Numerical Study of Heat Transfer Enhancement Using Nano-Encapsulated Phase Change (NPC) Slurries in Wavy Microchannels
Abstract
1. Introduction
2. Mathematical Models and Simulation Method
2.1. Problem Setup
2.2. Fluid Flow and Heat Transfer Models
2.3. Effective Properties of NPC Slurries
2.4. Fluid Properties, Simulation Parameters, and Numerical Issues
2.5. Model Validation
3. Results and Discussion
3.1. Effect of the Wavy Channel on the Heat Transfer and Fluid Flow of NPC Slurries
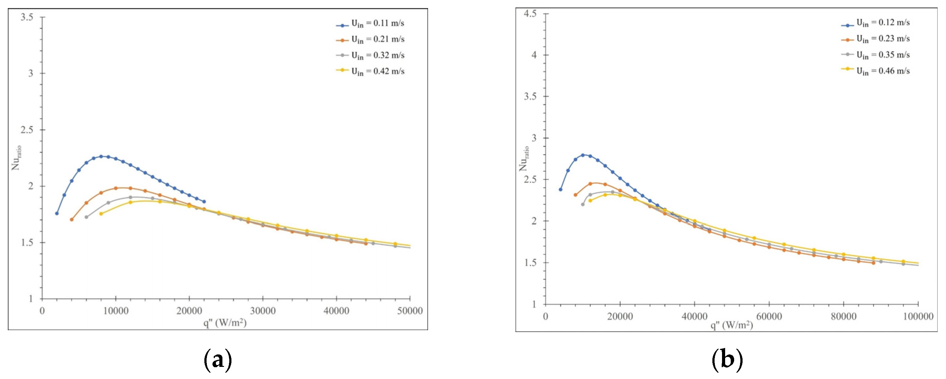
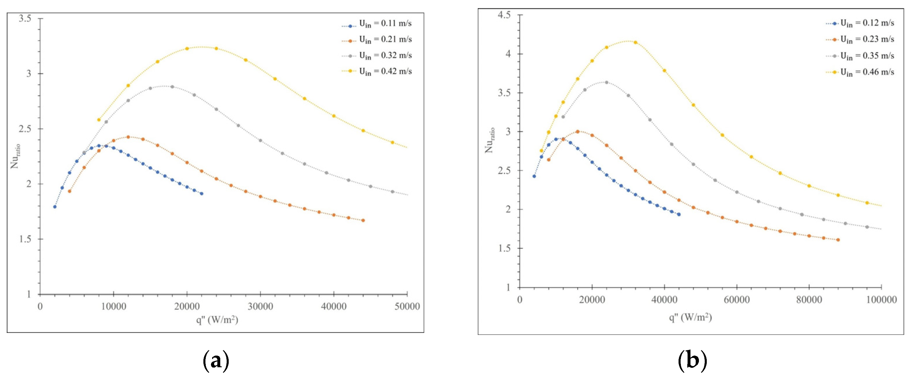
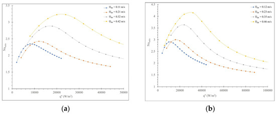
3.2. Optimal Heat Flux for an Inlet Velocity in the Straight and Wavy Channels
3.3. Pressure Drop and Thermal Performance Factor
3.4. Effect of Wavelengths and Amplitude on Heat Transfer Performance
4. Conclusions
Author Contributions
Funding
Data Availability Statement
Conflicts of Interest
References
- Yeh, L.T. Review of heat transfer technologies in electronic equipment. J. Electron. Packag. 1995, 117, 333–339. [Google Scholar] [CrossRef]
- U.S. Air Force. U.S. Air Force Avionics Integrity Program Notes; U.S. Air Force: Washington, DC, USA, 1989. [Google Scholar]
- Murshed, S.M.M.; Castro, C.A. A critical review of traditional and emerging techniques and fluids for electronics cooling. Renew. Sustain. Energy Rev. 2017, 78, 821–833. [Google Scholar] [CrossRef]
- Naphona, P.; Wiriyasarta, S.; Wongwisesb, S. Thermal cooling enhancement techniques for electronic components. Int. Commun. Heat Mass Transf. 2015, 61, 140–145. [Google Scholar] [CrossRef]
- Shendel, M.D.; Mahalle, A. Cooling of Electronic Equipments with Heat Sink: A Review of Literature. J. Mech. Civ. Eng. 2013, 5, 56–61. [Google Scholar]
- Tullius, J.F.; Vajtai, R.; Bayazitoglu, Y. A review of cooling in microchannel. Heat Transf. Eng. 2011, 32, 527–541. [Google Scholar] [CrossRef]
- Wei, X.; Joshi, Y.; Patterson, M.K. Experimental and Numerical Study of a Stacked Microchannel Heat Sink for Liquid Cooling of Microelectronic Devices. J. Heat Transf. 2007, 129, 1432–1444. [Google Scholar] [CrossRef]
- Tuckerman, D.B.; Pease, R.F.W. High-performance heat sinking for VLSI. IEEE Electron Device Lett. 1981, 2, 126–129. [Google Scholar] [CrossRef]
- Delgado, M.; Lázaro, A.; Mazo, J.; Marín, J.M.; Zalba, B. Experimental analysis of a microencapsulated PCM slurry as thermal storage system and as heat transfer fluid in laminar flow. Appl. Therm. Eng. 2012, 36, 370–377. [Google Scholar] [CrossRef]
- Chai, L.; Shaukata, R.; Wangd, L.; Wanga, H.S. A review on heat transfer and hydrodynamic characteristics of nano/microencapsulated phase change slurry (N/MPCS) in mini/microchannel heat sinks. Appl. Therm. Eng. 2018, 135, 334–349. [Google Scholar] [CrossRef]
- Lin, Y.; Jia, Y.; Alva, G.; Fang, G. Review on thermal conductivity enhancement, thermal properties and applications of phase change materials in thermal energy storage. Renew. Sustain. Energy Rev. 2018, 82, 2730–2742. [Google Scholar] [CrossRef]
- Roberts, N.S.; Al-Shannaq, R.; Kurdi, J.; Al-Muhtaseb, S.A.; Farid, M.M. Efficacy of using slurry of metal-coated microencapsulated PCM for cooling in a micro-channel heat exchanger. Appl. Therm. Eng. 2017, 122, 11–18. [Google Scholar] [CrossRef]
