Online Coupled Generalized Multiscale Finite Element Method for the Poroelasticity Problem in Fractured and Heterogeneous Media
Abstract
:1. Introduction
2. Problem Formulation and Approximation on a Fine Grid
- The sequential division of the intersection segments and the fracture boundaries by points into segments of a given size, which are subsequently used as mesh faces;
- Uniform filling of fracture regions by points with a restriction on the proximity of internal points to the boundary and points on intersection segments;
- Construction of triangulation for each fracture according to the given frameworks (points, segments).
3. Multiscale Method for a Coarse-Grid Approximation on Offline Space
- Coarse grid and local domain construction.
- The solution of the local problems with different boundary conditions to construct a snapshot space in each local domain.
- An offline space construction via the solution of the local spectral problems on the snapshot space.
- Generation of the projection matrix.
- Construction of the coarse grid system using the projection matrix.
- Solving the problem on the coarse grid at the current time step.
- Moving to the next time step.
4. Online Enrichment of Multiscale Space
- Construction of the coarse-grid system using the projection matrix.
- Solving the problem on the coarse grid at the current time step.
- Multiscale space enrichment by calculation of the online basis functions. We enrich the offline space and update the projection matrix using the obtained online basis functions. After that, we repeatedly solve the current time step problem on the coarse grid to update the solution.
- Moving to the next time step.
- Define projection matrix for the current time step n with for ( is the projection matrix from the previous time step).
- Construct and solve the coarse-scale problem at the current time step.
- –
- If we want to add/update online basis functions for the current time step, we solvefor withand .For the projection matrix, we have for andfor .Here, online basis functions are calculated using the solution from the previous iteration .
- –
- Otherwise, we solvewithand .
- Move to the next time step.
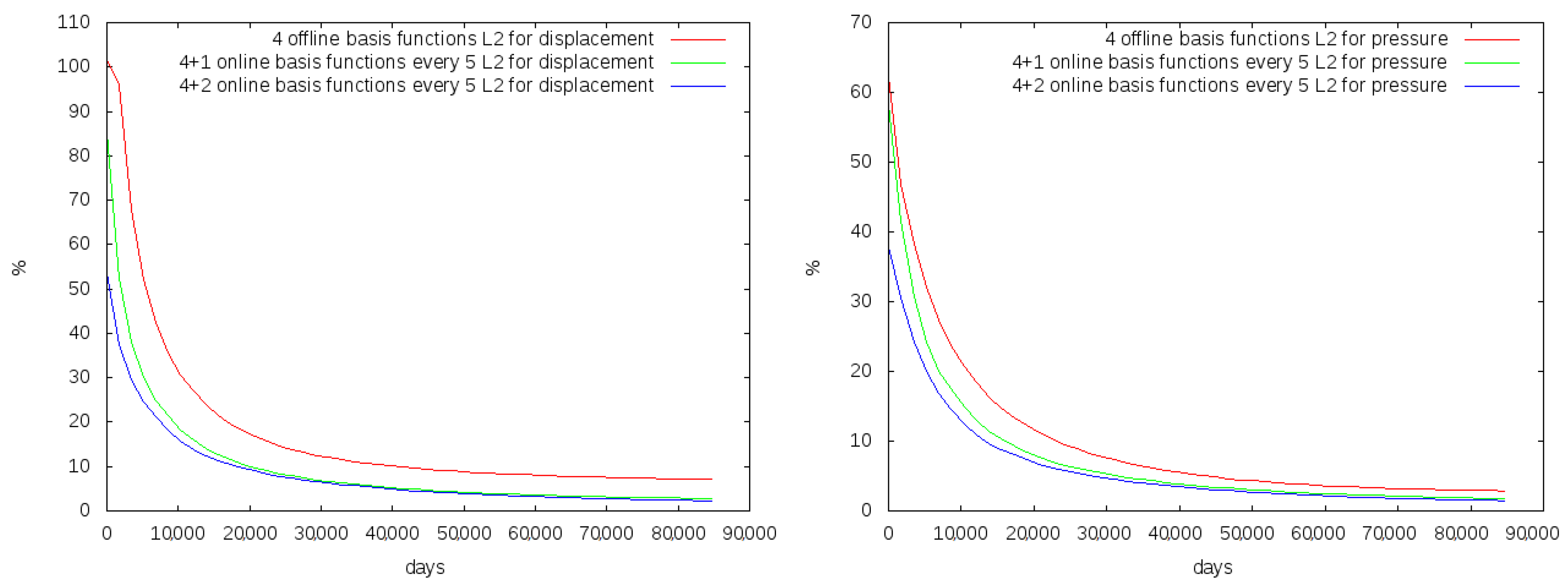
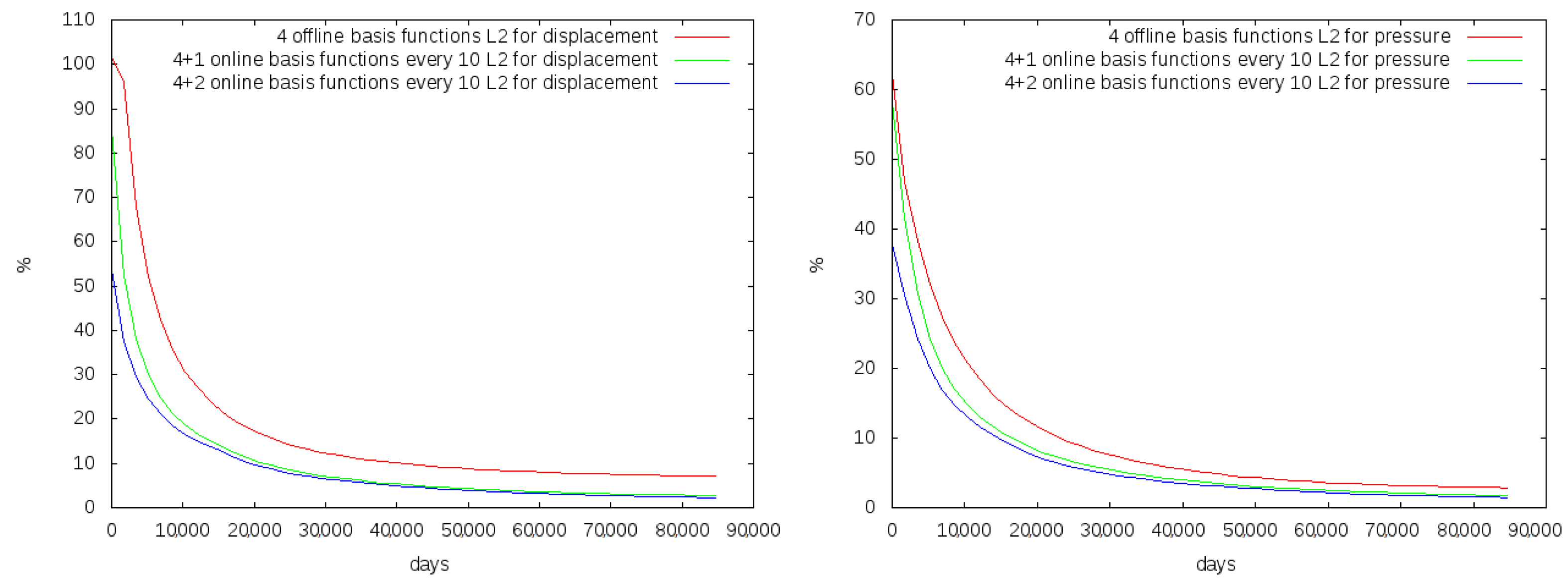
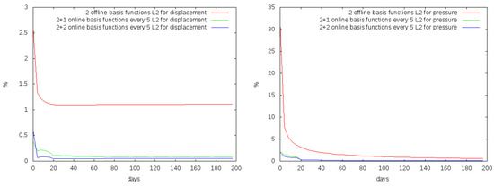
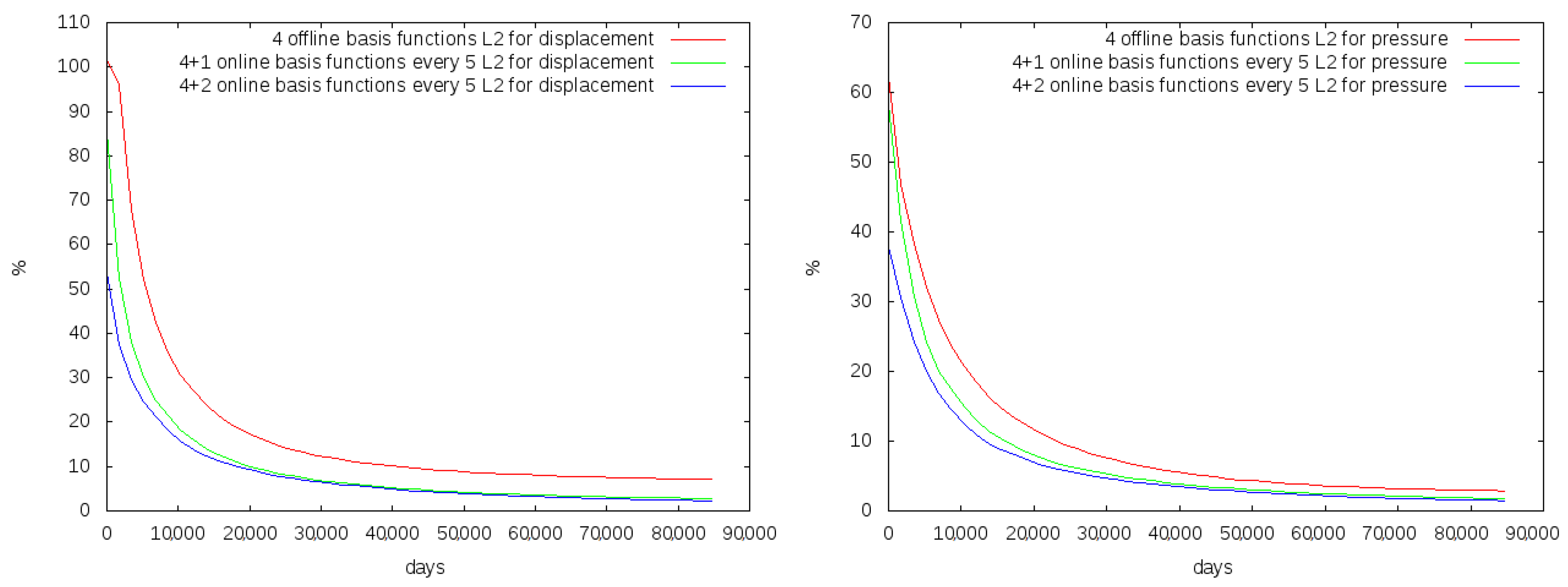
5. Numerical Results
