Electrical Resistance Evolution of Graphite and Talc Geological Heterostructures under Progressive Metamorphism
Abstract
1. Introduction
2. Materials and Methods
2.1. Precursor Minerals and Piston-Cylinder Apparatus
- B-400-4: Graphite and talc in billets, treated at 400 °C and 4 kbar;
- B-400-6: Graphite and talc in billets, treated at 400 °C and 6 kbar;
- B-700-9: Graphite and talc in billets, treated at 700 °C and 9 kbar;
- MP-700-9: Graphite and talc in a homogeneous mixture of powders, treated at 700 °C and 9 kbar;
- P-700-9: Graphite and talc in adjacent contact powders, treated at 700 °C and 9 kbar;
- P-900-9: Graphite and talc in adjacent contact powders, treated at 900 °C and 9 kbar.
2.2. Diffusion Zones Characterization
2.3. Electrical Resistance Tests
3. Results
3.1. Microscopy of Treated Samples
3.2. Raman Spectroscopy of Graphite and Graphene
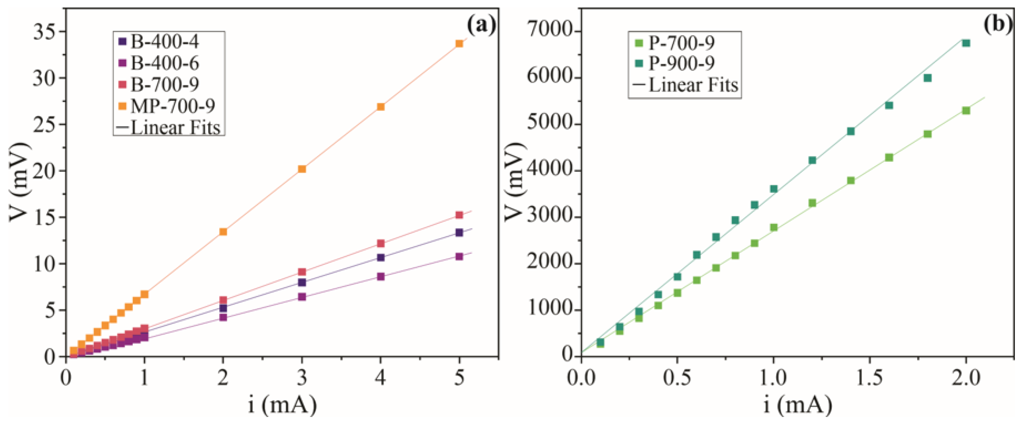
3.3. Electrical Resistance Tests
4. Discussion
5. Conclusions
Author Contributions
Funding
Data Availability Statement
Acknowledgments
Conflicts of Interest
References
- Geim, A.K.; Novoselov, K.S. The rise of graphene. Nat. Mater. 2007, 6, 183–191. [Google Scholar] [CrossRef]
- Novoselov, K.S.; Geim, A.K.; Morozov, S.V.; Jiang, D.; Zhang, Y.; Dubonos, S.V.; Grigorieva, I.V.; Firsov, A.A. Electric Field Effect in Atomically Thin Carbon Films. Science 2004, 306, 666–669. [Google Scholar] [CrossRef] [PubMed]
- Schwierz, F. Graphene Transistors: Status, Prospects, and Problems. Proc. IEEE 2013, 101, 1567–1584. [Google Scholar] [CrossRef]
- Tiwari, S.K.; Sahoo, S.; Wang, N.; Huczko, A. Graphene research and their outputs: Status and prospect. J. Sci. Adv. Mater. Devices 2020, 5, 10–29. [Google Scholar] [CrossRef]
- Geim, A.K. Graphene: Status and Prospects. Science 2009, 324, 1530–1534. [Google Scholar] [CrossRef]
- Liao, L.; Lin, Y.C.; Bao, M.; Cheng, R.; Bai, J.; Liu, Y.; Qu, Y.; Wang, K.L.; Huang, Y.; Duan, X. High-speed graphene transistors with a self-aligned nanowire gate. Nature 2010, 467, 305–308. [Google Scholar] [CrossRef]
- Sreeprasad, T.S.; Berry, V. How Do the Electrical Properties of Graphene Change with its Functionalization? Small 2012, 9, 341–350. [Google Scholar] [CrossRef]
- Cusati, T.; Fiori, G.; Gahoi, A.; Passi, V.; Lemme, M.C.; Fortunelli, A.; Iannaccone, G. Electrical properties of graphene-metal contacts. Sci. Rep. 2017, 7, 5109. [Google Scholar] [CrossRef]
- Guan, J.; Jia, C.; Li, Y.; Liu, Z.; Wang, J.; Yang, Z.; Gu, C.; Su, D.; Houk, K.N.; Zhang, D.; et al. Direct single-molecule dynamic detection of chemical reactions. Sci. Adv. 2018, 4, eaar2177. [Google Scholar] [CrossRef]
- Aguillon, F.; Marinica, D.C.; Borisov, A.G. Molecule Detection with Graphene Dimer Nanoantennas. J. Phys. Chem. C 2020, 124, 28210–28219. [Google Scholar] [CrossRef]
