Comparison of Mean Properties of Turbulent Pipe and Channel Flows at Low-to-Moderate Reynolds Numbers
Abstract
1. Introduction
2. Indirect Turbulence Model (ITM)
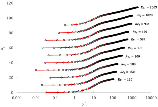
3. Channel VS Pipe
4. Findings and Conclusions
Author Contributions
Funding
Data Availability Statement
Acknowledgments
Conflicts of Interest
References
- Coleman, G.; Kim, J.; Moser, R. A numerical study of turbulent supersonic isothermal-wall channel flow. J. Fluid Mech. 1995, 305, 159–183. [Google Scholar] [CrossRef]
- Huang, P.; Coleman, G.; Bradshaw, P. Compressible turbulent channel flows: DNS results and modeling. J. Fluid Mech. 1995, 305, 185–218. [Google Scholar] [CrossRef]
- Foysi, H.; Sarkar, S.; Friedrich, R. Compressibility effects and turbulence scalings in supersonic channel flow. J. Fluid Mech. 2004, 509, 207–216. [Google Scholar] [CrossRef]
- Ghosh, S.; Foysi, H.; Friedrich, R. Compressible turbulent channel and pipe flow: Similarities and differences. J. Fluid Mech. 2010, 648, 155–181. [Google Scholar] [CrossRef]
- Li, X.-L.; Fu, D.-X.; Ma, Y.-W.; Liang, X. Direct numerical simulation of compressible turbulent flows. Acta Mech. Sin. 2010, 26, 795–806. [Google Scholar] [CrossRef]
- Zhang, Y.-S.; Bi, W.-T.; Hussain, F.; Li, X.-L.; She, Z.-S. Mach-number-invariant mean-velocity profile of compressible turbulent boundary layers. Phys. Rev. Lett. 2012, 109, 054502. [Google Scholar] [CrossRef]
- Modesti, D.; Pirozzoli, S. Reynolds and Mach number effects in compressible turbulent channel flow. Int. J. Heat Fluid Flow 2016, 59, 33–49. [Google Scholar] [CrossRef]
- Di Nucci, C.; Pasquali, D.; Celli, D.; Pasculli, A.; Fischione, P.; di Risio, M. Turbulent bulk viscosity. Eur. J. Mech. B Fluids 2020, 84, 446–454. [Google Scholar] [CrossRef]
- Di Nucci, C.; Celli, D.; Pasquali, D.; di Risio, M. New Dimensionless Number for the Transition from Viscous to Turbulent Flow. Fluids 2022, 7, 202. [Google Scholar] [CrossRef]
- Heinz, S. On mean flow universality of turbulent wall flows. I. High Reynolds number flow analysis. J. Turbul. 2019, 19, 929–958. [Google Scholar] [CrossRef]
- Absi, R.; di Nucci, C. On the accuracy of analytical methods for turbulent flows near smooth walls. C. R. Mec. 2012, 340, 641–645. [Google Scholar] [CrossRef]
- Di Nucci, C.; Fiorucci, F. Mean velocity profiles of fully-developed turbulent flows near smooth walls. C. R. Mec. 2011, 339, 388–395. [Google Scholar] [CrossRef]
- Absi, R. Eddy Viscosity and Velocity Profiles in Fully-Developed Turbulent Channel Flows. Fluid Dyn. 2019, 54, 137–147. [Google Scholar] [CrossRef]
- Smits, A.J.; Hultmark, M.; Lee, M.; Pirozzoli, S.; Wu, X. Reynolds stress scaling in the near-wall region of wall-bounded flows. J. Fluid Mech. 2021, 926, A31. [Google Scholar] [CrossRef]
- Patel, V.C.; Head, M.R. Some observations on skin friction and velocity profiles in fully developed pipe and channel flows. J. Fluid Mech. 1969, 38, 181–201. [Google Scholar] [CrossRef]
