A Numerical Study of Frost Formation from Humid Air on Horizontal Cold Plate Surfaces Under Natural Convection
Abstract
1. Introduction
2. Physical Model
3. Mathematic Model and Numerical Method
3.1. Governing Equations
3.2. Mass Transfer Model
3.2.1. Phase Change Mass Transfer Rate
3.2.2. Frost Growth and Densification Criterion
3.3. Interphase Momentum Transfer
3.4. Interphase Energy Transfer
3.5. Boundary Conditions
4. Results
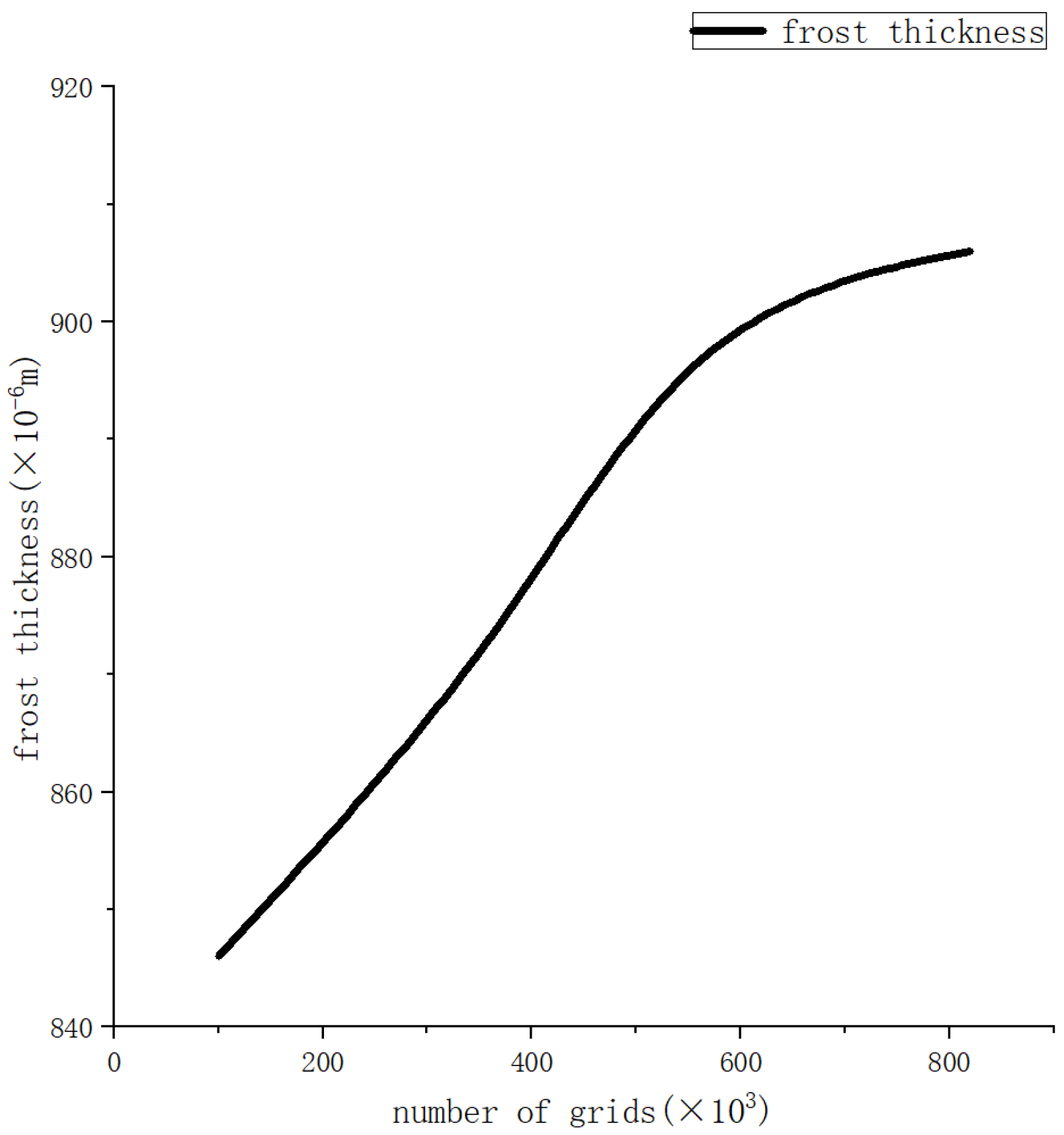
4.1. Model Validation
4.2. Analysis of Experimental Results
4.3. Frost Distribution on Cold Plates at Different Temperatures
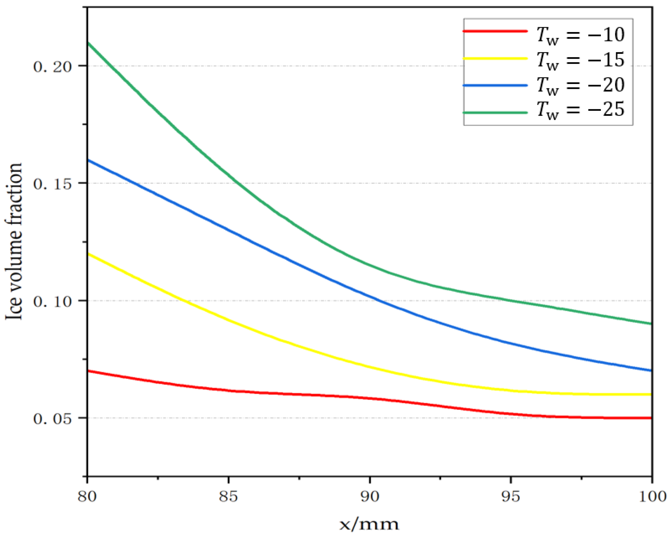
4.4. Ice Volume Fraction Distribution
4.5. Velocity Distribution
5. Conclusions
- Under natural convection conditions, lower cold plate temperatures result in greater frost layer thickness and higher ice volume fractions across all spatial positions.
