Influence of Self-Heating on Landfill Leachate Migration
Abstract
1. Introduction
2. Characteristics of the Solid Municipal Waste Landfill Under Consideration
3. Mathematical Model of Leachate Propagation
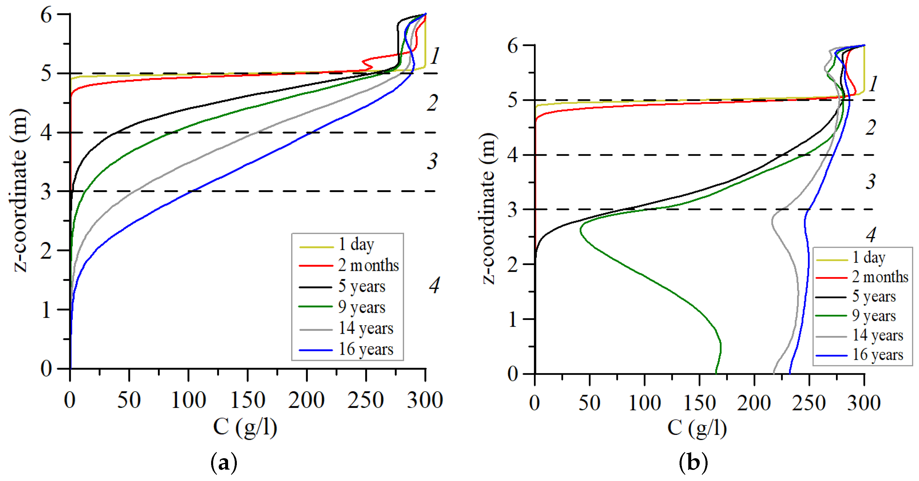
4. Results of Numerical Simulations
4.1. Isothermal Case
4.2. The Influence of Heat Emission in the Body of the Polygon
5. Discussion
6. Conclusions
Author Contributions
Funding
Informed Consent Statement
Data Availability Statement
Conflicts of Interest
Abbreviations
| MSW | Municipal Solid Waste |
| HELP | Hydrologic Evaluation of Landfill Performance |
References
- Denafas, G.; Ruzgas, T.; Martuzevičius, D.; Shmarin, S.; Hoffmann, M.; Mykhaylenko, V.; Ogorodnik, S.; Romanov, M.; Neguliaeva, E.; Chusov, A.; et al. Seasonal variation of municipal solid waste generation and composition in four East European cities. Resour. Conserv. Recycl. 2014, 89, 22–30. [Google Scholar] [CrossRef]
- Sharholy, M.; Ahmad, K.; Mahmood, G.; Trivedi, R. Municipal solid waste management in Indian cities—A review. Waste Manag. 2008, 28, 459–467. [Google Scholar] [CrossRef] [PubMed]
- Salem, Z.; Hamouri, K.; Djemaa, R.; Allia, K. Evaluation of landfill leachate pollution and treatment. Desalination 2008, 220, 108–114. [Google Scholar] [CrossRef]
- Zhang, T.; Shi, J.; Qian, X.; Ai, Y. Temperature and Gas Pressure Monitoring and Leachate Pumping Tests in a Newly Filled MSW Layer of a Landfill. Int. J. Environ. Res. 2019, 13, 1–19. [Google Scholar] [CrossRef]
- Aziz, M.; Bashir, H.; Aziz, A.; Mojiri, S.; Amr, A.; Maulood, Y. Statistical Analysis of Municipal Solid Waste Landfill Leachate Characteristics in Different Countries. Zanco J. Pure Appl. Sci. 2018, 30, 85–96. [Google Scholar] [CrossRef]
- Al-Wabel, M.; Al Yehya, W.; AL-Farraj, A.; El-Maghraby, S. Characteristics of landfill leachates and bio-solids of municipal solid waste (MSW) in Riyadh City, Saudi Arabia. J. Saudi Soc. Agric. Sci. 2011, 10, 65–70. [Google Scholar] [CrossRef]
- Chen, R.; Ge, Y.; Chen, Z.; Liu, J.; Zhao, Y.; Li, Z. Analytical solution for one-dimensional contaminant diffusion through unsaturated soils beneath geomembrane. J. Hydrol. 2019, 568, 260–274. [Google Scholar] [CrossRef]
- Shu, S.; Zhu, W.; Wang, S.; Ng, C.W.W.; Chen, Y.; Chiu, A.C.F. Leachate breakthrough mechanism and key pollutant indicator of municipal solid waste landfill barrier systems: Centrifuge and numerical modeling approach. Sci. Total Environ. 2018, 612, 1123–1131. [Google Scholar] [CrossRef]
- Shu, S.; Zhu, W.; Fan, X.; Wu, S.; Li, Y.; Ng, C.W.W. Effect of competitive adsorption on the transport of multiple pollutants through a compacted clay liner. Waste Manag. Res. J. A Sustain. Circ. Econ. 2021, 39, 368–373. [Google Scholar] [CrossRef]
- El-Fadel, M.; Findikakis, A.N.; Leckie, J.O. Modeling Leachate Generation and Transport in Solid Waste Landfills. Environ. Technol. 1997, 18, 669–686. [Google Scholar] [CrossRef]
- Zacharof, A.; Butler, A. Stochastic modelling of landfill leachate and biogas production incorporating waste heterogeneity. Model formulation and uncertainty analysis. Waste Manag. 2004, 24, 453–462. [Google Scholar] [CrossRef] [PubMed]
- Schroeder, P.R. The Hydrologic Evaluation of Landfill Performance (HELP) Model: Engineering Documentation for Version 3; Risk Reduction Engineering Laboratory, Environmental Protection Agency: Cincinnati, OH, USA, 1994.
