Turbulence and Rossby Wave Dynamics with Realizable Eddy Damped Markovian Anisotropic Closure
Abstract
1. Introduction
- To provide a theoretical motivation for the realizable EDMAC based on renormalized perturbation theory.
- To generalize the EDMAC model for the interaction of anisotropic turbulence with transient Rossby waves in the presence of transient large-scale flows.
- To establish conditions under which the real part of the triad relaxation functions is positive semi-definite when the large-scale flow and Doppler shifted Rossby wave frequency have general time dependencies.
- To examine the extent to which the frequency-dependent contribution to the eddy damping in the EDMAC model changes the evolved energy and palinstrophy spectra and Reynolds number and skewness, compared with the EDQNM, for rapidly evolving moderate Reynolds number turbulence interacting with Rossby waves.
2. Two-Dimensional Barotropic Flows on a –Plane with Large-Scale Advection
2.1. Large-Scale Flow Equation
2.2. Barotropic Vorticity Equation for the Small Scales
3. Dynamical Equations in Fourier Space
4. Non-Markovian Closures for Turbulence and Rossby Waves
4.1. Generalized DIA Closure for Anisotropic Turbulence and Rossby Waves
4.2. The Abridged DIA Closure for Anisotropic Turbulence and Rossby Waves
4.3. Generalized SCFT and LET Closures for Ansotropic Turbulence and Rossby Waves
5. Statistical Dynamical Equations for Markovian Anisotropic Closures
General Formulation of Markovian Anisotropic Closures
6. Markovian Anisotropic Closure with Current-Time FDT
7. Realizable Eddy-Damped Markovian Anisotropic Closure
7.1. Markovian Approximation and Analytical Eddy Damping
7.2. Frequency-Dependent Damping from Renormalized Perturbation Theory
8. Conditions for Realizability of EDMAC with Variable Rossby Wave Frequency
9. Generalizations of the EDMAC Model
10. Comparison of Closure Integrations for Turbulence and Rossby Wave Dynamics
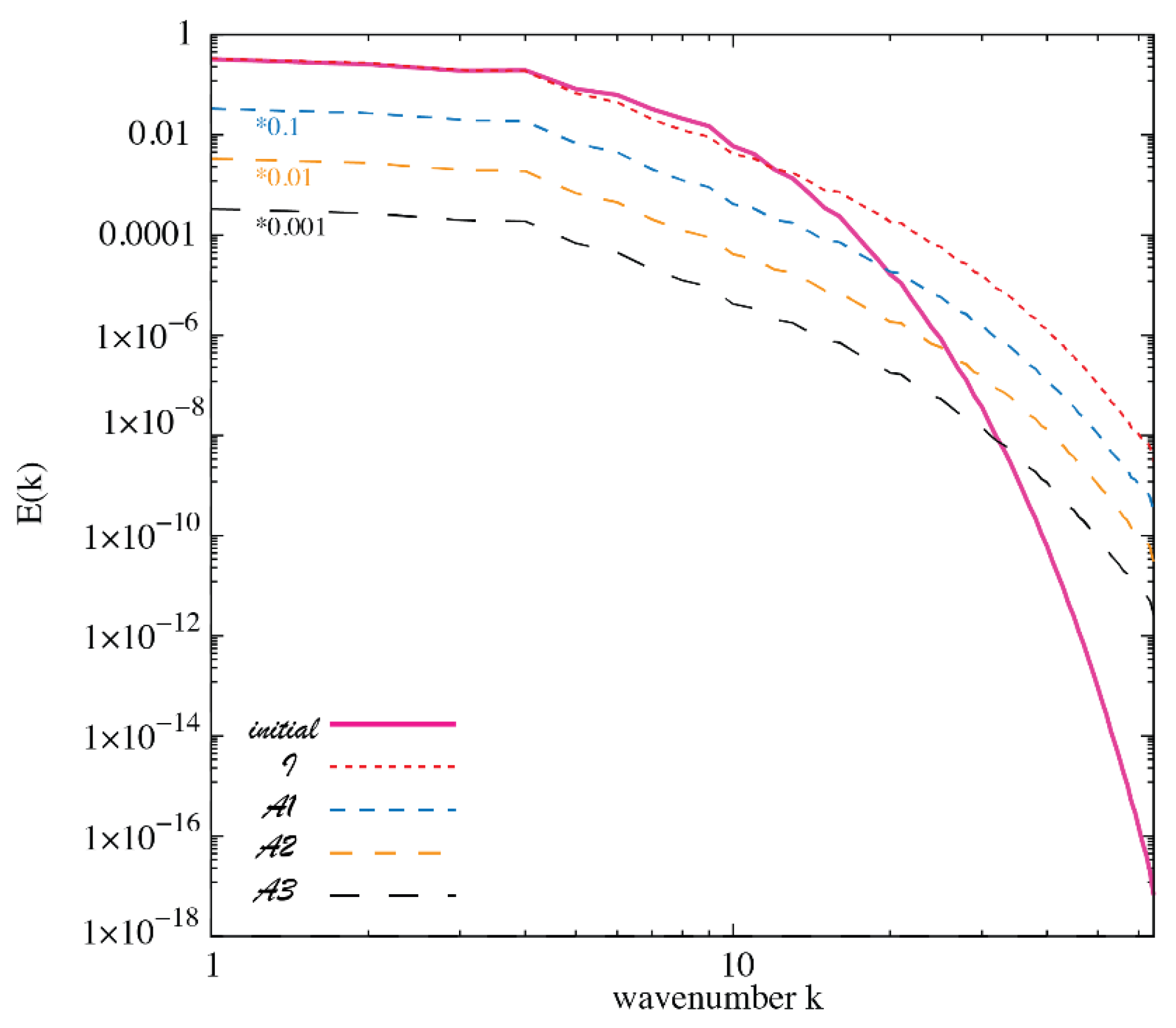
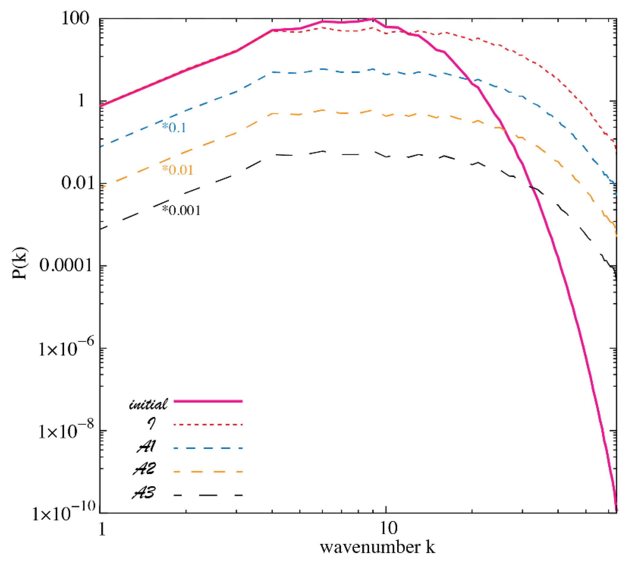
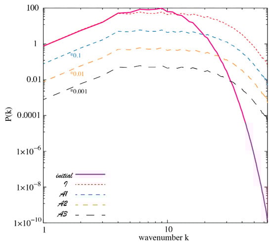
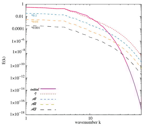
10.1. Diagnostics
10.2. Initial Spectra and Parameter Specifications
10.3. Moderate Reynolds Number Closure Integrations
11. Discussion and Conclusions
11.1. Theoretical Results
11.1.1. Generalized Non-Markovian Closures
11.1.2. Markovian Anisotropic Closures
11.1.3. Realizable Eddy Damped Markovian Anisotropic Closure
11.1.4. Generalizations of the Eddy Damped Markovian Anisotropic Closure
11.2. Numerical Closure Calculations
