Analytical Solution for Transient Electroosmotic and Pressure-Driven Flows in Microtubes
Abstract
1. Introduction
2. Materials and Methods
2.1. Governing Equations, Initial Conditions, and Boundary Conditions
2.2. Analytical Solution
2.2.1. Poisson–Boltzmann (P–B) Equation
2.2.2. Velocity Profile
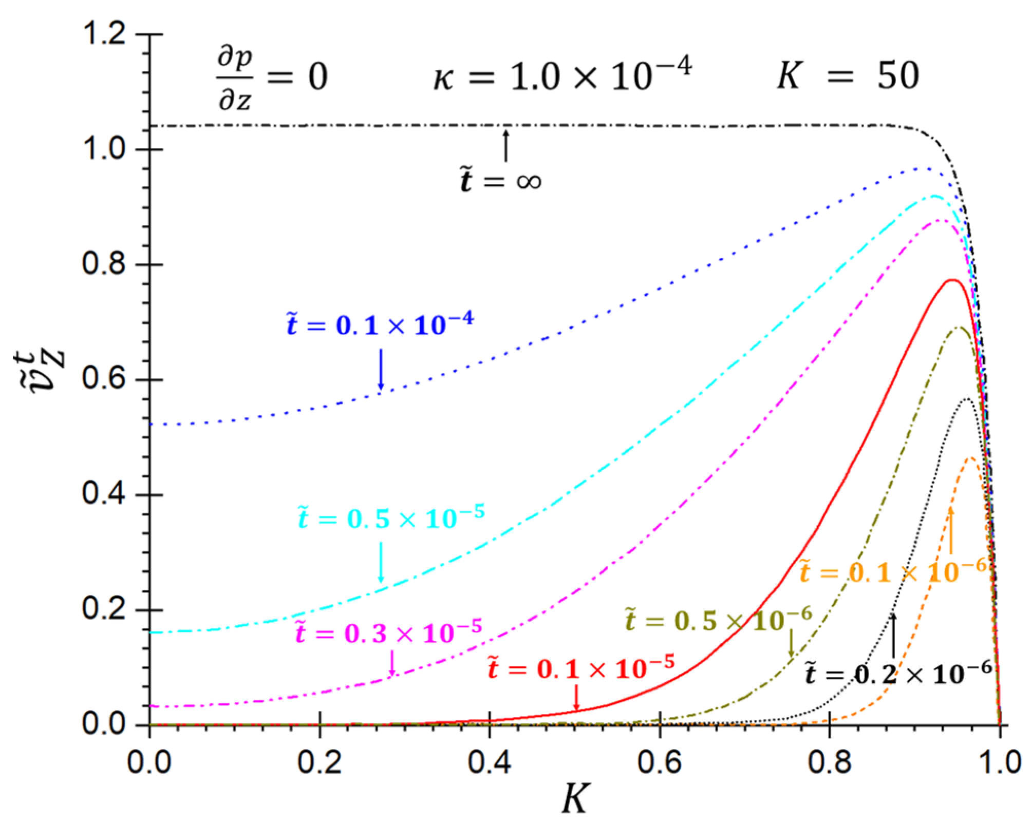
- Steady-state (SS) Solution
- Transient Solution
3. Results and Discussion
3.1. EDL Potential Profiles
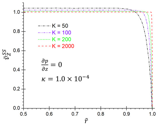
3.2. Pure Electroosmotic Flow
3.3. Electroosmotic and Pressure-Driven Flow
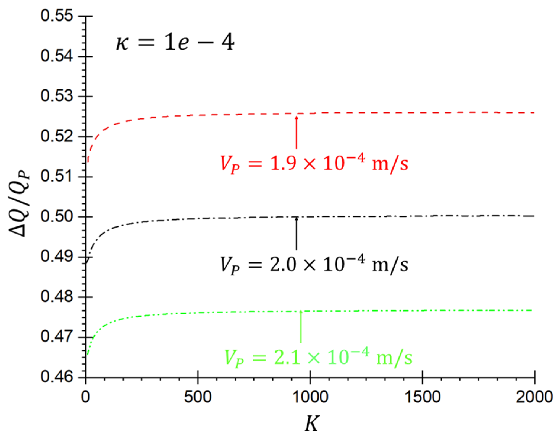
3.4. EOF Flow Rate Gain
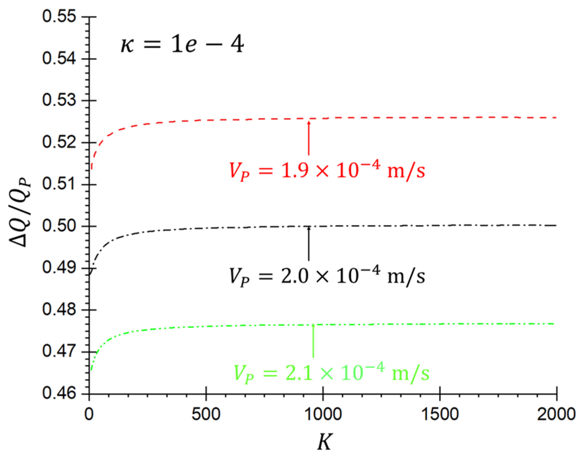
3.5. Transient Velocity Profiles
3.6. Apparent Slip Velocity
3.7. Polynomial Series Approximation of the Steady-State Electroosmotic Flow Solution
3.8. Shear Stress Distributions for Steady-State Flow
4. Conclusions
Author Contributions
Funding
Data Availability Statement
Conflicts of Interest
References
- Slater, G.W.; Tessier, F.; Kopecka, K. The electroosmotic flow (EOF). In Microengineering in Biotechnology; Humana Press: Totowa, NJ, USA, 2010; pp. 121–134. [Google Scholar]
- Patankar, N.A.; Hu, H.H. Numerical simulation of electroosmotic flow. Anal. Chem. 1998, 70, 1870–1881. [Google Scholar] [CrossRef] [PubMed]
- Gallah, N.; Besbes, K. Electroosmotic micropump analysis for lab on chip water quality monitoring. In Proceedings of the 2016 13th International Multi-Conference on Systems, Signals & Devices (SSD), Leipzig, Germany, 21–24 March 2016. [Google Scholar]
- Gallah, N.; Habbachi, N.; Besbes, K. Design and modelling of droplet based microfluidic system enabled by electroosmotic micropump. Microsyst. Technol. 2017, 23, 5781–5787. [Google Scholar] [CrossRef]
- Alishahi, A.; Vafaie, R.H.; Charmin, A. Numerical Simulation of a Novel Electroosmotic Micropump for Bio-MEMS Applications. Sens. Transducers 2014, 183, 90. [Google Scholar]
- Qaderi, A.; Jamaati, J.; Bahiraei, M. CFD simulation of combined electroosmotic-pressure driven micro-mixing in a microchannel equipped with triangular hurdle and zeta-potential heterogeneity. Chem. Eng. Sci. 2019, 199, 463–477. [Google Scholar] [CrossRef]
- Chen, X.; Cui, D.; Chen, J. Microfluidic Chips for Blood Cell Separation. In On-Chip Pretreatment of Whole Blood by Using MEMS Technology; Bentham Science Publishers: Sharjah, United Arab Emirates, 2012; p. 30. [Google Scholar]
