Thin Film Evaporation Modeling of the Liquid Microlayer Region in a Dewetting Water Bubble
Abstract
1. Introduction
- Develop a new thin film solution methodology that alleviates guessed boundary conditions by starting the solution at the thicker region of the film and proceeding in the direction of reducing film thickness.
- Predict the evaporation mass flux in the microlayer.
- Estimate the accommodation coefficient and explore its dependence.
- Investigate the effect of simplifying assumptions, such as slip velocity and constant/variable wall temperature.
2. Background
2.1. The Bulk Region
2.2. The Adsorbed Region
2.3. The Thin/Transition Film Region
2.4. Augmented Young–Laplace
2.5. Kinetic Theory of Phase Change
3. Methodology
3.1. Experimental Data
3.2. Mathematical Model
- The working fluid is a pure single component liquid with no disolved gas.
- Fluid flow is assumed to be uni-directional, along the wall in the negative r direction, and there is no liquid flow in the direction.
- The vapor temperature is assumed to be constant.
- The wall is smooth and chemically neutral.
3.2.1. Force Balance
3.2.2. Thin-Film Evolution
3.2.3. Energy Conservation
3.2.4. Momentum Conservation
3.2.5. Pressure Gradients
3.3. Numerical Model
4. Results and Discussion
4.1. Baseline Result
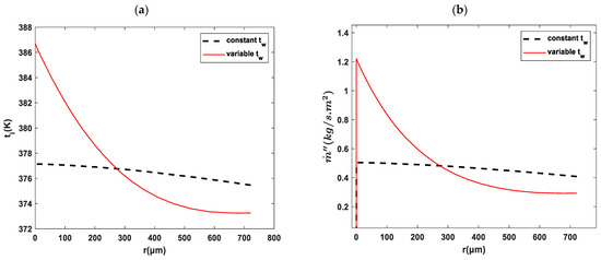
4.2. Effect of Wall Temperature
4.3. Effect of Slip Velocity
4.4. Effect of Disjoining Pressure
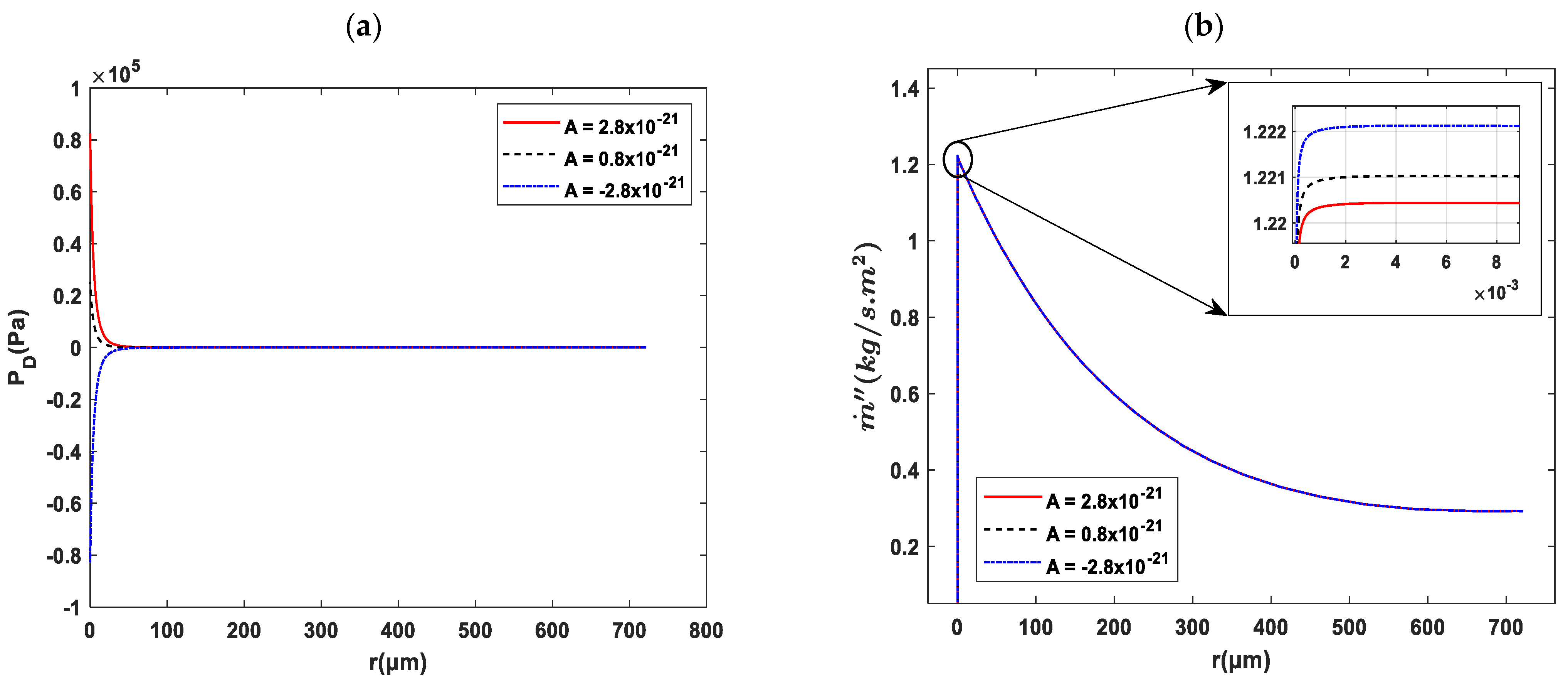
4.5. Effect of Dispersion Constant
4.6. Effect of Accommodation Coefficient
4.7. Effect of Time Step
4.8. Net Evaporation Rate of the Microlayer
5. Conclusions
- Starting with experimentally measurable initial conditions in the bulk region removes the need to guess or tune boundary conditions at the adsorbed film, as performed in prior studies. Consequently, the film thickness and derivatives in the adsorbed film become outputs of the model rather than guessed inputs.
- A constant wall temperature boundary suppresses the evaporation non-uniformity and shifts the mass flux profiles toward the thicker film. On the other hand, a variable wall temperature allows for a sharper peak in evaporation flux in the thin film vicinity.
- Applying the slip velocity condition in the model led to a higher mass flow rate, allowing more bulk liquid flow under the bubble compared to a no slip boundary.
- The value of the accommodation coefficient affects the peak magnitude of evaporative mass flux significantly. By comparing the experimentally measured spatiotemporally resolved heat flux measurements with the results from the model, the accommodation coefficient could be estimated. The results show that the accommodation coefficient most likely reduces with time as the microlayer evolves. It is likely that this systemic variation in the accommodation coefficient is due to either the accumulation of impurities [43] or an increase in surface interface temperature with time [45]. Future investigations on spatio-temporal variation in accommodation coefficient are recommended.
Author Contributions
Funding
Data Availability Statement