11.3. Conclusions and Future Prospects
Author Contributions
Funding
Data Availability Statement
Conflicts of Interest
Correction Statement
Appendix A. Renormalized Perturbation Theory
Appendix B. Langevin Equation Underpinning the EDMAC Model
References
- Orszag, S.A. Analytical theories of turbulence. J. Fluid Mech. 1970, 41, 363–386. [Google Scholar] [CrossRef]
- Leith, C.E. Atmospheric predictability and two-dimensional turbulence. J. Atmos. Sci. 1971, 28, 145–161. [Google Scholar] [CrossRef]
- Herring, J.R. Theory of two-dimensional anisotropic turbulence. J. Atmos. Sci. 1975, 32, 2252–2271. [Google Scholar] [CrossRef]
- Lesieur, M. Turbulence in Fluids; Springer: Dordrecht, The Netherlands, 2008. [Google Scholar]
- Kraichnan, R.H. The structure of isotropic turbulence at very high Reynolds numbers. J. Fluid Mech. 1959, 5, 497–543. [Google Scholar] [CrossRef]
- McComb, W.D. The Physics of Fluid Turbulence; Oxford University Press: Oxford, UK, 1990; ISBN 9780198562566. [Google Scholar]
- McComb, W.D. Homogeneous, Isotropic Turbulence: Phenomenology, Renormalization and Statistical Closures; Oxford University Press: Oxford, UK, 2014; ISBN 9780199689385. [Google Scholar] [CrossRef]
- Berera, A.; Salewski, M.; McComb, W.D. Eulerian field-theoretic closure formalisms for fluid turbulence. Phys. Rev. E 2013, 87, 013007. [Google Scholar] [CrossRef] [PubMed]
- Frederiksen, J.S. Renormalized closure theory and subgrid-scale parameterizations for two-dimensional turbulence. In Nonlinear Dynamics: From Lasers to Butterflies, World Scientific Lecture Notes in Complex Systems; Ball, R., Akhmediev, N., Eds.; World Scientific: Singapore, 2003; Volume 1, pp. 225–256. ISBN 9789814486361. [Google Scholar] [CrossRef]
- Sagaut, P.; Cambon, C. Homogeneous Turbulence Dynamics; Springer Nature: Cham, Switzerland, 2018. [Google Scholar]
- Zhou, Y. Turbulence theories and statistical closure approaches. Phys. Rep. 2021, 935, 1–117. [Google Scholar] [CrossRef]
- Frederiksen, J.S.; O’Kane, T.J. Realizable Eddy Damped Markovian Anisotropic Closure for Turbulence and Rossby Wave Interactions. Atmosphere 2023, 14, 1098. [Google Scholar] [CrossRef]
- McComb, D. Jackson R. Herring and the Statistical Closure Problem of Turbulence: A Review of Renormalized Perturbation Theories. Atmosphere 2023, 14, 827. [Google Scholar] [CrossRef]
- Rose, H.A. An efficient non-Markovian theory of non-equilibrium dynamics. Physica D 1985, 14, 216–226. [Google Scholar] [CrossRef]
