Abstract
The dispersion and dissipation properties of a numerical scheme are critical in simulating flow fields involving a wide range of length scales. In this study, we highlight the common oversight of focusing merely on controlling dispersion error without considering the importance of appropriate dispersion and scalability in computational efficiency. This study demonstrates that adjusting dispersion to match the local flow field near discontinuities is more effective in suppressing oscillations than simply minimizing dispersion. This proposed high-order finite difference scheme with adaptive dispersion minimized dissipation (ADMD) achieves adaptive controllable dispersion near flow field discontinuities, known as the ADMD scheme. This scheme, derived as a fourth-order finite difference scheme with seven points based on Taylor expansion, comprises a basic central component, additional dissipation component, and dispersion component. By exploring the effect of dispersion on numerical oscillations and the importance of adjusting dispersion according to the local flow field, a discontinuity detection function was established to enable the dispersion properties to adapt to the local flow field. Drawing inspiration from flow field smoothing in the weighted essentially non-oscillatory (WENO) scheme, efforts were made to minimize scheme dissipation. The main benefits of the ADMD scheme over several WENO-type schemes are robustness and efficiency, as the ADMD scheme saves at least 40–90% CPU time compared to the same-order WENO-type schemes for some numerical examples. Additionally, the numerical scheme proves advantageous in terms of simulating the decaying isotropic turbulence problem of three-dimensional compressible turbulence.
1. Introduction
The numerical simulation of turbulent flows poses substantial challenges owing to the presence of multiscale structures and discontinuities. Accurate amplitude and phase calculations in smooth regions often require difference schemes that produce low dissipation and dispersion errors. However, preventing numerical oscillations near discontinuities requires adequate dissipation and dispersion, leading to challenges in constructing a high-resolution, low-oscillation numerical scheme. Although spectral [1,2,3] and compact schemes [4,5,6] exhibit good spectral properties, they can cause spurious numerical oscillations near shock regions, leading to significant errors or a failure to converge. The weighted essentially non-oscillatory (WENO) scheme, first proposed by Liu et al. [7] and further developed by Jiang and Shu [8], has been widely used as a high-order shock-capturing scheme. WENO dynamically adjusts the weights of candidate stencils to capture discontinuities without oscillations. However, the nonlinear mechanism damages the spectral properties of the scheme in smooth regions, and its numerical dissipation can often be too high for detailed simulations of small-scale compressible flows [9]. Moreover, the computational expense of WENO increases rapidly as the order of the problem and the grid resolution increase owing to the necessary enlargement of the stencils. Thus, to address these challenges, researchers have proposed hybrid schemes that combine shock-capturing and spectral schemes or optimize the spectral properties of shock-capturing schemes.
The hybrid approach that combines shock-capturing schemes with methods that have good spectral properties overcomes several weaknesses of numerical simulations. Hybrid schemes that use different sub-schemes in different regions have been proposed. For example, Adams and Shariff [10] developed a hybrid scheme that uses a non-conservative form of the upwind compact scheme in smooth areas and the conservative essentially non-oscillatory (ENO) scheme near discontinuities. Pirozzoli [11] further improved this scheme by replacing the ENO scheme with WENO and using the conservative compact scheme in shock-free regions. Ren et al. [12] then introduced a weighted function to achieve a smooth transition between the WENO and compact schemes. Hill and Pullin [13] proposed a tuned center-difference stencil optimized for large-eddy simulations and combined this with the WENO scheme. Moreover, Shen and Yang [14] developed hybrid finite compact-WENO schemes, while Costa and Don [15] proposed hybrid central-WENO and hybrid spectral-WENO schemes. The key aspect of hybrid schemes is the construction of a shock sensor or discontinuity detector that enables smooth switching between the different sub-schemes based on the flow characteristics.
Another feasible approach is to optimize the spectral properties of the shock-capturing scheme, even at the expense of the formal order of accuracy. The formal order of accuracy of a numerical scheme provides information regarding its convergence rate with respect to grid refinement but may not reflect the actual error on a given mesh [16]. Dispersion-optimized schemes, which prioritize the resolution of high-frequency components of the solutions, perform better than some traditional finite difference schemes with higher formal orders of accuracy. These spectral-optimized schemes are particularly suitable for simulating problems with a wide range of length scales, such as turbulence and aero-acoustics. For instance, Lele [4] developed a compact scheme with spectral-like resolution by employing Fourier analysis in measuring the phase error of the scheme. Tam and Webb [17] were able to minimize the dispersion error at short wavelengths through Fourier analysis, leading to the development of a dispersion-relation-preserving scheme that has been further refined by several researchers. In addition, efforts are being made to minimize the number of grid cells to improve computational efficiency while ensuring the desired level of computational accuracy. Deiterding et al. [18] developed a multi-resolution analysis method as a practical criterion for dynamic mesh refinement in compressible Euler simulations. This approach allows for a significant reduction in the number of computational elements by 20–40% while maintaining numerical solution accuracy.
Insufficient attention has been focused on the scalability and computational efficiency of numerical schemes. While WENO-type schemes are valued for their high accuracy in smooth areas and reduced numerical oscillations at discontinuities, their computational workload can increase rapidly with higher orders owing to the expanding template numbers and coefficient selection. These schemes can introduce dissipation lower than the order of the scheme at discontinuities to maintain computational stability, but this lower dissipation may pose challenges when dealing with small-scale flow structures in future large eddy simulations and direct numerical simulations. This limitation hampers the practical use of the scheme in computational tasks, particularly given its growing complexity. Additionally, an excessive focus on minimizing dispersion properties to address dispersion errors, rather than selecting appropriate dispersion coefficients based on flow characteristics, often overlooks the practical application scenarios of numerical schemes. Thus, in this study, we propose a high-order scheme that is not only simple to construct and easy to apply but also highly scalable, with the goal of reducing computational costs and enhancing efficiency in practical applications.
Herein, we introduce a seven-point fourth-order finite difference scheme that provides high computational accuracy, low computational costs, and seamless integration into computational fluid dynamics codes, commonly known as an adaptive dispersion minimized dissipation (ADMD) scheme, expanding on the perspectives of Sun et al. [19]. Moreover, with its scalability, researchers can develop numerical schemes with the desired level of accuracy required. The spectral properties of the scheme are analyzed with various coefficients using Fourier analysis. A principle for controlling the dispersion coefficient is proposed and an adaptive control method is developed based on a discontinuity detection function (DDF) inspired by Zhang [20] for shock detection. The ADMD scheme is established using DDFs obtained from flow field calculations conducted using a first-order scheme. The ADMD scheme proposed in this paper introduces a novel approach to constructing a numerical scheme. By utilizing Taylor expansion and Fourier analysis, a numerical scheme is developed that enables the independent control of dispersion and dissipation properties. The ADMD scheme is not only easier to generalize and extend to higher-order schemes than WENO-type schemes but also highlights the importance of adapting dispersion characteristics to flow field characteristics rather than solely focusing on minimizing dispersion coefficients. The ADMD scheme significantly enhances calculation efficiency, leading to a reduction in calculation time by at least 40–71% compared to WENO-type schemes of the same order.
The article is presented in five parts. The first two parts are the establishment of numerical schemes and control methods. Then, the results of numerical tests compared with the WENO-type schemes and analysis are shown in the third part. The fourth part is the main conclusion of this paper. At the end, a brief discussion and critical review are presented.
2. Hybrid High-Order Finite Difference Scheme with Controllable Dispersion and Low Dissipation Coefficients
2.1. Seven-Point Fourth-Order Finite Difference Scheme Combined with Dissipation and Dispersion Components
In this section, we describe a fourth-order finite difference scheme using seven points that incorporate independent dissipation and dispersion components. Thus, to illustrate the construction of the scheme, we employ a simplified, one-dimensional, linear wave equation:
where and refers to the constant propagation speed of the initial waves. On a uniform grid, is calculated as a linear discrete symmetric form at as
where , is the coefficient of , and represents the size of the stencil. As per the Taylor series expansion at , Equation (2) can be written as
where p denotes the order of the difference approximation of Equation (2). To calculate the derivative , it is necessary for the coefficients of the difference polynomial to satisfy the following:
Therefore, Equation (3) can be further written as
For , and we can obtain a seven-point fourth-order difference scheme polynomial. The coefficients of the polynomial terms must satisfy the following:
Equation (6) contains seven uncertain coefficients and only five equations; therefore, there are two independent, free parameters. Consider the initial condition to be a Fourier wave of the form
where x is the position and is the wave number. The modified wavenumber caused by spatial discretization can be determined by employing simple Fourier analysis:
where is the scaled wavenumber and and represent the real and imaginary parts of the modified wavenumber, commonly associated with the dispersion and dissipation properties of the scheme, respectively. According to Equation (3), the specific forms of and are
only affects the dissipation property of the difference polynomial. Considering the dissipation and upwind property of the difference scheme, Equation (6) can be solved by taking and as the free parameters. Thus, we have
By substituting Equation (11) into Equations (2) and (5), we obtain a seven-point fourth-order finite difference scheme with a suitable approximation order and reasonable dissipation and dispersion.
