | 0.4 |
| CO2/N2 volume ratio | X4 | −0.15 | 0 | 0.15 | 0.3 | 0.4 |
| Proposed Conditions | BET-Surface Area (m2/g) | Energy Consumption (kWh) | ||||
|---|---|---|---|---|---|---|
| Heating rate (K/h) | Heating time (min) | H2O/N2 ratio | Model prediction | Exp. result | Model prediction | Exp. result |
| 387 | 28 | 0 | 630 | 612 | 2.5 | 2.4 |
| Run | Heating Rate (K/h) | Heating Time (min) | H2O/N2 Ratio | BET-Surface Area (m2/g) | Energy Consumption (kWh) |
|---|---|---|---|---|---|
| 3 | 225 | 80 | 0 | 635 | 3.8 |
| 15 | 225 | 80 | 0.3 | 633 | 4 |
| 17 | 157 | 60 | 0.15 | 635 | 2.8 |
| OC | 387 | 28 | 0 | 612 | 2.4 |
Disclaimer/Publisher’s Note: The statements, opinions and data contained in all publications are solely those of the individual author(s) and contributor(s) and not of MDPI and/or the editor(s). MDPI and/or the editor(s) disclaim responsibility for any injury to people or property resulting from any ideas, methods, instructions or products referred to in the content. |
© 2023 by the authors. Licensee MDPI, Basel, Switzerland. This article is an open access article distributed under the terms and conditions of the Creative Commons Attribution (CC BY) license (https://creativecommons.org/licenses/by/4.0/).
Share and Cite
Rathinam, K.; Mauer, V.; Bläker, C.; Pasel, C.; Landwehrkamp, L.; Bathen, D.; Panglisch, S. Eliminating Luck and Chance in the Reactivation Process: A Systematic and Quantitative Study of the Thermal Reactivation of Activated Carbons. C 2023, 9, 115. https://doi.org/10.3390/c9040115
Rathinam K, Mauer V, Bläker C, Pasel C, Landwehrkamp L, Bathen D, Panglisch S. Eliminating Luck and Chance in the Reactivation Process: A Systematic and Quantitative Study of the Thermal Reactivation of Activated Carbons. C. 2023; 9(4):115. https://doi.org/10.3390/c9040115
Chicago/Turabian StyleRathinam, Karthik, Volker Mauer, Christian Bläker, Christoph Pasel, Lucas Landwehrkamp, Dieter Bathen, and Stefan Panglisch. 2023. "Eliminating Luck and Chance in the Reactivation Process: A Systematic and Quantitative Study of the Thermal Reactivation of Activated Carbons" C 9, no. 4: 115. https://doi.org/10.3390/c9040115
APA StyleRathinam, K., Mauer, V., Bläker, C., Pasel, C., Landwehrkamp, L., Bathen, D., & Panglisch, S. (2023). Eliminating Luck and Chance in the Reactivation Process: A Systematic and Quantitative Study of the Thermal Reactivation of Activated Carbons. C, 9(4), 115. https://doi.org/10.3390/c9040115

