Fourier Neural Operator Networks for Solving Reaction–Diffusion Equations
Abstract
1. Introduction
2. Reaction–Diffusion Equations
2.1. Surface Quasi-Geostrophic Equation
2.2. Gray–Scott Model
3. Numerical Methods
3.1. FNO
3.2. Fourier Pseudo-Spectral Method for Solving the SQG Equation
3.3. Differential Interpolation for Solving Gray–Scott Model
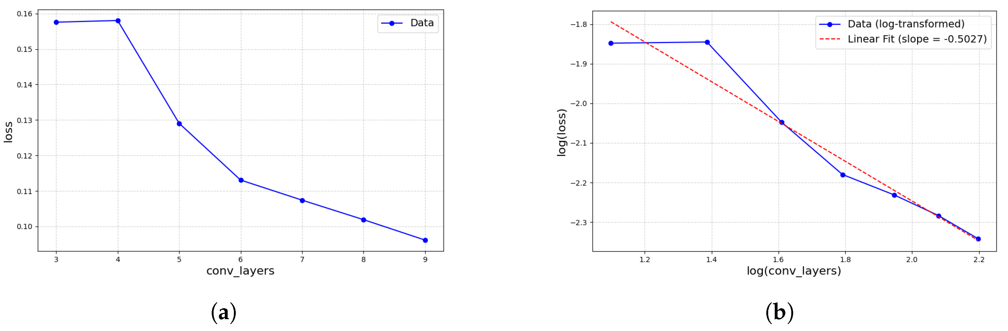
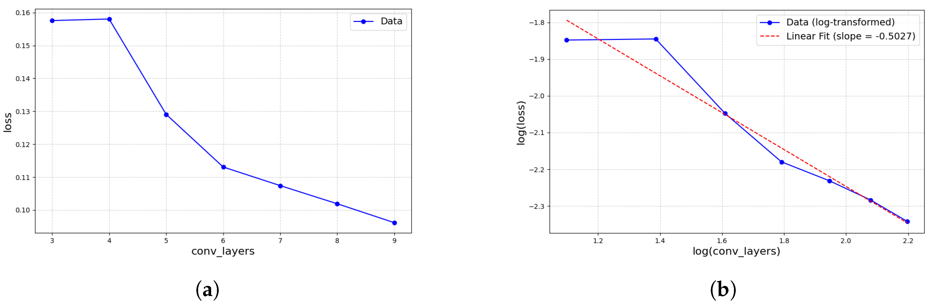
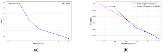
4. Numerical Results
4.1. Surface Quasi-Geostrophic Equation
4.2. Gray–Scott
5. Conclusions
Author Contributions
Funding
Data Availability Statement
Acknowledgments
Conflicts of Interest
Appendix A
Appendix A.1. More Results




References
- Li, Q.; Song, F. Splitting spectral element method for fractional reaction-diffusion equations. J. Algorithms Comput. Technol. 2020, 14, 1748302620966705. [Google Scholar] [CrossRef]
- Shi, S.; Song, F. Scalar auxiliary variable approache for the surface quasi-geostrophic equation. J. Algorithms Comput. Technol. 2023, 17, 17483026231176203. [Google Scholar] [CrossRef]
- Brown, T.; Mann, B.; Ryder, N.; Subbiah, M.; Kaplan, J.D.; Dhariwal, P.; Neelakantan, A.; Shyam, P.; Sastry, G.; Askell, A.; et al. Language models are few-shot learners. Adv. Neural Inf. Process. Syst. 2020, 33, 1877–1901. [Google Scholar]
- Devlin, J.; Chang, M.W.; Lee, K.; Toutanova, K. Bert: Pre-training of deep bidirectional transformers for language understanding. arXiv 2018, arXiv:1810.04805. [Google Scholar]
- Krizhevsky, A.; Sutskever, I.; Hinton, G.E. Imagenet classification with deep convolutional neural networks. Adv. Neural Inf. Process. Syst. 2012, 25. [Google Scholar] [CrossRef]
- Simonyan, K.; Zisserman, A. Very deep convolutional networks for large-scale image recognition. arXiv 2014, arXiv:1409.1556. [Google Scholar]
- He, K.; Zhang, X.; Ren, S.; Sun, J. Deep residual learning for image recognition. In Proceedings of the IEEE Conference on Computer Vision and Pattern Recognition, Las Vegas, NV, USA, 27–30 June 2016; pp. 770–778. [Google Scholar]
- Fukami, K.; Fukagata, K.; Taira, K. Super-resolution reconstruction of turbulent flows with machine learning. J. Fluid Mech. 2019, 870, 106–120. [Google Scholar] [CrossRef]
- Long, Z.; Lu, Y.; Ma, X.; Dong, B. Pde-net: Learning pdes from data. In Proceedings of the International Conference on Machine Learning, Stockholm, Sweden, 10–15 July 2018; pp. 3208–3216. [Google Scholar]
- Zhu, Y.; Zabaras, N.; Koutsourelakis, P.S.; Perdikaris, P. Physics-constrained deep learning for high-dimensional surrogate modeling and uncertainty quantification without labeled data. J. Comput. Phys. 2019, 394, 56–81. [Google Scholar] [CrossRef]
- Gao, H.; Sun, L.; Wang, J.X. PhyGeoNet: Physics-informed geometry-adaptive convolutional neural networks for solving parameterized steady-state PDEs on irregular domain. J. Comput. Phys. 2021, 428, 110079. [Google Scholar] [CrossRef]
- Raissi, M.; Perdikaris, P.; Karniadakis, G.E. Physics-informed neural networks: A deep learning framework for solving forward and inverse problems involving nonlinear partial differential equations. J. Comput. Phys. 2019, 378, 686–707. [Google Scholar] [CrossRef]
