Abstract
This paper presents a novel hybrid approach that integrates computational fluid dynamics (CFD), physics-informed neural networks (PINN), and fluid–structure interaction (FSI) methods to simulate fluid flow in stenotic coronary artery trees and predict fractional flow reserve (FFR) in areas of stenosis. The primary objective is to utilize a 1D PINN model to accurately predict outlet flow conditions, effectively addressing the challenges of measuring or estimating these conditions within complex arterial networks. Validation against traditional CFD methods demonstrates strong accuracy while embedding physics-based training to ensure compliance with fundamental fluid dynamics principles. The findings indicate that the hybrid CFD PINN FSI method generates realistic outflow boundary conditions crucial for diagnosing stenosis, requiring minimal input data. By seamlessly integrating initial conditions established by the 1D PINN into FSI simulations, this approach enables precise assessments of blood flow dynamics and FFR values in stenotic regions. This innovative application of 1D PINN not only distinguishes this methodology from conventional data-driven models that rely heavily on extensive datasets but also highlights its potential to enhance our understanding of hemodynamics in pathological states. Ultimately, this research paves the way for significant advancements in non-invasive diagnostic techniques in cardiology, improving clinical decision making and patient outcomes.
1. Introduction
Coronary artery disease (CAD) is a persistent ailment marked by the constriction or obstruction of coronary arteries, representing a major contributor to global morbidity and mortality. This section reviews the clinical significance of CAD, its prevalence, and the imperative role of patient-specific simulations in understanding and managing this pervasive disease.
Coronary artery disease (CAD) is a significant global health issue, accounting for approximately 9.6 million deaths annually according to the World Health Organization (WHO) and imposing substantial healthcare costs in developed nations [1]. As populations’ age and lifestyle factors evolve, the prevalence of CAD continues to rise, necessitating innovative diagnostic approaches. CAD manifests in various clinical forms, including stable and unstable angina, myocardial infarction (MI), and sudden cardiac death, each requiring timely diagnosis and intervention to improve patient outcomes [2]. Understanding the pathophysiology of CAD is complex due to its multifactorial nature and individual patient variations. Traditional diagnostic methods such as angiography and stress testing provide valuable insights but often lack the precision necessary for personalized treatment strategies. This limitation highlights the importance of patient-specific simulations in CAD research. Recent advancements in finite element analysis (FEA) and Physics-informed neural networks (PINN) have shown promise in addressing partial differential equations related to fluid flow in cardiovascular contexts. The integration of artificial intelligence (AI) and machine learning (ML) with computational fluid dynamics (CFD) has emerged as a powerful tool for enhancing hemodynamic predictions and understanding biomechanics in cardiovascular diseases. For instance, Li et al. (2022) emphasized the synergy between AI and biomechanics modeling for forecasting cardiovascular diseases [3], while Zhang et al. (2023) demonstrated the efficacy of PINNs in generating personalized flow field datasets for hemodynamics prediction [4]. Recent advancements in machine learning (ML) and physics-informed neural networks (PINN) have shown promise in enhancing cardiovascular biomechanics modeling. For instance, Arzani et al. (2022) discuss the challenges and opportunities in integrating ML with traditional physics-based modeling to improve accuracy in cardiovascular assessments [5]. Moradi et al. (2023) further emphasize how ML can enhance computational fluid dynamics and blood flow imaging, addressing limitations related to computational costs and data analysis [6]. Specific applications of ML and PINN in CAD have emerged as well. Farajtabar et al. (2023) introduced a deep neural network framework that accurately predicts blood flow behavior in patient-specific coronary arteries, achieving high accuracy in pressure and velocity predictions [7]. This model demonstrates the potential of using synthetic data from computational fluid dynamics (CFD) analyses to forecast hemodynamic behavior and predict fractional flow reserve (FFR), an important indicator of stenosis severity. Taebi (2022) examined the integration of deep learning with CFD for solving hemodynamic issues in the aorta and cerebral arteries, suggesting a transformative impact on computational medical decisions [8]. Similarly, Sarabian et al. (2022) developed a physics-informed deep learning framework for predicting brain hemodynamics, demonstrating its effectiveness in estimating cerebral variables with high accuracy [9]. The significance of fluid–structure interaction (FSI) analysis is underscored by studies such as those by Lee et al. (2012) and Pillai et al. (2022), which explore how geometric factors affect hemodynamics in arteries [10,11]. Additionally, innovative strategies combining Magnetic Resonance Imaging (MRI), CFD, and PINN have been proposed by Ma (2023), emphasizing their potential for precision medicine [12].
Despite these advancements, challenges remain, particularly regarding realistic outflow boundary conditions for stenosis diagnosis with minimal measurable data requirements. The hybrid CFD PINN fluid–structure interaction (FSI) technique proposed in this study employs a 1D PINN to establish initial conditions that are then integrated into FSI simulations as outlet values. This innovative approach aims to provide a more efficient and non-invasive means of diagnosing stenosis, addressing the limitations associated with traditional invasive methods like coronary angiography. The complexity of cardiac trees, characterized by numerous capillary branches, renders the experimental measurement of outflow boundary conditions impractical. Existing models, such as Windkessel-type conditions based on lumped parameters, introduce computational challenges and lack physiological grounding, leading to unclear boundary conditions and slow numerical convergence. The proposed method focuses on accurately modeling outlet conditions influenced by tree geometry, conservation laws in CFD, numerical iterations, and patient-specific parameters. By exclusively utilizing 1D PINN for estimating initial conditions, this approach distinguishes itself from conventional data-driven models that rely heavily on extensive datasets.
In contrast, the hybrid CFD PINN FSI technique leverages the geometric characteristics of the arterial tree, conservation laws in CFD, and patient-specific parameters to derive outlet conditions [13,14]. This methodology not only distinguishes itself from conventional data-driven models that rely heavily on extensive datasets but also emphasizes a foundation rooted in physiology and physics with minimal synthetic data.
This work (The current stage of this model involves conceptual proof-of-concept validation against experimental benchmarks and outputs from other simulations, with ethical considerations and institutional review board (IRB) approval for patient data collection already in place.) aims to advance non-invasive diagnostic techniques for coronary artery disease, ultimately enhancing patient care through innovative simulation methods tailored to individual anatomical variations. The potential for large-scale clinical testing could pave the way for commercialization and future clinical applications, ultimately enhancing diagnostic accuracy and patient care in cardiovascular health.
2. Mathematical Formulations and Numerical Methods
The proposed methodology will undergo testing in three distinct scenarios. In the initial scenario, we scrutinize a prototype arterial network illustrated in Figure 1, Figure 2 and Figure 3. Synthetic data, vital for training the model, is generated using a traditional Discontinuous Galerkin simulator [15].
The synthetic dataset used for validating the 1D PINN model consists of hemodynamic parameters generated from computational fluid dynamics (CFD) simulations of arterial flow. This dataset includes various scenarios that capture a range of physiological conditions, such as different flow rates and pressure distributions across the arterial tree. The synthetic dataset used in the 1D artery tree validation consists of a 500 by 1 matrix that contains hemodynamic data, specifically area, pressure, and velocity measurements at designated points illustrated in Figure 1, Figure 2 and Figure 3 within the arterial network. This matrix format allows for the efficient representation of multiple data points, enabling the model to learn from a comprehensive set of parameters essential for accurate predictions. Each entry in this matrix corresponds to specific measurements taken at various locations along the artery, facilitating the training of the PINN model. Specifically, the dataset is assembled by integrating outcomes from the Discontinuous Galerkin method, with a focus on velocity and wall displacement during a steady-state cardiac cycle. This dataset is designed to reflect realistic physiological variations, ensuring robustness in the model’s training and validation processes.
2.1. Governing Partial Differential Equations (PDEs)
Arterial network pulse wave propagation can be accurately simulated using one-dimensional (1D) reduced-order models, as demonstrated by previous studies [16,17,18]. To achieve this reduction in complexity, several fundamental assumptions are made. Initially, we assume that the local curvature is minor to enable the representation of arterial geometry using a Cartesian coordinate system. Additionally, we treat the fluid as incompressible and Newtonian, particularly focusing on large arterial geometries where both density and dynamic viscosity remain constant. Furthermore, we assume that the structural properties of the artery are consistent across cross-sections. Following the approach suggested in prior studies [19,20], we adopt a simplified version of the incompressible Navier–Stokes equations. The conservation of mass and momentum can be mathematically expressed through a hyperbolic conservation law, describing changes in blood velocity and cross-sectional area over time [18,20]. To complete the modelling system, we introduce a third equation to address the relationship between pressure and cross-sectional area, derived by considering a thin-walled tube and applying Laplace’s law [19]. It is important to note that this reduced-order model effectively captures the fundamental transport processes and has been validated to accurately represent pulse wave propagation phenomena using both in vitro and in vivo data [16,17,21]. The resulting system, as derived from the aforementioned analysis, can be articulated as follows [18,20]:
In the scope of this investigation, the variables A(x, t), u(x, t), and p(x, t) denote the cross-sectional area, velocity, and pressure, respectively. Here, x and t signify the spatial and temporal coordinates within each vessel. Moreover, β is determined by the equation , where signifies the vessel’s cross-sectional area at equilibrium, represents the wall thickness, is the Young’s modulus, is the external pressure, ν is the Poisson ratio, and ρ denotes the blood density. Typically, values for , , and ν are extracted from the existing literature, while and are set to the diastolic pressure and wall displacement, respectively.