- Ho, C.J.; Chen, W.C.; Yan, W.M. Correlations of heat transfer effectiveness in a minichannel heat sink with water-based suspensions of Al2O3 nanoparticles and/or MEPCM particles. Int. J. Heat Mass Transf. 2014, 69, 293–299. [Google Scholar] [CrossRef]
- Ho, C.J.; Chen, W.C.; Yan, W.M. Experimental study on cooling performance of minichannel heat sink using water-based MEPCM particles. Int. Commun. Heat Mass Transf. 2013, 48, 67–72. [Google Scholar] [CrossRef]
- Dammel, K.; Stephan, P. Heat transfer to suspensions of microencapsulated phase change material flowing through minichannels. J. Heat Transf. 2012, 134, 020907–020915. [Google Scholar] [CrossRef]
- Rao, Y.; Dammel, F.; Stephan, P. Experiments on cooling performance of microencapsulated phase change material suspension flow in rectangular minichannels. ASME-JSME Therm. Eng. Summer Heat Transf. Conf. 2007, 2, 569–573. [Google Scholar]
- Hasan, M.; Tbena, H.L. Using of phase change materials to enhance the thermal performance of micro channel heat sink. Eng. Sci. Technol. Int. J. 2018, 21, 517–526. [Google Scholar] [CrossRef]
- Liu, C.; Rao, Z.; Zhao, J.; Huo, Y.; Li, Y. Review on nano encapsulated phase change materials: Preparation, characterization, and heat transfer enhancement. Nano Energy 2015, 13, 814–826. [Google Scholar] [CrossRef]
- Sabbaghi, S.; Mehravar, S. Effect of using nano encapsulated phase change material on thermal performance of micro heat sink. Int. J. Nanosci. Nanotechnol. 2015, 11, 33–38. [Google Scholar]
- Seyf, H.R.; Zhou, Z.; Ma, H.B.; Zhang, Y. Three-dimensional numerical study of heat-transfer enhancement by nano-encapsulated phase change material slurry in microtube heat sinks with tangential impingement. Int. J. Heat Mass Transf. 2013, 56, 561–573. [Google Scholar] [CrossRef]
- Alquaity, A.; Al-Dini, S.A.; Wang, E.; Yilbas, B.S. Numerical investigation of liquid flow with phase change nanoparticles in microchannels. Int. J. Heat Fluid Flow 2012, 38, 159–167. [Google Scholar] [CrossRef]
- Sabbah, R.; Seyed-Yagoobi, J.; Al-Hallaj, S. Heat transfer characteristics of liquid flow with micro-encapsulated phase change material: Numerical study. J. Heat Transf. 2011, 133, 121702–121712. [Google Scholar] [CrossRef]
- Xing, K.Q.; Hao, Y.L.; Tao, Y.X. Performance evaluation of liquid flow with PCM particles in microchannels. J. Heat Transf. 2005, 127, 931–940. [Google Scholar] [CrossRef]
- Hao, Y.L.; Tao, Y.X. A numerical model for phase change suspension flow in microchannels. Numer. Heat Transf. Appl. 2004, 46, 55–77. [Google Scholar] [CrossRef]
- Kuravi, S.; Kota, K.M.; Du, J.; Chow, L. Numerical investigation of flow and heat transfer performance of nano-encapsulated phase change material slurry in microchannels. J. Heat Transf. 2009, 131, 0629011–0629019. [Google Scholar] [CrossRef]
- Mohit, M.K.; Gupta, R. Numerical investigation of the performance of rectangular micro-channel equipped with micro-pin-fin. Case Stud. Therm. Eng. 2022, 32, 101884. [Google Scholar] [CrossRef]
