Two-Fluid Large-Eddy Simulation of Two-Phase Flow in Air-Sparged Hydrocyclone
Abstract
1. Introduction
2. Hydrocyclone Geometry and Computational Mesh
3. Governing Equations for Euler–Euler Model
4. Validation of Two-Phase Model
5. Results for ASH
5.1. Air Volume Fraction
5.2. Mean Velocity Field
5.3. Zero Axial Velocity (ZAV) and Mixture Density
5.4. Flow Angle
5.5. Turbulent Kinetic Energy
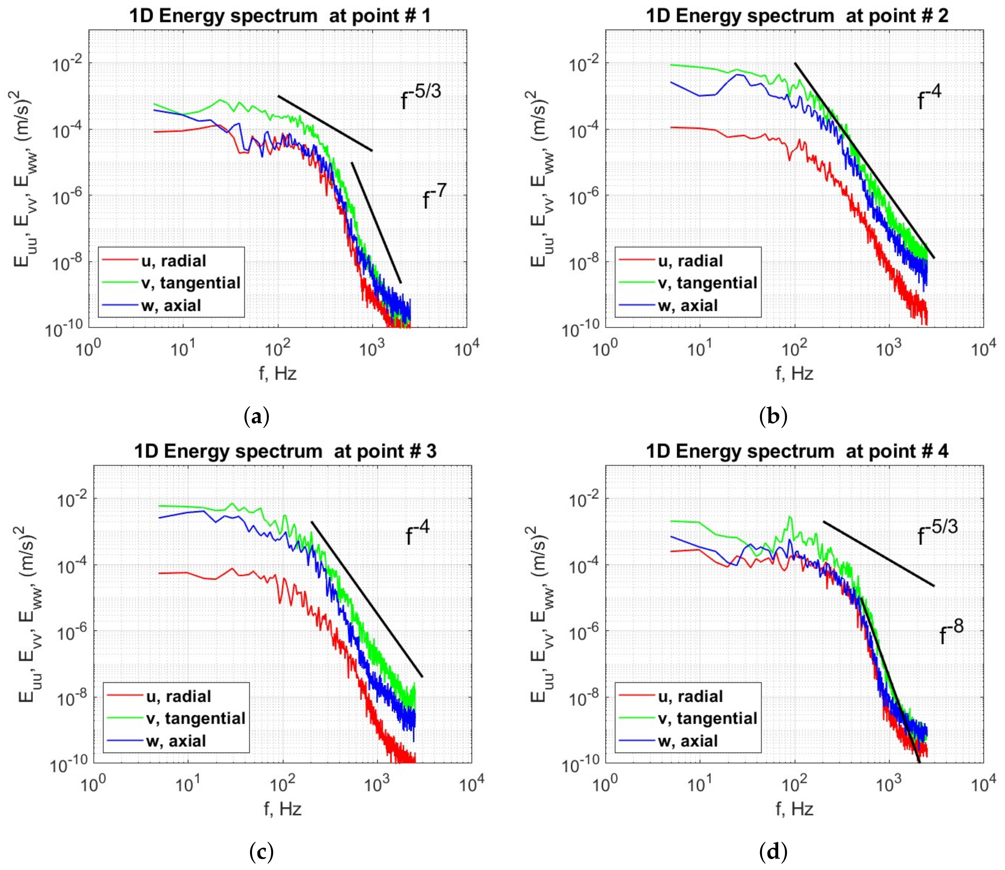
5.6. Instantaneous Velocity and Energy Spectra
5.7. Conclusions
Author Contributions
Funding
Data Availability Statement
Conflicts of Interest
Abbreviations
| ANSYS-CFX | High-performance computational fluid dynamics software |
| ASH | Air-sparged hydrocyclone |
| AVF | Air volume fraction |
| CFD | Computational fluid dynamics |
| CT | Computer tomography |
| LDA | Laser-Doppler anemometer |
| LES | Large-eddy simulation |
| TKE | Water turbulent kinetic energy |
| WTV | Water tangential velocity |
| WVF | Water volume fraction |
| ZAV | Zero axial velocity |
| Subgrid turbulence model constant | |
| f | Frequency |
| Gravitational acceleration. | |
| i | Index (i = 1) for water phase and (i = 2) for air phase |
| k | Wave number |
| Interfacial force on phase i due to the presence of other phases | |
| P | Filtered pressure field |
| r | Radial distance from hydrocyclone axis |
| Mass source of phase i | |
| Cartesian velocity components | |
| Filtered velocity vector of phase i | |
| Water superficial axial velocity | |
| Water superficial tangential velocity | |
| Cartesian coordinates | |
| Local volume fraction of phase i | |
| Local volume fraction of air | |
| Local volume fraction of water | |
| Water flow angle | |
| Filter width, function of cell size | |
| Kinematic viscosity of phase i | |
| Turbulent eddy viscosity | |
| Density of phase i | |
| Air density | |
| Water density | |
| Mixture density |
References
- Vakamalla, T.R.; Mangadoddy, N. Comprehensive dense slurry CFD model for performance evaluation of industrial hydrocyclones. Ind. Eng. Chem. Res. 2021, 60, 12403–12418. [Google Scholar] [CrossRef]
- Tailleur, R.G.; Peretti, A.G. Hydrocyclone settler (HCS) with internal hydrogen injection: Measure of internal circulation and separation efficiencies of a three-phase flow. Ind. Eng. Chem. Res. 2020, 59, 1261–1276. [Google Scholar] [CrossRef]
- Svarovsky, L. Hydrocyclones; Holt, Rinehart and Winston Ltd.: Austin, TX, USA, 1984. [Google Scholar]
- Wills, B.A.; Finch, J.A. Wills’ Mineral Processing Technology: An Introduction to the Practical Aspects of Ore Treatment and Mineral Recovery; Butterworth-Heinemann: Portsmouth, NH, USA, 2015. [Google Scholar]