In addition, is a friction parameter influenced by the selected velocity profile, and α is a correction factor for momentum flux, incorporating nonlinear sectional integration based on local velocity (for blood flow, is often chosen as , where µ signifies blood viscosity, and α is set to 1.1, as outlined in [18]). For the instances outlined in Section 3, the β parameter is calculated using the empirical relation suggested by [22]. It is crucial to note that the one-dimensional model proposed in this study neglects vessel tortuosity, curvature, and other three-dimensional geometric effects. In situations where these factors hold significant sway, such as in cerebral or coronary flows, our current model may introduce inaccuracies. Numerous research endeavors in the literature have sought to extend one-dimensional models to accommodate three-dimensional geometry effects (e.g., [19,20]). While such extensions could be incorporated into our framework, they fall beyond the purview of this paper and will be explored in future research. For all cases scrutinized in this study, we contend that vessel tortuosity has a minor impact relative to other sources of inaccuracy or uncertainty, such as experimental data noise and uncertainties associated with geometry and wall elasticity moduli.
Implications for Coronary Artery Studies
In coronary arteries, the assumption of blood as a Newtonian fluid is often justified for shear rates higher than 100 s−1; however, this may not hold true in regions where flow recirculation occurs, particularly near stenoses. The influence of non-Newtonian properties of blood on the velocity distribution and shear thinning has been studied via various single and multi-phase non-Newtonian hemodynamic models [23]. An effect of non-Newtonian properties on overall pressure drop across the arterial stenosis was exhibited at a flow with a Reynolds number of 100 or less [24].
As blood is a suspension, non-Newtonian behavior is particularly important within the capillaries where the size of (solid) blood cells is large relative to vessel caliber, resulting in a non-linear relationship between shear stress and viscosity. In larger blood vessels, Newtonian fluid behavior is often assumed whereby viscosity is constant, independent of the shear stress acting on the fluid [25].
Numerous studies close to 100% of the literature we surveyed use the Newtonian fluid model for Coronary Arteries [26,27,28,29,30,31,32,33,34,35].
Red and green points distinguish the boundaries of the arterial network, while bifurcation points—where continuity boundary conditions are imposed—denote blue points. Each vessel is assigned a corresponding number. Vertical lines on the figure denote spatial locations where training data are available, including wall displacement (depicted in black). The red frame indicates the location of the interested vessel in the 1D artery tree where stenosis occurs, which corresponds to the position of the FFR location arrow in the 3D artery tree.
Figure 1, Figure 2 and Figure 3 collectively illustrate the geometries and complexities of various arterial models critical for understanding hemodynamic behavior in coronary artery disease. Figure 1 shows (a) the geometry of the inlet and outlets of the CT209 model, which is essential for simulating blood flow dynamics, and (b) a graph representing a complex arterial network involving 14 vessels and 5 bifurcation points, highlighting the intricate interactions within the vascular system. Figure 2 presents (a) the geometry of the inlet and outlets of the CHN13 model, crucial for accurate flow simulations, and (b) a graph depicting another complex arterial network with 10 vessels and 4 bifurcation points, emphasizing how these bifurcations influence flow distribution. Lastly, Figure 3 illustrates (a) the geometry of the inlet and outlets of the CHN03 model, which serves as a foundation for understanding flow patterns, and (b) a graph of a complex arterial network that also includes 10 vessels and 4 bifurcation points, further emphasizing the importance of these structures in hemodynamic analysis. Together, these figures provide a comprehensive overview of the models used in this study, setting the stage for detailed discussions on their implications for diagnosing stenosis and improving non-invasive diagnostic techniques in CAD.
Figure 1.
(a) The geometry of the inlet and outlets of the CT209 model. (b) Graph of a complex arterial network that involves 14 vessels and 5 bifurcation points.
Figure 1.
(a) The geometry of the inlet and outlets of the CT209 model. (b) Graph of a complex arterial network that involves 14 vessels and 5 bifurcation points.

Figure 2.
(a) The geometry of the inlet and outlets of the CHN13 model. (b) Graph of a complex arterial network that involves 10 vessels and 4 bifurcation points.
Figure 2.
(a) The geometry of the inlet and outlets of the CHN13 model. (b) Graph of a complex arterial network that involves 10 vessels and 4 bifurcation points.

Figure 3.
(a) The geometry of the inlet and outlets of the CHN03 model. (b) Graph of a complex arterial network that involves 10 vessels and 4 bifurcation points.
Figure 3.
(a) The geometry of the inlet and outlets of the CHN03 model. (b) Graph of a complex arterial network that involves 10 vessels and 4 bifurcation points.

2.2. The Design of the Physics-Informed Neural Network (PINN)
Physics-informed neural networks, commonly known as PINNs, offer a novel methodology that leverages recent advances in deep learning to deduce solutions, parameters, and constitutive laws pertaining to partial differential equations (PDEs) [19,36,37,38]. In this framework, the solution to partial differential equations is expressed through a neural network, trained to align with system measurements while adhering to the underlying physical principles. In our specific scenario, we define a neural network, labeled as , to characterize the solution of Equation (1) for vessel in our arterial network. Here, denotes the parameters of the neural network associated with vessel . The primary aim of the network is to approximate the following mapping:
For Equation (1), we can establish the following residuals:
These residuals can serve as constraints when training neural networks to ensure the generated predictions align with physical principles. In addition to minimizing residuals, the neural networks are constrained to fit non-invasive clinical measurements, accounting for noise and spatial–temporal variation. For clarity, refer to Figure 4 and Figure 5. For each vessel labeled as #j, scattered measurements of and are considered, denoted as and , respectively. A larger number of collocation points {, are used to satisfy constraints at a finite set of collocation nodes.
Figure 4.
Inlet boundary conditions: transient velocity (a) and pressure (b) waveform of coronary blood flow.
Figure 5.
Schematic illustration of the 1D PINN algorithm.
It is crucial to note that only measurements for and are utilized, as obtaining reliable measurements for in non-invasive clinical settings is often challenging.
The introduced one-dimensional model establishes a correlation between absolute pressure, cross-sectional area, and blood velocity, as shown in Equation (1). Relying solely on momentum conservation as a constraint is insufficient for determining absolute pressure, as the momentum equation considers only the pressure gradient. However, the linear elastic constitutive law governing wall displacements (Equation (1)) directly links arterial wall displacement to absolute pressure at each cross-section. This constitutive relation is intertwined with the laws of mass and momentum conservation. It is these interdependencies that we aim to leverage using physics-informed neural networks to deduce absolute pressure from velocity and cross-sectional area measurements.
The choice of appropriate values for and impacts the convergence rate of the proposed algorithm, although this choice is not unique. In the provided synthetic examples, was set to zero, and was assigned a reference value at equilibrium. For the realistic aorta/carotid bifurcation, values of and for each vessel were determined based on typical values found in the existing literature (e.g., [39]). Additional details on constructing the components of the loss function for training neural networks will be provided in the following section.
2.3. Neural Network
The application of the physics-informed neural network (PINN) method for simulating fluid flow in coronary artery trees is detailed in this research [4,40]. In our approach, a fully connected neural network is employed, and the Adam optimizer is utilized to enhance both accuracy and efficiency. The problem solution is parameterized through three distinct neural networks, each dedicated to a specific vessel. These networks are configured with seven hidden layers, each comprising 100 neurons and utilizing a hyperbolic tangent activation function. The initialization of the neural networks is performed using Xavier initialization [41]. This architectural configuration exhibits ample capacity to effectively capture intricate features inherent in the propagating waveforms.
The diagram at Figure 5 delineates the distinct components of the loss function. The blue box signifies the portion related to residual losses, the green box corresponds to interface losses, and the red box represents measurement loss. The amalgamation of these components constitutes the comprehensive loss function, where the tuning of neural network parameters is achieved through minimization. It encompasses measurements, physical constraints, and continuity, which the model needs to combine these individual components to establish the comprehensive structure of the loss function. The loss function for the PINNs is represented as follows:
As per the definition provided in the previous section, D represents the overall count of domains, where DM ⊂ D signifies the set of indices associated with domains containing available data, and Di indicates the quantity of interfaces within the arterial networks. Index j is used to specify the domain in question, while index k aids in tracking interface points. It is crucial to note that index k does not pertain to a specific neural network because calculations for A, u, and p at bifurcation points are performed through the respective neural networks of the parent and daughter vessels.
