Simplified Modelling of Inclined Turbulent Dense Jets
Abstract
:1. Introduction
2. Theoretical Considerations
3. Simplified Analytical Model
4. Results and Discussion
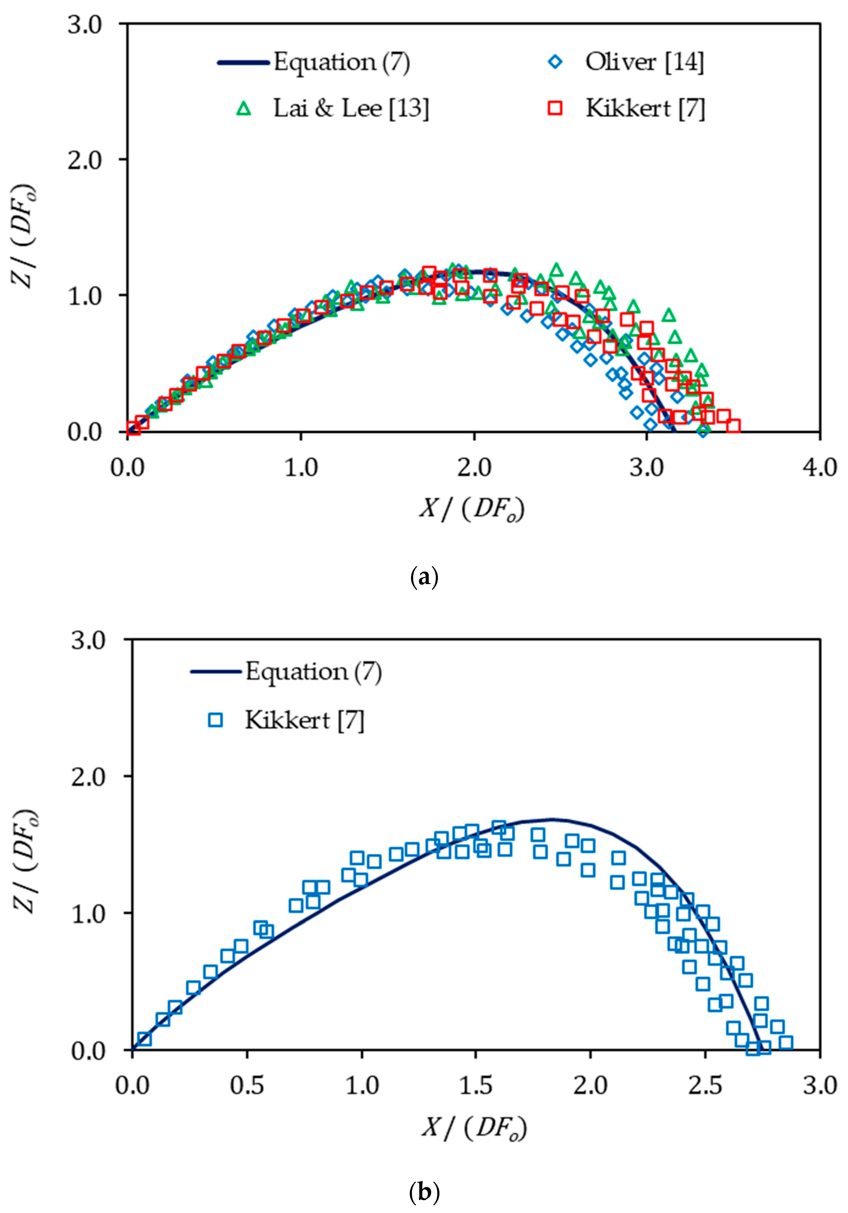
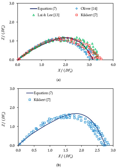
4.1. Centerline Trajectory
4.2. Dilution
5. Conclusions
Author Contributions
Funding
Conflicts of Interest
References
- Lattemann, S.; Höpner, T. Environmental impact and impact assessment of seawater desalination. Desalination 2008, 220, 1–15. [Google Scholar] [CrossRef]
- Zeitoun, M.A.; McIlhenny, W.F.; Reid, R.O. Conceptual Designs of Outfall Systems for Desalting Plants; Res. and Devel. Progress Report No 550; Office of Saline Water, US Dept of Interior: Washington, DC, USA, 1970. [Google Scholar]
- Roberts, P.J.W.; Toms, G. Inclined dense jets in flowing current. J. Hydraul. Eng. 1987, 113, 323–341. [Google Scholar] [CrossRef]
- Roberts, P.J.W.; Ferrier, A.; Daviero, G. Mixing in inclined dense jets. J. Hydraul. Eng. 1997, 123, 693–699. [Google Scholar] [CrossRef]
- Cipollina, A.; Brucato, A.; Grisafi, F.; Nicosia, S. Bench-scale investigation of inclined dense jets. J. Hydraul. Eng. 2005, 131, 1017–1022. [Google Scholar] [CrossRef]
- Nemlioglu, S.; Roberts, P.J.W. Experiments on Dense Jets Using Three-Dimensional Laser-Induced Fluorescence (3DLIF). In Proceedings of the 4th International Conference on Marine Waste Water Disposal and Marine Environment & 2nd International Exhibition on Materials Equipment and Services for Coastal WWTP, Outfalls and Sealines, Antalya, Turkey, 6–10 November 2006. [Google Scholar]
- Kikkert, G.A. Buoyant Jets with Two and Three-Dimensional Trajectories. Ph.D. Thesis, University of Canterbury, Christchurch, New Zealand, 2006. [Google Scholar]
- Kikkert, G.A.; Davidson, M.J.; Nokes, R.I. Inclined negatively buoyant discharges. J. Hydraul. Eng. 2007, 133, 545–554. [Google Scholar] [CrossRef]
- Ferrari, S.; Querzoli, G. Mixing and re-entrainment in a negatively buoyant jet. J. Hydraul. Res. 2010, 48, 632–640. [Google Scholar] [CrossRef]
- Shao, D.; Law, A.W.K. Mixing and boundary interactions of 30° and 45° inclined dense jets. Environ. Fluid Mech. 2010, 10, 521–553. [Google Scholar] [CrossRef]
- Papakonstantis, I.G.; Christodoulou, G.C.; Papanicolaou, P.N. Inclined negatively buoyant jets 1: Geometrical characteristics. J. Hydraul. Res. 2011, 49, 3–12. [Google Scholar] [CrossRef]
- Papakonstantis, I.G.; Christodoulou, G.C.; Papanicolaou, P.N. Inclined negatively buoyant jets 2: Concentration measurements. J. Hydraul. Res. 2011, 49, 13–22. [Google Scholar] [CrossRef]
- Lai, C.C.K.; Lee, J.H.W. Mixing of inclined dense jets in stationary ambient. J. Hydro Environ. Res. 2012, 6, 9–28. [Google Scholar] [CrossRef]
- Oliver, C.J. Near Field Mixing of Negatively Buoyant Jets. Ph.D. Thesis, University of Canterbury, Christchurch, New Zealand, 2012. [Google Scholar]