Acknowledgments
Conflicts of Interest
Nomenclature
| List of symbols | |||
| Dispersion constant () | Velocity of thin film () | ||
| Specific heat () | Molar volume ( ) | ||
| Microlayer thickness () | Greek symbols | ||
| Film thickness () | Accommodation coefficient (-) | ||
| Film thickness derivatives (-) | Dynamic viscosity ( ) | ||
| Latent heat () | Mass density () | ||
| Surface curvature () | Wavelength () | ||
| Boltzmann’s constant () | Slope of surface tension against temperature ( ) | ||
| Thermal conductivity () | Surface tension ( ) | ||
| Molar mass () | Refraction angle (°) | ||
| Evaporation mass flux ( ) | Subscripts | ||
| Refractive index (-) | c | Capillary | |
| Pressure () | Disjoining | ||
| Heat flux () | Interfacial | ||
| Radius () | Liquid | ||
| Universal gas constant ( ) | Vapor | ||
| Temperature () | Wall | ||
References
- Polansky, J. Numerical Model of an Evaporating Thin Film. Ph.D. Thesis, Carleton University, Ottawa, ON, Canada, 2011. [Google Scholar]
- Sodtke, C.; Kern, J.; Schweizer, N.; Stephan, P. High Resolution Measurements of Wall Temperature Distribution underneath a Single Vapour Bubble under Low Gravity Conditions. Int. J. Heat Mass Transf. 2006, 49, 1100–1106. [Google Scholar] [CrossRef]
- Hu, C.; Pei, Z.; Shi, L.; Tang, D.; Bai, M. Phase Transition Properties of Thin Liquid Films with Various Thickness on Different Wettability Surfaces. Int. Commun. Heat Mass Transf. 2022, 135, 106125. [Google Scholar] [CrossRef]
- Matin, M.H.; Moghaddam, S. Thin Liquid Films Formation and Evaporation Mechanisms around Elongated Bubbles in Rectangular Cross-Section Microchannels. Int. J. Heat Mass Transf. 2020, 163, 120474. [Google Scholar] [CrossRef]
- Ahmed, S.; Pandey, M. New Insights on Modeling of Evaporation Phenomena in Thin Films. Phys. Fluids 2019, 31, 092001. [Google Scholar] [CrossRef]
- Akkuş, Y.; Dursunkaya, Z. A New Approach to Thin Film Evaporation Modeling. Int. J. Heat Mass Transf. 2016, 101, 742–748. [Google Scholar] [CrossRef]
- Dwivedi, R.; Pati, S.; Singh, P.K. Combined Effects of Wall Slip and Nanofluid on Interfacial Transport from a Thin-Film Evaporating Meniscus in a Microfluidic Channel. Microfluid. Nanofluid. 2020, 24, 84. [Google Scholar] [CrossRef]
- Wang, H.; Pan, Z.; Chen, Z. Thin-Liquid-Film Evaporation at Contact Line. Front. Energy Power Eng. China 2009, 3, 141–151. [Google Scholar] [CrossRef]
- Zheng, Z.; Zhou, L.; Du, X.; Yang, Y. Numerical Investigation on Conjugate Heat Transfer of Evaporating Thin Film in a Sessile Droplet. Int. J. Heat Mass Transf. 2016, 101, 10–19. [Google Scholar] [CrossRef]
- Wee, S.-K.; Kihm, K.D.; Hallinan, K.P. Effects of the Liquid Polarity and the Wall Slip on the Heat and Mass Transport Characteristics of the Micro-Scale Evaporating Transition Film. Int. J. Heat Mass Transf. 2005, 48, 265–278. [Google Scholar] [CrossRef]
- Bellur, K.; Médici, E.F.; Choi, C.K.; Hermanson, J.C.; Allen, J.S. Multiscale Approach to Model Steady Meniscus Evaporation in a Wetting Fluid. Phys. Rev. Fluids 2020, 5, 024001. [Google Scholar] [CrossRef]