- Under natural convection conditions, the frost density reaches its maximum at both ends of the cold plate. The frost deposition rate at the edges exceeds that at the central region, and this differential exhibits significant enhancement with decreasing temperature.
- Within the frost layer region, the humid air velocity approaches zero. In the humid air region, however, the maximum flow velocity occurs at both sides of the cold plate due to convective effects.
Author Contributions
Funding
Institutional Review Board Statement
Informed Consent Statement
Data Availability Statement
Conflicts of Interest
References
- Kuang, Y.W.; Yi, C.C.; Wang, W. Numerical simulation of frosting behavior and its effect on a direct-contact ambient air vaporizer. J. Nat. Gas Sci. Eng. 2015, 27, 55–63. [Google Scholar] [CrossRef]
- Jadav, C.; Chowdhury, K. Minimizing weight of ambient air vaporizer by using identical and different number of fins along the length. J. Renew. Energy 2021, 163, 398–413. [Google Scholar] [CrossRef]
- Wu, Z.; Cao, Y.H. Airfoil performance degradation by coupling effects of supercooled raindrop icing and heavy rainfall. J. Proc. Inst. Mech. Eng. Part G. J. Aerosp. Eng. 2017, 231, 2384–2395. [Google Scholar] [CrossRef]
- Akgun, O.; Kalayci Doner, N. Anti-icing and de-icing methods used for icing at wings of aircrafts. J. Polytech. 2024. [Google Scholar] [CrossRef]
- Potapczuk, M.G. Aircraft Icing Research at NASA Glenn Research Center. J. Aerosp. Eng. 2013, 26, 260–276. [Google Scholar] [CrossRef]
- Zhang, W.; Li, M.Y.; Wu, Q.L.; Xi, A. Nonlinear vibration of iced cable under wind excitation using three-degree-of-freedom model. J. Chin. Phys. B 2021, 30, 090503. [Google Scholar] [CrossRef]
- Wagner, T.; Peil, U. Ice accretion on cables. Stahlbau 2009, 78, 841–848. [Google Scholar] [CrossRef]
- Madi, E.; Pope, K.; Huang, W.M.; Iqbal, T. A review of integrating ice detection and mitigation for wind turbine blades. Renew. Sustain. Energy Rev. 2019, 103, 269–281. [Google Scholar] [CrossRef]
- Jin, J.Y.; Virk, M.S.; Hu, Q.; Jiang, X.L. Study of ice accretion on horizontal axis wind turbine blade using 2D and 3D numerical approach. IEEE Access 2020, 8, 166236–166245. [Google Scholar] [CrossRef]
- Lee, K.; Lee, T.; Kim, W. A one-dimensional model for frost formation on a cold flat surface. Int. J. Heat Mass Transf. 1997, 40, 4359–4365. [Google Scholar] [CrossRef]
- Hayashi, Y.; Aoki, A.; Adashi, S. Study of frost properties correlating with frost formation types. ASME J. Heat Transf. 1977, 99, 239–245. [Google Scholar] [CrossRef]
- Hermes, C.J.L.; Piucco, R.O.; Barbosa, J.R. A study of frost growth and densification on flat surfaces. Exp. Therm. Fluid Sci. 2009, 33, 371–379. [Google Scholar] [CrossRef]
- Kandula, M. Correlation of water frost porosity in laminar flow over flat surfaces. Spec. Top. Rev. Porous Media Int. J. 2012, 3, 79–87. [Google Scholar] [CrossRef][Green Version]
- Kandula, M. Frost growth and densification in laminar flow over flat surfaces. Int. J. Heat Mass Transf. 2011, 54, 3719–3731. [Google Scholar] [CrossRef]
- Lee, K.; Jhee, S.; Yang, D. Prediction of the frost formation on a cold flat surface. Int. J. Heat Mass Transf. 2003, 46, 3789–3796. [Google Scholar] [CrossRef]
- Yang, D.K.; Lee, K.S. Modeling of frosting behavior on a cold plate. Int. J. Refrig. 2005, 28, 396–402. [Google Scholar] [CrossRef]
- Yang, D.K.; Lee, K.S.; Cha, D.J. Frost formation on a cold surface under turbulent flow. Int. J. Refrig. 2006, 29, 164–169. [Google Scholar] [CrossRef]