- Case 1. Poroelasticity problem in heterogeneous media with the following parameters: , . The calculation is performed by with 50 time steps ().
- Case 2. Poroelasticity problem in heterogeneous and fractured media with the following parameters: . The calculation is performed by with 50 time steps ().
6. Conclusions
Author Contributions
Funding
Institutional Review Board Statement
Informed Consent Statement
Acknowledgments
Conflicts of Interest
References
- Nia, H.T.; Han, L.; Li, Y.; Ortiz, C.; Grodzinsky, A. Poroelasticity of cartilage at the nanoscale. Biophys. J. 2011, 101, 2304–2313. [Google Scholar] [CrossRef] [Green Version]
- Settari, A.; Mourits, F. A coupled reservoir and geomechanical simulation system. SPE J. 1998, 3, 219–226. [Google Scholar] [CrossRef]
- Zhang, F.; An, M.; Yan, B.; Wang, Y. Modeling the depletion of fractured vuggy carbonate reservoir by coupling geomechanics with reservoir flow. In Proceedings of the SPE Reservoir Characterisation and Simulation Conference and Exhibition, Society of Petroleum Engineers, Abu Dhabi, United Arab Emirates, 5–7 May 2017. [Google Scholar]
- Biot, M.A. General theory of three-dimensional consolidation. J. Appl. Phys. 1941, 12, 155–164. [Google Scholar] [CrossRef]
- Gaspar, F.; Gracia, J.; Lisbona, F.; Vabishchevich, P. A stabilized method for a secondary consolidation Biot’s model. Numer. Methods Part. Differ. Equ. Int. J. 2008, 24, 60–78. [Google Scholar] [CrossRef]
- Biot, M.A. Theory of elasticity and consolidation for a porous anisotropic solid. J. Appl. Phys. 1955, 26, 182–185. [Google Scholar] [CrossRef]
- Biot, M.A. General solutions of the equations of elasticity and consolidation for a porous material. J. Appl. Mech. 1956, 23, 91–96. [Google Scholar] [CrossRef]
- Meirmanov, A. Mathematical Models for Poroelastic Flows; Springer: Berlin, Germany, 2014. [Google Scholar]
- Castelletto, N.; Klevtsov, S.; Hajibeygi, H.; Tchelepi, H.A. Multiscale two-stage solver for Biot’s poroelasticity equations in subsurface media. Comput. Geosci. 2019, 23, 207–224. [Google Scholar] [CrossRef]
- Iliev, O.; Kolesov, A.; Vabishchevich, P. Numerical solution of plate poroelasticity problems. Transp. Porous Media 2016, 115, 563–580. [Google Scholar] [CrossRef]
- Kim, J.; Tchelepi, H.A.; Juanes, R. Stability, accuracy, and efficiency of sequential methods for coupled flow and geomechanics. SPE J. 2011, 16, 249–262. [Google Scholar] [CrossRef] [Green Version]