- Ball, G. Numerical Analysis of the Heat Transfer Characteristics within an Evaporating Meniscus. Ph.D. Thesis, Carleton University, Ottawa, ON, Canada, 2012. [Google Scholar]
- Kou, Z.-H.; Lv, H.-T.; Zeng, W.; Bai, M.-L.; Lv, J.-Z. Comparison of Different Analytical Models for Heat and Mass Transfer Characteristics of an Evaporating Meniscus in a Micro-Channel. Int. Commun. Heat Mass Transf. 2015, 63, 49–53. [Google Scholar] [CrossRef]
- Park, K.; Lee, K.-S. Flow and Heat Transfer Characteristics of the Evaporating Extended Meniscus in a Micro-Capillary Channel. Int. J. Heat Mass Transf. 2003, 46, 4587–4594. [Google Scholar] [CrossRef]
- Park, K.; Noh, K.-J.; Lee, K.-S. Transport Phenomena in the Thin-Film Region of a Micro-Channel. Int. J. Heat Mass Transf. 2003, 46, 2381–2388. [Google Scholar] [CrossRef]
- Wayner, P.C., Jr.; Kao, Y.K.; LaCroix, L.V. The Interline Heat-Transfer Coefficient of an Evaporating Wetting Film. Int. J. Heat Mass Transf. 1976, 19, 487–492. [Google Scholar] [CrossRef]
- Wayner, P.C., Jr. Intermolecular Forces in Phase-Change Heat Transfer: 1998 Kern Award Review. AIChE J. 1999, 45, 2055–2068. [Google Scholar] [CrossRef]
- Chatterjee, A.; Plawsky, J.L.; Wayner, P.C., Jr. Disjoining Pressure and Capillarity in the Constrained Vapor Bubble Heat Transfer System. Adv. Colloid Interface Sci. 2011, 168, 40–49. [Google Scholar] [CrossRef]
- Khurshid, I.; Al-Shalabi, E.W. New Insights into Modeling Disjoining Pressure and Wettability Alteration by Engineered Water: Surface Complexation Based Rock Composition Study. J. Pet. Sci. Eng. 2022, 208, 109584. [Google Scholar] [CrossRef]
- Do, K.H.; Kim, S.J.; Garimella, S.V. A Mathematical Model for Analyzing the Thermal Characteristics of a Flat Micro Heat Pipe with a Grooved Wick. Int. J. Heat Mass Transf. 2008, 51, 4637–4650. [Google Scholar] [CrossRef]
- Zhao, J.-J.; Duan, Y.-Y.; Wang, X.-D.; Wang, B.-X. Effects of Superheat and Temperature-Dependent Thermophysical Properties on Evaporating Thin Liquid Films in Microchannels. Int. J. Heat Mass Transf. 2011, 54, 1259–1267. [Google Scholar] [CrossRef]
- Azarkish, H.; Behzadmehr, A.; Frechette, L.G.; Sheikholeslami, T.F.; Sarvari, S.M.H. A Modified Disjoining Pressure Model for Thin Film Evaporation of Water. In Proceedings of the ASME International Mechanical Engineering Congress and Exposition, San Diego, CA, USA, 15–21 November 2013; American Society of Mechanical Engineers: New York, NY, USA; Volume 56321, p. V07BT08A007. [Google Scholar]
- Holm, F.W.; Goplen, S.P. Heat Transfer in the Meniscus Thin-Film Transition Region. J. Heat Transf. 1979, 101, 543–547. [Google Scholar] [CrossRef]
- Wayner, P.C., Jr. The Effect of Interfacial Mass Transport on Flow in Thin Liquid Films. Colloids Surf. 1991, 52, 71–84. [Google Scholar] [CrossRef]
- Akkus, Y.; Gurer, A.T.; Bellur, K. Drifting Mass Accommodation Coefficients: In Situ Measurements from a Steady State Molecular Dynamics Setup. Nanoscale Microscale Thermophys. Eng. 2021, 25, 25–45. [Google Scholar] [CrossRef]