- Ihsan, A.; Ali, A.; Khan, A.U. Thermal analysis of electroosmotic flow in a vertical ciliated tube with viscous dissipation and heat source effects: Implications for endoscopic applications. J. Therm. Anal. Calorim. 2024, 1–15. [Google Scholar] [CrossRef]
- Gandhi, R.; Sharma, B.K.; Mishra, N.K.; Al-Mdallal, Q.M. Computer simulations of EMHD Casson nanofluid flow of blood through an irregular stenotic permeable artery: Application of Koo-Kleinstreuer-Li correlations. Nanomaterials 2023, 13, 652. [Google Scholar] [CrossRef] [PubMed]
- Hui, T.H.; Kwan, K.W.; Yip, T.T.C.; Fong, H.W.; Ngan, K.C.; Yu, M.; Yao, S.; Ngan, A.H.W.; Lin, Y. Regulating the membrane transport activity and death of cells via electroosmotic manipulation. Biophys. J. 2016, 110, 2769–2778. [Google Scholar] [CrossRef]
- Gharib, G.; Bütün, İ.; Muganlı, Z.; Kozalak, G.; Namlı, İ.; Sarraf, S.S.; Ahmadi, V.E.; Toyran, E.; Van Wijnen, A.J.; Koşar, A. Biomedical applications of microfluidic devices: A review. Biosensors 2022, 12, 1023. [Google Scholar] [CrossRef] [PubMed]
- Liu, F.; Jing, D. Combined electroosmotic and pressure driven flow in tree-like microchannel network. Fractals 2021, 29, 2150110. [Google Scholar] [CrossRef]
- Dehghan Manshadi, M.K.; Khojasteh, D.; Mohammadi, M.; Kamali, R. Electroosmotic micropump for lab-on-a-chip biomedical applications. Int. J. Numer. Model. Electron. Netw. Devices Fields 2016, 29, 845–858. [Google Scholar] [CrossRef]
- Chiappetta, C.; Anile, M.; Leopizzi, M.; Venuta, F.; Della Rocca, C. Use of a new generation of capillary electrophoresis to quantify circulating free DNA in non-small cell lung cancer. Clin. Chim. Acta 2013, 425, 93–96. [Google Scholar] [CrossRef] [PubMed]
- Caruso, G.; Musso, N.; Grasso, M.; Costantino, A.; Lazzarino, G.; Tascedda, F.; Gulisano, M.; Lunte, S.M.; Caraci, F. Microfluidics as a novel tool for biological and toxicological assays in drug discovery processes: Focus on microchip electrophoresis. Micromachines 2020, 11, 593. [Google Scholar] [CrossRef]
- Lin, S.H.; Su, T.C.; Huang, S.J.; Jen, C.P. Enhancing the efficiency of lung cancer cell capture using microfluidic dielectrophoresis and aptamer-based surface modification. Electrophoresis 2024, 1–11. [Google Scholar] [CrossRef] [PubMed]
- Jing, D.; Qi, P. Electroosmotic Flow in Fractal Tree-Like Convergent Microchannel Network. Chem. Eng. Technol. 2024, 47, 923–931. [Google Scholar] [CrossRef]
- Karniadakis, G.E.; Beskok, A.; Gad-el-Hak, M. Micro flows: Fundamentals and simulation. Appl. Mech. Rev. 2002, 55, B76. [Google Scholar] [CrossRef]
