Identification of Tumor-Suppressive miR-30a-3p Controlled Genes: ANLN as a Therapeutic Target in Breast Cancer
Abstract
1. Introduction
2. Results
2.1. Genomic Structure of miR-30a-5p and miR-30a-3p, and Their Expression in BC Clinical Specimens
2.2. Antitumor Roles of miR-30a-3p in BC Cells
2.3. Identification of miR-30a-3p-Controlled Cancer-Promoting Genes in BC Cells
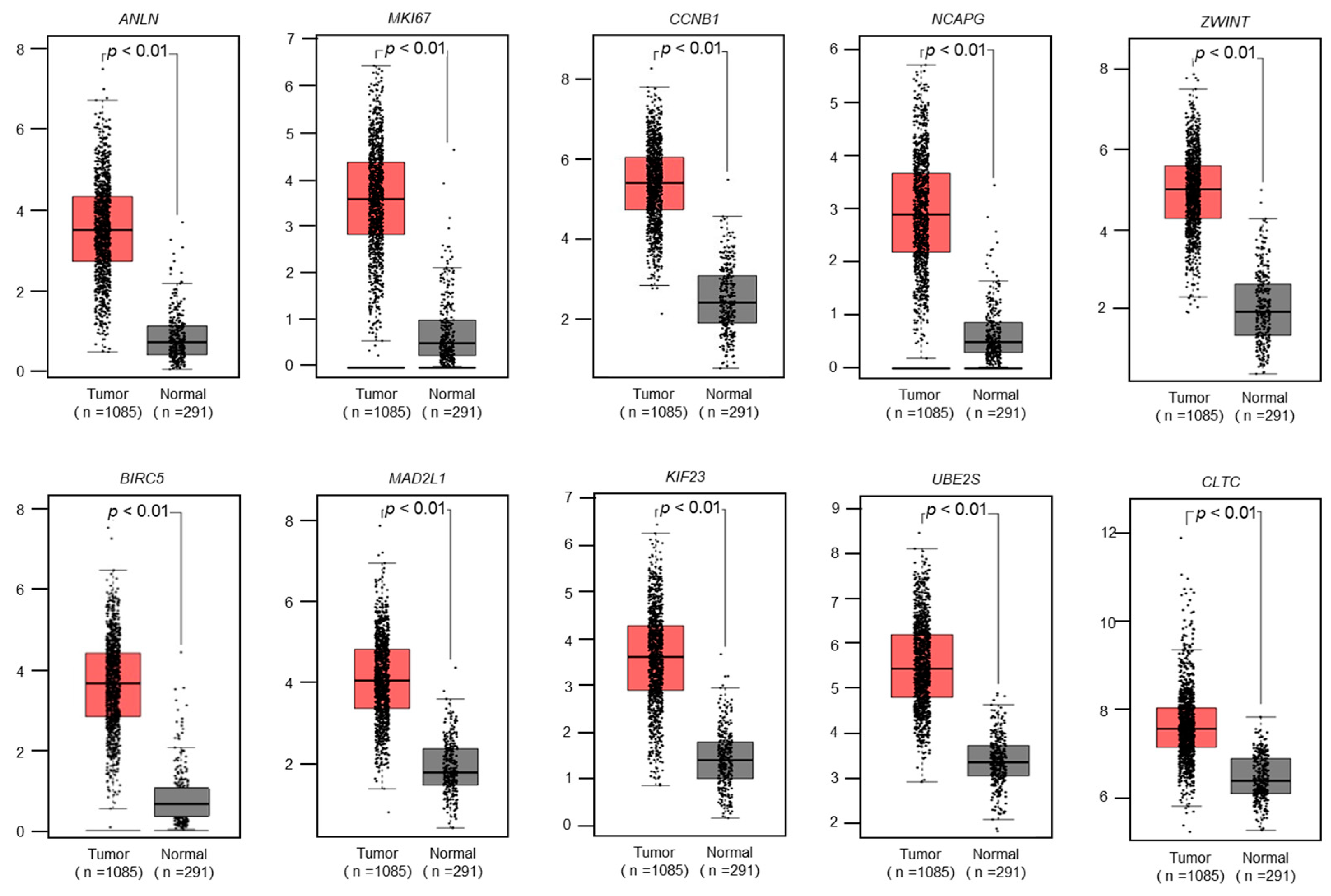
2.4. Clinical Significance of Cell-Cycle-Related Genes Determined via TCGA-BRCA Database Analysis
2.5. Expression Control of Four Genes (ANLN, CCNB1, BIRC5, and KIF23) by miR-30a-3p in BC
2.6. Direct Regulation of ANLN by miR-30a-3p in BC Cells
2.7. Functional Significance of ANLN in BC Cells
2.8. Clinical Significance of ANLN in BC Clinical Specimens
3. Discussion
4. Materials and Methods
4.1. Cell Lines and BC Clinical Specimens
4.2. Analysis of BC Clinical Specimens Using TCGA-BRCA Database
4.3. RT-qPCR and Functional Assays of miRNAs and miRNA Target Genes in BC Cells
4.4. Identification of Oncogenic Targets Controlled by miR-30a-3p in BC Cells
4.5. Western Blotting and Immunohistochemistry
4.6. Plasmid Construction and Dual-Luciferase Reporter Assay
4.7. Statistical Analysis
5. Conclusions
Supplementary Materials
Author Contributions
Funding
Institutional Review Board Statement
Informed Consent Statement
Data Availability Statement
Conflicts of Interest
References
- Loibl, S.; Poortmans, P.; Morrow, M.; Denkert, C.; Curigliano, G. Breast cancer. Lancet 2021, 397, 1750–1769. [Google Scholar] [CrossRef] [PubMed]
- Heer, E.; Harper, A.; Escandor, N.; Sung, H.; McCormack, V.; Fidler-Benaoudia, M.M. Global burden and trends in premenopausal and postmenopausal breast cancer: A population-based study. Lancet Glob Health 2020, 8, e1027–e1037. [Google Scholar] [CrossRef] [PubMed]
- Bray, F.; Laversanne, M.; Sung, H.; Ferlay, J.; Siegel, R.L.; Soerjomataram, I.; Jemal, A. Global cancer statistics 2022: GLOBOCAN estimates of incidence and mortality worldwide for 36 cancers in 185 countries. CA Cancer J. Clin. 2024, 74, 229–263. [Google Scholar] [CrossRef] [PubMed]
- Perou, C.M.; Sørlie, T.; Eisen, M.B.; van de Rijn, M.; Jeffrey, S.S.; Rees, C.A.; Pollack, J.R.; Ross, D.T.; Johnsen, H.; Akslen, L.A.; et al. Molecular portraits of human breast tumours. Nature 2000, 406, 747–752. [Google Scholar] [CrossRef]
- Coates, A.S.; Winer, E.P.; Goldhirsch, A.; Gelber, R.D.; Gnant, M.; Piccart-Gebhart, M.; Thürlimann, B.; Senn, H.-J. Panel Members. Tailoring therapies-Improving the management of early breast cancer. St Gallen International Expert Consensus on the primary therapy of early breast cancer. Ann. Oncol. 2015, 26, 1533–1546. [Google Scholar] [CrossRef]