For this investigation, uniform fluid properties and blood models were utilized in both rigid wall and fluid–structure interaction (FSI) simulations. These properties included a Newtonian dynamic viscosity of 0.0035 Ns/m2 and a density of 1056 kg/m3 [42]. The boundary conditions for these simulations consisted of velocity/pressure inlets, defining the blood flow as laminar fluid flow. Additionally, the inlet data specified for each artery indicated the consistent use of three cycles in all simulations.
2.4. 3D CFD FSI Method
(1) 3D CFD FSI:
Governing Equations:
In the context of 3D computational fluid dynamics (CFD) fluid–structure interaction (FSI) simulation within coronary artery trees, the governing equations encompass the Navier–Stokes equations governing fluid flow and the structural equations dictating solid mechanics. These equations are intricately linked to depict the interplay between fluid dynamics and the deformable arterial walls. The fluid equations address the conservation of mass and momentum, whereas the solid equations encapsulate structural deformations [43,44].
Fluid flow (Navier-Stokes equations):
Continuity Equation
where is the velocity vector and u, v, and w are the velocity components in the x, y, and z directions, respectively.
Momentum Equations
where:
P is the pressure (Pa),
ρ is the density of blood (kg/m3),
g = is the gravitational acceleration vector (m/s2),
is the dynamic viscosity.
Solid mechanics (Structural deformation equation):
where:
is the density of the solid material (kg/m3),
is the displacement vector of the solid (m),
is the Cauchy stress tensor (Pa).
Time Integration Scheme and Order of Accuracy:
The time integration scheme employed in the simulation is crucial for accurate and stable results. A commonly used approach is the fractional step method, and the choice of order of accuracy in time integration plays a significant role. Higher-order schemes, such as the second-order Adams–Bashforth, can enhance the temporal accuracy of the simulation.
Time step
Fluid velocity at the next time step
External body force at the current time step
Finite Volume Method (FVM) and Order of Accuracy:
The Finite Volume Method is utilized to discretize the governing equations in space. This numerical technique is employed to convert the partial differential equations into a system of algebraic equations. The accuracy of the scheme is determined by the order of the spatial discretization, and a higher order ensures a more precise representation of the physical phenomena.
Discretized Navier–Stokes equation using FVM:
Fluid density
Control volume
Time step
Fluid velocity at the next time step
Fluid velocity at the current time step
Nabla operator (gradient)
Tensor product
Pressure gradient
Kinematic viscosity
Laplacian of fluid velocity
Density multiplied by velocity vector
Pressure
PISO Scheme for Pressure Correction:
The PISO (Pressure-Implicit with Splitting of Operators) scheme is implemented for pressure correction in transient flows. It is an iterative algorithm that separates the pressure and velocity corrections, enhancing stability and accuracy. The PISO scheme is particularly effective in simulating unsteady flows, a crucial aspect in coronary artery simulations.
Pressure-correction step in PISO:
Pressure at the next time step
Pressure at the current time step
Relaxation factor
Pressure correction
Boundary Conditions for Flow and Structural Dynamic Simulations:
Properly defining boundary conditions is essential for the accuracy of simulations. In fluid dynamics, the inlet and outlet conditions, as well as the conditions on the arterial walls, need careful consideration. For structural dynamics, appropriate constraints and loading conditions on the arterial walls are specified to simulate realistic physiological scenarios.
Inlet fluid velocity
BC: Prescribed inlet fluid velocity
tₐₗₗ: Arterial wall traction
Inlet and outlet conditions for flow:
Arterial wall conditions for structure:
(2) Coupling Method:
Arbitrary Lagrangian–Eulerian (ALE) Method:
ALE is employed to handle the fluid–structure interface motion. It combines aspects of Lagrangian and Eulerian descriptions, allowing for mesh movement and deformation. This method facilitates the simulation of moving boundaries, such as the arterial walls in FSI, providing flexibility in capturing dynamic interactions.
ALE formulation for mesh movement:
Mesh coordinates
Solid displacement vector
Dynamic Coupling:
Dynamic coupling involves the real-time exchange of information between the fluid and structural solvers during simulation. This ensures a continuous and synchronized interaction between the fluid and structure domains, capturing the evolving dynamics of the coronary artery system.
Forces and displacements exchange:
Fluid force on the structure
Pressure gradient in the fluid
Force on the structure
Divergence of the stress tensor
Kinematic Coupling:
Kinematic coupling involves the exchange of kinematic information between the fluid and structure solvers. This coupling method focuses on ensuring that the deformation of the arterial walls is accurately represented in the fluid domain. It provides a means to convey the structural displacement information to the fluid solver.
Displacement transmission:
uₘ: Fluid velocity
Solid displacement vector
2.5. Modeling Arterial Deformation
A structured fluid–structure interaction (FSI) scenario is depicted; featuring the governing equation for the deformation of the vessel wall is expressed as:
In the provided equations, stands for structure density, d denotes solid displacements, s represents the Cauchy stress tensor, and the body forces on the structure are denoted by . The stress tensor for an isotropic linear elastic material can be expressed as:
where “” and “” are the first and second-order Lame parameters, respectively, # is the strain tensor, “” denotes the trace function, and “” signifies the characteristics matrix. It is worth noting that, for any compressible materials, the Lame parameters can generally be expressed as functions of the elastic modulus E and Poisson’s ratio n.
2.6. Fluid-Structure Interaction (FSI) Modelling
FSI coupling was executed through the creation of distinct models for the fluid and structural domains. Neither Eulerian nor Lagrangian formulations exclusively suited both domains. The Lagrangian equation proved inadequate for managing substantial deformations in fluid systems, while the Eulerian formulation compromised accuracy in the solid domain. Generally, FSI dilemmas were addressed utilizing a conventional Arbitrary Lagrangian–Eulerian (ALE) formulation [45]. In the ALE method, the fluid domain is allowed to deform arbitrarily, ensuring its boundaries track the deformation of the structural domain [46]. These two methodologies were amalgamated and applied to address structural problems through the Lagrangian formulation.
The two-way coupling between the fluid and structural domains was established using the commercial computational software ANSYS FLUENT and ANSYS Structural (version 2020R1). The structural domain was addressed through ANSYS Mechanics, employing the finite-element method, while ANSYS FLUENT utilized a finite-volume-based approach for computational fluid mechanics analysis. Within this study, a recurrent two-way coupling system for fluid and solid was solved iteratively at each predefined time step of 0.005. Conditions at the fluid–structure interface were appropriately applied until the system’s residual reached a predefined tolerance level.
The FSI challenges involve the conservation of mass and momentum across the interfaces [47], representing the content of displacement compatibility and traction equilibrium.
In the provided equations, represents the fluid displacement at the interface, and denotes the solid displacement at the interface in Equations (16) and (17). Similarly, the forces exerted by the fluid and solid on the interfaces are defined as and , respectively, in Equation (16), often expressed in stress tensor form,
where s is the stress tensor and and are the fluid and solid normal interfaces, respectively.
Wall Shear Stress (WSS)
In hemodynamic simulations within vessels, the wall shear stress (WSS) stands as a pivotal parameter. Endothelial cells align themselves in the direction of blood flow, and this alignment is utilized to calculate the wall shear stresses in blood vessels. The expression used to compute the WSS in blood arteries is given as
where WSS () is the wall shear stress in (Pa) and is the dynamic viscosity, velocity gradient at the wall.
2.7. Hybrid CFD PINN FSI Method
The Hybrid CFD PINN fluid–structure interaction (FSI) method introduces a novel approach to non-invasive stenosis diagnosis by coupling a 1D physics-informed neural network (PINN) with 3D CFD/FSI models of the coronary tree. This integration addresses the limitations of invasive techniques like coronary angiography by minimizing patient invasiveness, reducing costs, and enhancing safety.
Integration Process:
The integration of the 1D PINN with the 3D CFD/FSI model occurs in several key steps:
- Initial Condition Setup: The 1D PINN is trained using a dataset that combines synthetic data from CFD simulations with real clinical data. This training allows the PINN to predict hemodynamic parameters such as pressure, flow rates, and vessel geometry.
- Boundary Condition Transfer: Once trained, the PINN provides realistic outlet conditions for each vessel in the arterial network. These conditions include parameters such as pressure and flow rates, which are crucial for accurate simulations in the 3D FSI model.
- 3D FSI Simulation: The 3D CFD/FSI model uses the outlet conditions from the PINN to simulate blood flow and arterial wall interactions. This model captures complex dynamics, including how changes in geometry affect hemodynamic behavior.
- Iterative Feedback Loop: After running the FSI simulation, results are analyzed to refine the boundary conditions provided by the PINN. This feedback loop allows for the continuous improvement of both models, ensuring that they remain aligned with physiological realities.
Flowchart:
To enhance understanding, a flowchart outlining this workflow should be included in the methodology section. The flowchart should depict:
- The training phase of the 1D PINN.
- The transfer of initial conditions to the 3D FSI model.
- The iterative feedback process between the two models.