- Oliver, C.J.; Davidson, M.J.; Nokes, R.I. Removing the boundary influence on negatively buoyant jets. Environ. Fluid Mech. 2013, 13, 625–648. [Google Scholar] [CrossRef]
- Abessi, O.; Roberts, P.J.W. Effect of nozzle orientation on dense jets in stagnant environments. J. Hydraul. Eng. 2015, 141, 06015009. [Google Scholar] [CrossRef]
- Abessi, O.; Roberts, P.J.W. Dense jet discharges in shallow water. J. Hydraul. Eng. 2016, 142, 04015033. [Google Scholar] [CrossRef]
- Crowe, A.T.; Davidson, M.J.; Nokes, R.I. Velocity measurements in inclined negatively buoyant jets. Environ. Fluid Mech. 2016, 16, 503–520. [Google Scholar] [CrossRef]
- Papakonstantis, I.G.; Tsatsara, E.I. Trajectory Characteristics of Inclined Turbulent Dense Jets. Environ. Process. 2018, 5, 539–554. [Google Scholar] [CrossRef]
- Papakonstantis, I.G.; Tsatsara, E.I. Mixing Characteristics of Inclined Turbulent Dense Jets. Environ. Process. 2019, 6, 525–541. [Google Scholar] [CrossRef]
- Vafeiadou, P.; Papakonstantis, I.; Christodoulou, G. Numerical simulation of inclined negatively buoyant jets. In Proceedings of the 9th International Conference on Environmental Science and Technology, Rhodes, Greece, 1–3 September 2005; pp. A1537–A1542. [Google Scholar]
- Oliver, C.J.; Davidson, M.J.; Nokes, R.I. k-ε Predictions of the initial mixing of desalination discharges. Environ. Fluid Mech. 2008, 8, 617–625. [Google Scholar] [CrossRef]
- Kheirkhah Gildeh, H.; Mohammadian, A.; Nistor, I.; Qiblawey, H. Numerical modeling of 30° and 45° inclined dense turbulent jets in stationary ambient. Environ. Fluid Mech. 2015, 15, 537–562. [Google Scholar] [CrossRef]
- Kheirkhah Gildeh, H.; Mohammadian, A.; Nistor, I.; Qiblawey, H.; Yan, X. CFD modeling and analysis of the behavior of 30° and 45° inclined dense jets—New numerical insights. J. Appl. Water Eng. Res. 2016, 4, 112–127. [Google Scholar] [CrossRef]
- Zhang, S.; Jiang, B.; Law, A.W.K.; Zhao, B. Large eddy simulations of 45° inclined dense jets. Environ. Fluid Mech. 2016, 16, 101–121. [Google Scholar] [CrossRef]
- Zhang, S.; Law, A.W.K.; Jiang, M. Large eddy simulations of 45° and 60° inclined dense jets with bottom impact. J. Hydro Environ. Res. 2017, 15, 54–66. [Google Scholar] [CrossRef]
- Papanicolaou, P.N.; Papakonstantis, I.G.; Christodoulou, G.C. On the entrainment coefficient in negatively buoyant jets. J. Fluid Mech. 2008, 614, 447–470. [Google Scholar] [CrossRef]
- Yannopoulos, P.C.; Bloutsos, A.A. Escaping mass approach for inclined plane and round buoyant jets. J. Fluid Mech. 2012, 695, 81–111. [Google Scholar] [CrossRef]
- Oliver, C.J.; Davidson, M.J.; Nokes, R.I. Predicting the near-field mixing of desalination discharges in a stationary environment. Desalination 2013, 309, 148–155. [Google Scholar] [CrossRef]
- Palomar, P.; Lara, J.L.; Losada, I.J. Near field brine discharge modeling part 2: Validation of commercial tools. Desalination 2012, 290, 28–42. [Google Scholar] [CrossRef]