- Bellur, K.S. A New Technique to Determine Accommodation Coefficients of Cryogenic Propellants. Ph.D. Thesis, Michigan Technological University, Houghton, MI, USA, 2018. [Google Scholar]
- Carey, V.P. Liquid-Vapor Phase-Change Phenomena: An Introduction to the Thermophysics of Vaporization and Condensation Processes in Heat Transfer Equipment; CRC Press: Boca Raton, FL, USA, 2020. [Google Scholar]
- Hertz, H. Ueber die Verdunstung der Flüssigkeiten, Insbesondere des Quecksilbers, im Luftleeren Raume. Ann. Phys. 1882, 253, 177–193. [Google Scholar] [CrossRef]
- Knudsen, M. The Kinetic Theory of Gases: Some Modern Aspects; Methuen & Company Limited: London, UK, 1934. [Google Scholar]
- Marek, R.; Straub, J. Analysis of the Evaporation Coefficient and the Condensation Coefficient of Water. Int. J. Heat Mass Transf. 2001, 44, 39–53. [Google Scholar] [CrossRef]
- Schrage, R.W. A Theoretical Study of Interphase Mass Transfer. In A Theoretical Study of Interphase Mass Transfer; Columbia University Press: New York, NY, USA, 1953. [Google Scholar]
- Bellur, K.; Médici, E.F.; Kulshreshtha, M.; Konduru, V.; Tyrewala, D.; Tamilarasan, A.; McQuillen, J.; Leão, J.B.; Hussey, D.S.; Jacobson, D.L. A New Experiment for Investigating Evaporation and Condensation of Cryogenic Propellants. Cryogenics 2016, 74, 131–137. [Google Scholar] [CrossRef]
- Jung, S.; Kim, H. An Experimental Method to Simultaneously Measure the Dynamics and Heat Transfer Associated with a Single Bubble during Nucleate Boiling on a Horizontal Surface. Int. J. Heat Mass Transf. 2014, 73, 365–375. [Google Scholar] [CrossRef]
- Jung, S.; Kim, H. An Experimental Study on Heat Transfer Mechanisms in the Microlayer Using Integrated Total Reflection, Laser Interferometry and Infrared Thermometry Technique. Heat Transf. Eng. 2015, 36, 1002–1012. [Google Scholar] [CrossRef]
- Giustini, G.; Jung, S.; Kim, H.; Ardron, K.H.; Walker, S.P. Microlayer Evaporation during Steam Bubble Growth. Int. J. Therm. Sci. 2019, 137, 45–54. [Google Scholar] [CrossRef]
- DasGupta, S.; Schonberg, J.A.; Wayner, P.C., Jr. Investigation of an Evaporating Extended Meniscus Based on the Augmented Young–Laplace Equation. J. Heat Transf. 1993, 115, 201–208. [Google Scholar] [CrossRef]
- Adamson, A.W.; Gast, A.P. Physical Chemistry of Surfaces; Interscience Publishers: New York, NY, USA, 1967; Volume 150. [Google Scholar]
- Li, J.; Yang, Z.; Duan, Y. Numerical Simulation of Single Bubble Growth and Heat Transfer Considering Multi-Parameter Influ-ence during Nucleate Pool Boiling of Water. AIP Adv. 2021, 11, 125207. [Google Scholar] [CrossRef]
- Liu, Y.; Xing, Y.; Yang, C.; Li, C.; Xue, C. Simulation of Heat Transfer in the Progress of Precision Glass Molding with a Finite Element Method for Chalcogenide Glass. Appl. Opt. 2019, 58, 7311–7318. [Google Scholar] [CrossRef] [PubMed]
- Du, S.-Y.; Zhao, Y.-H. Numerical Study of Conjugated Heat Transfer in Evaporating Thin-Films near the Contact Line. Int. J. Heat Mass Transf. 2012, 55, 61–68. [Google Scholar] [CrossRef]
- Emelyanenko, K.A.; Emelyanenko, A.M.; Boinovich, L.B. Disjoining Pressure Analysis of the Lubricant Nanofilm Stability of Liquid-Infused Surface upon Lubricant Depletion. J. Colloid Interface Sci. 2022, 618, 121–128. [Google Scholar] [CrossRef]