- Kim, J. Sequential Methods for Coupled Geomechanics and Multiphase Flow; Stanford University: Stanford, CA, USA, 2010. [Google Scholar]
- Kolesov, A.E.; Vabishchevich, P.N.; Vasilyeva, M.V. Splitting schemes for poroelasticity and thermoelasticity problems. Comput. Math. Appl. 2014, 67, 2185–2198. [Google Scholar] [CrossRef]
- Ammosov, D.A.; Vasilyeva, M.V.; Babaei, M.; Chung, E.T. Splitting schemes for the thermoporoelasticity problem in fractured media. Math. Notes NEFU 2019, 26, 98–118. [Google Scholar]
- Liakas, S.; O’Sullivan, C.; Saroglou, C. Influence of heterogeneity on rock strength and stiffness using discrete element method and parallel bond model. J. Rock Mech. Geotech. Eng. 2017, 9, 575–584. [Google Scholar] [CrossRef]
- Borówko, M.; Jaroniec, M.; Rudziński, W. Statistical thermodynamics of adsorption from multicomponent liquid mixtures on heterogeneous solid surfaces. Monatshefte Chem./Chem. Mon. 1981, 112, 59–71. [Google Scholar] [CrossRef]
- van Beinum, G. Modelling Multicomponent Solute Transport in Structured Soils; Wageningen University: Wageningen, The Netherlands, 2007. [Google Scholar]
- Akkutlu, I.Y.; Efendiev, Y.; Vasilyeva, M.; Wang, Y. Multiscale model reduction for shale gas transport in poroelastic fractured media. J. Comput. Phys. 2018, 353, 356–376. [Google Scholar] [CrossRef]
- Akkutlu, I.Y.; Efendiev, Y.; Vasilyeva, M. Multiscale model reduction for shale gas transport in fractured media. Comput. Geosci. 2016, 20, 953–973. [Google Scholar] [CrossRef] [Green Version]
- Efendiev, Y.; Lee, S.; Li, G.; Yao, J.; Zhang, N. Hierarchical multiscale modeling for flows in fractured media using generalized multiscale finite element method. GEM-Int. J. Geomath. 2015, 6, 141–162. [Google Scholar] [CrossRef] [Green Version]
- Vasilyeva, M.; Babaei, M.; Chung, E.T.; Spiridonov, D. Multiscale modeling of heat and mass transfer in fractured media for enhanced geothermal systems applications. Appl. Math. Model. 2019, 67, 159–178. [Google Scholar] [CrossRef] [Green Version]
- Barenblatt, G.I.; Zheltov, I.P.; Kochina, I.N. Basic concepts in the theory of seepage of homogeneous liquids in fissured rocks [strata]. J. Appl. Math. Mech. 1960, 24, 1286–1303. [Google Scholar] [CrossRef]
- Li, L.; Lee, S.H. Efficient field-scale simulation of black oil in a naturally fractured reservoir through discrete fracture networks and homogenized media. SPE Reserv. Eval. Eng. 2008, 11, 750–758. [Google Scholar] [CrossRef]