- Frederiksen, J.S.; Davies, A.G. Dynamics and spectra of cumulant update closures for two-dimensional turbulence. Geophys. Astrophys. Fluid Dyn. 2000, 92, 197–231. [Google Scholar] [CrossRef]
- Frederiksen, J.S.; Davies, A.G. The regularized DIA closure for two-dimensional turbulence. Geophys. Astrophys. Fluid Dyn. 2004, 98, 203–223. [Google Scholar] [CrossRef]
- O’Kane, T.J.; Frederiksen, J.S. The QDIA and regularized QDIA closures for inhomogeneous turbulence over topography. J. Fluid Mech. 2004, 65, 133–165. [Google Scholar] [CrossRef]
- Herring, J.R. Self-consistent-field approach to turbulence theory. Phys. Fluids 1965, 8, 2219–2225. [Google Scholar] [CrossRef]
- Herring, J.R. Self-consistent-field approach to nonstationary turbulence. Phys. Fluids 1966, 9, 2106–2110. [Google Scholar] [CrossRef]
- McComb, W.D. A local energy-transfer theory of isotropic turbulence. J. Phys. A 1974, 7, 632–649. [Google Scholar] [CrossRef]
- McComb, W.D. A theory of time dependent, isotropic turbulence. J. Phys. A 1978, 11, 613–633. [Google Scholar] [CrossRef]
- Cambon, C.; Mons, V.; Gréa, B.-J.; Rubinstein, R. Anisotropic triadic closures for shear-driven and buoyancy-driven turbulent flows. Computers Fluids 2017, 151, 73–84. [Google Scholar] [CrossRef]
- Bowman, J.C.; Krommes, J.A.; Ottaviani, M. The realizable Markovian closure. I. General theory, with application to three-wave dynamics. Phys. Fluids 1993, 5, 3558–3589. [Google Scholar] [CrossRef]
- Carnevale, G.F.; Martin, P.C. Field theoretic techniques in statistical fluid dynamics: With application to nonlinear wave dynamics. Geophys. Astrophys. Fluid Dyn. 1982, 20, 131–164. [Google Scholar] [CrossRef]
- Carnevale, G.F.; Frederiksen, J.S. A statistical dynamical theory of strongly nonlinear internal gravity waves. Geophys. Astrophys. Fluid Dyn. 1983, 23, 175–207. [Google Scholar] [CrossRef]
- Zhou, Y.; Matthaeus, W.H.; Dmitruk, P. Magnetohydrodynamic turbulence and time scales in astrophysical and space plasmas. Rev. Mod. Phys. 2004, 76, 1015–1034. [Google Scholar] [CrossRef]
- Frederiksen, J.S.; Dix, D.R.; Kepert, S.M. Systematic energy errors and the tendency towards canonical equilibrium in atmospheric circulation models. J. Atmos. Sci. 1996, 53, 887–904. [Google Scholar] [CrossRef]
- Holloway, G. On the spectral evolution of strongly interacting waves. Geophys. Astrophys. Fluid Dyn. 1978, 11, 271–287. [Google Scholar] [CrossRef]
- Vallis, G.K.; Maltrud, M.E. On the Generation of Mean Flows and Jets on a Beta Plane and over Topography. J. Phys. Oceanog. 1993, 23, 1346–1362. [Google Scholar] [CrossRef]