- Kaya, T.; Ball, G.; Polansky, J. Investigation of Particular Features of the Numerical Solution of an Evaporating Thin Film in a Channel. Front. Heat Mass Transf. 2013, 4, 013002. [Google Scholar] [CrossRef]
- Tecchio, C. Experimental Study of Boiling: Characterization of Near-Wall Phenomena and Bubble Dynamics. Ph.D. Thesis, Université Paris-Saclay, Paris, France, 2022. [Google Scholar]
- Bureš, L.; Sato, Y. Comprehensive Simulations of Boiling with a Resolved Microlayer: Validation and Sensitivity Study. J. Fluid Mech. 2022, 933, A54. [Google Scholar] [CrossRef]
- Nagayama, G.; Takematsu, M.; Mizuguchi, H.; Tsuruta, T. Molecular Dynamics Study on Condensation/Evaporation Coefficients of Chain Molecules at Liquid–Vapor Interface. J. Chem. Phys. 2015, 143, 014706. [Google Scholar] [CrossRef]


















| Study | Coordinate System | Radii of Curvature | Wall Boundary Condition | Start of Integration | Accommodation Coefficient |
|---|---|---|---|---|---|
| Akkuş and Dursunkaya, 2016 [6] | Cartesian | 1 | Constant | Bulk | 1 |
| Wang et al., 2009 [8] | Cartesian | 1 | Constant | Adsorbed | 1 |
| Ahmed and Pandey, 2019 [5] | Cartesian | 1 | Constant | Adsorbed | 1 |
| Dwivedi et al., 2020 [7] | Cartesian | 1 | Constant | Adsorbed | 1 |
| Wee et al., 2005 [10] | Cylindrical | 2 | Constant | Adsorbed | 1 |
| Zheng et al., 2016 [9] | Cartesian | 1 | Constant | Adsorbed | 1 |
| Current study | Cylindrical | 2 | Variable | Bulk | Estimated |
Disclaimer/Publisher’s Note: The statements, opinions and data contained in all publications are solely those of the individual author(s) and contributor(s) and not of MDPI and/or the editor(s). MDPI and/or the editor(s) disclaim responsibility for any injury to people or property resulting from any ideas, methods, instructions or products referred to in the content. |
© 2023 by the authors. Licensee MDPI, Basel, Switzerland. This article is an open access article distributed under the terms and conditions of the Creative Commons Attribution (CC BY) license (https://creativecommons.org/licenses/by/4.0/).
Share and Cite
Lakew, E.; Sarchami, A.; Giustini, G.; Kim, H.; Bellur, K. Thin Film Evaporation Modeling of the Liquid Microlayer Region in a Dewetting Water Bubble. Fluids 2023, 8, 126. https://doi.org/10.3390/fluids8040126
Lakew E, Sarchami A, Giustini G, Kim H, Bellur K. Thin Film Evaporation Modeling of the Liquid Microlayer Region in a Dewetting Water Bubble. Fluids. 2023; 8(4):126. https://doi.org/10.3390/fluids8040126
Chicago/Turabian StyleLakew, Ermiyas, Amirhosein Sarchami, Giovanni Giustini, Hyungdae Kim, and Kishan Bellur. 2023. "Thin Film Evaporation Modeling of the Liquid Microlayer Region in a Dewetting Water Bubble" Fluids 8, no. 4: 126. https://doi.org/10.3390/fluids8040126
APA StyleLakew, E., Sarchami, A., Giustini, G., Kim, H., & Bellur, K. (2023). Thin Film Evaporation Modeling of the Liquid Microlayer Region in a Dewetting Water Bubble. Fluids, 8(4), 126. https://doi.org/10.3390/fluids8040126