- Karimi-Fard, M.; Durlofsky, L.J.; Aziz, K. An efficient discrete fracture model applicable for general purpose reservoir simulators. Presented at the SPE Reservoir Simulation Symposium, Houston, TX, USA, 3–5 February 2003. [Google Scholar]
- Hoteit, H.; Firoozabadi, A. An efficient numerical model for incompressible two-phase flow in fractured media. Adv. Water Resour. 2008, 31, 891–905. [Google Scholar] [CrossRef]
- Karimi-Fard, M.; Firoozabadi, A. Numerical simulation of water injection in 2D fractured media using discrete-fracture model. In Proceedings of the SPE Annual Technical Conference and Exhibition, Society of Petroleum Engineers, New Orleans, LA, USA, 27–30 September 2001. [Google Scholar]
- Garipov, T.; Karimi-Fard, M.; Tchelepi, H. Discrete fracture model for coupled flow and geomechanics. Comput. Geosci. 2016, 20, 149–160. [Google Scholar] [CrossRef]
- Efendiev, Y.; Hou, T.Y. Multiscale Finite Element Methods: Theory and Applications; Springer Science & Business Media: Berlin, Germany, 2009; Volume 4. [Google Scholar]
- Henning, P.; Ohlberger, M. The heterogeneous multiscale finite element method for elliptic homogenization problems in perforated domains. Numer. Math. 2009, 113, 601–629. [Google Scholar] [CrossRef]
- Hou, T.Y.; Wu, X.H. A multiscale finite element method for elliptic problems in composite materials and porous media. J. Comput. Phys. 1997, 134, 169–189. [Google Scholar] [CrossRef] [Green Version]
- Chung, E.; Efendiev, Y.; Hou, T.Y. Adaptive multiscale model reduction with generalized multiscale finite element methods. J. Comput. Phys. 2016, 320, 69–95. [Google Scholar] [CrossRef] [Green Version]
- Spiridonov, D.; Vasilyeva, M.; Chung, E.T. Generalized Multiscale Finite Element method for multicontinua unsaturated flow problems in fractured porous media. J. Comput. Appl. Math. 2020, 370, 112594. [Google Scholar] [CrossRef] [Green Version]
- Brown, D.L.; Vasilyeva, M. A generalized multiscale finite element method for poroelasticity problems I: Linear problems. J. Comput. Appl. Math. 2016, 294, 372–388. [Google Scholar] [CrossRef]
- Brown, D.L.; Vasilyeva, M. A generalized multiscale finite element method for poroelasticity problems II: Nonlinear coupling. J. Comput. Appl. Math. 2016, 297, 132–146. [Google Scholar] [CrossRef] [Green Version]