- Bretney, E. Water Purifier. US Patent No. 453105, 26 May 1891. [Google Scholar]
- Banerjee, C.; Chaudhury, K.; Majumder, A.K.; Chakraborty, S. Swirling flow hydrodynamics in hydrocyclone. Ind. Eng. Chem. Res. 2015, 54, 522–528. [Google Scholar] [CrossRef]
- Chu, L.Y.; Luo, Q.; Yu, R.H. Concentration and classification characteristics in a modified air-sparged hydrocyclone (ASH). Int. J. Miner. Process. 1996, 48, 73–93. [Google Scholar] [CrossRef]
- Gonçalves, S.M.; Kyriakidis, Y.N.; Ullmann, G.; Barrozo, M.A.d.S.; Vieira, L.G.M. Design of an optimized hydrocyclone for high efficiency and low energy consumption. Ind. Eng. Chem. Res. 2020, 59, 16437–16449. [Google Scholar] [CrossRef]
- Ghodrat, M.; Kuang, S.B.; Yu, A.B.; Vince, A.; Barnett, G.D.; Barnett, P.J. Computational study of the multiphase flow and performance of hydrocyclones: Effects of cyclone size and spigot diameter. Ind. Eng. Chem. Res. 2013, 52, 16019–16031. [Google Scholar] [CrossRef]
- Fayed, H.; Bukhari, M.; Ragab, S.A. Large-eddy simulation of a hydrocyclone with an air core using two-fluid and volume-of-fluid models. Fluids 2021, 6, 364. [Google Scholar] [CrossRef]
- Monredon, T.C.; Hsieh, K.T.; Rajamani, R.K. Fluid flow model of the hydrocyclone: An investigation of device dimensions. Int. J. Miner. Process. 1992, 35, 65–83. [Google Scholar] [CrossRef]
- Hararah, M.A.; Endres, E.; Dueck, J.; Minkov, L.; Neesse, T. Flow conditions in the air core of the hydrocyclone. Miner. Eng. 2010, 23, 295–300. [Google Scholar] [CrossRef]
- Slack, M.D.; Del Porte, S.; Engelman, M.S. Designing automated computational fluid dynamics modelling tools for hydrocyclone design. Miner. Eng. 2004, 17, 705–711. [Google Scholar] [CrossRef]
- Lelinski, D.; Bokotko, R.; Hupka, J.; Miller, J.D. Bubble generation in swirl flow during air-sparged hydrocyclone flotation. Min. Metall. Explor. 1996, 13, 87–92. [Google Scholar] [CrossRef]
- Miller, J.D.; Upadrashta, K.R.; Kinneberg, D.J.; Gopalakrishnan, S. Fluid-flow phenomena in the air-sparged hydrocyclone. In Proceedings of the XVth International Minerals Processing Congress, Cannes, France, 2–9 June 1985; pp. 87–99. [Google Scholar]
- Miller, J.D. The Concept of an air-sparged hydrocyclone. In Proceedings of the 110 THAIM E Annual Meeting, Chicago, IL, USA, 22–26 February 1981; pp. 1–10. [Google Scholar]
- Miller, J.D. Air-Sparged Hydrocyclone and Method. US Patent No. 4279743, 21 July 1981. [Google Scholar]
- Van Camp, M.C. Development of the Air Sparged Hydrocyclone for Flotation in a Centrifugal Field. Ph.D. Thesis, Department of Metallurgy and Metallurgical Engineering, University of Utah, Salt Lake City, UT, USA, 1981. [Google Scholar]