- Yang, C.; Yang, C.; Guo, Y.; Feng, J.; Guo, X. Graphene–molecule–graphene single-molecule junctions to detect electronic reactions at the molecular scale. Nat. Protoc. 2023, 18, 1958–1978. [Google Scholar] [CrossRef] [PubMed]
- Nag, A.; Mitra, A.; Mukhopadhyay, S.C. Graphene and its sensor-based applications: A review. Sens. Actuators A Phys. 2018, 270, 177–194. [Google Scholar] [CrossRef]
- Liu, J.; Bao, S.; Wang, X. Applications of Graphene-Based Materials in Sensors: A Review. Micromachines 2022, 13, 184. [Google Scholar] [CrossRef] [PubMed]
- Fu, W.; Jiang, L.; van Geest, E.P.; Lima, L.M.C.; Schneider, G.F. Sensing at the Surface of Graphene Field-Effect Transistors. Adv. Mater. 2016, 29, 1603610. [Google Scholar] [CrossRef] [PubMed]
- Giubileo, F.; Di Bartolomeo, A. The role of contact resistance in graphene field-effect devices. Prog. Surf. Sci. 2017, 92, 143–175. [Google Scholar] [CrossRef]
- Lu, N.; Wang, L.; Li, L.; Liu, M. A review for compact model of graphene field-effect transistors. Chin. Phys. B 2017, 26, 036804. [Google Scholar] [CrossRef]
- Ma, Y.; Zhi, L. Graphene-Based Transparent Conductive Films: Material Systems, Preparation and Applications. Small Methods 2018, 3, 1800199. [Google Scholar] [CrossRef]
- Suriani, A.B.; Muqoyyanah; Mohamed, A.; Alfarisa, S.; Mamat, M.H.; Ahmad, M.K.; Birowosuto, M.D.; Soga, T. Synthesis, transfer and application of graphene as a transparent conductive film: A review. Bull. Mater. Sci. 2020, 43, 310. [Google Scholar] [CrossRef]
- Miao, J.; Fan, T. Flexible and stretchable transparent conductive graphene-based electrodes for emerging wearable electronics. Carbon 2023, 202, 495–527. [Google Scholar] [CrossRef]
- Allen, M.J.; Tung, V.C.; Kaner, R.B. Honeycomb Carbon: A Review of Graphene. Chem. Rev. 2010, 110, 132–145. [Google Scholar] [CrossRef]
- Novoselov, K.S. Graphene: Materials in the Flatland (Nobel Lecture). Angew. Chem. Int. Ed. 2011, 50, 6986–7002. [Google Scholar] [CrossRef] [PubMed]
- Kin, Y.J.; Kin, Y.; Novoselov, K.; Hong, B.H. Engineering electrical properties of graphene: Chemical approaches. 2D Mater. 2015, 2, 042001. [Google Scholar] [CrossRef]
- Kiesel, M.L.; Platt, C.; Hanke, W.; Abanin, D.A.; Thomale, R. Competing many-body instabilities and unconventional superconductivity in graphene. Phys. Rev. B 2012, 86, 020507. [Google Scholar] [CrossRef]
- Han, T.H.; Kim, H.; Kwon, S.J.; Lee, T.W. Graphene-based flexible electronic devices. Mater. Sci. Eng. R 2017, 118, 1–43. [Google Scholar] [CrossRef]
- Kong, W.; Kum, H.; Bae, S.H.; Shim, J.; Kim, H.; Kong, L.; Meng, Y.; Wang, K.; Kim, C.; Kim, J. Path towards graphene commercialization from lab to market. Nat. Nanotechnol. 2019, 14, 927–938. [Google Scholar] [CrossRef] [PubMed]