- Raissi, M. Deep hidden physics models: Deep learning of nonlinear partial differential equations. J. Mach. Learn. Res. 2018, 19, 1–24. [Google Scholar]
- Karniadakis, G.E.; Kevrekidis, I.G.; Lu, L.; Perdikaris, P.; Wang, S.; Yang, L. Physics-informed machine learning. Nat. Rev. Phys. 2021, 3, 422–440. [Google Scholar] [CrossRef]
- Cai, S.; Mao, Z.; Wang, Z.; Yin, M.; Karniadakis, G.E. Physics-informed neural networks (PINNs) for fluid mechanics: A review. Acta Mech. Sin. 2021, 37, 1727–1738. [Google Scholar] [CrossRef]
- Rao, C.; Sun, H.; Liu, Y. Physics-informed deep learning for computational elastodynamics without labeled data. J. Eng. Mech. 2021, 147, 04021043. [Google Scholar] [CrossRef]
- Kissas, G.; Yang, Y.; Hwuang, E.; Witschey, W.R.; Detre, J.A.; Perdikaris, P. Machine learning in cardiovascular flows modeling: Predicting arterial blood pressure from non-invasive 4D flow MRI data using physics-informed neural networks. Comput. Methods Appl. Mech. Eng. 2020, 358, 112623. [Google Scholar] [CrossRef]
- Goswami, S.; Anitescu, C.; Chakraborty, S.; Rabczuk, T. Transfer learning enhanced physics informed neural network for phase-field modeling of fracture. Theor. Appl. Fract. Mech. 2020, 106, 102447. [Google Scholar] [CrossRef]
- Geneva, N.; Zabaras, N. Modeling the dynamics of PDE systems with physics-constrained deep auto-regressive networks. J. Comput. Phys. 2020, 403, 109056. [Google Scholar] [CrossRef]
- Meng, X.; Karniadakis, G.E. A composite neural network that learns from multi-fidelity data: Application to function approximation and inverse PDE problems. J. Comput. Phys. 2020, 401, 109020. [Google Scholar] [CrossRef]
- Lee, K.; Carlberg, K.T. Model reduction of dynamical systems on nonlinear manifolds using deep convolutional autoencoders. J. Comput. Phys. 2020, 404, 108973. [Google Scholar] [CrossRef]
- Jin, X.; Cai, S.; Li, H.; Karniadakis, G.E. NSFnets (Navier-Stokes flow nets): Physics-informed neural networks for the incompressible Navier-Stokes equations. J. Comput. Phys. 2021, 426, 109951. [Google Scholar] [CrossRef]
- Li, Z.; Kovachki, N.; Azizzadenesheli, K.; Liu, B.; Bhattacharya, K.; Stuart, A.; Anandkumar, A. Neural operator: Graph kernel network for partial differential equations. arXiv 2020, arXiv:2003.03485. [Google Scholar]
- Lu, L.; Jin, P.; Pang, G.; Zhang, Z.; Karniadakis, G.E. Learning nonlinear operators via DeepONet based on the universal approximation theorem of operators. Nat. Mach. Intell. 2021, 3, 218–229. [Google Scholar] [CrossRef]
- Li, Z.; Kovachki, N.; Azizzadenesheli, K.; Liu, B.; Bhattacharya, K.; Stuart, A.; Anandkumar, A. Fourier neural operator for parametric partial differential equations. arXiv 2020, arXiv:2010.08895. [Google Scholar]
- Morra, P.; Meneveau, C.; Zaki, T.A. ML for fast assimilation of wall-pressure measurements from hypersonic flow over a cone. Sci. Rep. 2024, 14, 12853. [Google Scholar] [CrossRef]