- Yalamanchili, M.R.; Miller, J.D. Removal of insoluble slimes from potash ore by air-sparged hydrocyclone flotation. Miner. Eng. 1995, 8, 169–177. [Google Scholar] [CrossRef]
- Miller, J.D.; YE, Y. Froth characteristics in air-sparged hydrocyclone flotation. Miner. Process. Extr. Metall. Rev. 1989, 5, 307–327. [Google Scholar] [CrossRef]
- Miller, J.D.; Das, A. Swirl flow characteristics and froth phase features in air-sparged hydrocyclone flotation as revealed by X-ray CT analysis. Int. J. Miner. Process. 1996, 47, 251–274. [Google Scholar]
- Gopalakrishnan, S. Development of the Air-Sparged Hydrocyclone for Froth Flotation in a Centrifugal Field. Ph.D. Thesis, The University of Utah, Salt Lake City, UT, USA, 1991. [Google Scholar]
- Van Deventer, J.; Burger, A.; Cloete, F. Intensification of flotation with an air-sparged hydrocyclone. J. S. Afr. Inst. Min. Metall. 1988, 88, 325–332. [Google Scholar]
- Baker, M.W.; Gopalakrishnan, S.; Rogovin, Z.; Miller, J.D. Hold-up volume and mean residence time measurements in the air-sparged hydrocyclone. Part. Sci. Technol. 1987, 5, 409–420. [Google Scholar] [CrossRef]
- Miller, J.D.; Das, A. Flow phenomena and its impact on air-sparged hydrocyclone flotation of quartz. Min. Metall. Explor. 1995, 12, 51–63. [Google Scholar] [CrossRef]
- Wang, B.; Chu, K.W.; Yu, A.B. Numerical study of particle- fluid flow in a hydrocyclone. Ind. Eng. Chem. Res. 2007, 46, 4695–4705. [Google Scholar] [CrossRef]
- Xu, Y.; Song, X.; Sun, Z.; Lu, G.; Li, P.; Yu, J. Simulation analysis of multiphase flow and performance of hydrocyclones at different atmospheric pressures. Ind. Eng. Chem. Res. 2012, 51, 443–453. [Google Scholar] [CrossRef]
- Xu, Y.; Song, X.; Sun, Z.; Tang, B.; Li, P.; Yu, J. Numerical investigation of the effect of the ratio of the vortex-finder diameter to the spigot diameter on the steady state of the air core in a hydrocyclone. Ind. Eng. Chem. Res. 2013, 52, 5470–5478. [Google Scholar] [CrossRef]
- Germano, M.; Piomelli, U.; Moin, P.; Cabot, W.H. A dynamic subgrid-scale eddy viscosity model. Phys. Fluids A 1991, 3, 1760–1765. [Google Scholar] [CrossRef]
- Clift, R.; Grace, J.R.; Weber, M.E. Bubbles, Drops and Particles; Dover Publications: Mineola, NY, USA, 2005. [Google Scholar]
- Hsieh, K.T.; Rajamani, K. Phenomenological Model of The Hydrocyclone: Model Development and Verification for Single-Phase Flow. Int. J. Miner. Process. 1988, 22, 223–237. [Google Scholar] [CrossRef]
- Hsieh, K.T. Phenomenological Model of the Hydrocyclone. Ph.D. Thesis, University of Utah, Salt Lake City, UT, USA, 1988. [Google Scholar]