- Zurutuza, A.; Marinelli, C. Challenges and opportunities in graphene commercialization. Nat. Nanotechnol. 2014, 9, 730–734. [Google Scholar] [CrossRef] [PubMed]
- Bøggild, P.; Mackenzie, D.M.A.; Whelan, P.R.; Petersen, D.H.; Buron, J.D.; Zurutuza, A.; Gallop, J.; Hao, L.; Jepsen, P.U. Mapping the electrical properties of large-area graphene. 2D Mater. 2017, 4, 042003. [Google Scholar] [CrossRef]
- Nobre, A.G.; Martínez, J.A.E.; Florêncio, O. Mineral Nanotechnology in Circular Economy. In Smart Innovation, Systems and Technologies; Iano, Y., Saotome, O., Kemper, G., Seixas, A.C.M., Oliveira, G.G., Eds.; Springer: Cham, Switzerland, 2021; Volume 233, pp. 220–226. [Google Scholar] [CrossRef]
- Nobre, A.G.; da Silva, L.P.N.; Andrade, F.R.D. Graphene Geology and the Fourth Industrial Revolution. In Smart Innovation, Systems and Technologies; Iano, Y., Saotome, O., Vásquez, G.L.K., Pezzuto, C.C., Arthur, R., Oliveira, G.G., Eds.; Springer: Cham, Switzerland, 2022; Volume 207, pp. 342–348. [Google Scholar] [CrossRef]
- Yardley, B.; Warren, C. An Introduction to Metamorphic Petrology; Cambridge University Press: Cambridge, UK, 2021. [Google Scholar] [CrossRef]
- Nobre, A.G.; Martínez, J.A.E.; Terence, M.C.; Florêncio, O. The action of shear zones in the natural availability of graphite nanoplatelets: The example of the metadolomites of the Itaiacoca Group and the mica schist of the Dom Silverio Group. Braz. J. Anim. Environ. Res. 2020, 3, 3108–3118. [Google Scholar] [CrossRef]
- Alaferdov, A.V.; Gholamipour-Shirazi, A.; Canesqui, M.A.; Danilov, Y.A.; Mashkalev, S.A. Size-controlled synthesis of graphite nanoflakes and multi-layer graphene by liquid phase exfoliation of natural graphite. Carbon 2014, 69, 525–535. [Google Scholar] [CrossRef]
- Kottegoda, I.R.M.; Gao, X.; Nayanajith, L.D.C.; Manorathne, C.H.; Wang, J.; Wang, J.Z.; Liu, H.K.; Gofer, Y. Comparison of Few-layer Graphene Prepared from Natural Graphite through Fast Synthesis Approach. J. Mater. Sci. Technol. 2015, 31, 907–912. [Google Scholar] [CrossRef]
- Suragtkhuu, S.; Tserendavag, O.; Vandandoo, U.; Bati, A.S.R.; Bat-Erdene, M.; Shapter, J.G.; Batmunkh, M.; Davaasambuu, S. Efficiency and stability enhancement of perovskite solar cells using reduced graphene oxide derived from earth-abundant natural graphite. RSC Adv. 2020, 10, 9133–9139. [Google Scholar] [CrossRef]
- Mu, Y.; Han, M.; Li, J.; Liang, J.; Yu, J. Growing vertical graphene sheets on natural graphite for fast charging lithium-ion batteries. Carbon 2021, 173, 477–484. [Google Scholar] [CrossRef]
- Frisenda, R.; Niu, Y.; Gant, P.; Muñoz, M.; Castellanos-Gomez, A. Naturally occurring van der Waals materials. npj 2D Mater. Appl. 2020, 4, 38. [Google Scholar] [CrossRef]