- Goldhirsch, A.; Winer, E.P.; Coates, A.S.; Gelber, R.D.; Piccart-Gebhart, M.; Thürlimann, B.; Senn, H.-J. Personalizing the treatment of women with early breast cancer: Highlights of the St Gallen International Expert Consensus on the Primary Therapy of Early Breast Cancer 2013. Ann Oncol. 2013, 24, 2206–2223. [Google Scholar] [CrossRef]
- Győrffy, B.; Hatzis, C.; Sanft, T.; Hofstatter, E.; Aktas, B.; Pusztai, L. Multigene prognostic tests in breast cancer: Past, present, future. Breast Cancer Res. 2015, 17, 11. [Google Scholar] [CrossRef]
- Dawood, S.; Broglio, K.; Buzdar, A.U.; Hortobagyi, G.N.; Giordano, S.H. Prognosis of women with metastatic breast cancer by HER2 status and trastuzumab treatment: An institutional-based review. J. Clin. Oncol. 2010, 28, 92–98. [Google Scholar] [CrossRef]
- Darlix, A.; Louvel, G.; Fraisse, J.; Jacot, W.; Brain, E.; Debled, M.; Mouret-Reynier, M.A.; Goncalves, A.; Dalenc, F.; Delaloge, S.; et al. Impact of breast cancer molecular subtypes on the incidence, kinetics and prognosis of central nervous system metastases in a large multicentre real-life cohort. Br. J. Cancer. 2019, 121, 991–1000. [Google Scholar] [CrossRef]
- Kuksis, M.; Gao, Y.; Tran, W.; Hoey, C.; Kiss, A.; Komorowski, A.S.; Dhaliwal, A.J.; Sahgal, A.; Das, S.; Chan, K.K.; et al. The incidence of brain metastases among patients with metastatic breast cancer: A systematic review and meta-analysis. Neuro. Oncol. 2021, 23, 894–904. [Google Scholar] [CrossRef]
- Ha, M.; Kim, V.N. Regulation of microRNA biogenesis. Nat. Rev. Mol. Cell Biol. 2014, 15, 509–524. [Google Scholar] [CrossRef] [PubMed]
- Treiber, T.; Treiber, N.; Meister, G. Publisher Correction: Regulation of microRNA biogenesis and its crosstalk with other cellular pathways. Nat. Rev. Mol. Cell Biol. 2019, 20, 321. [Google Scholar] [CrossRef] [PubMed]
- Toda, H.; Kurozumi, S.; Kijima, Y.; Idichi, T.; Shinden, Y.; Yamada, Y.; Arai, T.; Maemura, K.; Fujii, T.; Horiguchi, J.; et al. Molecular pathogenesis of triple-negative breast cancer based on microRNA expression signatures: Antitumor miR-204-5p targets AP1S3. J. Hum. Genet. 2018, 63, 1197–1210. [Google Scholar] [CrossRef] [PubMed]
- Mitsueda, R.; Toda, H.; Shinden, Y.; Fukuda, K.; Yasudome, R.; Kato, M.; Kikkawa, N.; Ohtsuka, T.; Nakajo, A.; Seki, N. Oncogenic targets regulated by tumor-suppressive miR-30c-1-3p and miR-30c-2-3p: TRIP13 facilitates cancer cell aggressiveness in breast cancer. Cancers 2023, 15, 4189. [Google Scholar] [CrossRef]
- Shinden, Y.; Hirashima, T.; Nohata, N.; Toda, H.; Okada, R.; Asai, S.; Tanaka, T.; Hozaka, Y.; Ohtsuka, T.; Kijima, Y.; et al. Molecular pathogenesis of breast cancer: Impact of miR-99a-5p and miR-99a-3p regulation on oncogenic genes. J. Hum. Genet. 2021, 66, 519–534. [Google Scholar] [CrossRef]
- O’Brien, J.; Hayder, H.; Zayed, Y.; Peng, C. Overview of MicroRNA biogenesis, mechanisms of actions, and circulation. Front. Endocrinol. 2018, 9, 402. [Google Scholar] [CrossRef]