- Farquhar, G.J. Leachate: Production and characterization. Can. J. Civ. Eng. 1989, 16, 317–325. [Google Scholar] [CrossRef]
- Podlasek, A. Modeling leachate generation: Practical scenarios for municipal solid waste landfills in Poland. Environ. Sci. Pollut. Res. 2022, 30, 13256–13269. [Google Scholar] [CrossRef] [PubMed]
- Slack, R.J.; Gronow, J.R.; Hall, D.H.; Voulvoulis, N. Household hazardous waste disposal to landfill: Using LandSim to model leachate migration. Environ. Pollut. 2007, 146, 501–509. [Google Scholar] [CrossRef]
- Mishra, H.; Karmakar, S.; Kumar, R.; Kadambala, P. A long-term comparative assessment of human health risk to leachate-contaminated groundwater from heavy metal with different liner systems. Environ. Sci. Pollut. Res. 2018, 25, 2911–2923. [Google Scholar] [CrossRef]
- Berger, K.U. On the current state of the Hydrologic Evaluation of Landfill Performance (HELP) model. Waste Manag. 2015, 38, 201–209. [Google Scholar] [CrossRef]
- Garciadecortazar, A.; Monzon, I. MODUELO 2: A new version of an integrated simulation model for municipal solid waste landfills. Environ. Model. Softw. 2007, 22, 59–72. [Google Scholar] [CrossRef]
- Pantini, S.; Verginelli, I.; Lombardi, F. A new screening model for leachate production assessment at landfill sites. Int. J. Environ. Sci. Technol. 2014, 11, 1503–1516. [Google Scholar] [CrossRef]
- Grugnaletti, M.; Pantini, S.; Verginelli, I.; Lombardi, F. An easy-to-use tool for the evaluation of leachate production at landfill sites. Waste Manag. 2016, 55, 204–219. [Google Scholar] [CrossRef]
- Yang, N.; Damgaard, A.; Kjeldsen, P.; Shao, L.M.; He, P.J. Quantification of regional leachate variance from municipal solid waste landfills in China. Waste Manag. 2015, 46, 362–372. [Google Scholar] [CrossRef]
- He, H.J.; Hu, J. Leachate drainage volume of municipal solid waste landfills: Field testing and hydro-mechanical modeling. Environ. Sci. Pollut. Res. 2022, 29, 64680–64691. [Google Scholar] [CrossRef] [PubMed]
- Du, Y.J.; Hayashi, S.; Liu, S.Y. Experimental study of migration of potassium ion through a two-layer soil system. Environ. Geol. 2005, 48, 1096–1106. [Google Scholar] [CrossRef]
- Zhan, T.; Guan, C.; Xie, H.; Chen, Y. Vertical migration of leachate pollutants in clayey soils beneath an uncontrolled landfill at Huainan, China: A field and theoretical investigation. Sci. Total Environ. 2014, 470–471, 290–298. [Google Scholar] [CrossRef] [PubMed]
- Richards, R.; Mullins, B. Using microalgae for combined lipid production and heavy metal removal from leachate. Ecol. Model. 2013, 249, 59–67. [Google Scholar] [CrossRef]
- Torretta, V.; Ferronato, N.; Katsoyiannis, I.; Tolkou, A.; Airoldi, M. Novel and Conventional Technologies for Landfill Leachates Treatment: A Review. Sustainability 2016, 9, 9. [Google Scholar] [CrossRef]
- Mohammed, A.; Babatunde, A. Modelling heavy metals transformation in vertical flow constructed wetlands. Ecol. Model. 2017, 354, 62–71. [Google Scholar] [CrossRef]
- Mor, S.; Ravindra, K.; Dahiya, R.P.; Chandra, A. Leachate Characterization and Assessment of Groundwater Pollution Near Municipal Solid Waste Landfill Site. Environ. Monit. Assess. 2006, 118, 435–456. [Google Scholar] [CrossRef]
- Abiriga, D.; Vestgarden, L.S.; Klempe, H. Groundwater contamination from a municipal landfill: Effect of age, landfill closure, and season on groundwater chemistry. Sci. Total Environ. 2020, 737, 140307. [Google Scholar] [CrossRef]
- Parvin, F.; Tareq, S.M. Impact of landfill leachate contamination on surface and groundwater of Bangladesh: A systematic review and possible public health risks assessment. Appl. Water Sci. 2021, 11, 100. [Google Scholar] [CrossRef]
