Abstract
The instability of a film falling down a vertical plate with lateral walls, which is the base configuration describing the structured packing geometry, is numerically investigated via the lubrication theory. The solid substrate wettability is imposed through the disjoining pressure, while the assumption of a tiny, precursor film thickness allows for modelling a moving contact line. Contact angles up to , which falls in the range of structured packing applications, are investigated, thanks to the full implementation of the capillary pressure instead of the small slope approximation. Parametric computations are run for a film falling down a vertical plate bounded by lateral walls, changing the plate width and the flow characteristics. An in-house, finite volume method (FVM) code, previously developed in FORTRAN language and validated in the case of film instability and rivulet flow, is used. The number of observed rivulets, triggered by the instability induced by the lateral walls, is traced for each computation. The numerical results suggest that rivulets with a given wavelength, equal to the one provided by the linear stability analysis, are generated, but only those characterized by a wavelength greater than a minimum threshold, which depends on the substrate wettability, induce partial dewetting of the domain. This allowed for the development of a simplified, statistically based model to predict the effective interface area and the rivulet holdup (required to estimate the mass transfer rate in absorption/distillation applications). Compared to the literature models of the structured packing hydrodynamics, which usually assume a continuous wetting layer, the influence of the flow pattern (continuous film or ensemble of rivulets) on the liquid holdup and on the interfacial area is introduced. The predicted flow regime is successfully verified with evidence from the literature, involving a flow down a corrugated sheet.
1. Introduction
Liquid film hydrodynamics presents complex issues, with a number of physical discontinuities caused by instability phenomena and moving contact lines. Indeed, different liquid flow patterns may be observed: still/moving droplets, ensemble of rivulets, and continuous liquid layer (or a combination of them). Furthermore, the transition from a given flow pattern to another may also occur: a one-dimensional advancing film front transforms into an ensemble of rivulets due to finger instability, eventually inducing a partial dewetting of the domain if a receding contact line is observed through the valley between neighbor rivulets [1]; if one of these rivulets flowing over a non-wettable surface is narrow enough, it may break into moving droplets [2]; small perturbations applied to an initially uniform wetting layer may induce the formation of large dry patches [3,4]. Several numerical and analytical studies investigate the evolution of a liquid film assuming the lubrication approximation [5,6,7,8,9,10,11,12,13], which allows us to reduce the 3D free boundary physical problem to a 2D mathematical problem. Oron et al. (1997) [14] presented a unified mathematical model of the evolution of thin liquid films over a solid substrate based on the long-wave theory. They performed a linear stability analysis of a continuous liquid film for several cases (including films driven by constant surface tension and gravity, films subjected to Van der Waals forces and constant surface tension, thermocapillary driven films) and investigated the eventual rupture of the wetting layer with the generation of dry holes. An extensive review of various film instability phenomena is also carried out in [15], including the complex patterns observed during surfacant-induced spreading. The finger instability of a film front falling down a vertical surface, perturbed by spanwise disturbances, was numerically investigated by Zhao and Marshall (2006) [16]: they modeled the effect of the surface heterogeneity via a non-uniform surface wettability. The depinning instability of a liquid ridge on a heterogeneous surface was investigated in [9]. An extensive review of the microscopic theories beyond wetting phenomena is carried out in [17], including the disjoining pressure model and the dynamics driving the formation of a precursor film thickness. Schwartz and Eley (1998) [18] numerically investigated the contact line spreading and dewetting over a solid substrate via lubrication theory introducing the disjoining pressure concept, which allows for implicitly implementing the surface wettability and obviates the need for explicitly tracking the moving contact line.
The wealth of literature references on the evolution of a thin liquid layer reflects its great interest from an engineering point of view: as an example, in the absorption and distillation processes inside packing columns, a liquid flows down a collection of corrugated sheets, while a countercurrent gas flow goes up through the interspace formed between neighbor sheets. Knowing the liquid flow pattern is crucial here since it allows for predicting both the liquid holdup and the effective interfacial area, the former essential to estimating the flooding threshold (i.e., liquid blockage and blow up of the gas pressure drop) and the latter correlated to the actual mass transfer performances. A number of empirical correlations have been proposed to predict the interfacial area based on the liquid flow characteristics and on the structured packing geometry [19,20,21,22,23,24,25]. For example, Onda et al. (1968) [19] developed an empirical correlation to estimate the interfacial area for different types of random packing and used it to predict the mass transfer coefficient in the case of gas absorption in packed columns. However, the range of validity is often limited to the particular test case the correlation was derived from. Indeed, it was shown in [26] that two different correlations may give completely different values of the interfacial area (one coherent with a continuous film, and the other one coherent with a rivulet pattern) under the same operative condition. Furthermore, in the full modelization of the mass transfer process (including the calculation of the liquid holdup, gas pressure drop, flooding threshold and effective interfacial area), a continuous wetting layer is typically assumed on the corrugated sheets. For example, the semi-empirical model proposed by Rocha et al. (1993) [23,24] describes structured packing as a flow channel whose side length and inclination depend on the packing geometry, while the liquid holdup inside structured packing and the liquid–gas interfacial area are estimated assuming that a continuous film flows through the walls of the flow channel. On the other hand, various numerical studies [26,27,28,29] show a much more complex behavior, with the eventual formation of a rivulet flow pattern. In [26], a fully 3D CFD approach, with the liquid–gas interface solved via the volume of fluid (VOF) method, was used to investigate the