Given the characteristics of Equations (12) and (13), we define the dissipation coefficient and dispersion coefficient as
Moreover, substituting Equation (14) into Equations (12) and (13) yields
Thus, the difference polynomial has three components, i.e.,
where
Here, is a basic central-type scheme, is an additional dissipation-type scheme, and is an additional dispersion-type scheme. The parameters and are known to control the proportions of the additional dissipative and dispersive schemes within the total scheme, respectively.
2.2. Spectral Properties of the Scheme with Various Coefficients
In this section, we investigate the influence of the dispersion characteristics on the numerical oscillations near a discontinuity. We also explore methods that can be used for suppressing these oscillations by adjusting the coefficients.
By varying the dissipation and dispersion coefficients, the scheme transitions from a traditional fourth-order upwind scheme to a traditional sixth-order centered scheme. The specific values of and are presented in Table 1. Hence, the magnitudes of and are dependent on the order of the scheme, which ranges from fourth to sixth.
Table 1.
Order of the scheme with various values of and .
By employing the simple Fourier analysis described in Section 2.1, we obtain the dissipation and dispersion properties of the three components. Moreover, to analyze the function of the three sub-schemes, the dissipation and dispersion properties of , , and are plotted in Figure 1. By observing the properties of the three components (Figure 1), we can compare the contribution of the three sub-schemes to the whole scheme.
Figure 1.
Properties of the three components, (a) dissipation properties (b) dispersion properties.
After examining the properties of the three sub-schemes, it is crucial to investigate the effects of the two coefficients on the dissipation and dispersion properties of the scheme. By varying the values of these coefficients, we can analyze their effect on the accuracy and stability of the numerical simulations.
Figure 2 shows the dispersion property of the scheme with various values and a fixed value of ; meanwhile, Figure 3 shows the dissipation property of the scheme with various values and .
Figure 2.
Dispersion property under various values of .
Figure 3.
Dissipation property under various values of .
Figure 2 shows that the dispersion of the scheme is nearest to the exact solution when . When , is greater than the exact solution for the local wavenumbers (from ~1.0 to 2.0). By contrast, is determined to be less than the exact solution for other wavenumbers. Figure 3 shows that the dissipation property of the scheme is dependent on the size of , especially at high wavenumbers (up to 2.0).
Taken together, is termed the basic central-type scheme as it provides basic approximate derivatives and partial dispersion characteristics for the whole scheme. The additional dissipation-type scheme can effectively insert dissipation in making the scheme stable. The additional dispersion-type scheme provides supplementary dispersion characteristics for the scheme. and control the proportions of the additional dissipative and dispersive schemes within the total scheme, respectively. Thus, these parameters further control the dissipation and dispersion characteristics and approximation accuracy of the scheme.
Further analysis of and reveals that the two free parameters control the dissipation and dispersion properties by controlling the size of the coefficients of Equation (16). Moreover, their combined effect on these coefficients causes some variation in order, as shown in Table 1.
3. Adaptive Dispersion Control and Minimized Dissipation Control Methodology
3.1. Analysis of Dispersion Characteristics
Extensive research has highlighted the significance of suppressing numerical oscillations near discontinuities to achieve high-resolution numerical simulations. Therefore, the key aspect of constructing a high-order scheme lies in restraining these numerical oscillations. Zhang [21] argued that the dissipation and dispersion properties are often influenced by the even- and odd-order terms, respectively, in the modified Equation (16). When the coefficient of the three-order dispersion terms is positive, numerical oscillations occur upstream of the shock wave, whereas the solution remains smooth downstream of the shock wave. Conversely, when the coefficient is negative, the solution is smooth upstream of the shock wave, but numerical oscillations arise downstream of the shock wave. This finding can be generalized to the vicinity of discontinuities. To validate these ideas, numerical tests can be conducted using the one-dimensional Euler equations of gas dynamics, which are expressed in a conservative form as follows:
where
Here, is the density, is the fluid velocity, is the total energy per unit volume, is the gas temperature, and is the pressure. The ideal gas law relates the thermodynamic variables, where R is the gas constant. The inviscid numerical fluxes are computed by applying the Steger–Warming flux vector splitting scheme. The specific details of the Steger–Warming flux vector splitting scheme are described in Appendix A.
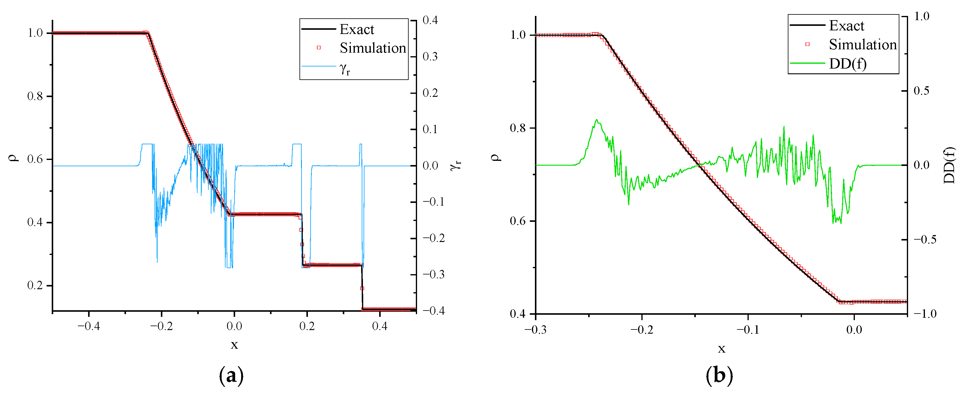
These numerical tests can further investigate and validate our proposed approach for suppressing numerical oscillations near discontinuities. A classical Riemann problem is engaged using the one-dimensional Euler equations with the following initial conditions:
By fixing with the same dissipation as the traditional fifth-order upwind scheme, the dispersion coefficient can vary from −1/6 to 1/6. The solution is advanced in time up to t = 0.2 s with N = 200 grid points. The calculation results are shown in Figure 4.
Figure 4.
Global and local density results of Riemann problem at t = 0.2 s. (a) Global solutions. (b) Solutions downstream of expansion wave. (c) Solutions upstream of expansion wave. (d) Solutions near the contact slip line. (e) Solutions near the shock wave.
As shown in Figure 4a, the amplitude of oscillations near the discontinuity varies depending on the value of the coefficient. The solutions near the expansion wave are presented in Figure 4b,c. There seems to be a clear trend in the numerical oscillations near the expansion wave. Downstream of the expansion wave, the amplitude of the numerical oscillation increases with an increase in , while upstream of the expansion wave, the numerical oscillation decreases as increases. The numerical results presented near the contact discontinuity in Figure 4d indicate that prior to the contact discontinuity, an increase in leads to heightened numerical oscillations; conversely, beyond the contact discontinuity, an increase in effectively suppresses these oscillations. A similar conclusion is evident from the numerical results near the shock wave. As illustrated in Figure 4e, achieving smaller numerical oscillations requires a lower value before the shock wave and a higher value afterward. It is evident that to suppress numerical oscillations, the control principle for remains consistent across various types of flow field discontinuities. Specifically, should be negative before the discontinuity and positive after it. These results offer valuable insights into the influence of in terms of controlling the oscillations. Moreover, it is deemed crucial to develop a method for detecting discontinuities in the flow field as this would provide a better understanding of the occurrence of such disruptions.
3.2. Range of Based on Stability Analysis
In this section, we investigate the stability characteristics of the proposed scheme. A thorough stability analysis is conducted and the rules governing the control of variations in and are explored.
3.2.1. Principles of Discontinuity Control and Stability
Considering the one-dimensional convection equation, this proposed scheme is applied to . We then obtain the semi-discrete correction equation
Based on the principles of discontinuity control and stability, as proposed by Zhang [21], a high-order finite difference scheme must satisfy the following criteria:
The coefficients and represent the (2m)th and (2m + 1)th terms of Equation (25), respectively. Ignoring higher-order small terms and considering only the first term of Equation (25), we obtain
3.2.2. Stability Analysis
Assuming that an error function satisfies Equation (1), we have
Substituting Equations (32) and (33) into Equation (15), we obtain the following expression for the amplification factor of a discrete equation:
where
As per the von Neumann stability criterion, the amplification factor should satisfy
Simple mathematical analysis of , , and leads to the following two conclusions:
- ➀
- A larger value of produces a more stable numerical scheme.
- ➁
- A smaller value of provides a wider range of values.
To ensure a broad range of values for while preventing from becoming excessively small, thereby maintaining the efficiency of time advancement, we fix the value of at 0.5. Under the requirement of maintaining numerical stability, the value of should adhere to the following criteria, as established by this stability analysis:
3.3. Adaptive Control of Dispersion Coefficient
To derive a non-oscillatory and non-free-parameter dissipation difference scheme, Zhang [21] concluded that can be used to detect shock waves by analyzing the entropy problem. Following this conclusion, we establish the DDF as follows:
Upstream of discontinuities, leads to . In contrast, means that downstream of discontinuities. To ensure the fourth-order detection of discontinuities, we employ the following discrete method to calculate the :
As specified in Section 3.1 and Section 3.2, should be controlled near the discontinuities to suppress oscillations. The following section describes the adaptive control methodology of in greater detail.
