The Asymptotic Structure of Canonical Wall-Bounded Turbulent Flows
Abstract
1. Introduction
2. The Probabilistic Velocity Model
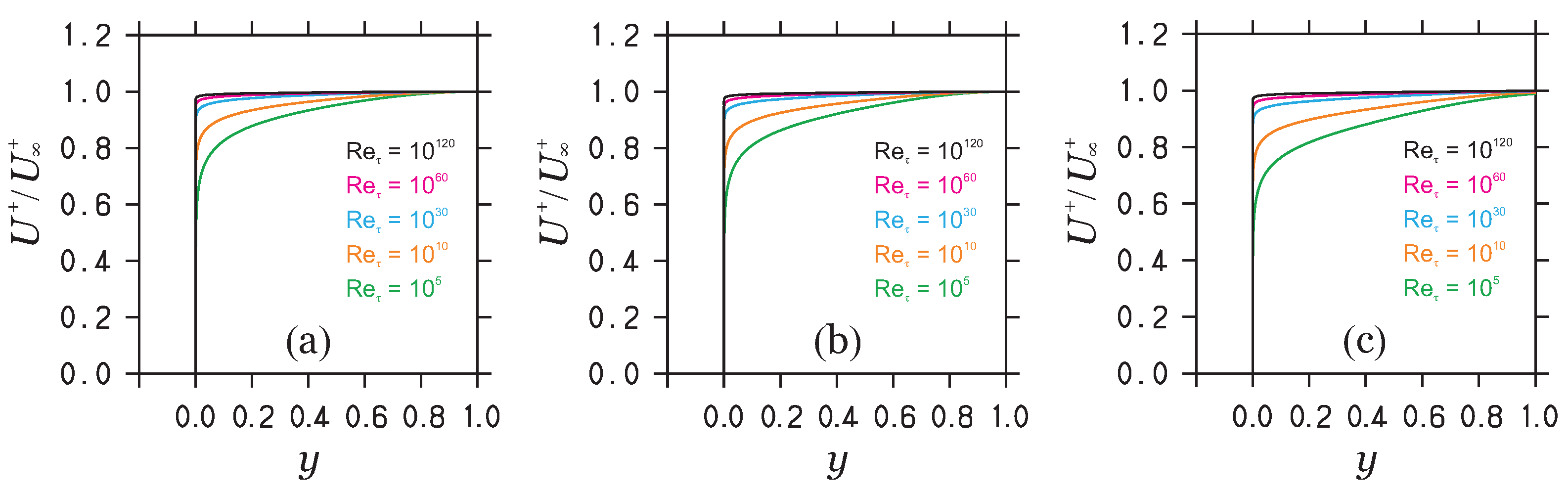
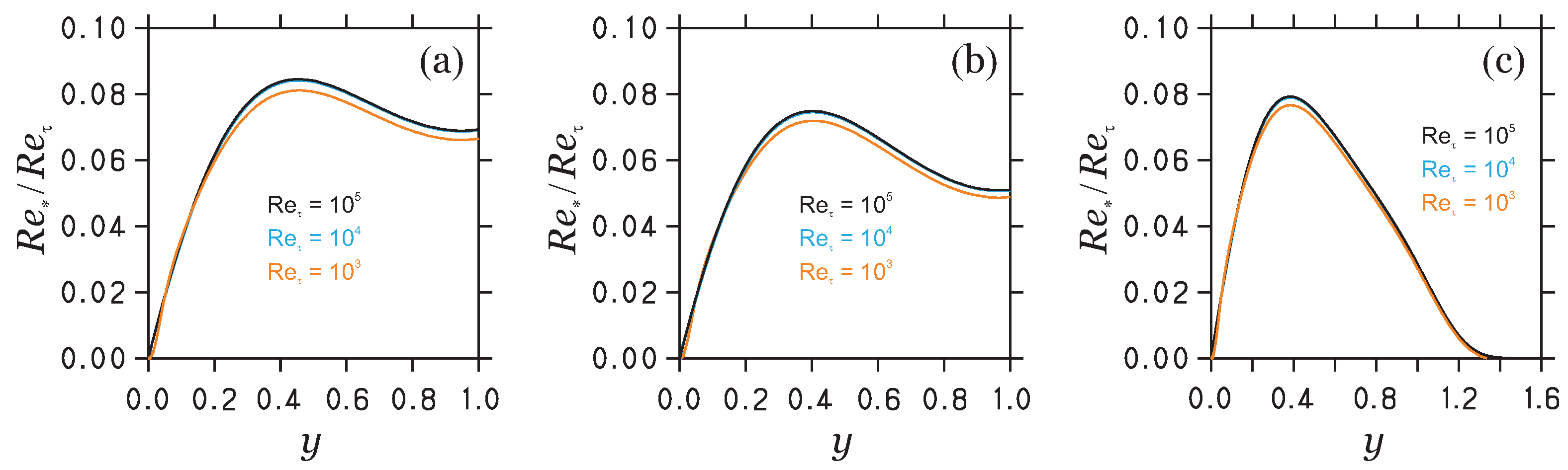
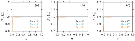
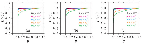
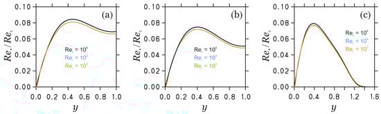
3. Outer Scaling Implications
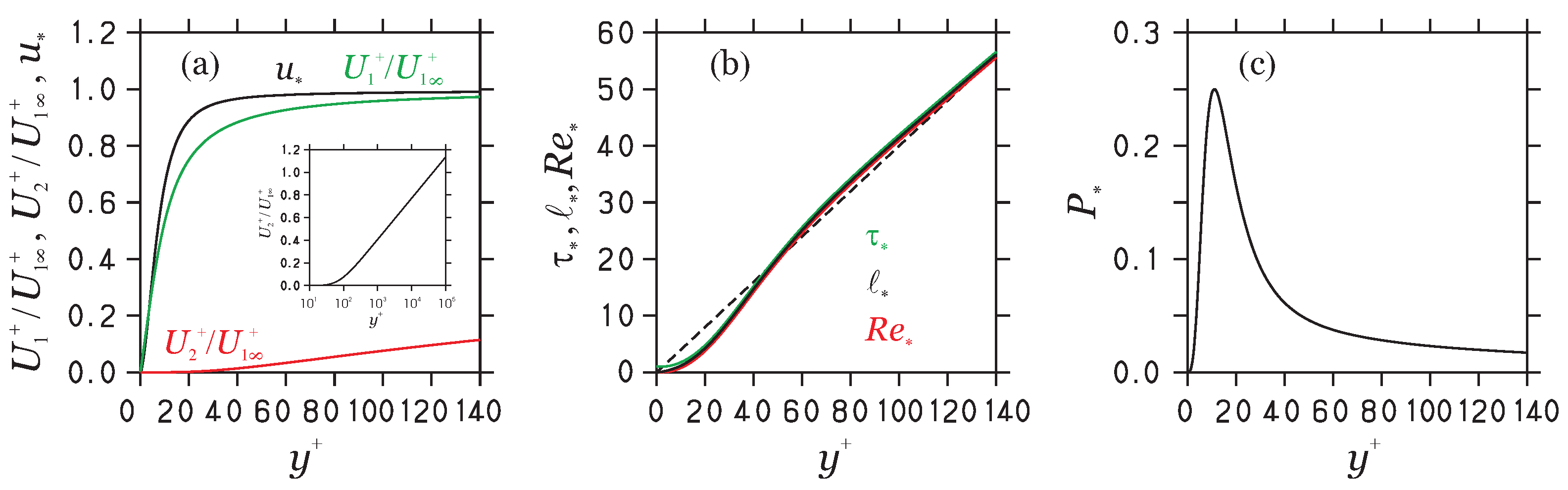
4. Inner Scaling Implications
5. Summary
- DNS and experimental studies are supposed to provide essential contributions to the validation of simpler computational methods. Unfortunately, such studies suffer significantly from the uncertainty of their predictions for high [6,7,8,12]. The results reported here are, therefore, essential to understand the requirements for accurate DNS and experimental studies.
- One of the basic problems of turbulence modeling is the uncertainty of the scale ( or ) equation: existing equations are considered to have a rather weak theoretical basis. Similar to recent work [21], the distributions of turbulence variables determined here can be used for the validation or improvements of scale equations.
- The existence and structure of asymptotically stable turbulence regimes is debated in regard to many turbulent flows (e.g., for complex hump-type flows involving flow separation [19,20]). The identification of asymptotic regimes as reported here matters to such discussions. The latter provides insight into values needed to observe asymptotic regimes, and insight of which mean velocity and turbulence structures enable asymptotically stable turbulent flows.