- Nguyen, N.-T.; Wereley, S.T.; Shaegh, S. Fundamentals and Applications of Microfluidics; Artech House Inc.: Boston, MA, USA, 2006. [Google Scholar]
- Dutta, P.; Beskok, A. Analytical solution of combined electroosmotic/pressure driven flows in two-dimensional straight channels: Finite Debye layer effects. Anal. Chem. 2001, 73, 1979–1986. [Google Scholar] [CrossRef] [PubMed]
- Banerjee, D.; Mehta, S.K.; Pati, S.; Biswas, P. Analytical solution to heat transfer for mixed electroosmotic and pressure-driven flow through a microchannel with slip-dependent zeta potential. Int. J. Heat Mass Transf. 2021, 181, 121989. [Google Scholar] [CrossRef]
- Zhao, C.; Yang, C. An exact solution for electroosmosis of non-Newtonian fluids in microchannels. J. Non-Newton. Fluid Mech. 2011, 166, 1076–1079. [Google Scholar] [CrossRef]
- Ferrás, L.; Afonso, A.; Alves, M.; Nóbrega, J.; Pinho, F. Electro-osmotic and pressure-driven flow of viscoelastic fluids in microchannels: Analytical and semi-analytical solutions. Phys. Fluids 2016, 28, 093102. [Google Scholar] [CrossRef]
- Chang, C.C.; Wang, C.Y. Starting electroosmotic flow in an annulus and in a rectangular channel. Electrophoresis 2008, 29, 2970–2979. [Google Scholar] [CrossRef]
- Dutta, P.; Beskok, A. Analytical solution of time periodic electroosmotic flows: Analogies to Stokes’ second problem. Anal. Chem. 2001, 73, 5097–5102. [Google Scholar] [CrossRef] [PubMed]
- Jian, Y.; Yang, L.; Liu, Q. Time periodic electro-osmotic flow through a microannulus. Phys. Fluids 2010, 22, 042001. [Google Scholar] [CrossRef]
- Guo, X.; Qi, H. Analytical solution of electro-osmotic peristalsis of fractional Jeffreys fluid in a micro-channel. Micromachines 2017, 8, 341. [Google Scholar] [CrossRef] [PubMed]
- Zhao, M.; Wang, S.; Wei, S. Transient electro-osmotic flow of Oldroyd-B fluids in a straight pipe of circular cross section. J. Non-Newton. Fluid Mech. 2013, 201, 135–139. [Google Scholar] [CrossRef]
- Luo, W.-J. Transient electroosmotic flow induced by AC electric field in micro-channel with patchwise surface heterogeneities. J. Colloid Interface Sci. 2006, 295, 551–561. [Google Scholar] [CrossRef]
- Aboelkassem, Y. Computational and theoretical model of electro-osmotic flow pumping in a microchannel with squeezing walls. Phys. Fluids 2023, 35, 052011. [Google Scholar] [CrossRef]