Considering the control criteria of and combining the , we establish an adaptive control function for to suppress numerical oscillations in the vicinity of discontinuities. The adaptive control function is defined as follows:
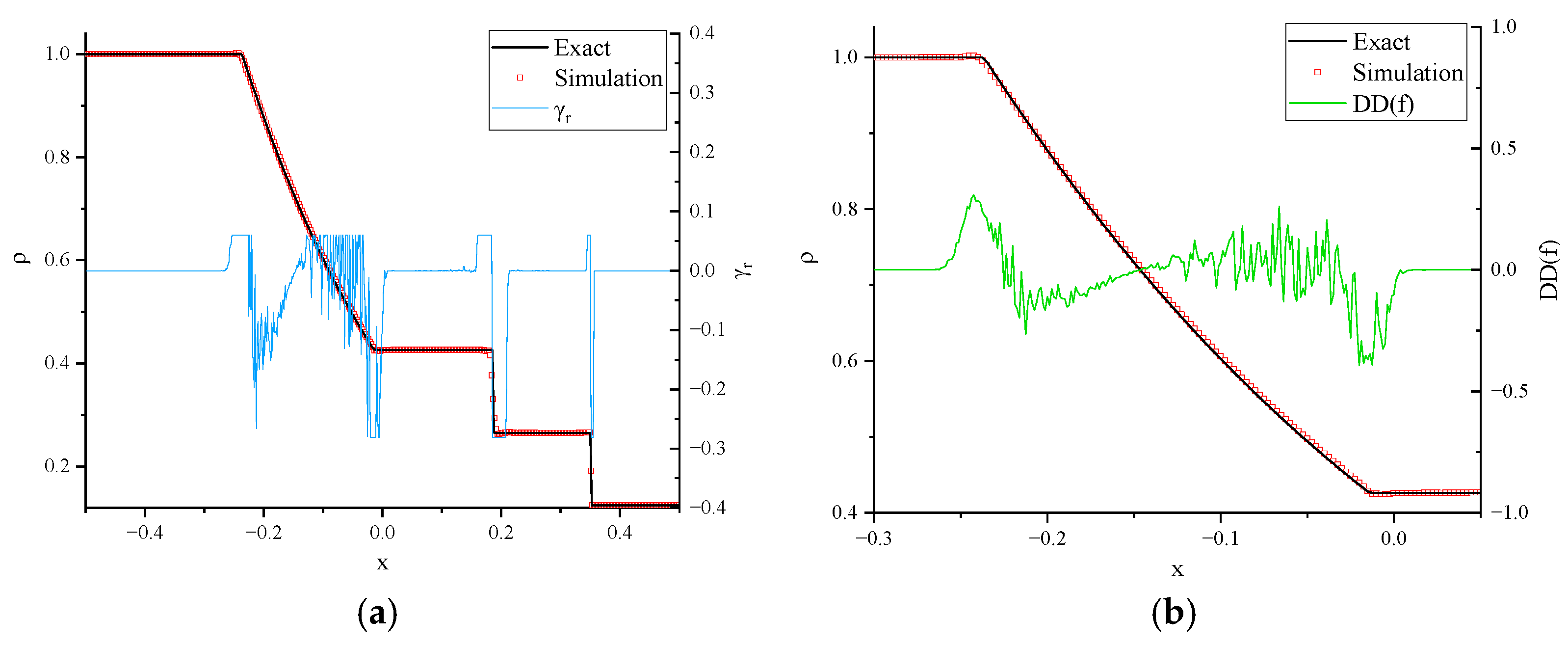
The Riemann problem mentioned in Section 3.1 is applied to test the feasibility of this algorithm. The numerical and exact solutions of the Riemann problem are presented in Figure 5. As can be noted from the expression of , when the flow field is smooth, DD(f) = 0 and , and the scheme reaches fifth-order accuracy, as proved by Equation (19). When the flow field is discontinuous, before the discontinuity and the minimum is not less than −0.406. After the discontinuity, and the maximum value is not more than 0.0558 to ensure the control of oscillations.
Figure 5.
Global and local density results of Riemann problem at t = 0.2 s. (a) Global solutions. (b) Solutions near the contact slip line and shock wave.
Figure 5 confirms that this control method effectively reduces the numerical oscillations in the majority of the computational domains. However, numerical oscillations still occur near the expansion wave and contact slip line. Moreover, weak oscillations appear during the shock wave and on the contact slip line. This may be attributed to the transition of being not smooth enough; meanwhile, the fluctuation of in smooth areas means that the accuracy of the scheme cannot reach the fifth order. Numerical oscillations in the flow fields can further generate fluctuations in .
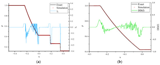
Thus, to increase the stability of the algorithm, a low-order preprocessing method is employed to calculate the . When solving the Euler equation with a high-order scheme, a first-order scheme is employed to obtain sufficiently smooth results for the s. Because solutions of the first-order scheme are sufficiently smooth without any numerical oscillations, the transition of is described to be smooth enough to effectively suppress the numerical oscillations. Similarly, the Riemann problem is applied to test the reasonability of this hypothesis. The numerical and exact solutions of the Riemann problem are presented in Figure 6.

Figure 6.
Global and local density results of the Riemann problem at t = 0.2 s. (a) Global solutions. (b) Solutions near the expansion wave. (c) Solutions near the contact slip line. (d) Solutions near the shock wave.
As shown in Figure 6, fluctuations in only appear during the expansion wave areas and have no effect on the simulation. Interestingly, = 0 in the smooth areas; thus, these calculation results have fifth-order accuracy. The results in this section indicate that the proposed ADMD scheme achieves adaptive dispersion control through the . As shown in Figure 6b–d, the s accurately capture discontinuities in the flow field.
3.4. Minimization of Dissipation Coefficient Control
In the preceding section, adaptive control was utilized to adjust the dispersion coefficient, which allowed the numerical scheme to display varying dispersion characteristics at different locations within the flow field. In this section, we delve into enhancing the dissipative properties of the numerical scheme by optimizing the dissipative coefficients outlined in Equation (17). The discussion begins by examining the smooth metric factors proposed in the WENO scheme.
where
Considering the calculation method proposed by Jiang and Shu [8], we obtain
By utilizing the method outlined in Section 2.1 in calculating the second-order derivative term and considering the specific features of the formula, we then substitute this term in Equation (14) to obtain the following result:
The second-order derivative is calculated with fourth-order accuracy
Furthermore, from Equation (44), we obtain
Substituting Equations (17) and (46) into Equation (43), we obtain
where
The smooth metric factor is smaller in smooth areas and larger in discontinuous areas. Equation (43) reveals that the smooth metric factor reaches a minimum value, which corresponds to a specific dissipation coefficient. At this time,
To maintain calculation stability, it is deemed crucial to increase the dissipation of the scheme. As outlined in Table 1, this ensures that the scheme dissipation does not exceed the fifth order. While avoiding excessive dissipation, reference to Table 1 is essential to maintain the scheme dissipation below the fourth order. The final calculation method for the dissipation coefficient is as follows:
Thus, an ADMD finite difference scheme is developed, which exhibits a theoretical accuracy of at least the fourth order. The construction of this scheme is simple and allows for easy generalization to higher-order numerical schemes. The subsequent section will present the results of classical tests, comparing the proposed ADMD scheme with other high-order numerical schemes. These results confirm the effectiveness of the ADMD scheme, thus highlighting its significant advantage in terms of computational efficiency.
4. Numerical Tests and Analysis
4.1. Spectral Properties of the ADMD Scheme
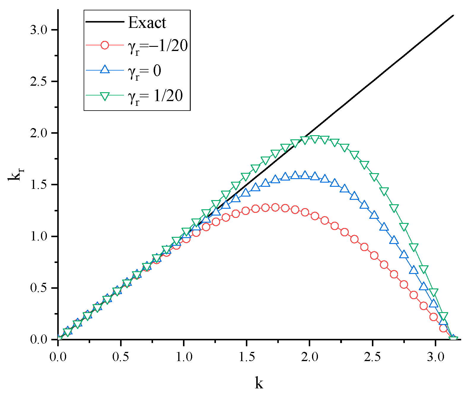
Simple Fourier transforms are commonly employed to investigate the dissipation and dispersion properties of linear schemes. However, no standardized approach exists for examining the spectral properties of nonlinear schemes. Thus, in this study, a novel method proposed by Pirozzoli [22] was adopted to analyze the wave propagation characteristics of the shock wave capture scheme by defining an appropriate approximate dispersion relationship (ADR). The ADR serves as a valuable tool for optimizing nonlinear schemes. Utilizing this methodology, we delved into the analysis of the ADMD scheme and conducted a comparison among several widely utilized schemes, including WENO-JS [8], WENO-Z [23], and TENO [24]. The computational outcomes are illustrated in Figure 7. The specific implementation details of the three WENO schemes are described in Appendix B.