- Sukoriansky, S.; Galperin, B. QNSE theory of turbulence anisotropization and onset of the inverse energy cascade by solid body rotation. J. Fluid Mech. 2016, 805, 384–421. [Google Scholar] [CrossRef]
- Galperin, B.; Sukoriansky, S.; Qiu, B. Seasonal oceanic variability on meso- and sub-mesoscales: A turbulence perspective. Ocean Dynam. 2021, 71, 475–489. [Google Scholar] [CrossRef]
- Hu, G.; Krommes, J.A.; Bowman, J.C. Statistical theory of resistive drift-wave turbulence and transport. Phys. Plasmas 1997, 4, 2116–2133. [Google Scholar] [CrossRef]
- Bowman, J.C.; Krommes, J.A. The realizable Markovian closure and realizable test-field model. II. Application to anisotropic drift-wave dynamics. Phys. Plasmas 1997, 4, 3895–3909. [Google Scholar] [CrossRef]
- Kraichnan, R.H. An almost Markovian Galilean invariant turbulence model. J. Fluid Mech. 1971, 47, 513–524. [Google Scholar] [CrossRef]
- Kraichnan, R.H. Inertial ranges in two-dimensional turbulence. Phys. Fluids 1967, 10, 1417–1423. [Google Scholar] [CrossRef]
- Rhines, P.B. Waves and turbulence on a beta-plane. J. Fluid Mech. 1975, 69, 417–443. [Google Scholar] [CrossRef]
- Holloway, G.; Hendershott, M.C. Stochastic closure for nonlinear Rossby waves. J. Fluid Mech. 1977, 82, 747–765. [Google Scholar] [CrossRef]
- Chekhlov, A.; Orszag, S.A.; Sukoriansky, S.; Galperin, B.; Staroselsky, I. The effect of small-scale forcing on large-scale structures in two-dimensional flows. Phys. D 1996, 98, 321–334. [Google Scholar] [CrossRef]
- Galperin, B.; Sukoriansky, S.; Young, R.M.B.; Chemke, R.; Kaspi, Y.; Read, P.L.; Nadejda, D. Barotropic and Zonostrophic Turbulence. In Zonal Jets: Phenomenology, Genesis and Physics; Galperin, B., Read, P.L., Eds.; Cambridge University Press: Cambridge, UK, 2019; pp. 220–237. [Google Scholar] [CrossRef]
- Krommes, J.A.; Parker, J.B. Statistical Closures and Zonal Flows. In Zonal Jets: Phenomenology, Genesis and Physics; Galperin, B., Read, P.L., Eds.; Cambridge University Press: Cambridge, UK, 2019; pp. 309–331. [Google Scholar] [CrossRef]
- Galperin, B.; Read, P.L. (Eds.) Zonal Jets: Phenomenology, Genesis and Physics; Cambridge University Press: Cambridge, UK, 2019; pp. 309–331. [Google Scholar] [CrossRef]
- Cabanes, S.; Gastine, T.; Fournier, A. Zonostrophic turbulence in the subsurface oceans of the Jovian and Saturnian moons. Icarus 2024, 415, 116047. [Google Scholar] [CrossRef]
- Frederiksen, J.S. Strongly nonlinear topographic instability and phase transitions. Geophys. Astrophys. Fluid Dyn. 1985, 32, 103–122. [Google Scholar] [CrossRef]
