Multi-Objective Numerical Analysis of Horizontal Rectilinear Earth–Air Heat Exchangers with Elliptical Cross Section Using Constructal Design and TOPSIS
Abstract
1. Introduction
2. Mathematical Modeling
- Create a matrix (xi,j)m×n with m alternatives (sets of geometries) and n objectives (performance indicators of the system), as illustrated in Figure 2.
- 2.
- Construct the normalized decision matrix (ri,j)m×n (Figure 3) transforming the performance indicators TP and PD into dimensionless attributes, as follows:
- 3.
- Construct the weighted normalized decision matrix (Vi,j)m×n (Figure 4) by assigning importance weights to each of the performance indicators evaluated, as follows:
- 4.
- Classification of benefit and non-benefit parameters: TP is the benefit parameter, which should be maximized, meaning higher values are preferable. On the other hand, PD within the duct is the non-benefit parameter, which should be minimized, meaning lower values are desirable.
- 5.
- Definition of the artificial positive ideal solution (V+) and negative ideal solution (V−): the artificial positive ideal solution (V+) represents the optimal condition of the system for both benefit and non-benefit criteria. In this study, it corresponds to the highest weighted normalized value of TP and the lowest weighted normalized value of PD. Conversely, the artificial negative ideal solution (V−) reflects the worst conditions for these criteria, meaning the lowest weighted normalized value of TP and the highest weighted normalized value of PD. The V+ and V− are respectively, defined as:
- 6.
- Calculation of the Euclidean distance for each alternative m (each evaluated EAHE geometry) relative to the V+ and V−: the distance between each alternative is measured using the dimensionless Euclidean distance, which represents the relative proximity of each weighted normalized value to the V+ (as illustrated in Figure 5a) and to the V− (as shown in Figure 5b). These distances are calculated using, respectively, the following equations:
- 7.
- Calculate the multi-objective performance indicator: the scores of the evaluated geometries are calculated based on the Euclidean distance that each geometry has from the positive and negative ideal solutions, as defined by:
3. Numerical Modeling
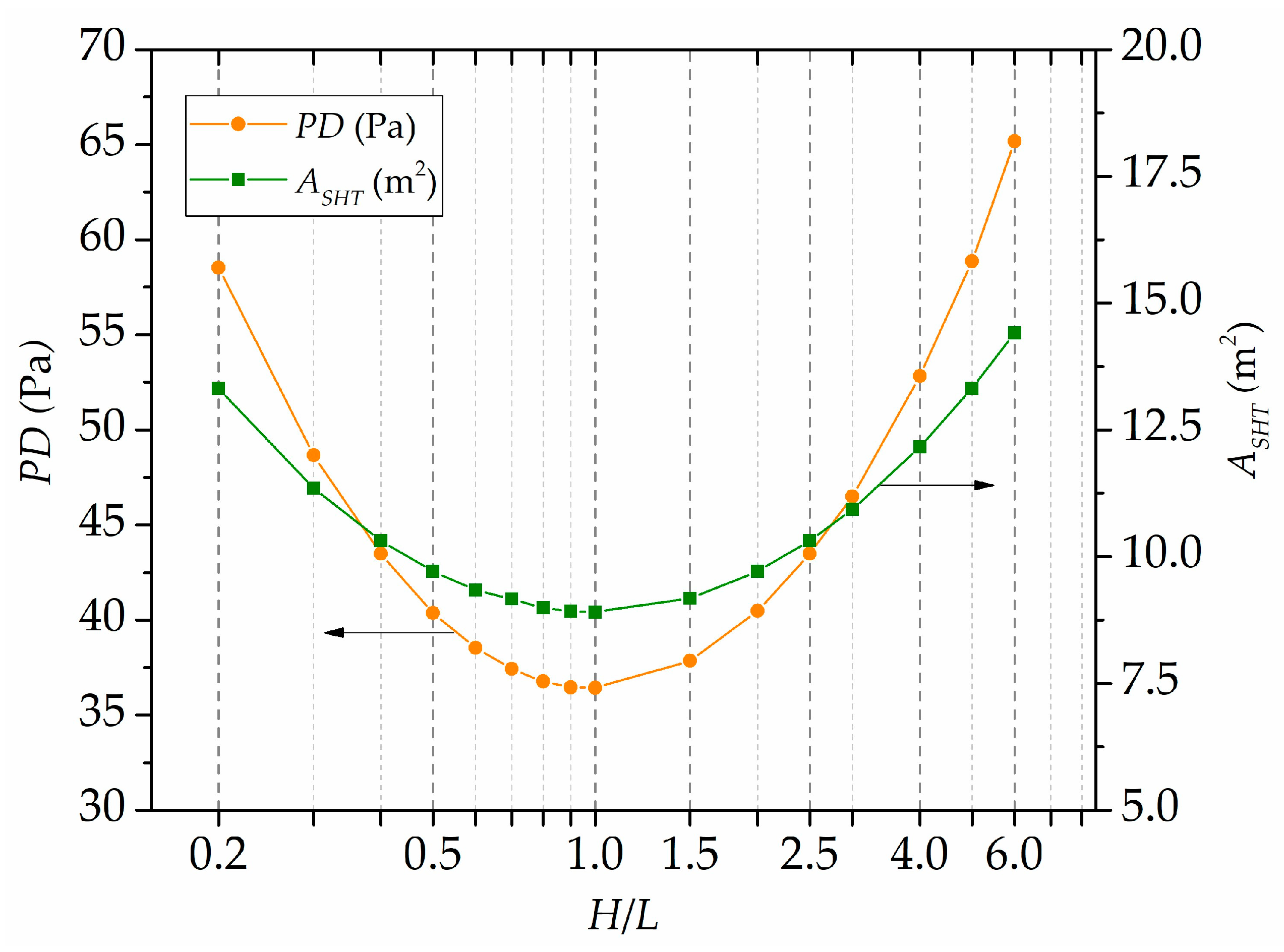
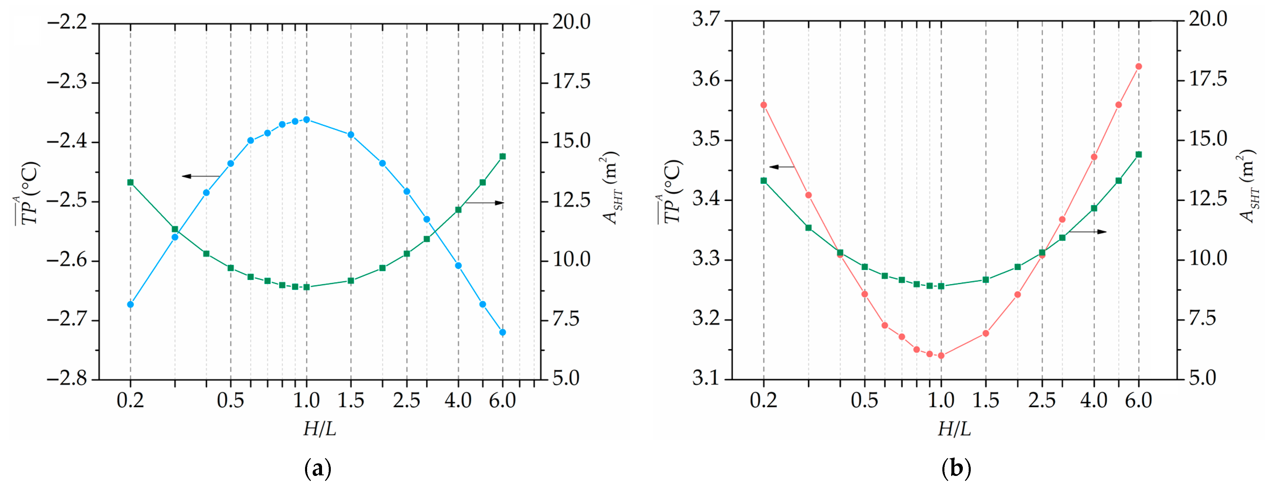
4. Results
5. Conclusions
Author Contributions
Funding
Data Availability Statement
Acknowledgments
Conflicts of Interest
References
- Singh, R.; Sawhney, R.L.; Lazarus, I.J.; Kishore, V.V.N. Recent advancements in earth air tunnel heat exchanger (EATHE) system for indoor thermal comfort application: A review. Renew. Sustain. Energy Rev. 2018, 82, 2162–2185. [Google Scholar] [CrossRef]