- Papadopoulou, M.P.; Karatzas, G.P.; Bougioukou, G.G. Numerical modelling of the environmental impact of landfill leachate leakage on groundwater quality—A field application. Environ. Model. Assess. 2007, 12, 43–54. [Google Scholar] [CrossRef]
- Wu, L.; Zhan, L.; Lan, J.; Chen, Y.; Zhang, S.; Li, J.; Liao, G. Leachate migration investigation at an unlined landfill located in granite region using borehole groundwater TDS profiles. Eng. Geol. 2021, 292, 106259. [Google Scholar] [CrossRef]
- Divya, A.; Shrihari, S.; Ramesh, H. Predictive simulation of leachate transport in a coastal lateritic aquifer when remediated with reactive barrier of nano iron. Groundw. Sustain. Dev. 2020, 11, 100382. [Google Scholar] [CrossRef]
- Tansel, B. Thermal properties of municipal solid waste components and their relative significance for heat retention, conduction, and thermal diffusion in landfills. J. Environ. Manag. 2023, 325, 116651. [Google Scholar] [CrossRef] [PubMed]
- Haarstrick, A.; Hempel, D.C.; Ostermann, L.; Ahrens, H.; Dinkler, D. Modelling of the biodegradation of organic matter in municipal landfills. Waste Manag. Res. J. A Sustain. Circ. Econ. 2001, 19, 320–331. [Google Scholar] [CrossRef] [PubMed]
- Hao, Z.; Sun, M.; Ducoste, J.J.; Benson, C.H.; Luettich, S.; Castaldi, M.J.; Barlaz, M.A. Heat Generation and Accumulation in Municipal Solid Waste Landfills. Environ. Sci. Technol. 2017, 51, 12434–12442. [Google Scholar] [CrossRef]
- Martin, J.W.; Stark, T.D.; Thalhamer, T.; Gerbasi-Graf, G.T.; Gortner, R.E. Detection of Aluminum Waste Reactions and Waste Fires. J. Hazard. Toxic Radioact. Waste 2013, 17, 164–174. [Google Scholar] [CrossRef]
- Stark, T.D.; Martin, J.W.; Gerbasi, G.T.; Thalhamer, T.; Gortner, R.E. Aluminum Waste Reaction Indicators in a Municipal Solid Waste Landfill. J. Geotech. Geoenviron. Eng. 2012, 138, 252–261. [Google Scholar] [CrossRef]
- Hao, Z.; Barlaz, M.A.; Ducoste, J.J. Finite-Element Modeling of Landfills to Estimate Heat Generation, Transport, and Accumulation. J. Geotech. Geoenviron. Eng. 2020, 146, 4020134. [Google Scholar] [CrossRef]
- Wang, H.; Chen, R.; Leung, A.K.; Huang, J. Temperature effects on the hydraulic properties of unsaturated rooted soils. Can. Geotech. J. 2023, 60, 936–945. [Google Scholar] [CrossRef]
- Yeşiller, N.; Hanson, J.L.; Liu, W.L. Heat Generation in Municipal Solid Waste Landfills. J. Geotech. Geoenviron. Eng. 2005, 131, 1330–1344. [Google Scholar] [CrossRef]
- Hanson, J.L.; Yeşiller, N.; Onnen, M.T.; Liu, W.L.; Oettle, N.K.; Marinos, J.A. Development of numerical model for predicting heat generation and temperatures in MSW landfills. Waste Manag. 2013, 33, 1993–2000. [Google Scholar] [CrossRef] [PubMed]
- Hanson, J.L.; Yeşiller, N.; Oettle, N.K. Spatial and Temporal Temperature Distributions in Municipal Solid Waste Landfills. J. Environ. Eng. 2010, 136, 804–814. [Google Scholar] [CrossRef]
- Parshakova, Y.N.; Viskov, M.V.; Kataev, R.I.; Kartavykh, N.N. Numerical simulation of filtration water migration from a solid municipal waste dispossal site through ground protective structures. Comput. Contin. Mech. 2024, 17, 151–159. [Google Scholar] [CrossRef]
- Zubova, N.; Ivantsov, A. Modeling of Leachate Propagation in a Municipal Solid Waste Landfill Foundation. Fluid Dyn. Mater. Process. 2024, 20, 1407–1424. [Google Scholar] [CrossRef]
- Seeton, C.J. Viscosity–temperature correlation for liquids. Tribol. Lett. 2006, 22, 67–78. [Google Scholar] [CrossRef]