- Na, B.C.; Webb, R.L. New model for frost growth rate. Int. J. Heat Mass Transf. 2004, 47, 925–936. [Google Scholar] [CrossRef]
- Na, B.C.; Webb, R.L. Mass transfer on and within a frost layer. Int. J. Heat Mass Transf. 2004, 47, 899–911. [Google Scholar] [CrossRef]
- Cui, J.; Li, W.Z.; Liu, Y.; Zhao, Y.S. A new model for predicting performance of fin-and-tube heat exchanger under frost condition. Int. J. Heat Fluid Flow 2011, 32, 249–260. [Google Scholar] [CrossRef]
- Cui, J.; Li, W.Z.; Liu, Y.; Jiang, Z.Y. A new time- and space-dependent model for predicting frost formation. Appl. Therm. Eng. 2011, 31, 447–457. [Google Scholar] [CrossRef]
- Kim, D.; Kim, C.; Lee, K.-S. Frosting model for predicting macroscopic and local frost behaviors on a cold plate. Int. J. Heat Mass Transf. 2015, 82, 135–142. [Google Scholar] [CrossRef]
- Wu, X.M.; Chu, F.Q.; Ma, Q. Frosting model based on phase change driving force. Int. J. Heat Mass Transf. 2017, 110, 760–767. [Google Scholar] [CrossRef]
- Song, M.J.; Shangwen, L.; Hosseini, S.H.; Luo, X.Y.; Wang, Z.H. An experimental study on the effect of horizontal cold plate surface temperature on frosting characteristics under natural convection. Appl. Therm. Eng. 2022, 211, 118416. [Google Scholar] [CrossRef]
- Wu, X.M.; Ma, Q.; Chu, F.Q.; Hu, S. Phase change mass transfer model for frost growth and densification. Int. J. Heat Mass Transf. 2016, 96, 11–19. [Google Scholar] [CrossRef]















| Case | (°C) | RH (%) | (°C) |
|---|---|---|---|
| 1 | −10 | 60 | 23 |
| 2 | −15 | 60 | 23 |
| 3 | −20 | 60 | 23 |
| 4 | −25 | 60 | 23 |
| Substance | Density | Thermal Conductivity W/(m·K) | Specific Heat J/(kg·K) | Coefficient of Viscosity kg/(m·s) |
|---|---|---|---|---|
| Dry air | 1.225 | - | - | 1.79 |
| Water-vapor | 0.554 | - | - | 1.34 |
| Humid air | ideal gas | 0.024 | 1006.4 | mass-weighted |
| Ice | 915 | 2.5 | 2100 | - |
| −10 °C | −15 °C | −20 °C | −25 °C | |
|---|---|---|---|---|
| ) | 544 | 764 | 981 | 1249 |
| ) | 830 | 1113 | 1332 | 1797 |
Disclaimer/Publisher’s Note: The statements, opinions and data contained in all publications are solely those of the individual author(s) and contributor(s) and not of MDPI and/or the editor(s). MDPI and/or the editor(s) disclaim responsibility for any injury to people or property resulting from any ideas, methods, instructions or products referred to in the content. |
© 2026 by the authors. Licensee MDPI, Basel, Switzerland. This article is an open access article distributed under the terms and conditions of the Creative Commons Attribution (CC BY) license.
Share and Cite
Yang, Z.; Shi, F.; Li, J.; Liu, S. A Numerical Study of Frost Formation from Humid Air on Horizontal Cold Plate Surfaces Under Natural Convection. Fluids 2026, 11, 74. https://doi.org/10.3390/fluids11030074
Yang Z, Shi F, Li J, Liu S. A Numerical Study of Frost Formation from Humid Air on Horizontal Cold Plate Surfaces Under Natural Convection. Fluids. 2026; 11(3):74. https://doi.org/10.3390/fluids11030074
Chicago/Turabian StyleYang, Zhengsheng, Fan Shi, Jiawang Li, and Shukun Liu. 2026. "A Numerical Study of Frost Formation from Humid Air on Horizontal Cold Plate Surfaces Under Natural Convection" Fluids 11, no. 3: 74. https://doi.org/10.3390/fluids11030074
APA StyleYang, Z., Shi, F., Li, J., & Liu, S. (2026). A Numerical Study of Frost Formation from Humid Air on Horizontal Cold Plate Surfaces Under Natural Convection. Fluids, 11(3), 74. https://doi.org/10.3390/fluids11030074