- Nikiforakis, I.K.; Stamou, A.I.; Christodoulou, G.C. A modified integral model for negatively buoyant jets in a stationary ambient. Environ. Fluid Mech. 2015, 15, 939–957. [Google Scholar] [CrossRef]
- Christodoulou, G.C.; Papakonstantis, I.G. Simplified estimates of trajectory of inclined negatively buoyant jets. In Proceedings of the Environmental Hydraulics—Proceedings of the 6th International Symposium on Environmental Hydraulics, Athens, Greece, 23–25 June 2010; Christodoulou, G.C., Stamou, A.I., Eds.; Taylor & Francis Group: London, UK, 2010; Volume 1, pp. 165–170. [Google Scholar]
- Fischer, H.B.; List, E.J.; Koh, R.C.Y.; Imberger, J.; Brooks, N.H. Mixing in Inland and Coastal Waters; Academic Press: San Diego, CA, USA, 1979. [Google Scholar]








| 35° | 0.79 | 1.90 | 3.23 | 0.45 | 1.20 |
| 45° | 1.17 | 2.03 | 3.16 | 0.52 | 1.55 |
| 50° | 1.28 | 1.94 | 3.00 | 0.57 | 1.69 |
| 60° | 1.68 | 1.83 | 2.75 | 0.56 | 1.68 |
| 70° | 1.81 | 1.22 | 1.94 | 0.47 | 1.76 |
| 75° | 1.93 | 1.15 | 1.80 | 0.51 | 1.67 |
| θ | 35° | 45° | 50° | 60° | 70° | 75° |
|---|---|---|---|---|---|---|
| 0.0000 | 0.0000 | 0.0000 | 0.0000 | 0.0000 | 0.0000 | |
| 0.7002 | 1.0000 | 1.1918 | 1.7321 | 2.7475 | 3.7321 | |
| −0.1187 | −0.3461 | −0.4999 | −1.0070 | −1.6425 | −3.5900 | |
| 0.0038 | 0.1724 | 0.2666 | 0.6454 | 1.1419 | 2.8536 | |
| −0.0106 | −0.0516 | −0.0775 | −0.1848 | −0.5285 | −1.1172 |
| Coefficient | Polynomial Fitting Curve | R2 |
|---|---|---|
| 0.982 | ||
| 0.979 | ||
| 0.999 |
| θ | ||||
|---|---|---|---|---|
| 35° | 2.087 | 3.698 | 0.45 | 1.20 |
| 45° | 2.384 | 4.114 | 0.52 | 1.55 |
| 50° | 2.372 | 4.142 | 0.57 | 1.69 |
| 60° | 2.542 | 4.568 | 0.56 | 1.68 |
| 70° | 2.249 | 4.283 | 0.47 | 1.76 |
| 75° | 2.321 | 4.439 | 0.51 | 1.67 |
Publisher’s Note: MDPI stays neutral with regard to jurisdictional claims in published maps and institutional affiliations. |
© 2020 by the authors. Licensee MDPI, Basel, Switzerland. This article is an open access article distributed under the terms and conditions of the Creative Commons Attribution (CC BY) license (http://creativecommons.org/licenses/by/4.0/).
Share and Cite
Papakonstantis, I.G.; Christodoulou, G.C. Simplified Modelling of Inclined Turbulent Dense Jets. Fluids 2020, 5, 204. https://doi.org/10.3390/fluids5040204
Papakonstantis IG, Christodoulou GC. Simplified Modelling of Inclined Turbulent Dense Jets. Fluids. 2020; 5(4):204. https://doi.org/10.3390/fluids5040204
Chicago/Turabian StylePapakonstantis, Ilias G., and George C. Christodoulou. 2020. "Simplified Modelling of Inclined Turbulent Dense Jets" Fluids 5, no. 4: 204. https://doi.org/10.3390/fluids5040204
APA StylePapakonstantis, I. G., & Christodoulou, G. C. (2020). Simplified Modelling of Inclined Turbulent Dense Jets. Fluids, 5(4), 204. https://doi.org/10.3390/fluids5040204