- Broecker, T.; Sobhi Gollo, V.; Fox, A.; Lewandowski, J.; Nützmann, G.; Arnon, S.; Hinkelmann, R. High-Resolution Integrated Transport Model for Studying Surface Water–Groundwater Interaction. Groundwater 2021, 59, 488–502. [Google Scholar] [CrossRef]
- Wooding, R.A.; Tyler, S.W.; White, I. Convection in groundwater below an evaporating Salt Lake: 1. Onset of instability. Water Resour. Res. 1997, 33, 1199–1217. [Google Scholar] [CrossRef]
- Ennis-King, J.; Paterson, L. Role of Convective Mixing in the Long-Term Storage of Carbon Dioxide in Deep Saline Formations. SPE J. 2005, 10, 349–356. [Google Scholar] [CrossRef]
- Ennis-King, J.; Paterson, L. Coupling of geochemical reactions and convective mixing in the long-term geological storage of carbon dioxide. Int. J. Greenh. Gas Control 2007, 1, 86–93. [Google Scholar] [CrossRef]
- Rees, D.A.S.; Bassom, A.P. The nonlinear non-parallel wave instability of boundary-layer flow induced by a horizontal heated surface in porous media. J. Fluid Mech. 1993, 253, 267. [Google Scholar] [CrossRef]















| Medium | Schematic Representation in Figure 2 | Filtration Coefficient, , m/day | Porosity | Permeability Coefficient, K, |
|---|---|---|---|---|
| Waste | ![]() | 0.6 | 0.4 | |
| Clay loam | ![]() | 0.0065 | 0.702 | |
| Siltstone | ![]() | 0.481 | 0.481 | |
| Mudstone | ![]() | 0.542 | 0.542 |
| Boundary | Flow Conditions | Concentration Conditions | Thermal |
|---|---|---|---|
| Domain top (landfill body) | Zero shear stresses | (300 g/L) | (from 30 °C to 70 °C) |
| Domain bottom (groundwater) | Zero shear stresses | Zero flux | (10 °C) |
| Side boundaries | Zero normal stress | Zero flux | Zero flux |
| Interlayer boundaries | Equality of | Mass balance | Equality of T |
| Parameter | Value |
|---|---|
| Thermal conductivity coefficient (), W/(mK) | 0.56 |
| Specific heat capacity (), J/(kg K) | 4180 |
| Thermal expansion coefficient (), 1/K | |
| Concentration expansion coefficient () | 0.96 |
| Molecular diffusion coefficient (D), /s |
| Medium | Thermal Conductivity Coefficient, , W/(mK) | Specific Heat Capacity, , J/(kg K) | Density, , |
|---|---|---|---|
| Waste | 1.06 | 1180 | |
| Clay loam | 1.36 | 1973 | |
| Siltstone | 2.1 | 894 | |
| Mudstone | 1.69 | 756 |
Disclaimer/Publisher’s Note: The statements, opinions and data contained in all publications are solely those of the individual author(s) and contributor(s) and not of MDPI and/or the editor(s). MDPI and/or the editor(s) disclaim responsibility for any injury to people or property resulting from any ideas, methods, instructions or products referred to in the content. |
© 2024 by the authors. Licensee MDPI, Basel, Switzerland. This article is an open access article distributed under the terms and conditions of the Creative Commons Attribution (CC BY) license (https://creativecommons.org/licenses/by/4.0/).
Share and Cite
Parshakova, Y.; Kataev, R.; Kartavykh, N.; Viskov, M.; Ivantsov, A. Influence of Self-Heating on Landfill Leachate Migration. Fluids 2024, 9, 263. https://doi.org/10.3390/fluids9110263
Parshakova Y, Kataev R, Kartavykh N, Viskov M, Ivantsov A. Influence of Self-Heating on Landfill Leachate Migration. Fluids. 2024; 9(11):263. https://doi.org/10.3390/fluids9110263
Chicago/Turabian StyleParshakova, Yanina, Ruslan Kataev, Natalya Kartavykh, Mikhail Viskov, and Andrey Ivantsov. 2024. "Influence of Self-Heating on Landfill Leachate Migration" Fluids 9, no. 11: 263. https://doi.org/10.3390/fluids9110263
APA StyleParshakova, Y., Kataev, R., Kartavykh, N., Viskov, M., & Ivantsov, A. (2024). Influence of Self-Heating on Landfill Leachate Migration. Fluids, 9(11), 263. https://doi.org/10.3390/fluids9110263