- Zhao, J.; Huang, B.; Li, Y.; Zhao, Y. Comprehensive review on climatic feasibility and economic benefits of Earth-to-Air Heat Exchanger (EAHE) systems. Sustain. Energy Technol. Assess. 2024, 68, 103862. [Google Scholar] [CrossRef]
- Bansal, V.; Misra, R.; Agarwal, G.D.; Mathur, J. Transient effect of soil thermal conductivity and duration of operation on performance of Earth Air Tunnel Heat Exchanger. Appl. Energy 2013, 103, 1–11. [Google Scholar] [CrossRef]
- Agrawal, K.K.; Misra, R.; Agrawal, G.D.; Bhardwaj, M.; Jamuwa, D.K. Effect of different design aspects of pipe for earth air tunnel heat exchanger system: A state of art. Int. J. Green Energy 2019, 16, 598–614. [Google Scholar] [CrossRef]
- Ahmed, S.F.; Khan, M.M.K.; Amanullah, M.T.O.; Rasul, M.G.; Hassan, N.M.S. A parametric analysis of the cooling performance of vertical earth-air heat exchanger in a subtropical climate. Renew. Energy 2021, 172, 350–367. [Google Scholar] [CrossRef]
- Soares, N.; Rosa, N.; Monteiro, H.; Costa, J.J. Advances in standalone and hybrid earth-air heat exchanger (EAHE) systems for buildings: A review. Energy Build. 2021, 253, 111532. [Google Scholar] [CrossRef]
- Liu, Z.; Xie, M.; Zhou, Y.; He, Y.; Zhang, L.; Zhang, G.; Chen, D. A state-of-the-art review on shallow geothermal ventilation systems with thermal performance enhancement system classifications, advanced technologies and applications. Energy Built Environ. 2023, 4, 148–168. [Google Scholar] [CrossRef]
- Ramadan, A.S. Parametric Study of Vertical Ground Loop Heat Exchangers for Ground Source Heat Pump Systems. Ph.D. Thesis, The University of Western Ontario, London, ON, Canada, 2016. [Google Scholar]
- Vaz, J.; Sattler, M.A.; dos Santos, E.D.; Isoldi, L.A. Experimental and numerical analysis of an earth–air heat exchanger. Energy Build. 2011, 43, 2476–2482. [Google Scholar] [CrossRef]
- Rodrigues, M.K.; Vaz, J.; Rocha, L.A.O.; dos Santos, E.D.; Isoldi, L.A. A full approach to Earth-Air Heat Exchanger employing computational modeling, performance analysis and geometric evaluation. Renew. Energy 2022, 191, 535–556. [Google Scholar] [CrossRef]
- Sakhri, N.; Menni, Y.; Ameur, H. Experimental investigation of the performance of earth-to-air heat exchangers in arid environments. J. Arid Environ. 2020, 180, 104215. [Google Scholar] [CrossRef]
- Dhaidan, N.S.; Al-Shohani, W.A.; Abbas, H.H.; Rashid, F.L.; Ameen, A.; Al-Mousawi, F.N.; Homod, R.Z. Enhancing the thermal performance of an agricultural solar greenhouse by geothermal energy using an earth-air heat exchanger system: A review. Geothermics 2024, 123, 103115. [Google Scholar] [CrossRef]
- Trząski, A.; Zawada, B. The influence of environmental and geometrical factors on air-ground tube heat exchanger energy efficiency. Build. Environ. 2011, 46, 1436–1444. [Google Scholar] [CrossRef]