Clarification on Weight Balancing:
The methodology employs a composite loss function during training that balances data fitting against adherence to physical laws. This ensures that while the PINN learns from empirical data, it also respects the governing equations of fluid dynamics. By providing explicit details on how the PINN feeds into the CFD/FSI model, what values are passed during integration, and how different models interact at various stages, this revised section aims to clarify your methodology and highlight its innovative contributions to non-invasive stenosis diagnosis.
2.8. Mesh Independent Study
The preceding paper on PBA included a study on the independence of the fluid domain mesh. For the solid domain mesh sensitivity analysis, an automated meshing algorithm was initially employed in ANSYS Meshing to discretize the fluid–structure domain. The Tetrahedron mesh method was utilized for a smooth and uniform mesh. Additionally, the refinement of the mesh involved introducing sizing across the interface between the fluid and structural domains to enhance precision, particularly in regions near the artery walls.
To calculate the Grid Convergence Index (GCI) for artery trees, you can use the following formulas along with example values for the refinement ratio (r) and the apparent order of convergence (p).
1. Formula for Grid Convergence Index (GCI)
The GCI is calculated using the formula:
where:
- S1 and S2 are the solutions from two successive grid levels.
- r is the grid refinement ratio.
- p is the apparent order of convergence.
2. Example Values
- Grid Refinement Ratio (r): A common choice is 2, indicating that each successive grid has half the cell size of the previous one. For instance, if the first grid has a cell size of one unit, the second grid would have a cell size of 0.5 units.
- Order of Convergence (p): Typical values for p might range from 1.5 to 2 for second-order methods. For example, in some studies, p has been reported as approximately 1.84 or 1.81.
An autonomous grid study, illustrated in Figure 6, was conducted. The simulations commenced with 200,000 elements, and the grids were incrementally increased until independence was achieved, resulting in 951,325, 850,375, and 875,452 elements for CT209, CHN13, and CHN03, respectively. The pressure values stabilized beyond the chosen grid.
Figure 6.
Mesh sensitivity analysis of pressure at FFR points along the diastolic condition.
3. Results
3.1. 1D Artery Tree Validation
The 1D PINN is designed to express solutions to partial differential equations (PDEs) governing fluid dynamics, allowing it to predict hemodynamic parameters such as pressure and flow rates. The training dataset is generated using a combination of synthetic data from computational fluid dynamics (CFD) simulations and real clinical data. Furthermore, for all scenarios, a series of comprehensive systematic studies will be conducted to evaluate the accuracy and robustness of the proposed methods. Throughout our numerical investigations, the viscous loss coefficient was maintained at zero, and α was set to one, under the assumption that viscous losses play a secondary role in the larger systemic arteries considered in this study. The implementation of the proposed algorithms is executed using Tensorflow v1.10.
Using the 1D physics-informed neural network (PINN), as illustrated in Figure 7, Figure 8 and Figure 9, predictions for area, pressure, and velocity were made for each vessel in the 1D arterial tree shown in Figure 1, Figure 2 and Figure 3 for CT209, CHN13, and CHN03. The pressure results for the vessels of interest are highlighted in red Figure 7b, Figure 8 and Figure 9b. Given that pressure is the primary focus of this research, fractional flow reserve (FFR) calculations were performed for these vessels to evaluate the accuracy of the 1D PINN in predicting FFR.
Figure 7.
Flow through a prototype of an artery CHN03: physics-informed neural network model predictions of (a) area, (b) pressure, and (c) velocity.

Figure 8.
Flow through a prototype of an artery CHN13: physics-informed neural network model predictions of (a) area, (b) pressure, and (c) velocity.

Figure 9.
Flow through a prototype of an artery CT209: physics-informed neural network model predictions of (a) area, (b) pressure, and (c) velocity.
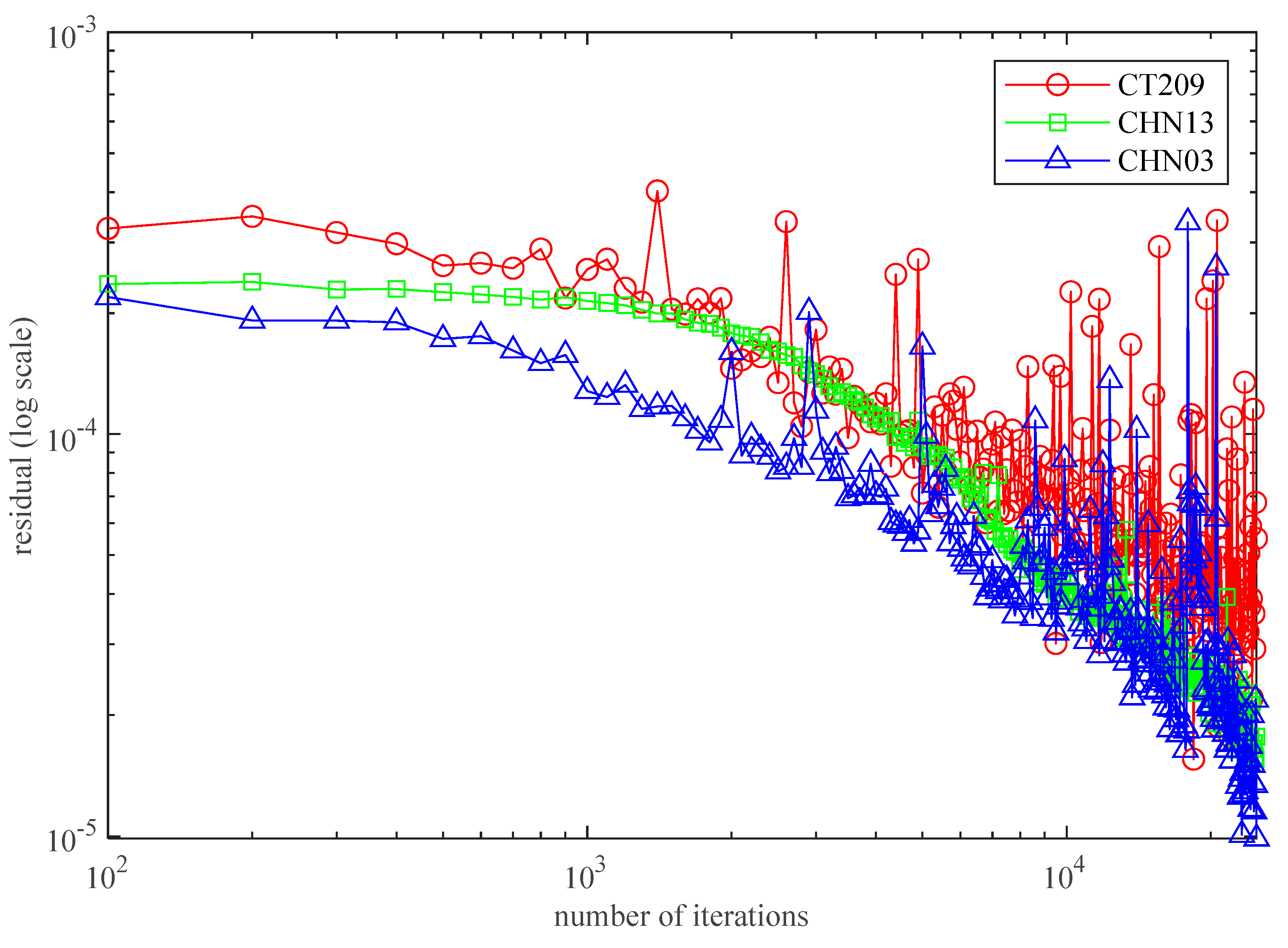
Figure 7, Figure 8 and Figure 9 specifically present predictions of (a) area, (b) pressure, and (c) velocity across the arterial network, demonstrating how effectively the 1D PINN captures hemodynamic parameters and models complex vascular dynamics. The validation process involves comparing these predictions with averaged experimental FFR values obtained from clinical measurements, as shown in Figure 10, which indicates that the PINN provides reliable predictions for stenotic vessels even at the 1D level. To ensure the accuracy of the 1D PINN simulation shown in Figure 11, the residual values have been included, which have reached 10−3.
Figure 10.
FFR prediction by 1D PINN for (a) CHN03, (b) CHN13, and (c) CT209.
Figure 11.
PINN residual history for each artery.
A close correlation between the cross-sectional area of the arterial tree and system pressure is evident in Figure 7, Figure 8 and Figure 9, consistent with fluid dynamics principles where pressure inversely relates to area according to Bernoulli’s equation. As area decreases, pressure increases, reflecting energy conservation in fluid flow. However, this correlation does not extend to velocity; fluid velocity is not directly proportional to area or pressure. According to the continuity equation, while flow rate remains constant in a closed system, changes in area do not yield a straightforward linear relationship with velocity, which can vary based on factors such as viscosity and flow regime.