Funding
Data Availability Statement
Conflicts of Interest
References
- von Kármán, T. Mechanische Ähnlichkeit und Turbulenz [Mechanical similitude and turbulence]. In Nachrichten der Akademie der Wissenschaften Göttingen, Mathematisch-Physikalische Klasse; Technical Memorandum N611; National Advisory Committee for Aeronautics: Washington, DC, USA, 1931; pp. 58–76. [Google Scholar]
- Marusic, I.; McKeon, B.J.; Monkewitz, P.A.; Nagib, H.M.; Smits, A.J.; Sreenivasan, K.R. Wall-bounded turbulent flows at high Reynolds numbers: Recent advances and key issues. Phys. Fluids 2010, 22, 65103. [Google Scholar] [CrossRef]
- Smits, A.J.; McKeon, B.J.; Marusic, I. High-Reynolds number wall turbulence. Annu. Rev. Fluid Mech. 2011, 43, 353–375. [Google Scholar] [CrossRef]
- Jiménez, J. Near-wall turbulence. Phys. Fluids 2013, 25, 101302. [Google Scholar] [CrossRef]
- Luchini, P. Universality of the turbulent velocity profile. Phys. Rev. Lett. 2017, 118, 224501. [Google Scholar] [CrossRef]
- Heinz, S. On mean flow universality of turbulent wall flows. I. High Reynolds number flow analysis. J. Turbul. 2018, 19, 929–958. [Google Scholar] [CrossRef]
- Heinz, S. On mean flow universality of turbulent wall flows. II. Asymptotic flow analysis. J. Turbul. 2019, 20, 174–193. [Google Scholar] [CrossRef]
- Cantwell, B.J. A universal velocity profile for smooth wall pipe flow. J. Fluid Mech. 2019, 878, 834–874. [Google Scholar] [CrossRef]
- Subrahmanyam, M.A.; Cantwell, B.J.; Alonso, J.J. A universal velocity profile for turbulent wall flows including adverse pressure gradient boundary layers. J. Fluid Mech. 2022, 933, A16. [Google Scholar] [CrossRef]
- Monkewitz, P.A. Revisiting the quest for a universal log-law and the role of pressure gradient in “canonical” wall-bounded turbulent flows. Phys. Rev. Fluids 2017, 2, 94602. [Google Scholar] [CrossRef]
- Monkewitz, P.A. The late start of the mean velocity overlap log law at–a generic feature of turbulent wall layers in ducts. J. Fluid Mech. 2021, 910, A45. [Google Scholar] [CrossRef]
- Monkewitz, P.A.; Nagib, H.M. The hunt for the Kármán ‘constant’ revisited. J. Fluid Mech. 2023, 967, A15. [Google Scholar] [CrossRef]
- Pirozzoli, S.; Smits, A.J. Outer-layer universality of the mean velocity profile in turbulent wall-bounded flows. Phys. Rev. Fluids 2023, 8, 64607. [Google Scholar] [CrossRef]
- Chen, X.; Sreenivasan, K.R. Reynolds number asymptotics of wall-turbulence fluctuations. J. Fluid Mech. 2023, 976, A21. [Google Scholar] [CrossRef]
- Pope, S.B. Turbulent Flows; Cambridge University Press: Cambridge, UK, 2000. [Google Scholar]
- Heinz, S. From Two-Equation Turbulence Models to Minimal Error Resolving Simulation Methods for Complex Turbulent Flows. Fluids 2022, 7, 368. [Google Scholar] [CrossRef]
- Heinz, S. Minimal error partially resolving simulation methods for turbulent flows: A dynamic machine learning approach. Phys. Fluids 2022, 34, 51705. [Google Scholar] [CrossRef]
- Heinz, S. The Continuous Eddy Simulation Capability of Velocity and Scalar Probability Density Function Equations for Turbulent Flows. Phys. Fluids 2021, 33, 25107. [Google Scholar] [CrossRef]
- Heinz, S. A review of hybrid RANS-LES methods for turbulent flows: Concepts and applications. Prog. Aerosp. Sci. 2020, 114, 100597. [Google Scholar] [CrossRef]
- Heinz, S.; Mokhtarpoor, R.; Stoellinger, M.K. Theory-Based Reynolds-Averaged Navier-Stokes Equations with Large Eddy Simulation Capability for Separated Turbulent Flow Simulations. Phys. Fluids 2020, 32, 65102. [Google Scholar] [CrossRef]
- Plaut, E.; Heinz, S. Exact eddy-viscosity equation for turbulent wall flows—Implications for computational fluid dynamics models. AIAA J. 2022, 60, 1347–1364. [Google Scholar] [CrossRef]
- Heinz, S.; Heinz, J.; Brant, J.A. Mass Transport in Membrane Systems: Flow Regime Identification by Fourier Analysis. Fluids 2022, 7, 369. [Google Scholar] [CrossRef]
- Kollmann, W. Asymptotic properties of mixing length closures for turbulent pipe flow. Phys. Fluids 2020, 32, 115126. [Google Scholar] [CrossRef]
- Pullin, D.I.; Inoue, M.; Saito, N. On the asymptotic state of high Reynolds number, smooth-wall turbulent flows. Phys. Fluids 2013, 25, 15116. [Google Scholar] [CrossRef]
- Abramowitz, M.; Stegun, I.A. Pocketbook of Mathematical Functions–Abridged Edition of Handbook of Mathematical Functions; JSTOR: New York, NY, USA, 1988. [Google Scholar]
- Lee, M.; Moser, R.D. Direct numerical simulation of turbulent channel flow up to Reτ=5200. J. Fluid Mech. 2015, 774, 395–415. [Google Scholar] [CrossRef]
- 2016. Available online: http://turbulence.ices.utexas.edu (accessed on 1 January 2016).