- Hajibeygi, H.; Karvounis, D.; Jenny, P. A hierarchical fracture model for the iterative multiscale finite volume method. J. Comput. Phys. 2011, 230, 8729–8743. [Google Scholar] [CrossRef]
- Bosma, S.; Hajibeygi, H.; Tene, M.; Tchelepi, H.A. Multiscale finite volume method for discrete fracture modeling on unstructured grids (MS-DFM). J. Comput. Phys. 2017, 351, 145–164. [Google Scholar] [CrossRef]
- Wolfsteiner, C.; Lee, S.H.; Tchelepi, H.A. Well modeling in the multiscale finite volume method for subsurface flow simulation. Multiscale Model. Simul. 2006, 5, 900–917. [Google Scholar] [CrossRef]
- Sokolova, I.; Bastisya, M.G.; Hajibeygi, H. Multiscale finite volume method for finite-volume-based simulation of poroelasticity. J. Comput. Phys. 2019, 379, 309–324. [Google Scholar] [CrossRef]
- Stabile, G.; Ballarin, F.; Zuccarino, G.; Rozza, G. A reduced order variational multiscale approach for turbulent flows. Adv. Comput. Math. 2019, 45, 2349–2368. [Google Scholar] [CrossRef] [Green Version]
- Rozza, G.; Malik, H.; Demo, N.; Tezzele, M.; Girfoglio, M.; Stabile, G.; Mola, A. Advances in reduced order methods for parametric industrial problems in computational fluid dynamics. arXiv 2018, arXiv:1811.08319. [Google Scholar]
- Chung, E.T.; Efendiev, Y.; Leung, W.T. Residual-driven online generalized multiscale finite element methods. J. Comput. Phys. 2015, 302, 176–190. [Google Scholar] [CrossRef] [Green Version]
- Chung, E.T.; Efendiev, Y.; Leung, W.T.; Vasilyeva, M.; Wang, Y. Online adaptive local multiscale model reduction for heterogeneous problems in perforated domains. Appl. Anal. 2017, 96, 2002–2031. [Google Scholar] [CrossRef] [Green Version]
- Efendiev, Y.; Galvis, J.; Hou, T.Y. Generalized multiscale finite element methods (GMsFEM). J. Comput. Phys. 2013, 251, 116–135. [Google Scholar] [CrossRef] [Green Version]
- Chung, E.T.; Efendiev, Y.; Leung, W.T. Constraint energy minimizing generalized multiscale finite element method. Comput. Methods Appl. Mech. Eng. 2018, 339, 298–319. [Google Scholar] [CrossRef] [Green Version]
- Chung, E.T.; Efendiev, Y.; Leung, W.T.; Vasilyeva, M.; Wang, Y. Non-local multi-continua upscaling for flows in heterogeneous fractured media. J. Comput. Phys. 2018, 372, 22–34. [Google Scholar] [CrossRef] [Green Version]
- Vasilyeva, M.; Chung, E.T.; Efendiev, Y.; Kim, J. Constrained energy minimization based upscaling for coupled flow and mechanics. J. Comput. Phys. 2019, 376, 660–674. [Google Scholar] [CrossRef] [Green Version]