- Huffman, G.D.; Bradshaw, P. A note on von Karman’s constant in low Reynolds number turbulent flows. J. Fluid Mech. 1972, 53, 45–60. [Google Scholar] [CrossRef]
- Eggels, J.G.; Unger, F.; Weiss, M.H.; Westerweel, J.; Adrian, R.J.; Friedrich, R.; Nieuwstadt, F.T. Fully developed turbulent pipe flow: A comparison between direct numerical simulation and experiment. J. Fluid Mech. 1994, 268, 175–210. [Google Scholar] [CrossRef]
- Coles, D. The law of the wake in the turbulent boundary layer. J. Fluid Mech. 1956, 1, 191–226. [Google Scholar] [CrossRef]
- Guo, J.; Julien, P.Y. Modified log-wake law for turbulent flow in smooth pipes. J. Hydr. Res. 2003, 41, 493–501. [Google Scholar] [CrossRef]
- Guo, J. Eddy viscosity and complete log-law for turbulent pipe flow at high Reynolds numbers. J. Hydr. Res. 2017, 55, 27–39. [Google Scholar] [CrossRef]
- Monty, J.P.; Hutchins, N.; Ng, H.C.H.; Marusic, I.; Chong, M.S. A comparison of turbulent pipe, channel and boundary layer flows. J. Fluid Mech. 2009, 632, 431–442. [Google Scholar] [CrossRef]
- Hutchins, N.; Marusic, I. Large-scale influences in near-wall turbulence. Philos. Trans. R. Soc. Lond. A 2007, 365, 647–664. [Google Scholar] [CrossRef] [PubMed]
- Jiménez, J. Turbulent flows over rough walls. Annu. Rev. Fluid Mech. 2004, 36, 173–196. [Google Scholar] [CrossRef]
- Monty, J.P.; Stewart, J.A.; Williams, R.C.; Chong, M.S. Large-scale features in turbulent pipe and channel flows. J. Fluid Mech. 2007, 589, 147–156. [Google Scholar] [CrossRef]
- Lee, J.; Ahn, J.; Sung, H.J. Comparison of large-and very-large-scale motions in turbulent pipe and channel flows. Phys. Fluids 2015, 27, 025101. [Google Scholar] [CrossRef]
- Chin, C.; Monty, J.P.; Ooi, A. Reynolds number effects in DNS of pipe flow and comparison with channels and boundary layers. Int. J. Heat Fluid Flow 2014, 45, 33–40. [Google Scholar] [CrossRef]
- Ng, H.C.H.; Monty, J.P.; Hutchins, N.; Chong, M.S.; Marusic, I. Comparison of turbulent channel and pipe flows with varying Reynolds number. Exp. Fluids 2011, 51, 1261–1281. [Google Scholar] [CrossRef]
- Monty, J.P.; Chong, M.S. Turbulent channel flow: Comparison of streamwise velocity data from experiments and direct numerical simulation. J. Fluid Mech. 2009, 633, 461–474. [Google Scholar] [CrossRef]
- Buschmann, M.H.; Indinger, T.; Gad-el-Hak, M. Near-wall behavior of turbulent wall-bounded flows. Int. J. Heat Fluid Flow 2009, 30, 993–1006. [Google Scholar] [CrossRef]
- Di Nucci, C.; Russo Spena, A. Mean velocity profiles of two-dimensional fully developed turbulent flows. C. R. Mec. 2012, 340, 629–640. [Google Scholar] [CrossRef]
- Pirozzoli, S.; Romero, J.; Fatica, M.; Verzicco, R.; Orlandi, P. Reynolds number trends in turbulent pipe flow: A DNS perspective. arXiv 2021, arXiv:2103.13383. [Google Scholar]
- Pirozzoli, S.; Romero, J.; Fatica, M.; Verzicco, R.; Orlandi, P. One-point statistics for turbulent pipe flow up to Reτ ≈ 6000. J. Fluid Mech. 2021, 926, A28. [Google Scholar] [CrossRef]
- Iwamoto, K.; Suzuki, Y.; Kasagi, N. Reynolds number effect on wall turbulence: Toward effective feedback control. Int. J. Heat Fluid Flow 2002, 23, 678–689. [Google Scholar] [CrossRef]