- Misra, R.; Bansal, V.; Agrawal, G.D. CFD analysis based parametric study of derating factor for earth air tunnel heat exchanger. Appl. Energy 2013, 103, 266–277. [Google Scholar]
- Bisoniya, T.S.; Kumar, A.; Baredar, P. Parametric Analysis of Earth-Air Heat Exchanger System Based on CFD Modelling. Int. J. Power Renew. Energy Syst. 2014, 1, 36–46. [Google Scholar]
- Benhammou, M.; Draoui, B. Parametric study on thermal performance of earth-to-air heat exchanger used for cooling of buildings. Renew. Sustain. Energy Rev. 2015, 44, 348–355. [Google Scholar] [CrossRef]
- Ahmed, S.F.; Amanullah, M.T.O.; Khan, M.M.K.; Rasul, M.G.; Hassan, N.M.S. Parametric study on thermal performance of horizontal earth pipe cooling system in summer. Energy Convers. Manag. 2016, 114, 324–337. [Google Scholar] [CrossRef]
- Singh, B.; Kumar, R.; Asati, A.K. Influence of parameters on performance of earth air heat exchanger in hot-dry climate. J. Mech. Sci. Technol. 2018, 32, 5457–5463. [Google Scholar] [CrossRef]
- Liu, Z.; Yu, Z.J.; Yang, T.; Roccamena, L.; Sun, P.; Li, S.; Zhang, G.; El Mankibi, M. Numerical modeling and parametric study of a vertical earth-to-air heat exchanger system. Energy 2019, 172, 220–231. [Google Scholar] [CrossRef]
- Hasan, M.I.; Noori, S.W.; Shkarah, A.J. Parametric study on the performance of the earth-to-air heat exchanger for cooling and heating applications. Heat Transf.—Asian Res. 2019, 48, 1805–1829. [Google Scholar] [CrossRef]
- Maoz; Ali, S.; Muhammad, N.; Amin, A.; Sohaib, M.; Basit, A.; Ahmad, T. Parametric optimization of earth to air heat exchanger using response surface method. Sustainability 2019, 11, 3186. [Google Scholar] [CrossRef]
- Agrawal, K.K.; Misra, R.; Das Agrawal, G. To study the effect of different parameters on the thermal performance of ground-air heat exchanger system: In situ measurement. Renew. Energy 2019, 146, 2070–2083. [Google Scholar] [CrossRef]
- Mahach, H.; Benhamou, B. Extensive parametric study of cooling performance of an earth-to-air heat exchanger in hot semi-arid climate. J. Therm. Sci. Eng. Appl. 2021, 13, 031006. [Google Scholar] [CrossRef]
- Zhang, Z.; Sun, J.; Zhang, Z.; Jia, X.; Liu, Y. Numerical research and parametric study on the thermal performance of a vertical earth-to-air heat exchanger system. Math. Probl. Eng. 2021, 2021, 5557280. [Google Scholar] [CrossRef]
- Yu, W.; Chen, X.; Ma, Q.; Gao, W.; Wei, X. Modeling and assessing earth-air heat exchanger using the parametric performance design method. Energy Sources 2022, 44, 7873–7894. [Google Scholar] [CrossRef]
- Aranda-Arizmendi, A.; Rodríguez-Vázquez, M.; Jiménez-Xamán, C.M.; Romero, R.J.; Montiel-González, M. Parametric Study of the Ground-Air Heat Exchanger (GAHE): Effect of Burial Depth and Insulation Length. Fluids 2023, 8, 40. [Google Scholar] [CrossRef]