- Xue, Y.; Ge, Z.; Du, X.; Yang, L. On the heat transfer enhancement of plate fin heat exchanger. Energies 2018, 11, 1398. [Google Scholar] [CrossRef]
- Chai, L.; Xia, G.; Wang, L.; Zhou, M.Z.; Cui, Z. Heat transfer enhancement in microchannel heat sinks with periodic expansion–constriction cross-sections. Int. J. Heat Mass Transf. 2013, 62, 741–751. [Google Scholar] [CrossRef]
- Ho, C.J.; Hsu, S.; Rashidi, S.; Yan, W.M. Water-based nano-PCM emulsion flow and heat transfer in divergent mini-channel heat sink—An experimental investigation. Int. J. Heat Mass Transf. 2020, 148, 119086. [Google Scholar] [CrossRef]
- Qiu, Z.; Li, L. Experimental and numerical investigation of laminar heat transfer of microencapsulated phase change material slurry (MPCMS) in a circular tube with constant heat flux. Sustain. Cities Soc. 2020, 52, 101786. [Google Scholar] [CrossRef]
- Liu, Y.; Li, Q.; Nie, D. Two-dimensional numerical study on the migration of particle in a serpentine channel. J. Nanotechnol. 2018, 8, 2615404. [Google Scholar] [CrossRef]
- Sui, Y.; Teo, C.J.; Lee, P.S.; Chew, Y.T.; Shu, C. Fluid flow and heat transfer in wavy microchannels. Int. J. Heat Mass Transf. 2010, 53, 2760–2772. [Google Scholar] [CrossRef]
- Santhosh Reddy, V.; Venkatachalapathy, S.; Nanda Kishore, P.V.R. Study on thermal performance and flow behavior of myristyl alcohol phase change material microencapsulated with hybrid shell in minichannels. Appl. Therm. Eng. 2024, 124138, 1359–4311. [Google Scholar] [CrossRef]
- Sabbah, R.; Farid, M.M.; Al-Hallaj, S. Micro-channel heat sink with slurry of water with micro-encapsulated phase change material: 3D-numerical study. Appl. Therm. Eng. 2009, 29, 445–454. [Google Scholar] [CrossRef]
- Morini, G.; Spiga, M. The role of the viscous dissipation in heated microchannels. J. Heat Transf. 2007, 129, 308–318. [Google Scholar] [CrossRef]
- Webb, R.L. Performance evaluation criteria for use of enhanced heat transfer surfaces in heat exchanger design. Int. J. Heat Mass Transf. 1981, 24, 715–726. [Google Scholar] [CrossRef]
- Saha, S.K.; Tiwari, M.; Sundén, B.; Wu, Z. Advances in Heat Transfer Enhancement; Springer: Cham, Switzerland, 2016. [Google Scholar]
- Kumar, S.R.; Singh, S. Numerical analysis for augmentation of thermal performance of single-phase flow in microchannel heat sink of different sizes with or without micro-inserts. Fluids 2022, 7, 149. [Google Scholar] [CrossRef]
- Alisetti, E.L.; Roy, S.K. Forced convection heat transfer to phase change material slurries in circular ducts. J. Thermophys. Heat Transf. 2022, 14, 115–118. [Google Scholar] [CrossRef]
- Vand, V. Theory of viscosity of concentrated suspensions. Nature 1945, 155, 364–365. [Google Scholar] [CrossRef]
- Maxwell, J.C. A Treatise on Electricity and Magnetism, 3rd ed.; Dover: New York, NY, USA, 1954; Volume 1, pp. 440–441. [Google Scholar]
- Buongiorno, J.; Venerus, D.; Prabhat, N.; McKrell, T.; Townsend, J.; Christianson, R.; Tolmachev, Y.; Keblinski, P.; Wen, D.; Alvarado, J.; et al. A benchmark study on the thermal conductivity of nanofluids. J. Appl. Phys. 2009, 106, 094312. [Google Scholar] [CrossRef]