- Iwamoto, K. Database of Fully Developed Channel Flow; THTLAB Internal Report No. ILR-0201; Department of Mechanical Engineering, University of Tokyo: Tokyo, Japan, 2002. [Google Scholar]
- Abe, H.; Kawamura, H.; Matsuo, Y. Surface heat-flux fluctuations in a turbulent channel flow up to Reτ = 1020 with Pr = 0.0025 and 0.71. Int. J. Heat Fluid Flow 2004, 25, 404–419. [Google Scholar] [CrossRef]
- Moser, R.D.; Kim, J.; Mansour, N.N. Direct numerical simulation of turbulent channel flow up to Reτ=1020. Phys. Fluids 1999, 11, 943–945. [Google Scholar] [CrossRef]
- Del Álamo, J.C.; Jiménez, J.; Zandonade, P.; Moser, R.D. Scaling of the energy spectra of turbulent channels. J. Fluid Mech. 2004, 500, 135–144. [Google Scholar] [CrossRef]
- Hoyas, S.; Jiménez, J. Scaling of the velocity fluctuations in turbulent channels up to Reτ = 2003. Phys. Fluids 2006, 18, 011702. [Google Scholar] [CrossRef]
- Deza, M.M.; Deza, E. Distances and Similarities in Data Analysis; Springer: Berlin/Heidelberg, Germany, 2013. [Google Scholar]
- Absi, R. Reinvestigating the parabolic-shaped eddy viscosity profile for free surface flows. Hydrology 2021, 8, 126. [Google Scholar] [CrossRef]















| Database/ Error | |||||||||||
|---|---|---|---|---|---|---|---|---|---|---|---|
| DNS | |||||||||||
| ITM | |||||||||||
| relative error | |||||||||||
| medium relative error | |||||||||||
| maximum relative error | |||||||||||
| Database | |||||||||||
|---|---|---|---|---|---|---|---|---|---|---|---|
| [26] | |||||||||||
| [31,32] | |||||||||||
| ITM | |||||||||||
Disclaimer/Publisher’s Note: The statements, opinions and data contained in all publications are solely those of the individual author(s) and contributor(s) and not of MDPI and/or the editor(s). MDPI and/or the editor(s) disclaim responsibility for any injury to people or property resulting from any ideas, methods, instructions or products referred to in the content. |
© 2023 by the authors. Licensee MDPI, Basel, Switzerland. This article is an open access article distributed under the terms and conditions of the Creative Commons Attribution (CC BY) license (https://creativecommons.org/licenses/by/4.0/).
Share and Cite
Di Nucci, C.; Absi, R. Comparison of Mean Properties of Turbulent Pipe and Channel Flows at Low-to-Moderate Reynolds Numbers. Fluids 2023, 8, 97. https://doi.org/10.3390/fluids8030097
Di Nucci C, Absi R. Comparison of Mean Properties of Turbulent Pipe and Channel Flows at Low-to-Moderate Reynolds Numbers. Fluids. 2023; 8(3):97. https://doi.org/10.3390/fluids8030097
Chicago/Turabian StyleDi Nucci, Carmine, and Rafik Absi. 2023. "Comparison of Mean Properties of Turbulent Pipe and Channel Flows at Low-to-Moderate Reynolds Numbers" Fluids 8, no. 3: 97. https://doi.org/10.3390/fluids8030097
APA StyleDi Nucci, C., & Absi, R. (2023). Comparison of Mean Properties of Turbulent Pipe and Channel Flows at Low-to-Moderate Reynolds Numbers. Fluids, 8(3), 97. https://doi.org/10.3390/fluids8030097