- Zhou, Y.; LaChance, A.M.; Smith, A.T.; Cheng, H.; Liu, Q.; Sun, L. Strategic Design of Clay-Based Multifunctional Materials: From Natural Minerals to Nanostructured Membranes. Adv. Funct. Mater. 2019, 29, 1807611. [Google Scholar] [CrossRef]
- Saha, K.; Deka, J.; Gogoi, R.K.; Datta, K.K.R.; Raidongia, K. Applications of Lamellar Membranes Reconstructed from Clay Mineral-Based Nanosheets: A Review. ACS Appl. Nano Mater. 2022, 5, 15972–15999. [Google Scholar] [CrossRef]
- Liu, S.; Zou, D.; Yu, X.; Wang, Z.; Yang, Z. Transfer-Free PZT Thin Films for Flexible Nanogenerators Derived from a Single-Step Modified Sol–Gel Process on 2D Mica. ACS Appl. Mater. Interfaces 2020, 12, 54991–54999. [Google Scholar] [CrossRef]
- Piao, H.; Choi, G.; Rejinold, N.S.; Vinu, A.; Choy, J.H. g-C3N4 Monolayer/2D Mica Nanohybrids with Highly Effective UV–HEV-Screening Function. Adv. Mater. Interfaces 2023, 10, 2202486. [Google Scholar] [CrossRef]
- Ulian, G.; Moro, D.; Valdrè, G. Electronic and optical properties of graphene/molybdenite bilayer composite. Compos. Struct. 2021, 255, 112978. [Google Scholar] [CrossRef]
- Li, L.; Wang, H.; Liang, T.; Cao, J.M.; Yan, C.; Wu, X.L. Natural ore molybdenite as a high-capacity and cheap anode material for advanced lithium-ion capacitors. Nanotechnology 2022, 33, 255401. [Google Scholar] [CrossRef]
- Vasić, B.; Czibula, C.; Kratzer, M.; Neves, B.R.A.; Matković, A.; Teichert, C. Two-dimensional talc as a van der Waals material for solid lubrication at the nanoscale. Nanotechnology 2021, 32, 265701. [Google Scholar] [CrossRef]
- Zhao, J.; Gao, T.; Dang, J.; Cao, W.; Wang, Z.; Li, S.; Shi, Y. Using Green, Economical, Efficient Two-Dimensional (2D) Talc Nanosheets as Lubricant Additives under Harsh Conditions. Nanomaterials 2022, 12, 1666. [Google Scholar] [CrossRef] [PubMed]
- Nobre, A.G.; Salazar-Naranjo, A.F.; Andrade, F.R.D.; Vlach, S.R.F.; Ando, R.A. Simulation of geological graphene genesis by the piston-cylinder apparatus. Matéria 2022, 27, e20220122. [Google Scholar] [CrossRef]
- Alencar, A.B.; Barboza, A.P.M.; Archanjo, B.S.; Chacham, H.; Neves, B.R.A. Experimental and theoretical investigations of monolayer and few-layer talc. 2D Mater. 2015, 2, 015004. [Google Scholar] [CrossRef]
- Mania, E.; Alencar, A.B.; Cadore, A.R.; Carvalho, B.R.; Watanabe, K.; Taniguchi, T.; Neves, B.R.A.; Chacham, H.; Campos, L.C. Spontaneous doping on high quality talc-graphene-hBN van der Waals heterostructures. 2D Mater. 2017, 4, 031008. [Google Scholar] [CrossRef]
- Barcelos, I.D.; Cadore, A.R.; Alencar, A.B.; Maia, F.C.B.; Mania, E.; Oliveira, R.F.; Bufon, C.C.B.; Malachias, A.; Freitas, R.O.; Moreira, R.L.; et al. Infrared Fingerprints of Natural 2D Talc and Plasmon–Phonon Coupling in Graphene–Talc Heterostructures. ACS Photonics 2018, 5, 1912–1918. [Google Scholar] [CrossRef]