Figure 7.
Comparison of spectral properties for various schemes. (a) Dispersion properties. (b) Dissipation properties.
The ADMD scheme demonstrated excellent dispersion properties, which align well with spectral properties in the low wavenumber range. It outperformed the WENO-JS5, WENO-Z5, and WENO-7 schemes in the medium-wavenumber range and matched the performance of the top-performing TENO-5 scheme. In the medium to high wavenumber range, it slightly surpassed the TENO scheme. Interestingly, the seventh-order WENO scheme, known for its high calculation accuracy, did not exhibit the best dispersion properties, thus emphasizing that spectral properties are not directly correlated with order. This highlights the significance of spectral properties in numerical schemes.
The analysis shown in Figure 7b reveals that the WENO-type scheme enhanced dissipation at medium and high wave numbers, ensuring the stability of the calculation. Particularly, the WENO-JS5 scheme exhibited the highest dissipation. Compared to the dissipation properties of WENO-JS5 and WENO-Z5, those of TENO-5 demonstrated superior performance, even surpassing the seventh-order WENO scheme. The TENO-5 scheme showed significant advantages in terms of controlling numerical dissipation. Notably, ADMD exhibited exceptional performance in dissipation properties, with dissipation levels approaching zero. By adjusting dispersion coefficients adaptively in flow fields with diverse properties, ADMD was able to minimize its reliance on numerical dissipation for calculation stability, thereby demonstrating outstanding dissipation and dispersion properties simultaneously. It is worth noting that due to the inability to capture discontinuities, the dissipation and dispersion presented here do not adequately represent the true effects observed in actual simulations.
4.2. One-Dimensional Numerical Tests
4.2.1. Shu–Osher Problem
The Shu–Osher problem is governed by the one-dimensional Euler equations with the following initial conditions [25]:
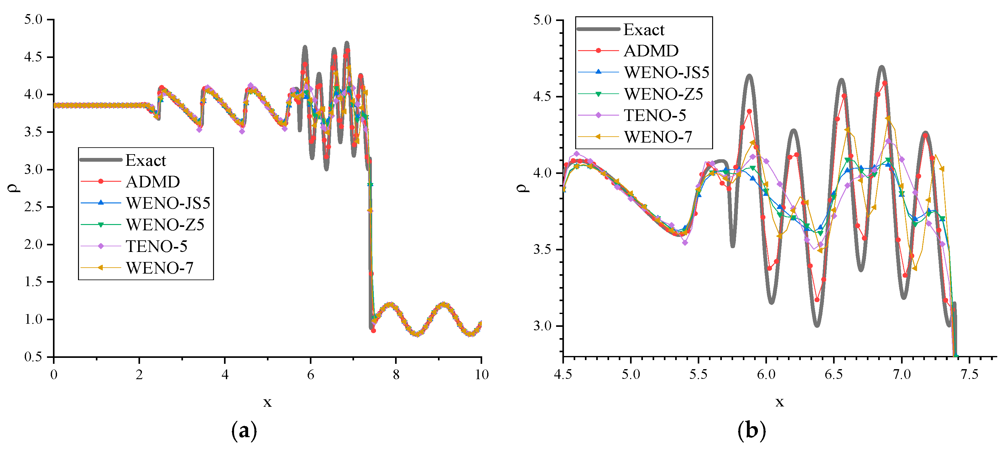
The test case considered here involved the unsteady interaction of a Mach 3 shock wave with a sine entropy wave carrying density fluctuations. This test case is commonly used to assess the ability of a scheme to resolve small-scale structures while ensuring robustness in capturing discontinuities. The solution was advanced in time until t = 1.8 s. The performance of each numerical scheme was analyzed under varying grid scales; N = 200 and N = 400 points were utilized for these calculations. The Steger–Warming flow vector splitting method was used for all cases in this study. To mitigate the effects of time advancement on the flow field calculations, all test cases presented in this article employed the third-order Runge–Kutta method as the time integration scheme. Given that this case included both discontinuities and medium-wavenumber fluctuations, it provided an ideal scenario for evaluating the performance of shock detectors. The ADMD and other scheme results of the Shu–Osher problem are shown in Figure 8 and Figure 9. The computational costs are presented in Figure 10.
Figure 8.
Distributions of density at t = 1.8 s for the Shu–Osher problem (N = 200). (a) Global. (b) Local.
Figure 9.
Distributions of density at t = 1.8 s for the Shu–Osher problem (N = 400).
Figure 10.
Total computational time for the one-dimensional Shu–Osher problem (N = 200).
The exact solution of the benchmark was obtained by calculating N = 2000 points using the seventh-order WENO scheme. Figure 8 illustrates that at larger grid scales, both the ADMD and WENO-7 schemes were more effective in terms of capturing small-scale structures. It is evident that all schemes demonstrated a strong capability in resolving small structures downstream of the shock wave. Additionally, they effectively differentiated between smooth structures and shock waves, showing excellent performance in capturing wave peaks and troughs while avoiding numerical oscillations. The ADMD scheme was noted to stand out among other schemes for its superior ability to capture wave peaks and troughs and resolve small structures resulting from shock waves. As the grid scale was further refined, Figure 9 demonstrates that all numerical schemes performed adequately in capturing the small-scale structures within the flow field, with the ADMD scheme exhibiting a closer approximation to the exact solution. Furthermore, Figure 10 shows a bar graph of the total computational time computed by the ADMD scheme compared to other WENO schemes at 200 grid numbers. As can be seen from Figure 10, the ADMD scheme took only 0.53 s for computation, whereas the WENO-JS5 scheme consumed 3.42 s. This illustrates the significant advantage of the ADMD scheme in terms of calculation efficiency. Compared to other schemes, it significantly reduced the calculation time by more than 80%, which is crucial for the practical application of numerical schemes in computations.
4.2.2. One-Dimensional Riemann Problem
The one-dimensional Riemann problem is widely used for the verification of numerical algorithms as it exhibits three types of discontinuities, namely, shock waves, expansion waves, and contact slip lines. We considered the same Sod’s shock-tube problem [24], as shown in Section 3.1, to evaluate the ability of the proposed algorithm in capturing discontinuities. The solution was advanced in time up to t = 0.2 s, with N = 400 grid points. The exact solution and numerical solution are presented in Figure 11 and the computational costs are shown in Figure 12.
Figure 11.
Distributions of density at t = 0.2 s for the one-dimensional Riemann problem. (a) Global. (b) Local.
Figure 12.
Total computational time for the one-dimensional Riemann problem.
The ADMD scheme, as depicted in Figure 11, was noted to demonstrate comparable resolution and accuracy to other schemes in the vicinity of the shock wave and contact slip line. It is thus important to note that the ADMD scheme incorporated a sixth-order dissipation term throughout the flow field, whereas the WENO-JS5 scheme included a third-order dissipation term. Consequently, the dissipation characteristics of ADMD outperformed those of the WENO-type schemes. However, the lower dissipation in ADMD resulted in some minor fluctuations at the front and rear of the expansion wave. Notably, as shown in Figure 12, the computational time of WENO-JS5 was found to be over seven times longer than that of ADMD, while the computational cost of the TENO-5 scheme, which has previously shown good performance, was more than thirteen times higher than that of ADMD. This indicated that despite ADMD utilizing low-order preprocessing, its computational cost was significantly lower than the amplified template of WENO. As the computational order increased, the cost disparity between the two types of approaches escalated rapidly. It is evident that in one-dimensional computations, the ADMD scheme offers superior calculation accuracy as it effectively handles flow field discontinuities such as shock waves and expansion waves and adeptly resolves small structures within the flow field. The substantial advantage of the ADMD scheme in conserving computational resources will be further explored in the subsequent sections.
4.3. Two-Dimensional Numerical Tests
4.3.1. Two-Dimensional Riemann Problems
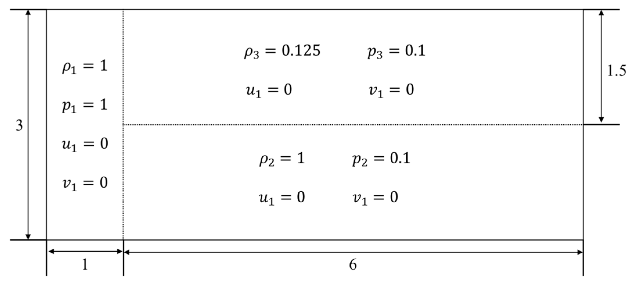
We considered three cases from the previously reported collection of 2D Riemann problems [26,27]. These problems were solved on the square , which was then divided into four quadrants by lines . The Riemann problems were defined by initial constant states in each quadrant. These initial states in the left/right and upper/lower quadrants for the pressure , density , x-component of velocity , and y-component of velocity are presented in Table 2, along with the time T at which the results are presented. Each of these problems used the gas constant . The computations were performed on a mesh containing 400 × 400 grid points for cases 2 and 3, while case 1 was performed on 2000 × 2000 grid points. In presenting the results, we use the same set of contours for density as used previously [28]. All the previously reported Riemann problems [28] were proposed in such a way that the solutions of the four one-dimensional Riemann problems in each quadrant had exactly one wave (shock, rarefaction, or contact slip). Following this previous study [28], let R denote rarefaction, S denote shock, and J denote contact slip. Starting at the left side and going clockwise, the cases were as follows: Case 1: S, S, S, S; Case 2: J, S, S, J; and Case 3: S, J, R, J. All cases were solved on a mesh consisting of grid points. We then compared the ADMD scheme with four other high-order schemes, namely, WENO-JS5 [8], WENO-Z5 [23], TENO-5 [24], and WENO-7.