- Yang, S.-J.; Wang, D.-D.; Chen, X.; Shen, H.-Y.; Zhang, X.-H.; Zhong, S.-L.; Tang, J.-H.; Zhao, J.-H. The miR-30 family: Versatile players in breast cancer. Tumour Biol. 2017, 39, 1010428317692204. [Google Scholar] [CrossRef]
- Xiong, J.; Wei, B.; Ye, Q.; Liu, W. MiR-30a-5p/UBE3C axis regulates breast cancer cell proliferation and migration. Biochem. Biophys. Res. Commun. 2019, 516, 1013–1018. [Google Scholar] [CrossRef]
- Li, L.; Kang, L.; Zhao, W.; Feng, Y.; Liu, W.; Wang, T.; Mai, H.; Huang, J.; Chen, S.; Liang, Y.; et al. miR-30a-5p suppresses breast tumor growth and metastasis through inhibition of LDHA-mediated Warburg effect. Cancer Lett. 2017, 400, 89–98. [Google Scholar] [CrossRef]
- Li, W.; Liu, C.; Zhao, C.; Zhai, L.; Lv, S. Downregulation of β3 integrin by miR-30a-5p modulates cell adhesion and invasion by interrupting Erk/Ets 1 network in triple-negative breast cancer. Int. J. Oncol. 2016, 48, 1155–1164. [Google Scholar] [CrossRef]
- Li, F.; Zhao, J.; Wang, L.; Chi, Y.; Huang, X.; Liu, W. METTL14-mediated miR-30c-1-3p maturation represses the progression of lung cancer via regulation of MARCKSL1 expression. Mol. Biotechnol. 2022, 64, 199–212. [Google Scholar] [CrossRef] [PubMed]
- Liu, S.; Li, X.; Zhuang, S. MiR-30c impedes glioblastoma cell proliferation and migration by targeting SOX9. Oncol. Res. 2019, 27, 165–171. [Google Scholar] [CrossRef] [PubMed]
- Tanaka, T.; Okada, R.; Hozaka, Y.; Wada, M.; Moriya, S.; Satake, S.; Idichi, T.; Kurahara, H.; Ohtsuka, T.; Seki, N. Molecular pathogenesis of pancreatic ductal adenocarcinoma: Impact of miR-30c-5p and miR-30c-2-3p regulation on oncogenic genes. Cancers 2020, 12, 2731. [Google Scholar] [CrossRef] [PubMed]
- Turashvili, G.; Lightbody, E.D.; Tyryshkin, K.; SenGupta, S.K.; Elliott, B.E.; Madarnas, Y.; Ghaffari, A.; Day, A.; Nicol, C.J.B. Novel prognostic and predictive microRNA targets for triple-negative breast cancer. FASEB J. 2018, 32, 5937–5954. [Google Scholar] [CrossRef]
- Wang, Y.; Wang, F.; He, J.; Du, J.; Zhang, H.; Shi, H.; Chen, Y.; Wei, Y.; Xue, W.; Yan, J.; et al. MiR-30a-3p targets MAD2L1 and regulates proliferation of gastric cancer cells. Onco Targets Ther. 2019, 12, 11313–11324. [Google Scholar] [CrossRef]
- Chen, Y.; Zhou, J.; Wu, X.; Huang, J.; Chen, W.; Liu, D.; Zhang, J.; Huang, Y.; Xue, W. miR-30a-3p inhibits renal cancer cell invasion and metastasis through targeting ATG12. Transl. Androl. Urol. 2020, 9, 646–653. [Google Scholar] [CrossRef]
- Hwang, T.I.-S.; Chen, P.-C.; Tsai, T.-F.; Lin, J.-F.; Chou, K.-Y.; Ho, C.-Y.; Chen, H.-E.; Chang, A.-C. Correction: Hsa-miR-30a-3p overcomes the acquired protective autophagy of bladder cancer in chemotherapy and suppresses tumor growth and muscle invasion. Cell Death Dis. 2022, 13, 514. [Google Scholar] [CrossRef]