In summary, while a significant correlation exists between area and pressure in Figure 7, Figure 8 and Figure 9, the relationship with velocity is more complex and non-linear. Understanding these distinctions is crucial for analyzing fluid dynamics within arterial systems.
Figure 10 focuses on the prediction of fractional flow reserve (FFR) by the 1D PINN for three different models: (a) CHN03, (b) CHN13, and (c) CT209. This figure is vital for validating the PINN’s effectiveness in predicting FFR values against experimental data. The comparison highlights the model’s ability to provide pulsatile FFR predictions that align well with averaged experimental values, reinforcing its reliability even at the 1D level. This validation is particularly important as it demonstrates the model’s potential for non-invasive diagnostics in clinical practice.
3.2. 3D Real Coronary Artery Tree Model Validation
The integration of 1D PINN with the 3D FSI model is a multi-step process that enhances the accuracy of hemodynamic simulations in cardiovascular modeling. Initially, the 1D PINN is employed to establish realistic initial conditions based on patient-specific data, which includes geometric characteristics of the arterial tree and hemodynamic parameters such as blood flow rates and pressure gradients. This step is crucial because traditional lumped parameter models often oversimplify vascular dynamics, leading to inaccurate boundary conditions. Once the initial conditions are set using the PINN, these values are transferred to the 3D FSI model as outlet conditions. The FSI model then simulates the interaction between blood flow and arterial wall mechanics, allowing for a comprehensive analysis of how changes in geometry and flow dynamics affect overall cardiovascular function. The PINN’s ability to incorporate physics-based principles alongside clinical data ensures that the outlet conditions are not only realistic but also grounded in the underlying physics of fluid dynamics. Throughout this process, different models serve specific roles: the 1D PINN focuses on initializing conditions and predicting hemodynamic parameters, while the 3D FSI model provides a detailed simulation of blood flow interactions within complex arterial geometries. The interaction between these models occurs through the transfer of data—initial conditions from the PINN inform the FSI simulations, which in turn can provide feedback to refine the PINN’s predictions based on observed outcomes. This hybrid approach not only improves predictive accuracy but also enhances computational efficiency by reducing reliance on extensive datasets typically required for training purely data-driven models. By leveraging both physics-informed insights and clinical data, this methodology offers a promising pathway for the non-invasive diagnosis of stenosis and improved patient-specific analysis in coronary artery disease management.
The numerical investigation utilized ANSYS version 2020R1 to import the reconstructed three-dimensional stereolithographic (.stl) model. Subsequently, the fluid–structure interaction (FSI) model, representing the fluid (blood) and solid (arterial wall) domains, was formulated using ANSYS. The elastic wall, with a thickness of 0.5 mm, was created by referencing a previously published manuscript [48], employing the blood domain volume model. The mechanical properties of the artery wall were assumed to be homogeneous, isotropic, incompressible, and nonlinear, in accordance with the existing literature [49,50]. The Neo–Hookean hyperelastic constitutive equation, widely recognized for describing hyperelastic material behavior in arteries [51,52], was applied to model both the coronary artery wall and plaque materials.
In this framework, W signifies the strain energy per unit reference volume of the hyperelastic material, denotes the first deviatoric strain invariant, d represents the material incompressibility parameter, j indicates the determinant of the elastic deformation gradient, and m stands for the initial shear modulus. Table 1 furnishes the hyperelastic constants for both normal and atherosclerotic coronary arteries, extracted from experimental tests conducted on human coronary arteries.
Table 1.
Structural Properties.
The present investigation employed fluid–structure interaction (FSI) for numerically simulating blood flow in coronary artery trees featuring multiple stenosis. Outlet values for each branch, in both rigid and flexible wall transient scenarios, were derived from 1D PINN calculations presented in Figure 7, Figure 8 and Figure 9, emphasizing the significance of these values in solving such simulations.
Hemodynamic parameters, specifically fractional flow reserve (FFR) and wall shear stress (WSS), were examined in the patient’s coronary artery, considering the flexibility of arterial walls. The primary objective of this study is to validate results obtained from the 1D physics-informed neural network (PINN) through a comparative analysis with FSI coronary artery models.
Fractional Flow Reserve (FFR):
Figure 12, Figure 13 and Figure 14 present the variation of fractional flow reserve (FFR) for both rigid and fluid–structure interaction (FSI) models during the validation of the CHN03, CHN13, and CT209 coronary arteries in systolic and diastolic periods. The results indicate minimal differences in FFR between the rigid and flexible walls under systolic conditions, with values in the stenosis region ranging from 0.5 to 0.8 Pa across the three arteries. This consistency suggests that, for larger arteries, the rigid wall assumption may be adequate for specific analyses, as supported by previous studies indicating slight variations in hemodynamic results for large-diameter arteries. However, the higher FFR observed in other branches of the arteries emphasizes the importance of considering wall compliance, particularly in smaller vessels where flow dynamics can significantly differ. During the diastolic phase, FFR values remain consistent with those observed during systole, reinforcing that wall flexibility is critical in hemodynamic assessments. The findings align with the existing literature, highlighting the necessity of incorporating FSI models to accurately capture the interactions between blood flow and arterial wall deformation. The results suggest that while rigid wall models may suffice for some applications, they can lead to underestimating hemodynamic parameters in stenotic regions.
Figure 12.
FFR distribution in CHN03 coronary artery throughout systolic and diastolic phases of the cardiac cycle with (a,b) rigid and (c,d) fluid–structure interaction (FSI).
Figure 13.
FFR distribution in CHN13 coronary artery throughout systolic and diastolic phases of the cardiac cycle with (a,b) rigid and (c,d) fluid–structure interaction (FSI).
Figure 14.
FFR distribution in CT209 coronary artery throughout systolic and diastolic phases of the cardiac cycle with (a,b) rigid and (c,d) fluid–structure interaction (FSI).
Wall Shear Stress (WSS)
Figure 15, Figure 16 and Figure 17 depict the variation of WSS for both the rigid and FSI models while validating the CHN03, CHN13, and CT209 coronary arteries in systolic and diastolic periods. Under systolic conditions, the differences in WSS between the rigid and flexible walls are minimal across all three arteries, with values in the stenosis region approximately ranging from 10 to 45 Pa for CHN03, 10 to 25 Pa for CHN13, and 10 to 25 Pa for CT209. In contrast, other branches of each artery exhibit higher WSS in the flexible wall compared to the rigid wall. During the diastolic phase, the differences in WSS between the rigid and flexible walls remain consistent with those observed during systole, with WSS in the stenosis area falling within the range of 40 to 50 Pa for CHN03, continuing to range from 40 to 50 Pa for CHN13, and reaching 10 to 45 Pa for CT209.
Figure 15.
WSS distribution in CHN03 coronary artery throughout systolic and diastolic phases of the cardiac cycle with (a,b) rigid and (c,d) fluid–structure interaction (FSI).
Figure 16.
WSS distribution in CHN13 coronary artery throughout systolic and diastolic phases of the cardiac cycle with (a,b) rigid and (c,d) fluid–structure interaction (FSI).
Figure 17.
WSS distribution in CT209 coronary artery throughout systolic and diastolic phases of the cardiac cycle with (a,b) rigid and (c,d) fluid–structure interaction (FSI).
Wall shear stress (WSS) plays a pivotal role in assessing artery strength, where higher WSS levels may contribute to artery wall rupture. The overall WSS in the segmented left coronary artery exhibits slight variations between the CFD and FSI models. This discrepancy is attributed to artery wall deformation, generating pressure waves that propagate at a finite speed through the arteries, unlike the CFD model with rigid walls, which produces instantaneous wave propagation.
In Figure 18, Figure 19 and Figure 20, a comparative analysis is presented between rigid and flexible walls for FFR, velocity, and WSS waveforms across the cardiac cycle in arteries CHN03, CHN13, and CT209, respectively. The red lines denote rigid wall results, the green lines represent FSI outcomes for comparison, and the yellow lines indicate mean invasive experimental FFR values, providing a reference for simulation results. The FFR measurement points are depicted in Figure 1, Figure 2 and Figure 3.
Figure 18.
Comparison analysis of FFR, velocity, and WSS waveforms across cardiac cycle for artery CHN03 with rigid and flexible walls.
Figure 19.
Comparison analysis of FFR, velocity, and WSS waveforms across cardiac cycle for artery CHN13 with rigid and flexible walls.
Figure 20.
Comparison analysis of FFR, velocity, and WSS waveforms across cardiac cycle for artery CT209 with rigid and flexible walls.
Observing the FFR results, the disparity between rigid and flexible walls is not substantial. However, flexible walls exhibit a waveform behavior closer to reality, aligning more closely with the inlet pressure waveform. This similarity is mirrored in other parameters such as velocity and WSS, where flexible wall calculations demonstrate a more realistic pattern with increased fluctuations compared to rigid wall calculations. These fluctuations arise due to the viscoelastic nonlinear effects of materials, causing bounces in each waveform originating at the inlet, redirecting to the walls, and influencing velocity and WSS. Notably, WSS is directly influenced by pressure, while velocity values exhibit a slight inclination in the cycle compared to pressure and WSS.