- Yakobson, B.I.; Ding, F. Observational Geology of Graphene, at the Nanoscale. ACS Nano 2011, 5, 1569–1574. [Google Scholar] [CrossRef]
- Wong, C.H.A.; Sofer, Z.; Pumera, M. Geographical and Geological Origin of Natural Graphite Heavily Influence the Electrical and Electrochemical Properties of Chemically Modified Graphenes. Chem.-Eur. J. 2015, 21, 8435–8440. [Google Scholar] [CrossRef]
- Prinsloo, L.C.; Bordes, L.; Mauran, G.; Lombard, M.; Wadley, L. Graphite and multilayer graphene detected on ~70,000-year-old stone tools: Geological origin or constituent of hafting resin? J. Raman Spectrosc. 2022, 54, 182–190. [Google Scholar] [CrossRef]
- Boccard, N. Commodities & Sustainability. SSRN 2021, 1, 1–37. [Google Scholar] [CrossRef]
- Hushko, S.; Botelho, J.M.; Maksymova, I.; Slusarenko, K.; Kulishov, V. Sustainable development of global mineral resources market in Industry 4.0 context. IOP Conf. Ser. Earth Environ. Sci. 2021, 628, 012025. [Google Scholar] [CrossRef]
- Boyd, F.R.; England, J.L. Apparatus for phase-equilibrium measurements at pressures up to 50 kilobars and temperatures up to 1750 °C. J. Geophys. Res. 1960, 65, 741–748. [Google Scholar] [CrossRef]
- Holloway, J.R.; Wood, B.J. Simulating the Earth: Experimental Geochemistry, 1st ed.; Springer Science & Business Media: London, UK, 2012. [Google Scholar]
- Vlach, S.R.F.; Salazar-Naranjo, A.F.; Torres-Corredor, J.S.; Carvalho, P.R.; Mallmann, G. Calibration of high-temperature furnace assemblies for experiments between 200 and 600 MPa with end-loaded piston-cylinder apparatuses. Braz. J. Geol. 2019, 49, 1–7. [Google Scholar] [CrossRef]
- Pawley, A.R.; Wood, B.J. The high-pressure stability of talc and 10 Å phase: Potential storage sites for H2O in subduction zones. Am. Mineral. 1995, 9, 998–1003. [Google Scholar] [CrossRef]
- Oganov, A.R.; Hemley, R.J.; Hazen, R.M.; Jones, A.P. Structure, Bonding, and Mineralogy of Carbon at Extreme Conditions. Rev. Mineral. Geochem. 2013, 75, 47–77. [Google Scholar] [CrossRef]
- Tuinstra, F.; Koenig, J.L. Raman Spectrum of Graphite. J. Chem. Phys. 1970, 53, 1126–1130. [Google Scholar] [CrossRef]
- Ferrari, A.C.; Meyer, J.C.; Scardaci, V.; Casiraghi, C.; Lazzeri, M.; Mauri, F.; Piscanec, S.; Jiang, D.; Novoselov, K.S.; Roth, S.; et al. Raman spectrum of graphene and graphene layers. Phys. Rev. Lett. 2006, 97, 187401. [Google Scholar] [CrossRef] [PubMed]
- Ferrari, A.C. Raman spectroscopy of graphene and graphite: Disorder, electron–phonon coupling, doping and nonadiabatic effects. Solid State Commun. 2007, 143, 47–57. [Google Scholar] [CrossRef]
- Singh, V.; Joung, D.; Zhai, L.; Das, S.; Khondaker, S.; Seal, S. Graphene based materials: Past, present and future. Prog. Mater. Sci. 2011, 56, 1178–1271. [Google Scholar] [CrossRef]