- Rajabifar, B. Enhancement of the performance of a double layered microchannel heatsink using PCM slurry and nanofluid coolants. Int. J. Heat Mass Transf. 2015, 88, 627–635. [Google Scholar] [CrossRef]
- Rajabifar, B.; Seyf, R.H.; Zhang, Y.; Khanna, S.K. Flow and heat transfer in micro pin fin heat sinks with nano-encapsulated phase change materials. J. Heat Transf. 2016, 138, 062401. [Google Scholar] [CrossRef]
- Sui, Y.; Lee, P.S.; Teo, C.J. An experimental study of flow friction and heat transfer in wavy microchannels with rectangular cross section. Int. J. Therm. Sci. 2011, 50, 2473–2482. [Google Scholar] [CrossRef]
- Wang, Y.; Chen, Z.; Ling, X. An experimental study of the latent functionally thermal fluid with micro-encapsulated phase change material particles flowing in microchannels. Appl. Therm. Eng. 2016, 105, 209–216. [Google Scholar] [CrossRef]
- Incropera, F.; DeWitt, D. Fundamentals of Heat and Mass Transfer, 6th ed.; J. Wiley & Sons: New York, NY, USA, 2007. [Google Scholar]
- Zhu, J.F.; Li, X.Y.; Wang, S.L.; Yang, Y.R.; Wang, X.D. Performance comparison of wavy microchannel heat sinks with wavy bottom rib and side rib designs. Int. J. Therm. Sci. 2019, 146, 106068. [Google Scholar] [CrossRef]
- Sahar, A.M.; Wissink, J.; Mahmoud, M.M.; Karayiannis, T.G.; Ishak, M.A. Effect of hydraulic diameter and aspect ratio on single phase flow and heat transfer in a rectangular microchannel. Appl. Therm. Eng. 2017, 115, 793–814. [Google Scholar] [CrossRef]
- Lin, L.; Zhao, j.; Lu, g.; Wang, X.D.; Yan, W.M. Heat transfer enhancement in microchannel heat sink by wavy channel with changing wavelength/amplitude. Int. J. Therm. Sci. 2017, 118, 423–434. [Google Scholar] [CrossRef]
- Zhou, J.; Hatami, M.; Song, D.; Jing, D. Design of microchannel heat sink with wavy channel and its time-efficient optimization with combined RSM and FVM methods. Int. J. Heat Mass Transf. 2016, 103, 715–724. [Google Scholar] [CrossRef]
- Xie, G.N.; Chen, Z.Y.; Sunden, B.; Zhang, W.H. Comparative study of the flow and thermal performance of liquid-cooling parallel-flow and counter-flow double-layer wavy microchannel heat sinks. Int. J. Comput. Methodol. 2013, 64, 30–55. [Google Scholar] [CrossRef]
- Mohammed, H.A.; Gunnasegaran, P.; Shuaib, N.H. Numerical simulation of heat transfer enhancement in wavy microchannel heat sink. Int. Commun. Heat Mass Transf. 2011, 38, 63–68. [Google Scholar] [CrossRef]
- Ghorbani, N.; Targhi, M.Z.; Heyhat, M.M.; Alihosseini, Y. Investigation of wavy microchannel ability on electronic devices cooling with the case study of choosing the most efficient microchannel pattern. Sci. Rep. 2022, 12, 5882. [Google Scholar] [CrossRef]










| Water | (kg/m3) | 998.2 |
| (Pa s) | 0.001003 | |
| Specific heat capacity, cp,w (J/K) | 4182 | |
| Thermal conductivity, kw (W/mK) | 0.6 | |
| Paraffin (PCM) | (kg/m3) | 850 |
| Specific heat capacity, cp,PCM (J/(kgK)) | 1800 | |
| Thermal conductivity, kpcm (W/(mK)) | 0.34 | |
| Latent heat of fusion, hsf (J/kg) | 220,300 | |
| Solidus temperature, Ts (K) | 300 | |
| Liquidus temperature, Tl (K) | 301 |
| Variable | Value | |||
|---|---|---|---|---|
| Heat flux (W/m2) for 10 vol.% NPCS | 2 × 104 | 4 × 104 | 6 × 104 | 8 × 104 |