- Ali, N.; Hussain, S.; Ullah, K.; Bég, O.A. Mathematical modelling of two-fluid electro-osmotic peristaltic pumping of an Ellis fluid in an axisymmetric tube. Eur. Phys. J. Plus 2019, 134, 141. [Google Scholar] [CrossRef]
- Ghorbani, S.; Jabari Moghadam, A.; Emamian, A.; Ellahi, R.; Sait, S.M. Numerical simulation of the electroosmotic flow of the Carreau-Yasuda model in the rectangular microchannel. Int. J. Numer. Methods Heat Fluid Flow 2022, 32, 2240–2259. [Google Scholar] [CrossRef]
- Jing, D.; Qi, P. The Optimal Branch Width Convergence Ratio to Maximize the Transport Efficiency of the Combined Electroosmotic and Pressure-Driven Flow within a Fractal Tree-like Convergent Microchannel. Fractal Fract. 2024, 8, 279. [Google Scholar] [CrossRef]
- Park, H.; Lee, J.; Kim, T. Comparison of the Nernst–Planck model and the Poisson–Boltzmann model for electroosmotic flows in microchannels. J. Colloid Interface Sci. 2007, 315, 731–739. [Google Scholar] [CrossRef]
- Asmar, N.H. Partial Differential Equations with Fourier Series and Boundary Value Problems; Courier Dover Publications: Upper Saddle River, NJ, USA, 2016. [Google Scholar]










Disclaimer/Publisher’s Note: The statements, opinions and data contained in all publications are solely those of the individual author(s) and contributor(s) and not of MDPI and/or the editor(s). MDPI and/or the editor(s) disclaim responsibility for any injury to people or property resulting from any ideas, methods, instructions or products referred to in the content. |
© 2024 by the authors. Licensee MDPI, Basel, Switzerland. This article is an open access article distributed under the terms and conditions of the Creative Commons Attribution (CC BY) license (https://creativecommons.org/licenses/by/4.0/).
Share and Cite
Feng, Y.; Yi, H.; Liu, R. Analytical Solution for Transient Electroosmotic and Pressure-Driven Flows in Microtubes. Fluids 2024, 9, 140. https://doi.org/10.3390/fluids9060140
Feng Y, Yi H, Liu R. Analytical Solution for Transient Electroosmotic and Pressure-Driven Flows in Microtubes. Fluids. 2024; 9(6):140. https://doi.org/10.3390/fluids9060140
Chicago/Turabian StyleFeng, Yu, Hang Yi, and Ruguan Liu. 2024. "Analytical Solution for Transient Electroosmotic and Pressure-Driven Flows in Microtubes" Fluids 9, no. 6: 140. https://doi.org/10.3390/fluids9060140
APA StyleFeng, Y., Yi, H., & Liu, R. (2024). Analytical Solution for Transient Electroosmotic and Pressure-Driven Flows in Microtubes. Fluids, 9(6), 140. https://doi.org/10.3390/fluids9060140