- Chin, C.; Monty, J.P.; Ooi, A. Reynolds number effects in DNS of pipe flow and comparison with channels and boundary layers. Internat. J. Heat Fluid Flow 2014, 45, 33–40. [Google Scholar] [CrossRef]
- Sillero, J.A.; Jiménez, J.; Moser, R.D. One-point statistics for turbulent wall-bounded flows at Reynolds numbers up to δ+≈2000. Phys. Fluids 2013, 25, 105102. [Google Scholar] [CrossRef]
- 2016. Available online: http://torroja.dmt.upm.es/turbdata/blayers (accessed on 1 January 2016).
- Schultz, M.P.; Flack, K.A. Reynolds-number scaling of turbulent channel flow. Phys. Fluids 2013, 25, 25104. [Google Scholar] [CrossRef]
- Hultmark, M.; Vallikivi, M.; Bailey, S.C.C.; Smits, A.J. Logarithmic scaling of turbulence in smooth-and rough-wall pipe flow. J. Fluid Mech. 2013, 728, 376–395. [Google Scholar] [CrossRef]
- 2016. Available online: https://smits.princeton.edu/superpipe-turbulence-data (accessed on 1 January 2016).
- Vallikivi, M.; Hultmark, M.; Smits, A.J. Turbulent boundary layer statistics at very high Reynolds number. J. Fluid Mech. 2015, 779, 371–389. [Google Scholar] [CrossRef]
- Prandtl, L. Bericht über die Entstehung von Turbulenz. Z. Angew. Math. Mech. 1925, 5, 136–139. [Google Scholar] [CrossRef]
- Bradshaw, P. Possible origin of Prandt’s mixing-length theory. Nature 1974, 249, 135–136. [Google Scholar] [CrossRef]
- Egolf, P.W. Difference-quotient turbulence model: A generalization of Prandtl’s mixing-length theory. Phys. Rev. E 1994, 49, 1260. [Google Scholar] [CrossRef] [PubMed]
- Bodenschatz, E.; Eckert, M. Prandtl and the Göttingen school. In A Voyage Through Turbulence; Davidson, P.A., Kaneda, Y., Moffatt, K., Sreenivasan, K.R., Eds.; Cambridge University Press: Cambridge, UK, 2011; pp. 40–100. [Google Scholar]
- Örlü, R.; Fransson, J.H.M.; Alfredsson, P.H. On near wall measurements of wall bounded flows—The necessity of an accurate determination of the wall position. Prog. Aerosp. Sci. 2010, 46, 353–387. [Google Scholar] [CrossRef]
- Baumert, H.Z. Universal equations and constants of turbulent motion. Phys. Scr. 2013, 2013, 14001. [Google Scholar] [CrossRef]
- Ali, S.Z.; Dey, S. The law of the wall: A new perspective. Phys. Fluids 2020, 32, 121401. [Google Scholar] [CrossRef]








| • |
| • |
| • |
| • |
| • |
| • |
| Outer-Scale Variables | Inner-Scale Variables | |
|---|---|---|
| Scaling velocity and length | ||
| Reynolds number | ||
| Turbulence velocity scale | ||
| Turbulence time scale | ||
| Turbulence length scale | ||
| Turbulence |
Disclaimer/Publisher’s Note: The statements, opinions and data contained in all publications are solely those of the individual author(s) and contributor(s) and not of MDPI and/or the editor(s). MDPI and/or the editor(s) disclaim responsibility for any injury to people or property resulting from any ideas, methods, instructions or products referred to in the content. |
© 2024 by the author. Licensee MDPI, Basel, Switzerland. This article is an open access article distributed under the terms and conditions of the Creative Commons Attribution (CC BY) license (https://creativecommons.org/licenses/by/4.0/).
Share and Cite
Heinz, S. The Asymptotic Structure of Canonical Wall-Bounded Turbulent Flows. Fluids 2024, 9, 25. https://doi.org/10.3390/fluids9010025
Heinz S. The Asymptotic Structure of Canonical Wall-Bounded Turbulent Flows. Fluids. 2024; 9(1):25. https://doi.org/10.3390/fluids9010025
Chicago/Turabian StyleHeinz, Stefan. 2024. "The Asymptotic Structure of Canonical Wall-Bounded Turbulent Flows" Fluids 9, no. 1: 25. https://doi.org/10.3390/fluids9010025
APA StyleHeinz, S. (2024). The Asymptotic Structure of Canonical Wall-Bounded Turbulent Flows. Fluids, 9(1), 25. https://doi.org/10.3390/fluids9010025