- El Khachine, H.; Ouahabi, M.H.; Taoukil, D. Improvement of earth-to-air heat exchanger performance by adding cost-efficient soil. Energy Explor. Exploit. 2024, 42, 589–602. [Google Scholar] [CrossRef]
- Wei, H.; Yang, D. Performance evaluation of flat rectangular earth-to-air heat exchangers in harmonically fluctuating thermal environments. Appl. Therm. Eng. 2019, 162, 114262. [Google Scholar] [CrossRef]
- Benhammou, M.; Sahli, Y.; Moungar, H. Investigation of the impact of pipe geometric form on earth-to-air heat exchanger performance using Complex Finite Fourier Transform analysis. Part I: Operation in cooling mode. Int. J. Therm. Sci. 2022, 177, 107484. [Google Scholar] [CrossRef]
- Jahanbin, A. Thermal performance of the vertical ground heat exchanger with a novel elliptical single U-tube. Geothermics 2020, 86, 101804. [Google Scholar] [CrossRef]
- Bejan, A.; Lorente, S. Design with Constructal Theory; John Wiley & Sons: Hoboken, NJ, USA, 2008. [Google Scholar]
- Bejan, A. Freedom and Evolution: Hierarchy in Nature, Society and Science; Springer Nature: Berlin/Heidelberg, Germany, 2019. [Google Scholar]
- Bejan, A. Thermodynamics today. Energy 2018, 160, 1208–1219. [Google Scholar] [CrossRef]
- Bejan, A. The Physics of Life: The Evolution of Everything; St. Martin’s Press: New York City, NY, USA, 2016. [Google Scholar]
- Rodrigues, M.K.; da Silva Brum, R.; Vaz, J.; Rocha, L.A.O.; dos Santos, E.D.; Isoldi, L.A. Numerical investigation about the improvement of the thermal potential of an Earth-Air Heat Exchanger (EAHE) employing the Constructal Design method. Renew. Energy 2015, 80, 538–551. [Google Scholar] [CrossRef]
- Rodrigues, G.C.; Lorenzini, G.; Victoria, L.C.; Vaz, I.S.; Rocha, L.A.; dos Santos, E.D.; Isoldi, L.A. Constructal design applied to the geometric evaluation of a T-shaped earth-air heat exchanger. Int. J. Sustain. Dev. Plann. 2021, 16, 207–217. [Google Scholar] [CrossRef]
- Brum, R.S.; Ramalho, J.V.; Rodrigues, M.K.; Rocha, L.A.; Isoldi, L.A.; dos Santos, E.D. Design evaluation of Earth-Air Heat Exchangers with multiple ducts. Renew. Energy 2019, 135, 1371–1385. [Google Scholar] [CrossRef]
- Nunes, B.R.; Rodrigues, M.K.; Rocha, L.A.O.; Labat, M.; Lorente, S.; dos Santos, E.D.; Biserni, C. Numerical-analytical study of earth-air heat exchangers with complex geometries guided by constructal design. Int. J. Energy Res. 2021, 45, 20970–20987. [Google Scholar] [CrossRef]
- Dos Santos, E.D.; Isoldi, L.A.; Gomes, M.D.N.; Rocha, L.A.O. The Constructal design applied to renewable energy systems. In Sustainable Energy Technologies; CRC Press: Boca Raton, FL, USA, 2017; pp. 45–62. [Google Scholar]
- Miguel, A.F. Heat transfer in flow through branching tubes. Int. J. Hydromechatronics 2018, 1, 172–181. [Google Scholar] [CrossRef]