- Shimomura, H.; Okada, R.; Tanaka, T.; Hozaka, Y.; Wada, M.; Moriya, S.; Idichi, T.; Kita, Y.; Kurahara, H.; Ohtsuka, T.; et al. Role of miR-30a-3p regulation of oncogenic targets in pancreatic ductal adenocarcinoma pathogenesis. Int. J. Mol. Sci. 2020, 21, 6459. [Google Scholar] [CrossRef]
- Tanigawa, K.; Misono, S.; Mizuno, K.; Asai, S.; Suetsugu, T.; Uchida, A.; Kawano, M.; Inoue, H.; Seki, N. MicroRNA signature of small-cell lung cancer after treatment failure: Impact on oncogenic targets by miR-30a-3p control. Mol. Oncol. 2023, 17, 328–343. [Google Scholar] [CrossRef]
- Wang, D.; Naydenov, N.G.; Dozmorov, M.G.; Koblinski, J.E.; Ivanov, A.I. Anillin regulates breast cancer cell migration, growth, and metastasis by non-canonical mechanisms involving control of cell stemness and differentiation. Breast Cancer Res. 2020, 22, 3. [Google Scholar] [CrossRef]
- Garno, C.; Irons, Z.H.; Gamache, C.M.; McKim, Q.; Reyes, G.; Wu, X.; Shuster, C.B.; Henson, J.H. Building the cytokinetic contractile ring in an early embryo: Initiation as clusters of myosin II, anillin and septin, and visualization of a septin filament network. PLoS ONE 2021, 16, e0252845. [Google Scholar] [CrossRef] [PubMed]
- Mahly, A.; Padmanabhan, K.; Soffer, A.; Cohen, J.; Omar, J.; Sagi-Eisenberg, R.; Luxenburg, C. Anillin governs mitotic rounding during early epidermal development. BMC Biol. 2022, 20, 145. [Google Scholar] [CrossRef] [PubMed]
- Idichi, T.; Seki, N.; Kurahara, H.; Yonemori, K.; Osako, Y.; Arai, T.; Okato, A.; Kita, Y.; Arigami, T.; Mataki, Y.; et al. Regulation of actin-binding protein ANLN by antitumor miR-217 inhibits cancer cell aggressiveness in pancreatic ductal adenocarcinoma. Oncotarget 2017, 8, 53180–53193. [Google Scholar] [CrossRef] [PubMed]
- Suzuki, C.; Daigo, Y.; Ishikawa, N.; Kato, T.; Hayama, S.; Ito, T.; Tsuchiya, E.; Nakamura, Y. ANLN plays a critical role in human lung carcinogenesis through the activation of RHOA and by involvement in the phosphoinositide 3-kinase/AKT pathway. Cancer Res. 2005, 65, 11314–11325. [Google Scholar] [CrossRef]
- Shi, Y.; Ma, X.; Wang, M.; Lan, S.; Jian, H.; Wang, Y.; Wei, Q.; Zhong, F. Comprehensive analyses reveal the carcinogenic and immunological roles of ANLN in human cancers. Cancer Cell Int. 2022, 22, 188. [Google Scholar] [CrossRef]
- Magnusson, K.; Gremel, G.; Rydén, L.; Pontén, V.; Uhlén, M.; Dimberg, A.; Jirström, K.; Pontén, F. ANLN is a prognostic biomarker independent of Ki-67 and essential for cell cycle progression in primary breast cancer. BMC Cancer 2016, 16, 904. [Google Scholar] [CrossRef]
- Zhou, W.; Wang, Z.; Shen, N.; Pi, W.; Jiang, W.; Huang, J.; Hu, Y.; Li, X.; Sun, L. Knockdown of ANLN by lentivirus inhibits cell growth and migration in human breast cancer. Mol. Cell Biochem. 2015, 398, 11–19. [Google Scholar] [CrossRef]