Table 2.
Initial states in four quadrants for two-dimensional Riemann problems.
An example of the initial settings and flow fields for case 2 is presented in Figure 13. The solutions for the two-dimensional Riemann problems are illustrated in Figure 14, Figure 15 and Figure 16 for cases 1–3, respectively. The computational times of the different schemes are presented in Figure 17.
Figure 13.
Initial settings and flow fields for case 2. (a) Initial states for case 2. (b) Initial density distribution for case 2.

Figure 14.
Results for case 1. (a) ADMD. (b) WENO-JS5. (c) WENO-Z5. (d) TENO-5. (e) WENO-7. Pressure is displayed by color, density by 32 contours (from 0.16 to 1.71 with step 0.05), and velocity by arrows.

Figure 15.
Results for case 2. (a) ADMD. (b) WENO-JS5. (c) WENO-Z5. (d) TENO-5. (e) WENO-7. Pressure is displayed by color, density by 30 contours (from 0.54 to 1.7 with step 0.04), and veloc-ity by arrows.

Figure 16.
Results for case 3. (a) ADMD. (b) WENO-JS5. (c) WENO-Z5. (d) TENO-5. (e) WENO-7. Pressure is displayed by color, density by 29 contours (from 0.43 to 0.99 with step 0.02), and veloc-ity by arrows.
Figure 17.
Computational costs of the five schemes with different thread numbers for two-dimensional Riemann problems. (a) With 8 thread numbers. (b) With 16 thread numbers. (c) With 32 thread numbers.
As shown in Figure 14, Figure 15 and Figure 16, the pressure is displayed by color, density is indicated by contours (32 contours for case 1, ranging from 0.16 to 1.71 at 0.05 intervals; 30 contours for case 2, ranging from 0.54 to 1.7 at 0.04 intervals; and 29 contours for case 3, ranging from 0.43 to 0.99 at 0.02 intervals); and velocity is denoted by arrows. The ability to capture discontinuities, such as shock waves, expansion waves, or contact discontinuities, was comparable between ADMD and other schemes. Numerical oscillations in WENO-JS5 exhibited smaller amplitudes than those in ADMD, possibly owing to the lower order dissipative term in WENO-JS5. The ADMD scheme mitigated numerical oscillations by regulating the dissipation coefficient, which had minimal effect on numerical computations. Figure 14, Figure 15 and Figure 16 demonstrate that ADMD yielded a calculation accuracy and results similar to those of WENO-JS5 while exhibiting a capacity to capture contact discontinuities and expansion waves comparable to that of WENO-Z5 and TENO-5. Moreover, ADMD produced smaller, non-physical oscillations in the calculation results and higher accuracy in simulating the interaction of various flow field discontinuities compared to other schemes.
Figure 17 depicts a radar chart that illustrates the time taken to calculate the three cases in five numerical schemes across varying numbers of computer threads. The conclusions drawn under the different thread numbers remained consistent. Notably, the TENO-5 scheme consistently exhibited the longest calculation time across different thread numbers, significantly surpassing the other four schemes. Meanwhile, the calculation times for the WENO-JS5 and WENO-Z5 schemes were deemed comparable. Additionally, Figure 14, Figure 15 and Figure 16 indicate that the TENO-5 scheme outperformed the WENO-7 scheme in terms of calculations, highlighting its competitive nature. The simplicity of the WENO-JS5 and WENO-Z5 schemes resulted in the second shortest calculation time. The ADMD scheme, characterized by a straightforward construction, demonstrated exceptional calculation efficiency as it significantly outperformed the other four schemes and showcased its substantial advantages in terms of practical applications.
4.3.2. Two-Dimensional Implosion Problem
The two-dimensional implosion problem was applied to evaluate the robustness and dissipation of the scheme and its ability to handle complex shock interactions. This complex shock problem was presented in [29]. The computation domain was set in with a grid. Initial data inside the triangle were and outside were . Initial velocities were zero. The gas constant was . Reflecting boundary conditions were used on all four boundaries. The initial settings are presented in Figure 18.
Figure 18.
Initial settings and flow fields for two-dimensional implosion problem.
The results of the five schemes at are shown in Figure 19. The color pressure map is overlaid by 31 density contours (from 0.35 to 1.1 with step 0.025) and velocity arrows. The computation time is presented in Figure 20. A jet formed in the results of all five schemes. Additionally, we observed a lack of symmetry in the split dimensions for ADMD, WENO-Z5, and WENO-7. In contrast, only TENO-5 exhibited symmetry, providing more detailed representations of flow structures. Meanwhile, ADMD was capable of resolving flow structures resulting from complex shock interactions, with its symmetry ranking second only to that of TENO. As illustrated in Figure 20, the ADMD scheme also performed highly competitively in terms of computation time.

Figure 19.
Results for two-dimensional implosion problem at . (a) ADMD. (b) WENO-JS5. (c) WENO-Z5. (d) TENO-5. (e) WENO-7.
Figure 20.
Computational costs of the five schemes for the implosion problem.
4.3.3. Rayleigh–Taylor Instability Problem
Rayleigh–Taylor instability is known to occur at the interface between two fluids of different densities when the heavier fluid accelerates into the lighter fluid. This instability manifests as finger-like structures, with bubbles of the lighter fluid rising into the surrounding heavier fluid and spikes of the heavier fluid falling into the lighter fluid. According to previous studies, this phenomenon exhibits intricate details and fine structures. Because of the complex nature of Rayleigh–Taylor instability, this serves as a valuable benchmark to test and evaluate the resolution and accuracy of numerical schemes. The ability of a numerical scheme to capture the small-scale structures and accurately simulate the growth and evolution of this instability is a significant aspect in validating its performance.
We considered a computational domain of in which the interface was initially at . The heavy fluid (with ) was below the interface and the light fluid (with ) was above the interface, with acceleration acting in the positive y-direction. The pressure was continuous across the interface. A small perturbation was then applied to the velocity component in the y-direction. A source term was added to the right-hand side of the third equation of the Euler system, while was added to the fourth equation. The final simulation time was and the initial conditions [30] were given as
where is the sound speed and is the ratio of the specific heats. To compare the sensitivity of the numerical results to the grid spacing, we considered three uniform meshes, that is, . The computation time is presented in Figure 21. Figure 22 presents the density contours obtained by the ADMD, WENO-JS5, WENO-Z5, TENO-5, and WENO-7 schemes with each grid resolution.
Figure 21.
Computational costs of the five schemes with different values for the Rayleigh–Taylor instability problem.

Figure 22.
Results for the Rayleigh–Taylor instability problem (from left to right: ADMD, WENO-JS5, WENO-Z5, TENO-5, and WENO-7). (a) h = 1/120. (b) h = 1/240. (c) h = 1/480.
As shown in Figure 21, the ADMD scheme proved to be highly competitive in terms of the computation time. Figure 22 illustrates that at a relatively coarse grid (h = 1/120), the ADMD scheme did not show any significant advantage over the WENO schemes, thus yielding similar results. The TENO scheme has been determined to perform the best at this grid resolution. When the grid was refined (h = 1/240), the ADMD scheme successfully captured small-scale structures arising from density discontinuities and exhibited a vortex-like trend at the mushroom stalk, similar to the WENO-7 scheme. As the grid was further refined, all schemes enhanced their accuracy, with ADMD excelling in capturing various small-scale structures and outperforming both WENO-JS5 and WENO-Z5. Nonetheless, instability issues arose owing to the theoretical accuracy of the ADMD scheme exceeding the fourth order, which often resulted in oscillations and inadequate dissipation.
4.3.4. Double Mach Reflection Problem
This problem was initially proposed and examined by Woodward and Colella [31]. It has been extensively used as a test case for high-resolution schemes. We considered a computational domain of , with a reflecting wall at the bottom of the computational domain for . Initially, a right-moving Mach 10 shock was positioned at forming a 60° angle with the x-axis. For the bottom boundary, the exact post-shock condition was imposed from x = 0 to x = 1/6; thereafter, a reflective boundary condition was applied in other regions. At the top boundary, the flow values were set to describe the exact motion of the Mach 10 shock. Inflow and outflow boundary conditions were used for the left and right boundaries, respectively. The unshocked fluid had a density of 1.4 and a pressure of 1.0. The solution was obtained until , with the ratio of specific heat set to . The computations were performed on a mesh containing 200 × 800 grid points. The initial flow conditions [32] were given as
The computational costs of the five schemes are summarized in Figure 23. The results given by the five schemes are displayed in Figure 24 and Figure 25.