Table 2 presents a comparison of computational times and error percentages associated with different methods in the context of the 1D PINN and FSI models for coronary artery analysis.
Table 2.
Computational Time and Error Analysis for the 1D PINN and FSI methods in coronary artery modeling.
Method Comparison
- 1.
- 1D PINN Training (CPU vs. GPU):
- CPU Training: The 1D PINN training on a CPU takes approximately 4 h, with error percentages for the models CT209, CHN13, and CHN03 being 3.9%, 4.6%, and 3.2%, respectively. This indicates varying degrees of accuracy across different models, with CT209 showing the lowest error.
- GPU Training: In contrast, training on a GPU significantly reduces the time to just 1 h, showcasing the efficiency gains that can be achieved with appropriate hardware. This highlights the importance of computational resources in handling complex neural network training.
- 2.
- 1D PINN Prediction:
- The prediction phase for the 1D PINN is remarkably quick, taking only 5 s. This rapid prediction capability is crucial for clinical applications where timely decision making is essential.
- 3.
- FSI Transient (CPU):
- The FSI transient simulation on a CPU takes 30 h, with error percentages of 5.1%, 3.7%, and 3.9% for CT209, CHN13, and CHN03, respectively. The longer computational time reflects the complexity of simulating fluid–structure interactions in a detailed 3D environment.
Insights from Error Percentages
The error percentages indicate how well each model performs in terms of accuracy:
- The relatively low error rates for both the PINN training and FSI simulations suggest that the models are effective in capturing hemodynamic behaviors.
- The variations in error across different models may point to differences in anatomical complexity or parameter settings that could be explored further to improve accuracy.
Overall Implications
The data presented in this table underscore the efficiency and effectiveness of using a hybrid approach that combines the 1D PINN with 3D FSI models. The significant reduction in training time when using GPU resources emphasizes the potential for real-time applications in clinical settings, where quick diagnostics are critical. In conclusion, this table not only highlights the computational efficiency of different methods but also provides insights into their accuracy, which is essential for advancing non-invasive diagnostic techniques for coronary artery disease. Further exploration into optimizing these methods could lead to even more robust applications in clinical practice.
4. Discussion
Advances in physics-informed machine learning have enabled the integration of theoretical models with real-world data, exemplified in this study with a 1D physics-informed neural network (PINN) for initializing fluid–structure interaction (FSI) simulations in cardiovascular modeling. By seamlessly combining physics-based models with clinical data, this work has developed deep neural networks capable of predicting complex hemodynamic parameters critical for FSI simulations, such as fractional flow reserve (FFR) and wall shear stress (WSS), which are typically challenging to measure non-invasively. The motivation for employing the 1D PINN arises from the need to extend previous studies, such as those by Kissas et al., to provide a more comprehensive approach to initializing real patient data instead of relying solely on traditional methods [40]. Traditional 1D approaches often struggle to accurately represent outflow boundary conditions, particularly in cardiac trees with multiple capillary branches connecting to downstream microcirculation, where experimental measurements are nearly impossible due to the small diameters involved. Consequently, these methods frequently depend on Windkessel-type boundary conditions based on lumped parameter models (LPM) or lumped parameter network models (LPNM), which approximate complex dynamic interactions but face challenges in accurately computing resistances and capacitances [53].
The incorporation of physics-informed neural networks (PINN) in the hybrid CFD PINN fluid–structure interaction (FSI) method provides distinct advantages over traditional modeling approaches and purely data-driven methods. PINNs enhance the accuracy and reliability of hemodynamic predictions by integrating physics-based principles with machine learning, allowing for a robust representation of complex cardiovascular systems. Unlike conventional 1D models that rely solely on empirical data, PINNs adaptively learn from clinical data while adhering to physical constraints, reducing dependence on extensive datasets that may be difficult to obtain. This method facilitates the efficient initialization of FSI simulations with realistic outlet values derived from patient-specific parameters, improving calibration and enhancing the physiological relevance of simulations. Additionally, PINNs offer flexibility in modeling variations in arterial geometry and material properties, crucial for accurately simulating real-world conditions. By addressing limitations associated with traditional techniques, such as slow convergence rates and parameter estimation challenges, PINNs streamline the modeling process and improve computational efficiency. Ultimately, this study advances cardiovascular simulation and provides a promising pathway for developing non-invasive diagnostic tools aligned with personalized medicine needs.
Although establishing initial conditions is relatively quick compared to the computational demands of fluid–structure interaction (FSI) and computational fluid dynamics (CFD), the use of physics-informed neural networks (PINN) is vital for enhancing accuracy and reliability. Traditional lumped parameter models often oversimplify vascular dynamics, leading to inaccurate boundary conditions. PINNs integrate physics-based principles with clinical data, providing a more robust representation of hemodynamic behavior while reducing reliance on extensive datasets, which is particularly beneficial in clinical settings. The selection of input features for the neural network focuses on their relevance in predicting hemodynamic parameters like fractional flow reserve (FFR) and wall shear stress (WSS). Key features include geometric characteristics of the arterial tree, such as vessel diameters and lengths, along with patient-specific parameters like blood flow rates and pressure gradients. These features ensure that the model captures intricate interactions within the cardiovascular system, facilitating accurate predictions. By leveraging both synthetic data from CFD analyses and real patient data, the model can adaptively learn from a comprehensive dataset, enhancing its predictive accuracy and robustness across various clinical scenarios.
Furthermore, connecting the ordinary differential equations (ODEs) generated from these models with computational fluid dynamics (CFD) solvers can lead to unclear boundary conditions, resulting in a slow convergence or divergence of numerical solutions. In contrast, this study’s approach leverages the 1D PINN as a data-driven alternative that circumvents the need for precise measurements and cumbersome parameter estimations. By integrating physics-based models with clinical data, this methodology offers a more flexible and physiologically grounded approach to simulating blood flow in complex cardiovascular systems. The efficient training of the physics-informed networks for FSI simulations is achieved through proper non-dimensionalization and normalization techniques, along with a composite training objective that ensures consistent flow information propagation across systemic arteries. The proposed methodology has demonstrated promising results across various synthetic and realistic examples, showing good agreement with state-of-the-art numerical solvers using Discontinuous Galerkin discretizations. Additionally, it provides a low-cost post-processing procedure for calibrating Windkessel model parameters, enhancing traditional simulation usability. Compared to conventional pure physics-based computational models, this data-driven approach alleviates complexities associated with mesh generation and initial/boundary condition prescriptions. However, challenges remain in reducing setup and training time for the physics-informed neural networks while improving prediction accuracy and robustness.
A 3D physics-informed neural network (PINN) pretrained model can effectively predict patient-specific geometries by normalizing parameters such as artery size while preserving all physical characteristics of blood flow. This approach allows the model to adapt to various anatomical variations without the need for extensive retraining. By leveraging transfer learning techniques, the pretrained model can quickly adjust to new geometries, maintaining accuracy in predicting hemodynamic parameters like pressure and velocity [13].
Research has shown that such models can accurately replicate fluid flow patterns in complex vascular structures, enabling real-time analysis and facilitating non-invasive diagnostic techniques. The integration of patient-specific data enhances the model’s capability to provide precise predictions tailored to individual anatomical features, thus improving clinical decision making in cardiovascular interventions. This innovative use of 3D PINNs represents a significant advancement in computational modeling, combining the strengths of deep learning with fundamental physics principles to address the challenges posed by varying patient anatomies.
5. Conclusions
This study introduces a significant advancement in coronary artery fluid flow simulation through the innovative hybrid CFD PINN FSI method. The 1D PINN code effectively replicates fluid flow patterns in coronary artery networks and identifies potential stenotic regions with exceptional accuracy and efficiency, outperforming finite element method (FEM) counterparts approximately tenfold. Validation against invasive mean FFR distributions confirms the model’s reliability. The incorporation of flexible nonlinear wall materials enhances the realism of FFR, velocity, and WSS values, suggesting a promising non-invasive alternative for coronary diagnostics that surpasses traditional methods like invasive coronary angiography (ICA). Ongoing research aims to refine the standalone PINN model for 3D fluid flow modeling and improve stenosis diagnosis in individual coronary arteries while addressing the impracticality of experimental outflow boundary condition measurements in complex cardiac trees. The hybrid CFD PINN FSI method utilizes the 1D PINN to establish initial conditions transferred to FSI as outlet values, offering a more effective and noninvasive diagnosis of stenosis. This approach distinguishes itself by exclusively using the 1D PINN for estimating initial conditions, reducing reliance on extensive datasets. Currently at the conceptual proof stage, this model is grounded in physiology and minimal synthetic data, aiming to predict stenosis locations and FFR values while envisioning an AI tool for early heart attack detection aligned with WHO strategies against cardiovascular diseases worldwide.