- Zhu, M.; Feng, S.; Lin, Y.; Lu, L. Fourier-DeepONet: Fourier-enhanced deep operator networks for full waveform inversion with improved accuracy, generalizability, and robustness. Comput. Methods Appl. Mech. Eng. 2023, 416, 116300. [Google Scholar] [CrossRef]
- Wen, G.; Li, Z.; Azizzadenesheli, K.; Anandkumar, A.; Benson, S.M. U-FNO—An enhanced Fourier neural operator-based deep-learning model for multiphase flow. Adv. Water Resour. 2022, 163, 104180. [Google Scholar] [CrossRef]
- Constantin, P.; Wu, J. Behavior of solutions of 2D quasi-geostrophic equations. SIAM J. Math. Anal. 1999, 30, 937–948. [Google Scholar] [CrossRef]
- Song, F.; Zhang, J.; Wang, J. Convergence analysis and error estimate of second-order implicit–explicit scheme for Gray-Scott model. Int. J. Comput. Math. 2021, 98, 2330–2340. [Google Scholar] [CrossRef]
- Abbaszadeh, M.; Dehghan, M. A reduced order finite difference method for solving space-fractional reaction-diffusion systems: The Gray-Scott model. Eur. Phys. J. Plus 2019, 134, 620. [Google Scholar] [CrossRef]
- Held, I.M.; Pierrehumbert, R.T.; Garner, S.T.; Swanson, K.L. Surface quasi-geostrophic dynamics. J. Fluid Mech. 1995, 282, 1–20. [Google Scholar] [CrossRef]
- Munafo, R.P. Stable localized moving patterns in the 2-D Gray-Scott model. arXiv 2014, arXiv:1501.01990. [Google Scholar]
- Kovachki, N.; Lanthaler, S.; Mishra, S. On universal approximation and error bounds for Fourier neural operators. J. Mach. Learn. Res. 2021, 22, 1–76. [Google Scholar]









| Config | Parameters | Time Per Epoch(s) | Train Loss | Test Loss |
|---|---|---|---|---|
| FNO-3 Conv | 695,657 | 27.01 | 0.157565 | 0.222477 |
| FNO-4 Conv | 926,517 | 28.03 | 0.158038 | 0.226834 |
| FNO-5 Conv | 1,157,377 | 28.12 | 0.129072 | 0.204844 |
| FNO-6 Conv | 1,388,237 | 31.33 | 0.113070 | 0.192028 |
Disclaimer/Publisher’s Note: The statements, opinions and data contained in all publications are solely those of the individual author(s) and contributor(s) and not of MDPI and/or the editor(s). MDPI and/or the editor(s) disclaim responsibility for any injury to people or property resulting from any ideas, methods, instructions or products referred to in the content. |
© 2024 by the authors. Licensee MDPI, Basel, Switzerland. This article is an open access article distributed under the terms and conditions of the Creative Commons Attribution (CC BY) license (https://creativecommons.org/licenses/by/4.0/).
Share and Cite
Hao, Y.; Song, F. Fourier Neural Operator Networks for Solving Reaction–Diffusion Equations. Fluids 2024, 9, 258. https://doi.org/10.3390/fluids9110258
Hao Y, Song F. Fourier Neural Operator Networks for Solving Reaction–Diffusion Equations. Fluids. 2024; 9(11):258. https://doi.org/10.3390/fluids9110258
Chicago/Turabian StyleHao, Yaobin, and Fangying Song. 2024. "Fourier Neural Operator Networks for Solving Reaction–Diffusion Equations" Fluids 9, no. 11: 258. https://doi.org/10.3390/fluids9110258
APA StyleHao, Y., & Song, F. (2024). Fourier Neural Operator Networks for Solving Reaction–Diffusion Equations. Fluids, 9(11), 258. https://doi.org/10.3390/fluids9110258