- Sudhakaran, M.; Navarrete, T.G.; Mejía-Guerra, K.; Mukundi, E.; Eubank, T.D.; Grotewold, E.; Arango, D.; Doseff, A.I. Transcriptome reprogramming through alternative splicing triggered by apigenin drives cell death in triple-negative breast cancer. Cell Death Dis. 2023, 14, 824. [Google Scholar] [CrossRef]
- Huang, H.; Hu, J.; Maryam, A.; Huang, Q.; Zhang, Y.; Ramakrishnan, S.; Li, J.; Ma, H.; Ma, V.W.S.; Cheuk, W.; et al. Defining super-enhancer landscape in triple-negative breast cancer by multiomic profiling. Nat. Commun. 2021, 12, 2242. [Google Scholar] [CrossRef]
- Tang, Z.; Kang, B.; Li, C.; Chen, T.; Zhang, Z. GEPIA2: An enhanced web server for large-scale expression profiling and interactive analysis. Nucleic Acids Res. 2019, 47, W556–W560. [Google Scholar] [CrossRef]
- Anaya, J. OncoLnc: Linking TCGA survival data to mRNAs, miRNAs, and lncRNAs. PeerJ Comput. Sci. 2016, 2, e67. [Google Scholar] [CrossRef]
- Garcia-Moreno, A.; López-Domínguez, R.; Villatoro-García, J.A.; Ramirez-Mena, A.; Aparicio-Puerta, E.; Hackenberg, M.; Pascual-Montano, A.; Carmona-Saez, P. Functional enrichment analysis of regulatory elements. Biomedicines 2022, 10, 590. [Google Scholar] [CrossRef] [PubMed]
- Subramanian, A.; Tamayo, P.; Mootha, V.K.; Mukherjee, S.; Ebert, B.L.; Gillette, M.A.; Paulovich, A.; Pomeroy, S.L.; Golub, T.R.; Lander, E.S.; et al. Gene set enrichment analysis: A knowledge-based approach for interpreting genome-wide expression profiles. Proc. Natl. Acad. Sci. USA 2005, 102, 15545–15550. [Google Scholar] [CrossRef] [PubMed]
- Mootha, V.K.; Lindgren, C.M.; Eriksson, K.-F.; Subramanian, A.; Sihag, S.; Lehar, J.; Puigserver, P.; Carlsson, E.; Ridderstråle, M.; Laurila, E.; et al. PGC-1alpha-responsive genes involved in oxidative phosphorylation are coordinately downregulated in human diabetes. Nat. Genet. 2003, 34, 267–273. [Google Scholar] [CrossRef]









| Entrez Gene ID | Gene Symbol | Gene Name | Total Binding Sites | Log2 Fold Change |
|---|---|---|---|---|
| 54443 | ANLN | anillin, actin binding protein | 1 | −1.7064619 |
| 4288 | MKI67 | antigen identified by monoclonal antibody Ki-67 | 1 | −1.2917953 |
| 891 | CCNB1 | cyclin B1 | 1 | −1.2548676 |
| 64151 | NCAPG | non-SMC condensin I complex, subunit G | 1 | −1.0997882 |
| 11130 | ZWINT | ZW10 interacting kinetochore protein | 1 | −1.0036101 |
| 144455 | E2F7 | E2F transcription factor 7 | 1 | −0.9913907 |
| 23244 | PDS5A | PDS5, regulator of cohesion maintenance, homolog A (S. cerevisiae) | 3 | −0.9755006 |
| 55183 | RIF1 | RAP1 interacting factor homolog (yeast) | 3 | −0.9548717 |
| 332 | BIRC5 | baculoviral IAP repeat containing 5 | 1 | −0.9173002 |