- Frederiksen, J.S.; O’Kane, T.J. Markovian inhomogeneous closures for Rossby waves and turbulence over topography. J. Fluid Mech. 2019, 858, 45–70. [Google Scholar] [CrossRef]
- Frederiksen, J.S.; O’Kane, T.J. Statistical Dynamics of Mean Flows Interacting with Rossby Waves, Turbulence, and Topography. Fluids 2022, 7, 200. [Google Scholar] [CrossRef]
- Frederiksen, J.S. Subgrid-scale parameterizations of eddy-topographic force, eddy viscosity and stochastic backscatter for flow over topography. J. Atmos. Sci. 1999, 56, 1481–1494. [Google Scholar] [CrossRef]
- Frederiksen, J.S.; O’Kane, T.J. Inhomogeneous closure and statistical mechanics for Rossby wave turbulence over topography. J. Fluid Mech. 2005, 539, 137–165. [Google Scholar] [CrossRef]
- Frederiksen, J.S. Statistical dynamical closures and subgrid modeling for QG and 3D inhomogeneous turbulence. Entropy 2012, 14, 32–57. [Google Scholar] [CrossRef]
- Frederiksen, J.S. Quasi-diagonal inhomogeneous closure for classical and quantum statistical dynamics. J. Math. Phys. 2017, 58, 103303. [Google Scholar] [CrossRef]
- Pouquet, A.; Lesieur, M.; Andre, J.C.; Basdevant, C. Evolution of high Reynolds number two-dimensional turbulence. J. Fluid Mech. 1975, 72, 305–319. [Google Scholar] [CrossRef]
- Herring, J.R.; Schertzer, D.; Lesieur, M.; Newman, G.R.; Chollett, J.P.; Larcheveque, M. A comparative assessment of spectral closures as applied to passive scalar diffusion. J. Fluid Mech. 1982, 124, 411–437. [Google Scholar] [CrossRef]
- Cambon, C.; Jacquin, L. Spectral approach to non-isotropic turbulence subject to rotation. J. Fluid Mech. 1989, 202, 295–317. [Google Scholar] [CrossRef]
- Rose, H.A.; Sulem, P.-L. Fully developed turbulence and statistical mechanics. J. Phys. 1978, 39, 441–484. [Google Scholar] [CrossRef]
- Clark, D.; Ho, R.D.J.G.; Berera, A. Effect of spatial dimension on a model of fluid turbulence. J. Fluid Mech. 2021, 912, A40-1–29. [Google Scholar] [CrossRef]
- Nazarenko, S. Wave Turbulence; Springer Lecture Notes in Physics; Springer: Berlin/Heidelberg, Germany, 2011; ISBN 978364215942. [Google Scholar]
- Dyachenko, A.; Newell, A.C.; Pushkarev, A.; Zakharov, V.E. Optical turbulence: Weak turbulence, condensates and collapsing fragments in the nonlinear Schrodinger equation. Phys. D 1992, 57, 96–160. [Google Scholar] [CrossRef]
- Blagoev, K.B.; Cooper, F.; Dawson, J.F.; Mihaila, B. Schwinger-Dyson approach to nonequilibrium classical field theory. Phys. Rev. D 2001, 64, 125033. [Google Scholar] [CrossRef]