- Welch, P. The use of fast Fourier transform for the estimation of power spectra: A method based on time averaging over short, modified periodograms. IEEE Trans. Audio Electroacoust. 1967, 15, 70–73. [Google Scholar] [CrossRef]
- Lesieur, M. Turbulence in Fluids; Springer: Dordrecht, The Netherlands, 2008. [Google Scholar]
- Saffman, P.G. On the spectrum and decay of random two-dimensional vorticity distributions at large Reynolds number. Stud. Appl. Math. 1971, 50, 377–383. [Google Scholar] [CrossRef]
- Herring, J.R.; Orszag, S.A.; Kraichnan, R.H.; Fox, D.G. Decay of two-dimensional homogeneous turbulence. J. Fluid Mech. 1974, 66, 417–444. [Google Scholar] [CrossRef]


















| Under-Flow Pressure (kPa) | 3 | 4 | 5 | 6 |
|---|---|---|---|---|
| 2.64 | 8.09 | 13.13 | 13.92 | |
| 7.52 | 11.68 | 12.95 | 13.33 | |
| 12.05 | 13.38 | 14.01 | 14.31 | |
| 14.05 | 14.77 | 15.46 | 15.79 |
| kPa | Split Ratio |
|---|---|
| 3 | 5.71 |
| 4 | 8.96 |
| 5 | 15.9 |
| 6 | 26.0 |
| Under-Flow Pressure (kPa) | 3 | 4 | 5 | 6 |
|---|---|---|---|---|
| , | 21.49 | 16.04 | 11.00 | 10.21 |
| , | 16.61 | 12.45 | 11.18 | 10.8 |
| , | 12.08 | 10.75 | 10.12 | 9.82 |
| , | 10.08 | 9.36 | 8.67 | 8.34 |
Disclaimer/Publisher’s Note: The statements, opinions and data contained in all publications are solely those of the individual author(s) and contributor(s) and not of MDPI and/or the editor(s). MDPI and/or the editor(s) disclaim responsibility for any injury to people or property resulting from any ideas, methods, instructions or products referred to in the content. |
© 2023 by the authors. Licensee MDPI, Basel, Switzerland. This article is an open access article distributed under the terms and conditions of the Creative Commons Attribution (CC BY) license (https://creativecommons.org/licenses/by/4.0/).
Share and Cite
Bukhari, M.; Fayed, H.; Ragab, S. Two-Fluid Large-Eddy Simulation of Two-Phase Flow in Air-Sparged Hydrocyclone. Fluids 2023, 8, 139. https://doi.org/10.3390/fluids8050139
Bukhari M, Fayed H, Ragab S. Two-Fluid Large-Eddy Simulation of Two-Phase Flow in Air-Sparged Hydrocyclone. Fluids. 2023; 8(5):139. https://doi.org/10.3390/fluids8050139
Chicago/Turabian StyleBukhari, Mustafa, Hassan Fayed, and Saad Ragab. 2023. "Two-Fluid Large-Eddy Simulation of Two-Phase Flow in Air-Sparged Hydrocyclone" Fluids 8, no. 5: 139. https://doi.org/10.3390/fluids8050139
APA StyleBukhari, M., Fayed, H., & Ragab, S. (2023). Two-Fluid Large-Eddy Simulation of Two-Phase Flow in Air-Sparged Hydrocyclone. Fluids, 8(5), 139. https://doi.org/10.3390/fluids8050139