- Tyrylgin, A.; Vasilyeva, M.; Spiridonov, D.; Chung, E.T. Generalized Multiscale Finite Element Method for the poroelasticity problem in multicontinuum media. J. Comput. Appl. Math. 2020, 374, 112783. [Google Scholar] [CrossRef] [Green Version]
- D’angelo, C.; Quarteroni, A. On the coupling of 1d and 3d diffusion-reaction equations: Application to tissue perfusion problems. Math. Models Methods Appl. Sci. 2008, 18, 1481–1504. [Google Scholar] [CrossRef] [Green Version]
- Geuzaine, C.; Remacle, J.F. Gmsh: A 3-D finite element mesh generator with built-in pre-and post-processing facilities. Int. J. Numer. Methods Eng. 2009, 79, 1309–1331. [Google Scholar] [CrossRef]
- Logg, A.; Mardal, K.A.; Wells, G. Automated Solution of Differential Equations by the Finite Element Method: The FEniCS Book; Springer Science & Business Media: Berlin, Germany, 2012; Volume 84. [Google Scholar]














| () | () | ||||||||
|---|---|---|---|---|---|---|---|---|---|
| 363(0) | 1.012 | 22.64 | 2.713 | 14.82 | 363(0) | 1.012 | 22.64 | 2.713 | 14.82 |
| 726(1) | 0.128 | 4.080 | 0.212 | 3.289 | 726(1) | 0.127 | 4.078 | 0.212 | 3.288 |
| 1089(2) | 0.093 | 2.876 | 0.101 | 2.153 | 1089(2) | 0.092 | 2.869 | 0.101 | 2.152 |
| 726(0) | 0.605 | 15.28 | 1.110 | 10.32 | 726(0) | 0.605 | 15.28 | 1.110 | 10.32 |
| 1089(1) | 0.052 | 2.354 | 0.085 | 1.973 | 1089(1) | 0.052 | 2.35 | 0.084 | 1.973 |
| 1452(2) | 0.032 | 1.495 | 0.053 | 1.201 | 1452(2) | 0.032 | 1.496 | 0.053 | 1.201 |
| 1452(0) | 0.360 | 12.01 | 0.444 | 6.784 | 1452(0) | 0.360 | 12.01 | 0.444 | 6.784 |
| 1815(1) | 0.016 | 0.974 | 0.043 | 0.755 | 1815(1) | 0.016 | 0.974 | 0.043 | 0.755 |
| 2178(2) | 0.010 | 0.590 | 0.021 | 0.504 | 2178(2) | 0.010 | 0.591 | 0.021 | 0.504 |
| 2904(0) | 0.168 | 6.672 | 0.223 | 4.471 | 2904(0) | 0.168 | 6.672 | 0.223 | 4.471 |
| 3267(1) | 0.007 | 0.499 | 0.004 | 0.224 | 3267(1) | 0.007 | 0.499 | 0.004 | 0.224 |
| 3630(2) | 0.004 | 0.361 | 0.002 | 0.156 | 3630(2) | 0.004 | 0.361 | 0.002 | 0.156 |
| 4356(0) | 0.126 | 5.362 | 0.158 | 3.775 | 4356(0) | 0.126 | 5.362 | 0.158 | 3.775 |
| 4719(1) | 0.004 | 0.398 | 0.002 | 0.136 | 4719(1) | 0.004 | 0.397 | 0.002 | 0.136 |
| 5082(2) | 0.002 | 0.211 | 0.001 | 0.098 | 5082(2) | 0.002 | 0.210 | 0.001 | 0.098 |
| () | () | ||||||||
|---|---|---|---|---|---|---|---|---|---|
| 726(0) | 52.87 | >100 | >100 | 84.16 | 726(0) | 52.87 | >100 | >100 | 84.16 |
