Anomalous Diffusion and Non-Markovian Reaction of Particles near an Adsorbing Colloidal Particle
Abstract
1. Introduction
2. Diffusion, Reaction, and Surface Dynamics
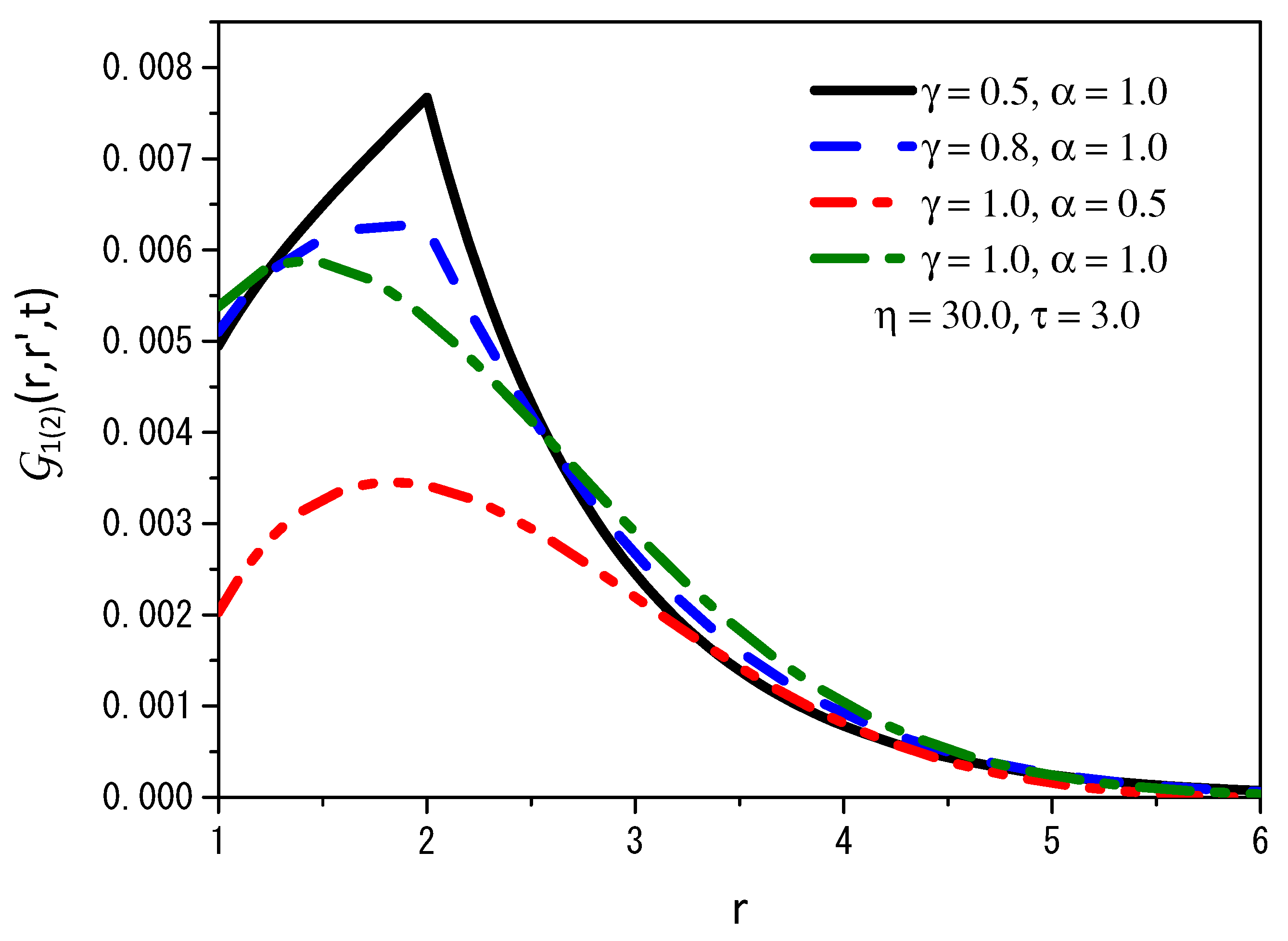
3. Time-Dependent Solutions
4. Discussion
5. Conclusions
Author Contributions
Funding
Data Availability Statement
Acknowledgments
Conflicts of Interest
Appendix A. Numerical Approach
D=sqrt(2.0*D*h);
//for all steps to be simulated.
for(n=0;n<steps;n++){
//n1 and n2 are the numbers of particles of type one and type two.
n1=0;n2=0;
//for all particles in the system
for(i=0;i<npar;i++){
//dist is the distance from the origin or r.