Figure 23.
Computational costs of the five schemes for the double Mach reflection problem.

Figure 24.
Results for the double Mach reflection problem (global). (a) ADMD. (b) WENO-JS5. (c) WENO-Z5. (d) TENO-5. (e) WENO-7.

Figure 25.
Results for the double Mach reflection problem (local). (a) ADMD. (b) WENO-JS5. (c) WENO-Z5. (d) TENO-5. (e) WENO-7.
Figure 22 illustrates the performance of all five schemes in terms of accurately calculating the flow of double Mach reflections and effectively identifying the location and intensity of shock waves. The solution of the TENO-5 scheme stood out for its exceptional clarity and accuracy in capturing shock waves. In terms of the complexity of the flow field, the WENO-7 scheme exhibited the finest structure, closely followed by the TENO-5 scheme. The ADMD scheme exhibited oscillations similar to WENO-7 when calculating the reflected shock waves but captured finer flow field structures than both WENO-JS5 and WENO-Z5. This difference may be attributable to the higher theoretical accuracy of the ADMD scheme, which is greater than the fourth order, and the limited dissipation leading to oscillations near the shock. However, the controlled dissipation of the ADMD scheme enabled the effective capture of the structural details while maintaining low overall dissipation. Furthermore, as shown in Figure 23, the ADMD scheme demonstrated significantly lower computational efficiency than other schemes. Even when compared to the less time-consuming WENO-JS5 scheme, ADMD took nearly half the time taken by WENO-JS5. During the calculation, we determined that the parameters of the TENO scheme require adjustment to adequately address double Mach reflection problems, which consequently limits its versatility.
4.3.5. Doubly Periodic Double Shear Layer Problem
The doubly periodic double shear layer problem represents a viscous problem characterized by a pair of doubly periodic shear layers [33,34]. When the numerical method fails to adequately resolve the flow field, non-physical vortices may appear during the evolution stage. A study of the ’thin’ shear layer problem is presented in [33,34], where the initial velocity, density, and pressure are given by
where , , the shear layer width parameter , the perturbation size , and the specific heat ratio . The computational domain was (0, 1) × (0, 1) on 256 × 256 grid points. All boundaries employed periodic boundary conditions.
Figure 26 illustrates vorticity calculated by five schemes at t = 0.8 s and Figure 27 shows the computational costs. The vorticity was defined by the Q criterion as follows:

Figure 26.
Vorticity contours for the doubly periodic double shear layer at t = 0.8 s. (a) ADMD. (b) WENO-JS5. (c) WENO-Z5. (d) TENO-5. (e) WENO-7.
Figure 27.
Computational costs of the five schemes for the doubly periodic double shear layer.
The results show that all five schemes could capture main vortex in the whole domain. Near the location (0.5, 0.75), the spurious roll-ups appeared, especially in the results of the TENO and WENO-7 schemes. Comparatively, the ADMD scheme performed better in the prominent vortex structures. As shown in Figure 26, the ADMD scheme significantly outperformed other methods in reducing computational resource consumption during two dimensional viscous numerical calculations.
4.3.6. Single-Material Triple Point Problem
A modified triple point problem [35] is presented next, wherein we utilized a single material instead of multiple materials. The material in question was an ideal gas with . The problem configuration, including the initial conditions, is illustrated in Figure 28. The computational domain was defined as , with the flow initially at rest. Slip wall boundary conditions were then enforced on all sides of the entire computational domain. The uniform mesh of was set. The internal energies at t = 5.0 s are depicted in Figure 29 using a unique color map with a range of [0.25, 4] for all computations.
Figure 28.
Problem setup of the single-material triple point problem.
Figure 29.
Internal energy at t = 5.0 s. (a) ADMD. (b) WENO-JS5. (c) WENO-Z5. (d) TENO-5. (e) WENO-7.
In the calculation results of the TENO-5 and WENO-Z5 schemes (Figure 29), there was a relatively violent mixing at the interface between fluids 2 and 3, and other numerical schemes failed to capture this structure. In comparison, the performance of the ADMD scheme was third to TENO-5 and WENO-Z5, which accurately captured the small-scale structures generated by discontinuities in the shock-induced flow field. Concurrently, it is easy to see from the computational efficiency comparison analysis chart in Figure 30 that the ADMD scheme still maintained great superiority in terms of computational efficiency.
Figure 30.
Computational costs of the five schemes for the single-material triple point problem on each step.
4.4. Three-Dimensional Numerical Tests
4.4.1. Inviscid Simulation of the Three-Dimensional Taylor–Green Vortex
The initial condition of the three-dimensional Taylor–Green vortex problem [30,35,36] was
The computational domain was , with periodic boundary conditions. For inviscid simulations, the built-in dissipation of the numerical method could be assessed using the quantitative measures of the total kinetic energy and entropy. The total kinetic energy was defined as follows:
Figure 31 illustrates the resolved vortical structures from different schemes of the Taylor–Green vortex. Figure 32 presents the temporal evolution of mean kinetic energy normalized against their initial values and the energy spectrum at t = 10 s. The law is used as a reference for the energy spectrum. The computational costs of the five schemes are summarized in Figure 33.

Figure 31.
Resolved vortical structures of the Taylor–Green vortex at t = 10. (a) ADMD. (b) WENO-JS5. (c) WENO-Z5. (d) TENO-5. (e) WENO-7.
Figure 32.
Time evolution of the normalized kinetic energy (left) and energy spectrum for five schemes at t = 10 s (right).
Figure 33.
Computational costs of the three schemes for the inviscid three-dimensional Taylor–Green vortex on each step.
The WENO-JS5 scheme demonstrated the least effectiveness in resolving vortices, followed by the WENO-Z5 scheme, whereas the WENO-7 scheme exhibited the highest capability. The ADMD scheme closely resembled the TENO-5 scheme, ranking just below the WENO-7 scheme. Analyzing the curves of the total kinetic energy dissipation curve and the energy spectrum revealed that both the ADMD and TENO-5 schemes significantly outperformed the other schemes, with their results being quite similar. Furthermore, the ADMD scheme maintained excellent computational efficiency.
4.4.2. Direct Numerical Simulation of Decaying Compressible Isotropic Turbulence
Direct numerical simulation of decaying compressible isotropic turbulence [37] is effective in examining the resolution of small-scale fluctuations. We selected an initial turbulent Mach number and an initial Taylor Reynolds number to compare four types of WENO schemes. The computational domain was and the number of grids was . All three directions of the boundary conditions were periodic conditions.
The normalized root mean square (RMS) of density was . The Taylor Reynolds number , turbulent kinetic energy , turbulent Mach number , velocity derivative skewness, and initial large-eddy-turnover time were given as
where
Among them, the operator represents the volume average for this quantity. The computational costs of the five schemes are summarized in Figure 34. In Figure 35, the temporal evolution of Taylor Reynolds number, normalized turbulent kinetic energy, normalized turbulent Mach number, velocity derivative skewness, and normalized RMS of density for the ADMD, WENO-JS5, WENO-Z5, TENO-5, and WENO-7 schemes is presented, with representing the large-eddy-turnover time at the initial time [37]. The DNS data from Samtaney et al. [38] serve as a reference point for comparison.
Figure 34.
Computational costs of the five schemes for direct numerical simulation of decaying compressible isotropic turbulence at each step.
Figure 35.
Statistic quantities of DNS of decaying compressible isotropic turbulence. (a) Time history of Taylor Reynolds number. (b) Time history of normalized turbulent kinetic energy. (c) Time history of normalized turbulent Mach number. (d) Time history of velocity derivative skewness. (e) Time history of normalized RMS of density.
As shown in Figure 34, the ADMD scheme maintained a notable edge in terms of reducing computational resource consumption in three-dimensional numerical calculations. Compared to the WENO-JS5, WENO-Z5, TENO-5, and WENO-7 schemes, the ADMD scheme showed an efficiency improvement of 47.8%, 50.6%, 65.5%, and 56.9%, respectively.
Our study findings are consistent with those of Samtaney [38], indicating the effectiveness of the calculation methods utilized. Analysis of the Taylor Reynolds number decay curve, as depicted in Figure 35a, showed that the results of the ADMD, WENO-Z5, TENO-5, and WENO-7 schemes aligned closely with Samtaney’s results, while the WENO-JS5 scheme displayed slightly higher values. Moreover, Figure 35b,c suggest that the turbulent kinetic energy and turbulent Mach number decayed more rapidly in the calculation of the WENO-JS5 and WENO-Z5 schemes, indicating increased dissipation during calculations. The ADMD and TENO-5 schemes performed well, consistent with Samtaney’s results and comparable to the WENO-7 scheme. Figure 35d demonstrates the velocity derivative skewness attenuation curve, a high-order statistic sensitive to small scales in the flow field. The results of this study are consistent with the existing literature, indicating the effectiveness of the ADMD scheme in capturing medium and small scales in the flow field. Furthermore, Figure 35e emphasizes the ADMD scheme’s superior ability to reduce numerical dissipation. In the time decay curve of the normalized RMS of fluctuation density, only the ADMD and TENO-5 schemes corresponded to Samtaney’s results; meanwhile, the other schemes exhibited faster decay, indicating higher dissipation in the WENO-JS5, WENO-Z5, and WENO-7 schemes than in the ADMD and TENO-5 schemes.