Author Contributions
Conceptualization, N.A. and Y.Z.; Methodology, Y.Z.; Software, N.A.; Validation, N.A.; Formal analysis, Y.Z.; Investigation, E.Y.K.N.; Resources, E.Y.K.N.; Data curation, E.Y.K.N.; Writing—original draft, N.A.; Writing—review & editing, E.Y.K.N.; Visualization, Y.Z.; Supervision, E.Y.K.N.; Project administration, Y.Z.; Funding acquisition, Y.Z. All authors have read and agreed to the published version of the manuscript.
Funding
This research was supported by two key projects: 1. CMM-SAND: Combined Multiscale/Multiphysics Experimental and Numerical Study of Sand Production Mechanisms in Oil Reservoirs (11022021CRP1506). 2. The Ministry of Science and Higher Education of the Republic of Kazakhstan under the project “Integrating Physics-Informed Neural Network, Bayesian and Convolutional Neural Networks for early breast cancer detection using thermography” (AP19678197).
Data Availability Statement
The raw data supporting the conclusions of this article will be made available by the authors on request.
Acknowledgments
The authors would like to acknowledge the assistance and supply of the CT209, CHN13 and CHN03 models by Zhong Liang of NHCS as reported in [54].
Conflicts of Interest
The authors declare no conflict of interest.
References
- Cardiovascular Diseases (CVDs). Available online: https://www.who.int/news-room/fact-sheets/detail/cardiovascular-diseases-(cvds)?gad_source=1&gclid=CjwKCAjwoPOwBhAeEiwAJuXRhzC91fkkvSSroIMgBuzBt7BWvhkjLNgYIlo8OzlpUYmBvC5hrIDODhoC4roQAvD_BwE (accessed on 15 April 2024).
- Thygesen, K.; Alpert, J.S.; White, H.D.; on behalf of the Joint ESC/ACCF/AHA/WHF Task Force for the Redefinition of Myocardial Infarction. Universal definition of myocardial infarction. Circulation 2007, 116, 2634–2653. [Google Scholar] [CrossRef] [PubMed]
- Li, X.; Liu, X.; Deng, X.; Fan, Y. Interplay between artificial intelligence and biomechanics modeling in the cardiovascular disease prediction. Biomedicines 2022, 10, 2157. [Google Scholar] [CrossRef] [PubMed]
- Zhang, X.; Mao, B.; Che, Y.; Kang, J.; Luo, M.; Qiao, A.; Liu, Y.; Anzai, H.; Ohta, M.; Guo, Y.; et al. Physics-informed neural networks (PINNs) for 4D hemodynamics prediction: An investigation of optimal framework based on vascular morphology. Comput. Biol. Med. 2023, 164, 107287. [Google Scholar] [CrossRef]
- Arzani, A.; Wang, J.-X.; Sacks, M.S.; Shadden, S.C. Machine Learning for Cardiovascular Biomechanics Modeling: Challenges and Beyond. Ann. Biomed. Eng. 2022, 50, 615–627. [Google Scholar] [CrossRef]
- Moradi, H.; Al-Hourani, A.; Concilia, G.; Khoshmanesh, F.; Nezami, F.R.; Needham, S.; Baratchi, S.; Khoshmanesh, K. Recent developments in modeling, imaging, and monitoring of cardiovascular diseases using machine learning. Biophys. Rev. 2023, 15, 19–33. [Google Scholar] [CrossRef]
- Farajtabar, M.; Larimi, M.M.; Biglarian, M.; Sabour, D.; Miansari, M. Machine Learning Identification Framework of Hemodynamics of Blood Flow in Patient-Specific Coronary Arteries with Abnormality. J. Cardiovasc. Transl. Res. 2023, 16, 722–737. [Google Scholar] [CrossRef]
- Taebi, A. Deep learning for computational hemodynamics: A brief review of recent advances. Fluids 2022, 7, 197. [Google Scholar] [CrossRef]
- Sarabian, M.; Babaee, H.; Laksari, K. Physics-Informed Neural Networks for Brain Hemodynamic Predictions Using Medical Imaging. IEEE Trans. Med. Imaging 2022, 41, 2285–2303. [Google Scholar] [CrossRef]
- Lee, S.H.; Kang, S.; Hur, N.; Jeong, S.-K. A fluid-structure interaction analysis on hemodynamics in carotid artery based on patient-specific clinical data. J. Mech. Sci. Technol. 2012, 26, 3821–3831. [Google Scholar] [CrossRef]
- Pillai, G.M.; Jayakumar, J.S.; Kumar, R.A. Fluid–Structure Interaction Analysis in an Atherosclerosis Carotid Artery. In Advances in Thermofluids and Renewable Energy; Springer: Singapore, 2022; pp. 23–35. [Google Scholar]
- Ma, D. Quantitative Hemodynamics Using Magnetic Resonance Imaging, Computational Fluid Dynamics and Physics-informed Neural Network. Ph.D. Thesis, University Goettingen Repository, Göttingen, Germany, 2023. [Google Scholar]
- Alzhanov, N.; Ng, E.Y.K.; Zhao, Y. Three-Dimensional Physics-Informed Neural Network Simulation in Coronary Artery Trees. Fluids 2024, 9, 153. [Google Scholar] [CrossRef]
- Birken, P.; Linders, V. Conservation properties of iterative methods for implicit discretizations of conservation laws. J. Sci. Comput. 2022, 92, 60. [Google Scholar] [CrossRef]
- Ta, H.T.; Truong, N.P.; Whittaker, A.K.; Davis, T.P.; Peter, K. The effects of particle size, shape, density and flow characteristics on particle margination to vascular walls in cardiovascular diseases. Expert Opin. Drug Deliv. 2018, 15, 33–45. [Google Scholar] [CrossRef] [PubMed]
- Reymond, P.; Bohraus, Y.; Perren, F.; Lazeyras, F.; Stergiopulos, N. Validation of a patient-specific one-dimensional model of the systemic arterial tree. Am. J. Physiol. Circ. Physiol. 2011, 301, H1173–H1182. [Google Scholar] [CrossRef] [PubMed]
- Reymond, P.; Merenda, F.; Perren, F.; Rüfenacht, D.; Stergiopulos, N. Validation of a one-dimensional model of the systemic arterial tree. Am. J. Physiol. Circ. Physiol. 2009, 297, H208–H222. [Google Scholar] [CrossRef] [PubMed]
- Sherwin, S.J.; Franke, V.; Peiró, J.; Parker, K. One-dimensional modelling of a vascular network in space-time variables. J. Eng. Math. 2003, 47, 217–250. [Google Scholar] [CrossRef]
- Sherwin, S.J.; Formaggia, L.; Peiró, J.; Franke, V. Computational modelling of 1D blood flow with variable mechanical properties and its application to the simulation of wave propagation in the human arterial system. Int. J. Numer. Methods Fluids 2003, 43, 673–700. [Google Scholar] [CrossRef]
- Formaggia, L.; Quarteroni, A.M.; Veneziani, A. (Eds.) Cardiovascular Mathematics, 2009th ed.; Springer: Milan, Italy, 2009. [Google Scholar]
- Matthys, K.S.; Alastruey, J.; Peiró, J.; Khir, A.W.; Segers, P.; Verdonck, P.R.; Parker, K.H.; Sherwin, S.J. Pulse wave propagation in a model human arterial network: Assessment of 1-D numerical simulations against in vitro measurements. J. Biomech. 2007, 40, 3476–3486. [Google Scholar] [CrossRef]
- Olufsen, M.S. Structured tree outflow condition for blood flow in larger systemic arteries. Am. J. Physiol. Circ. Physiol. 1999, 276, H257–H268. [Google Scholar] [CrossRef]
- Jung, J.; Lyczkowski, R.W.; Panchal, C.B.; Hassanein, A. Multiphase hemodynamic simulation of pulsatile flow in a coronary artery. J. Biomech. 2006, 39, 2064–2073. [Google Scholar] [CrossRef]
- Cho, Y.I.; Kensey, K.R. Effects of the non-Newtonian viscosity of blood on flows in a diseased arterial vessel. Part 1: Steady flows. Biorheology 1991, 28, 241–262. [Google Scholar] [CrossRef]
- Morris, P.D.; Narracott, A.; von Tengg-Kobligk, H.; Soto, D.A.S.; Hsiao, S.; Lungu, A.; Evans, P.; Bressloff, N.W.; Lawford, P.V.; Hose, D.R. Computational fluid dynamics modelling in cardiovascular medicine. Heart 2016, 102, 18–28. [Google Scholar] [CrossRef] [PubMed]
- Tang, D.; Yang, C.; Kobayashi, S.; Ku, D.N. Effect of a lipid pool on stress/strain distributions in stenotic arteries: 3-D fluid-structure interactions (FSI) models. J. Biomech. Eng. 2004, 126, 363–370. [Google Scholar] [CrossRef] [PubMed]