- Hajmohammadi, M.R. Introducing a ψ-shaped cavity for cooling a heat generating medium. Int. J. Therm. Sci. 2017, 121, 204–212. [Google Scholar] [CrossRef]
- Hajmohammadi, M.R. Optimal design of tree-shaped inverted fins. Int. J. Heat Mass Transf. 2018, 116, 1352–1360. [Google Scholar] [CrossRef]
- Mustafa, A.W. Constructal design of multi-scale diamond-shaped pin fins cooled by mixed convection. Int. J. Therm. Sci. 2019, 145, 106018. [Google Scholar] [CrossRef]
- Mustafa, A.W.; Hasan, H.S.; Khlaif, H.H. Constructal design of vertical multiscale triangular fins in natural convection. Heat Transf. 2023, 52, 5454–5474. [Google Scholar] [CrossRef]
- Xie, G.; Zhang, F.; Sundén, B.; Zhang, W. Constructal design and thermal analysis of microchannel heat sinks with multistage bifurcations in single-phase liquid flow. Appl. Therm. Eng. 2014, 62, 791–802. [Google Scholar] [CrossRef]
- Hwang, C.L.; Yoon, K. Methods for multiple attribute decision making. In Multiple Attribute Decision Making Methods and Applications: A State-of-the-Art Survey; Springer Nature: Berlin/Heidelberg, Germany, 1981; pp. 58–191. [Google Scholar]
- Cui, H.C.; Shi, C.Y.; Yu, M.J.; Zhang, Z.K.; Liu, Z.C.; Liu, W. Optimal parameter design of a slot jet impingement/microchannel heat sink base on multi-objective optimization algorithm. Appl. Therm. Eng. 2023, 227, 120452. [Google Scholar] [CrossRef]
- Li, J.B.; Zhang, T.Y.; Li, Z.D.; Chen, L.; Tao, W.Q. Multi-objective parameter optimization design of tapered-type manifold/variable cross-section microchannel heat sink. Appl. Therm. Eng. 2024, 251, 123587. [Google Scholar] [CrossRef]
- Razera, A.L.; Fonseca, R.J.C.D.; Isoldi, L.A.; Santos, E.D.D.; Rocha, L.A.O.; Biserni, C. Evolutionary design investigation applied to mixed convection heat transfer flows over semi-elliptical blocks inserted into a rectangular channel. Int. J. Hydromechatronics 2024, 7, 196–223. [Google Scholar] [CrossRef]
- Sun, N.; Zhang, S.; Jin, P.; Li, N.; Yang, S.; Li, Z.; Wang, K.; Hao, X.; Zhao, F. An intelligent plate fin-and-tube heat exchanger design system through integration of CFD, NSGA-II, ANN and TOPSIS. Expert Syst. Appl. 2023, 233, 120926. [Google Scholar] [CrossRef]
- Keykhah, S.; Assareh, E.; Moltames, R.; Izadi, M.; Ali, H.M. Heat transfer and fluid flow for tube included a porous media: Assessment and Multi-Objective Optimization Using Particle Swarm Optimization (PSO) Algorithm. Phys. A Stat. Mech. Appl. 2020, 545, 123804. [Google Scholar] [CrossRef]
- Trilok, G.; Gnanasekaran, N. Numerical study on maximizing heat transfer and minimizing flow resistance behavior of metal foams owing to their structural properties. Int. J. Therm. Sci. 2021, 159, 106617. [Google Scholar]
- Hahn, D.W.; Özisik, M.N. Heat Conduction; John Wiley & Sons: Hoboken, NJ, USA, 2012. [Google Scholar]