//ext exists so if n1 becomes n2 then we don’t check for reaction again.
dist=0;ext=1;
//this will compute diffusion in x,y, and z
for(j=0;j<3;j++){
//double **pxyz (pxyz[npar][3]) is the position matrix
//the funcion gauss() creates a gaussian number via box-muller
pxyz[i][j]+=D*gauss();
//x^2+y^2+z^2
dist+=pxyz[i][j]*pxyz[i][j];
}
//if the particle is type 1 if(calc[i]==0){ n1++; //if the particle is inside or on the surface (since h > 0) if(sqrt(dist)<=R){ // a is how much you need to multiply x,y, and z //so that the particle is just above the surface a=((R+0.01)/sqrt(dist)); for(j=0;j<3;j++){ pxyz[i][j]*=a; } //luck is the RNG/max(RNG) therefore 0<=luck<=1 luck=1.0*generator()/(1.0*boost::taus88().max()); if(luck<p12*h){ //particle n1 becomes n2 calc[i]=1; // so we don’t check for absortion again ext=0; n1--; n2++; } } } //n2 follows the same ideia from n1: if(calc[i]==1 & ext){ n2++; if(sqrt(dist)<=R){ a=((R+0.01)/sqrt(dist)); for(j=0;j<3;j++){ pxyz[i][j]*=a; } luck=1.0*generator()/(1.0*boost::taus88().max()); if(luck<p21*h){ calc[i]=0; n2--; n1++; } } } }
double gauss(){ double u1,u2,val; u1=1.0*generator()/(1.0*boost::taus88().max()); u2=1.0*generator()/(1.0*boost::taus88().max()); while(u1==0.0){ u1=1.0*generator()/(1.0*boost::taus88().max()); } val=sqrt(-2.0*log(u1))*cos(2.0*PI*u2); return(val); }

References
- Jones, R. Soft Condensed Matter; Oxford Master Series in Physics; OUP Oxford: Oxford, UK, 2002. [Google Scholar]
- Rosenberg, R.T.; Dan, N. Self-Assembly of Colloidosome Shells on Drug-Containing Hydrogels. J. Biomater. Nanobiotechnol. 2011, 2, 1–7. [Google Scholar] [CrossRef][Green Version]
- Smith, G.N.; Eastoe, J. Controlling colloid charge in nonpolar liquids with surfactants. Phys. Chem. Chem. Phys. 2013, 15, 424–439. [Google Scholar] [CrossRef] [PubMed]
- Comiskey, B.; Albert, J.D.; Yoshizawa, H.; Jacobson, J. An electrophoretic ink for all-printed reflective electronic displays. Nature 1998, 394, 253–255. [Google Scholar] [CrossRef]
- Mereghetti, P.; Kokh, D.; McCammon, J.A.; Wade, R.C. Diffusion and association processes in biological systems: Theory, computation and experiment. BMC Biophys. 2011, 4, 2. [Google Scholar] [CrossRef]
- Benelli, R.; Weiss, M. From sub- to superdiffusion: Fractional Brownian motion of membraneless organelles in early C. elegans embryos. New J. Phys. 2021, 23, 063072. [Google Scholar] [CrossRef]
- Brangwynne, C.P.; Koenderink, G.H.; MacKintosh, F.C.; Weitz, D.A. Intracellular transport by active diffusion. Trends Cell Biol. 2009, 19, 423–427. [Google Scholar] [CrossRef] [PubMed]
- Bechinger, C.; Di Leonardo, R.; Löwen, H.; Reichhardt, C.; Volpe, G.; Volpe, G. Active particles in complex and crowded environments. Rev. Mod. Phys. 2016, 88, 045006. [Google Scholar] [CrossRef]
- Höfling, F.; Franosch, T. Anomalous transport in the crowded world of biological cells. Rep. Prog. Phys. 2013, 76, 046602. [Google Scholar] [CrossRef]
- Javanainen, M.; Hammaren, H.; Monticelli, L.; Jeon, J.H.; Miettinen, M.S.; Martinez-Seara, H.; Metzler, R.; Vattulainen, I. Anomalous and normal diffusion of proteins and lipids in crowded lipid membranes. Faraday Discuss. 2013, 161, 397–417. [Google Scholar] [CrossRef]
- Sokolov, I.M. Models of anomalous diffusion in crowded environments. Soft Matter 2012, 8, 9043–9052. [Google Scholar] [CrossRef]
- Elowitz, M.B.; Surette, M.G.; Wolf, P.E.; Stock, J.B.; Leibler, S. Protein mobility in the cytoplasm of Escherichia coli. J. Bacteriol. 1999, 181, 197–203. [Google Scholar] [CrossRef] [PubMed]