The ADMD scheme demonstrated excellent performance in calculating decaying compressible isotropic turbulence. Its impressive dissipation control abilities and capability to capture small-scale structures are deemed noteworthy, placing it on par with the TENO-5 scheme. Moreover, the substantial decrease in calculation time emphasizes its practical value.
4.5. Comparative Analysis of the Calculation Efficiency of the ADMD Scheme
The previous section demonstrated the efficacy of the ADMD scheme in one-, two-, and three-dimensional computations. Its adaptive dispersion and dissipation control properties enable the accurate calculation of flow field discontinuities and the capture of small-scale structures. The simple construction of the ADMD scheme significantly reduces calculation time. This section expands on previous findings by providing a quantitative analysis and delving deeper into this aspect. Figure 36 presents a three-dimensional scatter plot that illustrates the percentage reduction in calculation time achieved by the ADMD scheme compared to the WENO-JS5, WENO-Z5, TENO-5, and WENO-7 schemes in the test cases mentioned.
Figure 36.
Percentage of computation time reduction of ADMD scheme compared to other schemes.
The ADMD scheme demonstrated a significant improvement in computing efficiency, with a reduction in computing time of over 40%, even reaching up to 90% in some cases. Notably, one-dimensional examples exhibited the highest improvement ratios, ranging from 84% to 92%. This trend may be attributed to the simplicity of one-dimensional calculations, wherein the calculation time is greatly influenced by the complexity of the numerical template. In contrast, two- and three-dimensional test examples showed a more consistent performance of the ADMD scheme in terms of reducing calculation time, with improvements ranging from 40% to 71%. With the exception of one-dimensional test examples, the ADMD scheme exhibited the most significant computational efficiency improvement compared to the TENO-5 scheme, with enhancements concentrated around 60% to 71%. The simplicity of the construction method of the ADMD scheme is identified as a key factor contributing to its substantial advantages in enhancing computing efficiency.
5. Conclusions
In this study, we introduced a novel higher-order finite difference scheme with ADMD. The key advantage of this scheme lies in its ability to adjust dispersion properties based on the structural features of the flow field, thereby enhancing the resolution and robustness of the numerical scheme. The research process of the ADMD scheme involved optimizing the dispersion and dissipation properties of the explicit finite difference scheme through Taylor expansion and Fourier analysis, respectively. We also investigated the impact of the dispersion properties on the flow field structure, highlighting the importance of controlling the dispersion coefficient to mitigate numerical oscillations near the discontinuities of the flow field. Additionally, a DDF was developed based on Zhang’s perspective to identify flow field structures and adaptively regulate dispersion properties. Furthermore, based on the smooth metric factor in the WENO scheme, this study was able to achieve low-level dissipation control in the numerical scheme.
The spectral properties obtained through the ADR method indicate that the ADMD scheme performs well at medium and high wave numbers, with exceptional dissipation control. To validate our ADMD scheme, we conducted various numerical tests and compared the results with established schemes such as WENO-JS5, WENO-Z5, TENO-5, and WENO-7. The benchmark tests demonstrate the superior resolution and small-scale capturing capabilities of our scheme. Particularly, the calculation of decaying compressible isotropic turbulence using three-dimensional DNS confirms the scheme’s strong small-scale capturing ability and minimal numerical dissipation.
Additionally, the ADMD scheme exhibited significantly reduced computing resource consumption, which resulted in a 90% reduction in computing time. Compared to other schemes, the computing efficiency of the ADMD scheme in both two- and three-dimensional calculations was enhanced by approximately 40–86%. Compared to the WENO-JS5 and WENO-Z5 schemes, the ADMD scheme offered a computational efficiency improvement of over 40%. When compared to the TENO-5 scheme, the ADMD scheme demonstrated the greatest efficiency boost, exceeding 60%. In one-dimensional numerical calculations, the ADMD scheme achieved a maximum efficiency improvement of over 85%. Even in more complex three-dimensional DNS computations, its computational efficiency improvement remained above 45%.
In this study, we introduced a novel perspective and methodology for developing and evaluating numerical schemes based on simple principles. The primary objective was to minimize computational costs, conserve computing resources, streamline scheme construction, and enhance scheme scalability while ensuring computational precision. This adaptive dispersion control method, which is predicated on the dispersion coefficient, effectively mitigates non-physical oscillations. However, the range of values for the dispersion coefficient is constrained to a certain extent by the time step. Moreover, future research should focus on optimizing the adaptive control method for dispersion characteristics to enhance the applicability of numerical schemes.
6. Discussion
The ADMD scheme introduces a dispersion control principle aimed at mitigating numerical oscillations and uses smooth metric factors to maintain minimal numerical dissipation. Its straightforward construction leads to high computational efficiency. Nevertheless, the ADMD scheme has significant potential for further refinement.
One key challenge is that its low numerical dissipation creates stringent performance demands for ADMD when handling complex shock systems. Future research on dispersion characteristic control methods is required to effectively control numerical oscillations without generating asymmetries.
To further validate its performance, the computational accuracy and efficiency of ADMD will be compared with that of several hybrid schemes. This analysis is intended to support the wider application of the ADMD scheme in practical engineering calculations.
Author Contributions
Conceptualization, J.H.; methodology, J.H.; software, J.H.; validation, J.H.; formal analysis, J.H.; investigation, J.H.; resources, J.H.; data curation, J.H.; writing—original draft preparation, J.H.; writing—review and editing, J.H. and Q.W.; visualization, J.H.; supervision, J.H. and Q.W.; project administration, J.H. and Q.W.; funding acquisition, Q.W. All authors have read and agreed to the published version of the manuscript.
Funding
This research was funded by the National Science and Technology Major Project, grant number J2019-III-0009-0053, and the APC was funded by the National Science and Technology Major Project.
Data Availability Statement
The original contributions presented in this study are included in the article. Further inquiries can be directed to the corresponding author.
Acknowledgments
We thank the School of Energy and Power Engineering, Beihang University, for its help in this project.
Conflicts of Interest
The authors declare no conflicts of interest. The funders had no role in the design of the study; in the collection, analyses, or interpretation of data; in the writing of the manuscript; or in the decision to publish the results.
Appendix A. The Steger–Warming Flux Vector Splitting Method
In this study, when investigating high-accuracy schemes, the Steger–Warming flux vector splitting method was consistently employed for flux decomposition. Specifically,
For instance, considering Equation (21), the three-dimensional flux and its Jacobian matrix are given as follows:
where
where the eigenvalues are denoted by and . The specific three-dimensional flux vector split expression is
where
The Steger–Warming flux vector splitting method, characterized by its simplicity and ease of implementation, offers advantages in enhancing the computational accuracy of difference schemes.
Appendix B. The WENO-Type Schemes
In this section, we present a detailed description of the calculation method for the WENO scheme adopted in this study. As an example, taking a fifth-order positive flux, the discrete form of the WENO scheme can be expressed as
where
- (1)
- WENO-JS5 scheme
Following the modifications to the WENO scheme proposed by Shu and Osher et al. [8], the smoothness indicators are computed as follows:
- (2)
- WENO-Z5 scheme
The WENO-Z scheme, presented by Borges et al. [23], simplifies the construction of smoothness indicators by utilizing lower-order measures from sub-stencils to derive higher-order global measures. The weighting function for the WENO-Z scheme is computed according to Borges’ method, as follows:
where
The construction of interpolation stencils and their associated coefficients, along with the selection and evaluation of the smoothness functions, are performed identically to those in the WENO-JS5 scheme.
- (3)
- TENO-5 scheme
In [24], Fu et al. presented a family of high-order TENO schemes. Numerical results indicate that TENO schemes offer superior resolution capabilities compared to traditional WENO schemes. Moreover, their inherent dissipation contributes to the reduction of edge-resolved turbulence in realistic computations.
The discontinuity detection function of the TENO-Z scheme, based on Fu’s method, is computed as follows:
where
The calculation of the final weight function is given as follows:
In general, and are assigned the values 1.0 and 1 × 10−6, respectively. Nonetheless, the optimal value of frequently necessitates adjustment depending on the particular characteristics of the flow field under investigation, rendering it non-universal. Likewise, the construction of interpolation stencils and their associated coefficients, together with the selection and evaluation of smoothness functions, are performed identically to those in the WENO-JS5 scheme.