- Tang, D.; Yang, C.; Zheng, J.; Woodard, P.K.; Sicard, G.A.; Saffitz, J.E.; Yuan, C. 3D MRI-based multicomponent FSI models for atherosclerotic plaques. Ann. Biomed. Eng. 2004, 32, 947–960. [Google Scholar] [CrossRef] [PubMed]
- Huo, Y.; Kassab, G.S. Pulsatile blood flow in the entire coronary arterial tree: Theory and experiment. Am. J. Physiol. Circ. Physiol. 2006, 291, H1074–H1087. [Google Scholar] [CrossRef]
- Malvè, M.; García, A.; Ohayon, J.; Martínez, M.A. Unsteady blood flow and mass transfer of a human left coronary artery bifurcation: FSI vs. CFD. Int. Commun. Heat Mass Transf. 2012, 39, 745–751. [Google Scholar] [CrossRef]
- Rikhtegar, F.; Pacheco, F.; Wyss, C.; Stok, K.S.; Ge, H.; Choo, R.J.; Ferrari, A.; Poulikakos, D.; Müller, R.; Kurtcuoglu, V. Compound ex vivo and in silico method for hemodynamic analysis of stented arteries. PLoS ONE 2013, 8, e58147. [Google Scholar] [CrossRef]
- Siogkas, P.K.; Papafaklis, M.I.; Sakellarios, A.I.; Stefanou, K.A.; Bourantas, C.V.; Athanasiou, L.S.; Exarchos, T.P.; Naka, K.K.; Michalis, L.K.; Parodi, O.; et al. Patient-Specific Simulation of Coronary Artery Pressure Measurements: An In Vivo Three-Dimensional Validation Study in Humans. BioMed Res. Int. 2015, 2015, 628416. [Google Scholar] [CrossRef]
- Blanco, P.J.; Bulant, C.A.; Müller, L.O.; Talou, G.D.M.; Bezerra, C.G.; Lemos, P.A.; Feijóo, R.A. Comparison of 1D and 3D models for the estimation of fractional flow reserve. Sci. Rep. 2018, 8, 17275. [Google Scholar] [CrossRef]
- Lo, E.; Menezes, L.; Torii, R. Impact of inflow boundary conditions on the calculation of CT-based FFR. Fluids 2019, 4, 60. [Google Scholar] [CrossRef]
- Wang, L.; Tang, D.; Maehara, A.; Wu, Z.; Yang, C.; Muccigrosso, D.; Matsumura, M.; Zheng, J.; Bach, R.; Billiar, K.L. Using intravascular ultrasound image-based fluid-structure interaction models and machine learning methods to predict human coronary plaque vulnerability change. Comput. Methods Biomech. Biomed. Engin. 2020, 23, 1267–1276. [Google Scholar] [CrossRef]
- Wang, Q.; Tang, D.; Wang, L.; Meahara, A.; Molony, D.; Samady, H.; Zheng, J.; Mintz, G.S.; Stone, G.W.; Giddens, D.P. Multi-patient study for coronary vulnerable plaque model comparisons: 2D/3D and fluid–structure interaction simulations. Biomech. Model. Mechanobiol. 2021, 20, 1383–1397. [Google Scholar] [CrossRef] [PubMed]
- Raissi, M.; Perdikaris, P.; Karniadakis, G.E. Physics Informed Deep Learning (Part I): Data-driven Solutions of Nonlinear Partial Differential Equations. arXiv 2017, arXiv:1711.10561. [Google Scholar]
- Raissi, M.; Perdikaris, P.; Karniadakis, G.E. Physics Informed Deep Learning (Part II): Data-driven Discovery of Nonlinear Partial Differential Equations. arXiv 2017, arXiv:1711.10566. [Google Scholar]
- Tartakovsky, A.M.; Marrero, C.O.; Perdikaris, P.; Tartakovsky, G.D.; Barajas-Solano, D. Learning Parameters and Constitutive Relationships with Physics Informed Deep Neural Networks. arXiv 2018, arXiv:1808.03398. [Google Scholar]
- Xiao, N.; Alastruey, J.; Alberto Figueroa, C. A systematic comparison between 1-D and 3-D hemodynamics in compliant arterial models. Int. J. Numer. Method. Biomed. Eng. 2014, 30, 204–231. [Google Scholar] [CrossRef]
- Kissas, G.; Yang, Y.; Hwuang, E.; Witschey, W.R.; Detre, J.A.; Perdikaris, P. Machine learning in cardiovascular flows modeling: Predicting arterial blood pressure from non-invasive 4D flow MRI data using physics-informed neural networks. Comput. Methods Appl. Mech. Eng. 2020, 358, 112623. [Google Scholar] [CrossRef]
- Glorot, X.; Bengio, Y. Understanding the difficulty of training deep feedforward neural networks. In Proceedings of the Thirteenth International Conference on Artificial Intelligence and Statistics, Sardinia, Italy, 13–15 May 2010; Volume 9, pp. 249–256. [Google Scholar]
- Alzhanov, N.; Ng, E.Y.K.; Su, X.; Zhao, Y. CFD computation of flow fractional reserve (FFR) in coronary artery trees using a novel physiologically based algorithm (PBA) under 3D steady and pulsatile flow conditions. Bioengineering 2023, 10, 309. [Google Scholar] [CrossRef]
- Łukaszewicz, G.; Kalita, P. Navier–Stokes Equations; Advances in Mechanics and Mathematics; Springer: Berlin/Heidelberg, Germany, 2016; Volume 34. [Google Scholar]
- Bistafa, S.R. On the development of the Navier-Stokes equation by Navier. Rev. Bras. Ensino Física 2018, 40, e2603. [Google Scholar] [CrossRef]
- Hron, J.; Turek, S. A Monolithic FEM/Multigrid Solver for an ALE Formulation of Fluid-Structure Interaction with Applications in Biomechanics. In Fluid-Structure Interaction; Springer: Berlin/Heidelberg, Germany, 2006; pp. 146–170. [Google Scholar]
- Rugonyi, S.; Bathe, K.J. On Finite Element Analysis of Fluid Flows Fully Coupled with Structural Interactions. Comput. Model. Eng. Sci. 2001, 2, 195–212. [Google Scholar] [CrossRef]
- Seo, T. Hemodynamic characteristics in the human carotid artery model induced by blood-arterial wall interactions. Int. J. Biomed. Biol. Eng. 2013, 7, 215–220. [Google Scholar]
- Athani, A.; Ghazali, N.N.N.; Badruddin, I.A.; Usmani, A.Y.; Kamangar, S.; Anqi, A.E.; Ahammad, N.A. Two-phase non-Newtonian pulsatile blood flow simulations in a rigid and flexible patient-specific left coronary artery (LCA) exhibiting multi-stenosis. Appl. Sci. 2021, 11, 11361. [Google Scholar] [CrossRef]
- Gao, Z.; Desai, J.P. Estimating zero-strain states of very soft tissue under gravity loading using digital image correlation. Med. Image Anal. 2010, 14, 126–137. [Google Scholar] [CrossRef] [PubMed]
- Auricchio, F.; Conti, M.; De Beule, M.; De Santis, G.; Verhegghe, B. Carotid artery stenting simulation: From patient-specific images to finite element analysis. Med. Eng. Phys. 2011, 33, 281–289. [Google Scholar] [CrossRef] [PubMed]
- Bustamante, R.; Holzapfel, G.A. Methods to compute 3D residual stress distributions in hyperelastic tubes with application to arterial walls. Int. J. Eng. Sci. 2010, 48, 1066–1082. [Google Scholar] [CrossRef]
- Holzapfel, G.A. Determination of material models for arterial walls from uniaxial extension tests and histological structure. J. Theor. Biol. 2006, 238, 290–302. [Google Scholar] [CrossRef]
- Kim, H.J.; Vignon-Clementel, I.E.; Coogan, J.S.; Figueroa, C.A.; Jansen, K.E.; Taylor, C.A. Patient-specific modeling of blood flow and pressure in human coronary arteries. Ann. Biomed. Eng. 2010, 38, 3195–3209. [Google Scholar] [CrossRef]
- Zhang, J.-M.; Zhong, L.; Luo, T.; Lomarda, A.M.; Huo, Y.; Yap, J.; Lim, S.T.; Tan, R.S.; Wong, A.S.L.; Tan, J.W.C.; et al. Simplified models of non-invasive fractional flow reserve based on CT images. PLoS ONE 2016, 11, e0153070. [Google Scholar] [CrossRef]
Disclaimer/Publisher’s Note: The statements, opinions and data contained in all publications are solely those of the individual author(s) and contributor(s) and not of MDPI and/or the editor(s). MDPI and/or the editor(s) disclaim responsibility for any injury to people or property resulting from any ideas, methods, instructions or products referred to in the content. |
© 2024 by the authors. Licensee MDPI, Basel, Switzerland. This article is an open access article distributed under the terms and conditions of the Creative Commons Attribution (CC BY) license (https://creativecommons.org/licenses/by/4.0/).


