- Kopelman, R. Fractal reaction kinetics. Science 1988, 241, 1620–1626. [Google Scholar] [CrossRef] [PubMed]
- Seri-Levy, A.; Avnir, D. Kinetics of diffusion-limited adsorption on fractal surfaces. J. Phys. Chem. 1993, 97, 10380–10384. [Google Scholar] [CrossRef]
- Giona, M.; Giustiniani, M. Adsorption kinetics on fractal surfaces. J. Phys. Chem. 1996, 100, 16690–16699. [Google Scholar] [CrossRef]
- Kosztołowicz, T. Random walk model of subdiffusion in a system with a thin membrane. Phys. Rev. E 2015, 91, 022102. [Google Scholar] [CrossRef]
- Kosztołowicz, T. Subdiffusion in a system consisting of two different media separated by a thin membrane. Int. J. Heat Mass Transf. 2017, 111, 1322–1333. [Google Scholar] [CrossRef]
- Kosztołowicz, T.; Dutkiewicz, A. Boundary conditions at a thin membrane for the normal diffusion equation which generate subdiffusion. Phys. Rev. E 2021, 103, 042131. [Google Scholar] [CrossRef]
- Bisquert, J.; Compte, A. Theory of the electrochemical impedance of anomalous diffusion. J. Electroanal. Chem. 2001, 499, 112–120. [Google Scholar] [CrossRef]
- Evangelista, L.R.; Lenzi, E.K. Fractional Diffusion Equations and Anomalous Diffusion; Cambridge University Press: Cambridge, UK, 2018. [Google Scholar]
- Metzler, R.; Glöckle, W.G.; Nonnenmacher, T.F. Fractional model equation for anomalous diffusion. Phys. A 1994, 211, 13–24. [Google Scholar] [CrossRef]
- O’Shaughnessy, B.; Procaccia, I. Analytical Solutions for Diffusion on Fractal Objects. Phys. Rev. Lett. 1985, 54, 455–458. [Google Scholar] [CrossRef]
- Spiechowicz, J.; Łuczka, J. Subdiffusion via dynamical localization induced by thermal equilibrium fluctuations. Sci. Rep. 2017, 7, 16451. [Google Scholar] [CrossRef] [PubMed]
- Bronaugh, R.L.; Stewart, R.F.; Congdon, E.R.; Giles, A.L., Jr. Methods for in vitro percutaneous absorption studies I. Comparison with in vivo results. Toxicol. Appl. Pharmacol. 1982, 62, 474–480. [Google Scholar] [CrossRef] [PubMed]
- Abd, E.; Yousef, S.A.; Pastore, M.N.; Telaprolu, K.; Mohammed, Y.H.; Namjoshi, S.; Grice, J.E.; Roberts, M.S. Skin models for the testing of transdermal drugs. Clin. Pharmacol. Adv. Appl. 2016, 8, 163–176. [Google Scholar] [CrossRef]
- Wang, L.; Cao, T.; Dykstra, J.E.; Porada, S.; Biesheuvel, P.; Elimelech, M. Salt and water transport in reverse osmosis membranes: Beyond the solution-diffusion model. Environ. Sci. Technol. 2021, 55, 16665–16675. [Google Scholar] [CrossRef]
- Soltanieh, M.; GILL’, W.N. Review of reverse osmosis membranes and transport models. Chem. Eng. Commun. 1981, 12, 279–363. [Google Scholar] [CrossRef]
- Peters, R. Translational diffusion in the plasma membrane of single cells as studied by fluorescence microphotolysis. Cell Biol. Int. Rep. 1981, 5, 733–760. [Google Scholar] [CrossRef] [PubMed]
- Qian, H.; Sheetz, M.P.; Elson, E.L. Single particle tracking. Analysis of diffusion and flow in two-dimensional systems. Biophys. J. 1991, 60, 910–921. [Google Scholar] [CrossRef] [PubMed]
- Zistler, M.; Wachter, P.; Wasserscheid, P.; Gerhard, D.; Hinsch, A.; Sastrawan, R.; Gores, H. Comparison of electrochemical methods for triiodide diffusion coefficient measurements and observation of non-Stokesian diffusion behaviour in binary mixtures of two ionic liquids. Electrochim. Acta 2006, 52, 161–169. [Google Scholar] [CrossRef]