| 4085 | MAD2L1 | MAD2 mitotic arrest deficient-like 1 (yeast) | 2 | −0.9139371 |
| 143384 | CACUL1 | CDK2-associated, cullin domain 1 | 4 | −0.8496602 |
| 9493 | KIF23 | kinesin family member 23 | 1 | −0.8479867 |
| 27338 | UBE2S | ubiquitin-conjugating enzyme E2S | 1 | −0.8329787 |
| 27436 | EML4 | echinoderm microtubule associated protein like 4 | 1 | −0.8073831 |
| 151011 | SEPT10 | septin 10 | 2 | −0.7851834 |
| 1213 | CLTC | clathrin, heavy chain (Hc) | 1 | −0.755415 |
| 57092 | PCNP | PEST proteolytic signal-containing nuclear protein | 3 | −0.7289238 |
| Pathway | Enrichment Score | Normalized Enrichment Score | p-Value | FDR |
|---|---|---|---|---|
| HALLMARK_E2F_TARGETS | 0.81 | 3.39 | <0.001 | <0.001 |
| HALLMARK_G2M_CHECKPOINT | 0.79 | 3.31 | <0.001 | <0.001 |
| HALLMARK_MYC_TARGETS_V1 | 0.65 | 2.72 | <0.001 | <0.001 |
| HALLMARK_MITOTIC_SPINDLE | 0.6 | 2.5 | <0.001 | <0.001 |
| HALLMARK_MTORC1/SIGNALING | 0.59 | 2.48 | <0.001 | <0.001 |
Disclaimer/Publisher’s Note: The statements, opinions and data contained in all publications are solely those of the individual author(s) and contributor(s) and not of MDPI and/or the editor(s). MDPI and/or the editor(s) disclaim responsibility for any injury to people or property resulting from any ideas, methods, instructions or products referred to in the content. |
© 2024 by the authors. Licensee MDPI, Basel, Switzerland. This article is an open access article distributed under the terms and conditions of the Creative Commons Attribution (CC BY) license (https://creativecommons.org/licenses/by/4.0/).
Share and Cite
Mitsueda, R.; Nagata, A.; Toda, H.; Tomioka, Y.; Yasudome, R.; Kato, M.; Shinden, Y.; Nakajo, A.; Seki, N. Identification of Tumor-Suppressive miR-30a-3p Controlled Genes: ANLN as a Therapeutic Target in Breast Cancer. Non-Coding RNA 2024, 10, 60. https://doi.org/10.3390/ncrna10060060
Mitsueda R, Nagata A, Toda H, Tomioka Y, Yasudome R, Kato M, Shinden Y, Nakajo A, Seki N. Identification of Tumor-Suppressive miR-30a-3p Controlled Genes: ANLN as a Therapeutic Target in Breast Cancer. Non-Coding RNA. 2024; 10(6):60. https://doi.org/10.3390/ncrna10060060
Chicago/Turabian StyleMitsueda, Reiko, Ayako Nagata, Hiroko Toda, Yuya Tomioka, Ryutaro Yasudome, Mayuko Kato, Yoshiaki Shinden, Akihiro Nakajo, and Naohiko Seki. 2024. "Identification of Tumor-Suppressive miR-30a-3p Controlled Genes: ANLN as a Therapeutic Target in Breast Cancer" Non-Coding RNA 10, no. 6: 60. https://doi.org/10.3390/ncrna10060060
APA StyleMitsueda, R., Nagata, A., Toda, H., Tomioka, Y., Yasudome, R., Kato, M., Shinden, Y., Nakajo, A., & Seki, N. (2024). Identification of Tumor-Suppressive miR-30a-3p Controlled Genes: ANLN as a Therapeutic Target in Breast Cancer. Non-Coding RNA, 10(6), 60. https://doi.org/10.3390/ncrna10060060