- Wilcox, D.C. Turbulence Modeling for CFD; DCW Industries: La Cañada, CA, USA, 2002. [Google Scholar]
- Laudner, B.; Spalding, D.B. Lectures in Mathematical Models of Turbulence; Academic Press: London, UK, 1972. [Google Scholar]
- Wilks, D.S. Statistical Methods in the Atmospheric Sciences; International Geophysics Series; Academic Press: Cambridge, MA, USA, 2011; Volume 100. [Google Scholar]
- Versteeg, H.K.; Malalasekera, W. An Introduction to Computational Fluid Dynamics: The Finite Volume Method; Pearson Education: London, UK, 2007. [Google Scholar]
- Patankar, S. Numerical Heat Transfer and Fluid Flow; Taylor & Francis: Oxford, UK, 2018. [Google Scholar]
- FLUENT, version 14.0; User’s Guide; Ansys Inc.: Canonsburg, PA, USA, 2011.
- Bejan, A. Convection Heat Transfer; John Wiley & Sons: Hoboken, NJ, USA, 2013. [Google Scholar]
- Brum, R.S.; Vaz, J.; Rocha, L.A.O.; dos Santos, E.D.; Isoldi, L.A. A new computational modeling to predict the behavior of Earth-Air Heat Exchangers. Energy Build. 2013, 64, 395–402. [Google Scholar] [CrossRef]
- Vivas, G.A.V.; Rodrigues, M.K.; Rocha, L.A.O.; dos Santos, E.D.; Brum, R.D.S.; Isoldi, L.A. Computational Modeling of an Earth-Air Heat Exchanger Integrated with Phase Change Materials: A Case Study Performed for the Viamão City, Rio Grande do Sul State, Brazil. Defect Diffus. Forum 2023, 427, 85–94. [Google Scholar] [CrossRef]
- Pritchard, P.J.; Mitchell, J.W. Fox and McDonald’s Introduction to Fluid Mechanics; John Wiley & Sons: Hoboken, NJ, USA, 2016. [Google Scholar]
- Schlichting, H.; Gersten, K. Boundary-Layer Theory; Springer: Berlin/Heidelberg, Germany, 2016. [Google Scholar]
- Associação Brasileira de Normas Técnicas. ABNT NBR 16401-2:2008, Central and Unitary Air Conditioning Systems, Part 2: Thermal Comfort; ABNT: Rio de Janeiro, Brazil, 2008. [Google Scholar]
- American Society of Heating, Refrigerating and Air-Conditioning Engineers Inc. ASHRAE Handbook. Fundamentals—Chapter 8: Thermal Comfort; ASHRAE: Atlanta, GA, USA, 2005. [Google Scholar]













| Properties | Symbol | Air | Soil |
|---|---|---|---|
| Density (kg/m3) | ρ | 1.16 | 1800 |
| Thermal Conductivity (W/m·K) | k | 0.0242 | 2.1 |
| Specific Heat (J/kg·K) | Cp | 1010 | 1780 |
| Dynamic Viscosity (kg/m·s) | μ | 1.789 × 10−5 | - |
| MPE (%) | ||||||||||
|---|---|---|---|---|---|---|---|---|---|---|
| Cooling Potential | Heating Potential | |||||||||
| Month | Number of Days | H/L | Number of Days | H/L | ||||||
| 0.2 | 0.6 | 3.0 | 6.0 | 0.2 | 0.6 | 3.0 | 6.0 | |||
| January | 27 | −13.04 | −1.47 | −6.93 | −15.23 | 4 | −15.68 | −2.34 | −9.79 | −17.27 |
| February | 26 | −10.93 | −0.83 | −5.17 | −13.21 | 2 | 14.01 | −4.97 | −2.15 | 31.80 |
| March | 25 | −12.09 | −1.44 | −6.47 | −13.99 | 6 | −16.68 | −2.16 | −9.36 | −19.09 |