- Wang, P.; Anderko, A. Modeling self-diffusion in mixed-solvent electrolyte solutions. Ind. Eng. Chem. Res. 2003, 42, 3495–3504. [Google Scholar] [CrossRef]
- Schienbein, M.; Gruler, H. Langevin equation, Fokker-Planck equation and cell migration. Bull. Math. Biol. 1993, 55, 585–608. [Google Scholar] [CrossRef]
- Risken, H.; Risken, H. Fokker-Planck Equation; Springer: Berlin/Heidelberg, Germany, 1996. [Google Scholar]
- Kenkre, V.M.; Montroll, E.W.; Shlesinger, M.F. Generalized master equations for continuous-time random walks. J. Stat. Phys. 1973, 9, 45–50. [Google Scholar] [CrossRef]
- Kenkre, V. The generalized master equation and its applications. In Statistical Mechanics and Statistical Methods in Theory and Application; Springer: New York, NY, USA, 1977; pp. 441–461. [Google Scholar]
- Pedron, I.T.; Mendes, R.; Malacarne, L.C.; Lenzi, E.K. Nonlinear anomalous diffusion equation and fractal dimension: Exact generalized Gaussian solution. Phys. Rev. E 2002, 65, 041108. [Google Scholar] [CrossRef] [PubMed]
- Frank, T.D. Nonlinear Fokker-Planck Equations: Fundamentals and Applications; Springer Science & Business Media: Berlin/Heidelberg, Germany, 2005. [Google Scholar]
- Metzler, R.; Klafter, J. The random walk’s guide to anomalous diffusion: A fractional dynamics approach. Phys. Rep. 2000, 339, 1–77. [Google Scholar] [CrossRef]
- Górska, K.; Horzela, A.; Pogány, T. Non-Debye relaxations: Smeared time evolution, memory effects, and the Laplace exponents. Commun. Nonlinear Sci. Numer. Simul. 2021, 99, 105837. [Google Scholar] [CrossRef]
- Górska, K.; Horzela, A.; Penson, K.A. Non-Debye Relaxations: The Ups and Downs of the Stretched Exponential vs. Mittag–Leffler’s Matchings. Fractal Fract. 2021, 5, 265. [Google Scholar] [CrossRef]
- Caputo, M.; Fabrizio, M. Applications of new time and spatial fractional derivatives with exponential kernels. Prog. Fract. Differ. Appl. 2016, 2, 1–11. [Google Scholar] [CrossRef]
- Tateishi, A.A.; Ribeiro, H.V.; Lenzi, E.K. The Role of Fractional Time-Derivative Operators on Anomalous Diffusion. Front. Phys. 2017, 5, 52. [Google Scholar] [CrossRef]
- Atangana, A.; Baleanu, D. New fractional derivatives with nonlocal and non-singular kernel: Theory and application to heat transfer model. arXiv 2016, arXiv:1602.03408. [Google Scholar]
- Baleanu, D.; Fernandez, A. On fractional operators and their classifications. Mathematics 2019, 7, 830. [Google Scholar] [CrossRef]
- Haider, S.S.; Rehman, M.u.; Abdeljawad, T. On Hilfer fractional difference operator. Adv. Differ. Equ. 2020, 2020, 122. [Google Scholar] [CrossRef]
- Kochubei, A.N. Equations with general fractional time derivatives–Cauchy problem. In Fractional Differential Equations; De Gruyter: Berlin, Germany, 2019; pp. 223–234. [Google Scholar] [CrossRef]
- Luchko, Y.; Yamamoto, M. The general fractional derivative and related fractional differential equations. Mathematics 2020, 8, 2115. [Google Scholar] [CrossRef]
- Luchko, Y. General fractional integrals and derivatives with the Sonine kernels. Mathematics 2021, 9, 594. [Google Scholar] [CrossRef]
- Al-Refai, M.; Luchko, Y. General Fractional Calculus Operators of Distributed Order. Axioms 2023, 12, 1075. [Google Scholar] [CrossRef]
- Sandev, T.; Chechkin, A.; Kantz, H.; Metzler, R. Diffusion and Fokker-Planck-Smoluchowski equations with generalized memory kernel. Fract. Calc. Appl. Anal. 2015, 18, 1006–1038. [Google Scholar] [CrossRef]