References
- Moin, P.; Mahesh, K. Direct numerical simulation: A tool in turbulence research. Annu. Rev. Fluid Mech. 1998, 30, 539–578. [Google Scholar] [CrossRef]
- Coleman, G.N.; Kim, J.; Moser, R.D. A numerical study of turbulent supersonic isothermal-wall channel flow. J. Fluid Mech. 1995, 305, 159–183. [Google Scholar] [CrossRef]
- Morinishi, Y.; Tamano, S.; Nakabayashi, K. A DNS algorithm using B-spline collocation method for compressible turbulent channel flow. Comput. Fluids 2003, 32, 751–776. [Google Scholar] [CrossRef]
- Lele, S.K. Compact finite difference schemes with spectral-like resolution. J. Comput. Phys. 1992, 103, 16–42. [Google Scholar] [CrossRef]
- Gamet, L.; Ducros, F.; Nicoud, F.; Poinsot, T. Compact finite difference schemes on non-uniform meshes. Application to direct numerical simulations of compressible flows. Int. J. Numer. Methods Fluids 1999, 29, 159–191. [Google Scholar] [CrossRef]
- Jiang, Y.; Floryan, J.M. Finite-difference 4th-order compact scheme for the direct numerical simulation of instabilities of shear layers. Int. J. Numer. Methods Fluids 2005, 48, 82–118. [Google Scholar] [CrossRef]
- Liu, X.D.; Osher, S.; Chan, T. Weighted essentially non-oscillatory schemes. J. Comput. Phys. 1994, 115, 200–212. [Google Scholar] [CrossRef]
- Jiang, G.S.; Shu, C.W. Efficient implementation of weighted ENO schemes. J. Comput. Phys. 1996, 126, 202–228. [Google Scholar] [CrossRef]
- Johnsen, E.; Larsson, J.; Bhagatwala, A.V.; Cabot, W.H.; Moin, P.; Olson, B.J.; Rawat, P.S.; Shankar, S.K.; Sjögreen, B.; Yee, H.C.; et al. Assessment of high-resolution methods for numerical simulations of compressible turbulence with shock waves. J. Comput. Phys. 2010, 229, 1213–1237. [Google Scholar] [CrossRef]
- Adams, N.A.; Shariff, K. A high-resolution hybrid compact-ENO scheme for shock/turbulence interaction problems. J. Comput. Phys. 1996, 127, 27–51. [Google Scholar] [CrossRef]
- Pirozzoli, S. Conservative hybrid compact-WENO schemes for shock-turbulence interaction. J. Comput. Phys. 2002, 178, 81–117. [Google Scholar] [CrossRef]
- Ren, Y.-X.; Liu, M.; Zhang, H.X. A characteristic-wise compact WENO scheme for solving hyperbolic conservation laws. J. Comput. Phys. 2003, 192, 365–386. [Google Scholar] [CrossRef]
- Hill, D.J.; Pullin, D.I. Hybrid tuned center-difference-WENO method for large eddy simulations in the presence of strong shocks. J. Comput. Phys. 2004, 194, 435–450. [Google Scholar] [CrossRef]
- Shen, Y.Q.; Yang, G.W. Hybrid finite compact-WENO schemes for shock calculation. Int. J. Numer. Methods Fluids 2007, 53, 531–560. [Google Scholar] [CrossRef]
- Costa, B.; Don, W.S. Multi-domain hybrid spectral-WENO methods for hyperbolic conservation laws. J. Comput. Phys. 2007, 224, 970–991. [Google Scholar] [CrossRef]
- Vichnevetsky, R.; Bowles, J.B. Fourier Analysis of Numerical Approximations of Hyperbolic Equations; SIAM: Philadelphia, PA, USA, 1982. [Google Scholar]
- Tam, C.K.; Webb, J.C. Dispersion-relation-preserving finite difference schemes for computational acoustics. J. Comput. Phys 1993, 107, 262–281. [Google Scholar] [CrossRef]
- Deiterding, R.; Domingues, M.O.; Schneider, K. Multiresolution analysis as a criterion for effective dynamic mesh adaptation-A case study for Euler equations in the parallel SAMR framework AMROC. Comput. Fluids 2020, 205, 104583. [Google Scholar] [CrossRef]
- Sun, Z.S.; Ren, Y.X.; Larricq, C.; Zhang, S.Y.; Yang, Y.C. A class of finite difference scheme with low dispersion and controllable dissipation for DNS of compressible turbulence. J. Comput. Phys. 2011, 230, 4616–4635. [Google Scholar] [CrossRef]
- Zhang, H.X. The exploration of the spatial oscillations in finite difference solutions for Navier-Stokes shocks. Acta Aerodyn. Sin. 1984, 1, 12–19. [Google Scholar]
- Zhang, H.X. Non-Oscillatory and Non-Free-Parameter dissipation difference scheme. Acta Aerodyn. Sin. 1988, 2, 143–165. [Google Scholar]
- Pirozzoli, S. On the spectral properties of shock-capturing schemes. J. Comput. Phys. 2006, 219, 489–497. [Google Scholar] [CrossRef]
- Borges, R.; Carmona, M.; Costa, B.; Don, W.S. An improved weighted essentially non-oscillatory scheme for hyperbolic conservation laws. J. Comput. Phys. 2008, 227, 3191–3211. [Google Scholar] [CrossRef]
- Lin, F.; Hu, X.Y.; Adams, N.A. A family of high-order targeted ENO schemes for compressible-fluid simulations. J. Comput. Phys. 2016, 305, 333–359. [Google Scholar]
- Shu, C.W.; Osher, S. Efficient implement of essentially non-oscillatory shock-capturing schemes, II. J. Comput. Phys. 1989, 83, 32–78. [Google Scholar] [CrossRef]
- Lax, P.D.; Liu, X.-D. Solution of two-dimensional Riemann problems of gas dynamics by positive schemes. SIAM J. Sci. Comput. 1998, 19, 319–340. [Google Scholar] [CrossRef]
- Zeng, F.; Shen, Y.; Liu, S. A perturbational weighted essentially non-oscillatory scheme. Comput. Fluids 2018, 172, 196–208. [Google Scholar] [CrossRef]
- Schulz-Rinne, C.W.; Collins, J.P.; Glaz, H.M. Numerical solution of the Riemann problem for two-dimensional gas dynamics. SIAM J. Sci. Comput. 1993, 14, 1394–1414. [Google Scholar] [CrossRef]
- Liska, R.; Wendroff, B. Comparison of several difference schemes on 1D and 2D test problems for the Euler equations. Soc. Ind. Appl. Math. 2003, 3, 995–1017. [Google Scholar] [CrossRef]
- Fu, L.; Hu, X.Y.; Adams, N.A. Targeted ENO schemes with tailored resolution property for hyperbolic conservation laws. J. Comput. Phys. 2017, 349, 97–121. [Google Scholar] [CrossRef]
- Woodward, P.; Colella, P. The numerical simulation of two-dimensional fluid flow with strong shocks. J. Comput. Phys. 1984, 54, 115–173. [Google Scholar] [CrossRef]
- Brown, D.L. Performance of Under-resolved Two-Dimensional Incompressible Flow Simulations. J. Comput. Phys. 1995, 122, 165–183. [Google Scholar] [CrossRef]
- Yang, X.; Ji, X.; Wei, S.; Xu, K. Comparison of the performance of high-order schemes based on the gas-kinetic and HLLC fluxes. J. Comput. Phys. 2022, 448, 110706. [Google Scholar] [CrossRef]
- Zeng, X.; Scovazzi, G. A frame-invariant vector limiter for flux corrected nodal remap in arbitrary Lagrangian–Eulerian flow computations. J. Comput. Phys. 2014, 270, 753–783. [Google Scholar] [CrossRef]
- Brachet, M.E.; Meiron, D.I.; Orszag, S.A.; Nickel, B.G.; Morf, R.H.; Frisch, U. Small-scale structure of the Taylor–Green vortex. J. Fluid Mech. 1983, 130, 411–452. [Google Scholar] [CrossRef]
- Li, S.; Shen, Y.; Zhang, K.; Yu, M. High order weighted essentially non-oscillatory WENO-ZN schemes for hyperbolic conservation laws. Comput. Fluids 2022, 244, 105547. [Google Scholar] [CrossRef]
- Li, X.L.; Leng, Y.; He, Z.W. Optimized sixth-order monotonicity-preserving scheme by nonlinear spectral analysis. Int. J. Numer. Methods Fluids 2013, 73, 560–577. [Google Scholar] [CrossRef]
- Samtaney, R.; Pullin, D.I.; Kosović, B. Direct numerical simulation of decaying compressible turbulence and shocklet statistics. Phys. Fluids 2001, 13, 1415–1430. [Google Scholar] [CrossRef]
Disclaimer/Publisher’s Note: The statements, opinions and data contained in all publications are solely those of the individual author(s) and contributor(s) and not of MDPI and/or the editor(s). MDPI and/or the editor(s) disclaim responsibility for any injury to people or property resulting from any ideas, methods, instructions or products referred to in the content. |
© 2025 by the authors. Licensee MDPI, Basel, Switzerland. This article is an open access article distributed under the terms and conditions of the Creative Commons Attribution (CC BY) license (https://creativecommons.org/licenses/by/4.0/).













