- Martin, J.P. Measuring resistance/impedance with the four-wire Kelvin method. Watts Curr. Tech. Bull. 2014, 1, 1–11. [Google Scholar]
- Heaney, M.B. Electrical Conductivity and Resistivity. In Electrical Measurement, Signal Processing, and Displays; CRC Press: Boca Raton, FL, USA, 2003. [Google Scholar]
- Szabó, G.A.J.; Andrade, F.R.D.; Guimarães, G.B.; Carvalho, F.M.S.; Moya, F.A. As Jazidas de Talco no Contexto da História Metamórfica dos Metadolomitos do Grupo Itaiacoca, PR. Geol. USP Série Científica 2006, 5, 13–31. [Google Scholar] [CrossRef]
- Saunite, D.M.; Bello, R.M.S.; Andrade, F.R.D.; Szabó, G.A.J. Metadolomitos talcificados do Grupo Itaiacoca, Paraná: Regime de fluidos e implicações genéticas. Geol. USP Série Científica 2011, 11, 171–187. [Google Scholar] [CrossRef]







| Sample | Resistance (Ω) |
|---|---|
| B-400-4 | 2.67 |
| B-400-6 | 2.17 |
| B-700-9 | 3.05 |
| MP-700-9 | 6.51 |
| P-700-9 | 2655.00 |
| P-900-9 | 3583.00 |
Disclaimer/Publisher’s Note: The statements, opinions and data contained in all publications are solely those of the individual author(s) and contributor(s) and not of MDPI and/or the editor(s). MDPI and/or the editor(s) disclaim responsibility for any injury to people or property resulting from any ideas, methods, instructions or products referred to in the content. |
© 2023 by the authors. Licensee MDPI, Basel, Switzerland. This article is an open access article distributed under the terms and conditions of the Creative Commons Attribution (CC BY) license (https://creativecommons.org/licenses/by/4.0/).
Share and Cite
Nobre, A.G.; de Andrade, F.R.D.; Salazar-Naranjo, A.F.; Rigue, J.N.; da Silva, R.B.; Vlach, S.R.F.; Ando, R.A. Electrical Resistance Evolution of Graphite and Talc Geological Heterostructures under Progressive Metamorphism. C 2023, 9, 75. https://doi.org/10.3390/c9030075
Nobre AG, de Andrade FRD, Salazar-Naranjo AF, Rigue JN, da Silva RB, Vlach SRF, Ando RA. Electrical Resistance Evolution of Graphite and Talc Geological Heterostructures under Progressive Metamorphism. C. 2023; 9(3):75. https://doi.org/10.3390/c9030075
Chicago/Turabian StyleNobre, Augusto Gonçalves, Fabio Ramos Dias de Andrade, Andres Fabian Salazar-Naranjo, Josue Neroti Rigue, Ricardo Barreto da Silva, Silvio Roberto Farias Vlach, and Romulo Augusto Ando. 2023. "Electrical Resistance Evolution of Graphite and Talc Geological Heterostructures under Progressive Metamorphism" C 9, no. 3: 75. https://doi.org/10.3390/c9030075
APA StyleNobre, A. G., de Andrade, F. R. D., Salazar-Naranjo, A. F., Rigue, J. N., da Silva, R. B., Vlach, S. R. F., & Ando, R. A. (2023). Electrical Resistance Evolution of Graphite and Talc Geological Heterostructures under Progressive Metamorphism. C, 9(3), 75. https://doi.org/10.3390/c9030075