| April | 16 | −15.86 | −0.92 | −7.32 | −21.45 | 14 | −24.53 | −2.98 | −12.98 | −28.54 |
| May | 2 | −10.46 | −1.06 | −5.55 | −11.86 | 29 | −15.01 | −1.63 | −7.88 | −17.57 |
| June | 11 | −13.76 | −1.46 | −7.60 | −15.23 | 19 | −13.25 | −1.54 | −7.15 | −15.47 |
| July | 3 | −13.12 | −1.66 | −7.47 | −14.72 | 28 | −13.30 | −1.57 | −7.15 | −15.48 |
| August | 8 | −12.36 | −1.68 | −7.14 | −13.74 | 23 | −10.79 | −2.07 | −6.67 | −18.06 |
| September | 23 | −13.55 | −1.45 | −7.16 | −15.95 | 7 | −9.34 | −0.55 | −3.98 | −11.43 |
| October | 23 | −14.44 | −1.52 | −7.78 | −16.68 | 8 | −12.47 | −1.83 | −7.29 | −13.73 |
| November | 23 | −16.92 | −1.59 | −8.74 | −19.73 | 7 | −7.87 | −1.74 | −5.67 | −7.60 |
| December | 30 | −13.46 | −1.49 | −7.16 | −15.65 | 1 | −17.42 | −4.59 | −11.63 | −17.85 |
| Weighted Average | −13.55 | −1.37 | −7.07 | −15.98 | −13.67 | −1.88 | −7.68 | −16.44 | ||
Disclaimer/Publisher’s Note: The statements, opinions and data contained in all publications are solely those of the individual author(s) and contributor(s) and not of MDPI and/or the editor(s). MDPI and/or the editor(s) disclaim responsibility for any injury to people or property resulting from any ideas, methods, instructions or products referred to in the content. |
© 2024 by the authors. Licensee MDPI, Basel, Switzerland. This article is an open access article distributed under the terms and conditions of the Creative Commons Attribution (CC BY) license (https://creativecommons.org/licenses/by/4.0/).
Share and Cite
de Andrade, I.R.; dos Santos, E.D.; Zhang, H.; Rocha, L.A.O.; Razera, A.L.; Isoldi, L.A. Multi-Objective Numerical Analysis of Horizontal Rectilinear Earth–Air Heat Exchangers with Elliptical Cross Section Using Constructal Design and TOPSIS. Fluids 2024, 9, 257. https://doi.org/10.3390/fluids9110257
de Andrade IR, dos Santos ED, Zhang H, Rocha LAO, Razera AL, Isoldi LA. Multi-Objective Numerical Analysis of Horizontal Rectilinear Earth–Air Heat Exchangers with Elliptical Cross Section Using Constructal Design and TOPSIS. Fluids. 2024; 9(11):257. https://doi.org/10.3390/fluids9110257
Chicago/Turabian Stylede Andrade, Ivanilton Reinato, Elizaldo Domingues dos Santos, Houlei Zhang, Luiz Alberto Oliveira Rocha, Andre Luis Razera, and Liércio André Isoldi. 2024. "Multi-Objective Numerical Analysis of Horizontal Rectilinear Earth–Air Heat Exchangers with Elliptical Cross Section Using Constructal Design and TOPSIS" Fluids 9, no. 11: 257. https://doi.org/10.3390/fluids9110257
APA Stylede Andrade, I. R., dos Santos, E. D., Zhang, H., Rocha, L. A. O., Razera, A. L., & Isoldi, L. A. (2024). Multi-Objective Numerical Analysis of Horizontal Rectilinear Earth–Air Heat Exchangers with Elliptical Cross Section Using Constructal Design and TOPSIS. Fluids, 9(11), 257. https://doi.org/10.3390/fluids9110257