- Zhang, X.; Tong, D. A generalized Weber transform and its inverse formula. Appl. Math. Comput. 2007, 193, 116–126. [Google Scholar] [CrossRef]
- Dokoumetzidis, A.; Macheras, P. Fractional kinetics in drug absorption and disposition processes. J. Pharmacokinet. Pharmacodyn. 2009, 36, 165–178. [Google Scholar] [CrossRef]
- Zola, R.S.; Lenzi, E.K.; Evangelista, L.R.; Barbero, G. Memory effect in the adsorption phenomena of neutral particles. Phys. Rev. E 2007, 75, 042601. [Google Scholar] [CrossRef]
- Saxena, R.; Mathai, A.; Haubold, H. On fractional kinetic equations. Astrophys. Space Sci. 2002, 282, 281–287. [Google Scholar] [CrossRef]
- Saxena, R.; Mathai, A.; Haubold, H. On generalized fractional kinetic equations. Phys. A Stat. Mech. Its Appl. 2004, 344, 657–664. [Google Scholar] [CrossRef]
- Ökten, G.; Göncü, A. Generating low-discrepancy sequences from the normal distribution: Box–Muller or inverse transform? Math. Comput. Model. 2011, 53, 1268–1281. [Google Scholar] [CrossRef]
- Scott, D.W. Box–Muller transformation. WIREs Comput. Stat. 2011, 3, 177–179. [Google Scholar] [CrossRef]
- Guimaraes, V.G.; Ribeiro, H.V.; Li, Q.; Evangelista, L.R.; Lenzi, E.K.; Zola, R.S. Unusual diffusing regimes caused by different adsorbing surfaces. Soft Matter 2015, 11, 1658–1666. [Google Scholar] [CrossRef] [PubMed]
- Lenzi, E.; Mendes, R.; Tsallis, C. Crossover in diffusion equation: Anomalous and normal behaviors. Phys. Rev. E 2003, 67, 031104. [Google Scholar] [CrossRef] [PubMed]
- L’Ecuyer, P. Maximally equidistributed combined Tausworthe generators. Math. Comput. 1996, 65, 203–213. [Google Scholar] [CrossRef]
- Available online: https://www.boost.org/ (accessed on 2 May 2024).







Disclaimer/Publisher’s Note: The statements, opinions and data contained in all publications are solely those of the individual author(s) and contributor(s) and not of MDPI and/or the editor(s). MDPI and/or the editor(s) disclaim responsibility for any injury to people or property resulting from any ideas, methods, instructions or products referred to in the content. |
© 2024 by the authors. Licensee MDPI, Basel, Switzerland. This article is an open access article distributed under the terms and conditions of the Creative Commons Attribution (CC BY) license (https://creativecommons.org/licenses/by/4.0/).
Share and Cite
Gryczak, D.W.; Lenzi, E.K.; Rosseto, M.P.; Evangelista, L.R.; da Silva, L.R.; Lenzi, M.K.; Zola, R.S. Anomalous Diffusion and Non-Markovian Reaction of Particles near an Adsorbing Colloidal Particle. Fluids 2024, 9, 221. https://doi.org/10.3390/fluids9100221
Gryczak DW, Lenzi EK, Rosseto MP, Evangelista LR, da Silva LR, Lenzi MK, Zola RS. Anomalous Diffusion and Non-Markovian Reaction of Particles near an Adsorbing Colloidal Particle. Fluids. 2024; 9(10):221. https://doi.org/10.3390/fluids9100221
Chicago/Turabian StyleGryczak, Derik W., Ervin K. Lenzi, Michely P. Rosseto, Luiz R. Evangelista, Luciano R. da Silva, Marcelo K. Lenzi, and Rafael S. Zola. 2024. "Anomalous Diffusion and Non-Markovian Reaction of Particles near an Adsorbing Colloidal Particle" Fluids 9, no. 10: 221. https://doi.org/10.3390/fluids9100221
APA StyleGryczak, D. W., Lenzi, E. K., Rosseto, M. P., Evangelista, L. R., da Silva, L. R., Lenzi, M. K., & Zola, R. S. (2024). Anomalous Diffusion and Non-Markovian Reaction of Particles near an Adsorbing Colloidal Particle. Fluids, 9(10), 221. https://doi.org/10.3390/fluids9100221