| Inlet velocity (m/s) | 0.11 | 0.21 | 0.32 | 0.42 |
| Heat flux (W/m2) for 20 vol.% NPCS | 4 × 104 | 8 × 104 | 12 × 104 | 16 × 104 |
| Inlet velocity (m/s) | 0.12 | 0.23 | 0.35 | 0.46 |
| Inlet temperature (K) | 300 | |||
| 10 vol.% NPC slurries | |||||
| Inlet velocity (m/s) | 0.11 | 0.21 | 0.32 | 0.42 | |
| Heat flux (W/m2) | 2 × 104 | 4 × 104 | 6 × 104 | 8 × 104 | |
| Fraction of melted NPC | (Straight) | 0.88 | 0.85 | 0.82 | 0.76 |
| (Wavy) | 0.94 | 0.92 | 0.87 | 0.84 | |
| Maximum vorticity (1/s) | (Wavy) | 950 | 4725 | 6694 | 11,813 |
| 20 vol.% NPC slurries | |||||
| Inlet velocity (m/s) | 0.12 | 0.23 | 0.35 | 0.46 | |
| Heat flux (W/m2) | 4 × 104 | 8 × 104 | 12 × 104 | 16 × 104 | |
| Fraction of melted NPC | (Straight) | 0.92 | 0.88 | 0.86 | 0.80 |
| (Wavy) | 0.96 | 0.92 | 0.90 | 0.89 | |
| Maximum vorticity (1/s) | (Wavy) | 945 | 4659 | 6633 | 11,722 |
| Parameters (µm) | γ (A/λ) | Rc (µm) | Uin (m/s) | De | q″ (Optimal) (W/m2) | Δp (Pa) | TPF | |
|---|---|---|---|---|---|---|---|---|
| Study 1: Varying wavelength/constant amplitude, A = 500 µm | ||||||||
| = 2500 | 0.2 | 633 | 0.32 | 12.11 | 1.5 × 104 | 4.04 | 10,814 | 1.97 |
| 0.42 | 15.89 | 1.6 × 104 | 4.85 | 14,616 | 2.09 | |||
| = 850 | 0.588 | 73 | 0.32 | 35.65 | 2.0 × 104 | 5.96 | 12,213 | 2.79 |
| 0.42 | 46.79 | 2.5 × 104 | 7.59 | 17,631 | 3.06 | |||
| Study 2: Varying amplitude/constant wavelength, λ = 1000 µm | ||||||||
| A = 200 | 0.2 | 253 | 0.32 | 19.15 | 1.5 × 104 | 4.35 | 11,310 | 2.08 |
| 0.42 | 25.13 | 1.6 × 104 | 5.17 | 15,704 | 2.17 | |||
| A = 588 | 0.588 | 86 | 0.32 | 32.84 | 1.9 × 104 | 5.78 | 11,924 | 2.72 |
| 0.42 | 43.11 | 2.5 × 104 | 7.42 | 16,957 | 3.03 | |||
Disclaimer/Publisher’s Note: The statements, opinions and data contained in all publications are solely those of the individual author(s) and contributor(s) and not of MDPI and/or the editor(s). MDPI and/or the editor(s) disclaim responsibility for any injury to people or property resulting from any ideas, methods, instructions or products referred to in the content. |
© 2024 by the authors. Licensee MDPI, Basel, Switzerland. This article is an open access article distributed under the terms and conditions of the Creative Commons Attribution (CC BY) license (https://creativecommons.org/licenses/by/4.0/).
Share and Cite
Zaw, M.M.; Zhu, L.; Ma, R. Numerical Study of Heat Transfer Enhancement Using Nano-Encapsulated Phase Change (NPC) Slurries in Wavy Microchannels. Fluids 2024, 9, 236. https://doi.org/10.3390/fluids9100236
Zaw MM, Zhu L, Ma R. Numerical Study of Heat Transfer Enhancement Using Nano-Encapsulated Phase Change (NPC) Slurries in Wavy Microchannels. Fluids. 2024; 9(10):236. https://doi.org/10.3390/fluids9100236
Chicago/Turabian StyleZaw, Myo Min, Liang Zhu, and Ronghui Ma. 2024. "Numerical Study of Heat Transfer Enhancement Using Nano-Encapsulated Phase Change (NPC) Slurries in Wavy Microchannels" Fluids 9, no. 10: 236. https://doi.org/10.3390/fluids9100236
APA StyleZaw, M. M., Zhu, L., & Ma, R. (2024). Numerical Study of Heat Transfer Enhancement Using Nano-Encapsulated Phase Change (NPC) Slurries in Wavy Microchannels. Fluids, 9(10), 236. https://doi.org/10.3390/fluids9100236