| 1089(1) | 67.55 | >100 | >100 | >100 | 1089(1) | 61.38 | >100 | 99.71 | >100 |
| 1452(2) | 27.90 | >100 | 44.57 | 51.76 | 1452(2) | 28.99 | >100 | 51.39 | 54.91 |
| 1452(0) | 3.297 | 22.77 | 9.126 | 11.98 | 1452(0) | 3.297 | 22.73 | 9.126 | 11.98 |
| 1815(1) | 1.910 | 16.95 | 4.173 | 8.675 | 1815(1) | 1.896 | 19.96 | 4.093 | 8.670 |
| 2178(2) | 1.598 | 15.31 | 3.06 | 8.082 | 2178(2) | 1.616 | 15.38 | 2.867 | 8.099 |
| 2904(0) | 0.719 | 9.834 | 1.402 | 5.645 | 2904(0) | 0.719 | 9.834 | 1.402 | 5.645 |
| 3267(1) | 0.458 | 7.457 | 0.617 | 4.858 | 3267(1) | 0.460 | 7.457 | 0.632 | 4.859 |
| 3630(2) | 0.396 | 6.646 | 0.562 | 4.581 | 3630(2) | 0.402 | 6.654 | 0.576 | 4.585 |
| 4356(0) | 0.301 | 5.697 | 0.618 | 4.245 | 4356(0) | 0.301 | 5.697 | 0.618 | 4.245 |
| 4719(1) | 0.205 | 4.506 | 0.380 | 3.851 | 4719(1) | 0.205 | 4.506 | 0.382 | 3.851 |
| 5082(2) | 0.173 | 4.012 | 0.357 | 3.685 | 5082(2) | 0.173 | 4.012 | 0.357 | 3.685 |
Publisher’s Note: MDPI stays neutral with regard to jurisdictional claims in published maps and institutional affiliations. |
© 2021 by the authors. Licensee MDPI, Basel, Switzerland. This article is an open access article distributed under the terms and conditions of the Creative Commons Attribution (CC BY) license (https://creativecommons.org/licenses/by/4.0/).
Share and Cite
Tyrylgin, A.; Vasilyeva, M.; Ammosov, D.; Chung, E.T.; Efendiev, Y. Online Coupled Generalized Multiscale Finite Element Method for the Poroelasticity Problem in Fractured and Heterogeneous Media. Fluids 2021, 6, 298. https://doi.org/10.3390/fluids6080298
Tyrylgin A, Vasilyeva M, Ammosov D, Chung ET, Efendiev Y. Online Coupled Generalized Multiscale Finite Element Method for the Poroelasticity Problem in Fractured and Heterogeneous Media. Fluids. 2021; 6(8):298. https://doi.org/10.3390/fluids6080298
Chicago/Turabian StyleTyrylgin, Aleksei, Maria Vasilyeva, Dmitry Ammosov, Eric T. Chung, and Yalchin Efendiev. 2021. "Online Coupled Generalized Multiscale Finite Element Method for the Poroelasticity Problem in Fractured and Heterogeneous Media" Fluids 6, no. 8: 298. https://doi.org/10.3390/fluids6080298
APA StyleTyrylgin, A., Vasilyeva, M., Ammosov, D., Chung, E. T., & Efendiev, Y. (2021). Online Coupled Generalized Multiscale Finite Element Method for the Poroelasticity Problem in Fractured and Heterogeneous Media. Fluids, 6(8), 298. https://doi.org/10.3390/fluids6080298