- Berges, J.; Sexty, D. Bose-Einstein condensation in relativistic field theories far from equilibrium. Phys. Rev. Lett. 2012, 108, 161601. [Google Scholar] [CrossRef] [PubMed]
- Herring, J.R.; Orszag, S.A.; Kraichnan, R.H.; Fox, D.G. Decay of two-dimensional homogeneous turbulence. J. Fluid Mech. 1974, 66, 417–444. [Google Scholar] [CrossRef]
- Herring, J.R.; Kraichnan, R.H. Statistical Models and Turbulence. In Lecture Notes in Physics: Proceedings of the Symposium Held at the University of California, San Diego, CA, USA, 15–21 July 1971; Ehlers, J., Hepp, K., Weidenmuller, H.A., Eds.; Springer: Berlin/Heidelberg, Germany, 1972; pp. 148–194. [Google Scholar]


| Closure Runs | |||
|---|---|---|---|
| Isotropic Run | 0 | 0 | 0 |
| Anisotropic Run | 0.5 | 0 | 0 |
| Anisotropic Run | 0.5 | 0.5 | 0 |
| Anisotropic Run | 0.5 | 0.5 | 0.065 |
| Closure Runs | ||||
|---|---|---|---|---|
| Isotropic Run | 304.8 | 263.7 | 0 | 0.735 |
| Anisotropic Run | 304.8 | 263.8 | 0 | 0.734 |
| Anisotropic Run | 304.8 | 263.8 | 0 | 0.735 |
| Anisotropic Run | 304.8 | 265.7 | 0 | 0.690 |
Disclaimer/Publisher’s Note: The statements, opinions and data contained in all publications are solely those of the individual author(s) and contributor(s) and not of MDPI and/or the editor(s). MDPI and/or the editor(s) disclaim responsibility for any injury to people or property resulting from any ideas, methods, instructions or products referred to in the content. |
© 2024 by the authors. Licensee MDPI, Basel, Switzerland. This article is an open access article distributed under the terms and conditions of the Creative Commons Attribution (CC BY) license (https://creativecommons.org/licenses/by/4.0/).
Share and Cite
Frederiksen, J.S.; O’Kane, T.J. Turbulence and Rossby Wave Dynamics with Realizable Eddy Damped Markovian Anisotropic Closure. Fluids 2024, 9, 116. https://doi.org/10.3390/fluids9050116
Frederiksen JS, O’Kane TJ. Turbulence and Rossby Wave Dynamics with Realizable Eddy Damped Markovian Anisotropic Closure. Fluids. 2024; 9(5):116. https://doi.org/10.3390/fluids9050116
Chicago/Turabian StyleFrederiksen, Jorgen S., and Terence J. O’Kane. 2024. "Turbulence and Rossby Wave Dynamics with Realizable Eddy Damped Markovian Anisotropic Closure" Fluids 9, no. 5: 116. https://doi.org/10.3390/fluids9050116
APA StyleFrederiksen, J. S., & O’Kane, T. J. (2024). Turbulence and Rossby Wave Dynamics with Realizable Eddy Damped Markovian Anisotropic Closure. Fluids, 9(5), 116. https://doi.org/10.3390/fluids9050116