hydrodynamics of liquid water flowing down two adjacent sheets of structured packing. The numerical results show the presence of both dry patches and wet regions, with an effective area fraction, defined as the ratio between the liquid–gas interfacial area and structured packing area, lower than one. It was also proved in [26] that empirical literature correlations are not able to accurately predict the effective interface area in the range of the investigated water/air superficial velocities. A similar study was conducted in [28], where the flow down a drilled corrugated sheet was investigated via a 3D CFD analysis, which includes using the VOF method to trace the liquid–gas interface. In particular, the performances of drilled or micro-textured surfaces and the effect of the cross junctions between adjacent sheets were analyzed in terms of the liquid–gas interfacial area, and it was proved that the efficiency of the existing packing can be further increased. However, only a few test cases were studied in [28] due to the inherently high computational cost related to 3D simulations, with some of the simulations performed in large parallel computer cluster nodes. A simplified configuration, characterized by a liquid flow down an inclined plate bounded by lateral walls, which is representative of the hydrodynamics inside structured packing, was numerically investigated in [27,29], again adopting a fully 3D approach: the CFD analysis was validated with experimental evidence and the complex case of a three-phase distillation process was also studied in [27], while Singh et al. (2016) [29] proved that a rivulet pattern can be observed in practical applications involving a absorption/distillation process through structured packing, where a highly viscous solvent promotes the formation of a rivulet pattern. Indeed, different fluids, used as liquid solvents for carbon dioxide absorption, were numerically investigated in [29] and a scaling theory based on the liquid Kapitza number was carried out to estimate the effective interfacial area, correlated to the mass transfer performances. A numerical approach based on the lubrication theory, which allows for the reduction of the 3D physical problem to a 2D mathematical formulation with no sensible loss of information regarding the liquid flow, was proposed in [30,31,32], with the main goal of strongly reducing the computational cost compared to the standard 3D CFD approach. In particular, preliminary studies showed the capability of the 2D approach to accurately predict (with the same precision as the fully 3D CFD modelization) the wetting layer behavior in the case of rivulet generation down an inclined plate.
Here, a discontinuous film flowing down a vertical plate bounded by lateral walls is numerically investigated through the lubrication theory, aiming at mapping the possible flow configurations as a function of plate geometry and injected liquid flow rate. Such numerical mapping can, thus, be used to build a statistically based modelization, able to predict the liquid pattern inside structured packing and to estimate relevant mean quantities such as the liquid holdup and the effective interfacial area, which directly affects the mass transfer performances in absorption and distillation processes. Following [11,16,18], the assumption of a thin precursor film and the implementation of the disjoining pressure allow for modelling the substrate wettability. The exact formulation of the film curvature is implemented, as done in [31,33]: this allows for widening the range of possible applications, since previous literature studies adopt the standard small free surface slope approximation, which is accurate only for low surface wettabilities, [34]. An in-house finite volume method code, previously developed in FORTRAN language, successfully validated with experimental evidence and verified with analytical and numerical data for static contact angles up to [31], predicts the instability of a thin film flowing down a vertical plate bounded by lateral walls, which is the simplest configuration describing structured packing [29]. Compared to [33], where the instability of an advancing film on an indefinitely large domain was triggered by a non-uniform surface wettability, a bounded film on a homogeneous surface is investigated here since the instability caused by the lateral walls is correlated to the one that eventually induces the dewetting of a corrugated sheet. This requires a dedicated boundary condition to simulate a slip wall (while periodic conditions were used in [33] to mimic an indefinitely large domain). First of all, the dynamic contact angle at the apparent contact line of a 1D falling film front is computed as a function of the undisturbed flow characteristics, defined by the non-dimensional film capillary number, for different surface wettabilities and compared with the well-known Hoffman–Voinov–Tanner law. Then, parametric computations are run in the case of a film falling down a plate with lateral walls, characterized by a static contact angle equal to , which is consistent with structured packing applications. The liquid pattern (continuous film, ensemble of rivulets), which is correlated to the effective interfacial area, is traced as a function of the injected flow characteristics and of the plate geometry. Such information is used to develop a new, statistically based modelization of the hydrodynamics in structured packing, which is able to estimate the liquid holdup and the interfacial area as a function of the effective flow pattern.
2. Mathematical Model
Let us consider a thin film of thickness h flowing down a vertical plate, driven by gravity. Applying the lubrication theory and assuming a Newtonian fluid, the Navier–Stokes equations can be integrated across the film thickness, reducing the 3D physical problem to a 2D mathematical problem. Further assuming a low film Reynolds number, a parabolic velocity profile can be assumed. Integrating the velocity profile across the film thickness and substituting to the continuity equation yields the governing lubrication equation,
with being the versor identifying the plate’s downhill direction, with p being the sum of the capillary pressure and disjoining pressure. The full curvature implementation,
allows for accurately investigating contact angles up to [31], while the standard small slope approximation, , usually assumed within lubrication theory, is not accurate for [31,34]. The disjoining pressure allows for modelling the solid substrate wettability [16,18],
with being the static contact angle, being the precursor film thickness and being positive constants with . The coefficient f, introduced by [16] as a function of , takes into account the imposed precursor film thickness, usually higher than its physical value () to reduce the computational cost.
To generalize the problem, let us introduce the following non-dimensional quantities,
with being the undisturbed film thickness, the undisturbed film velocity and the characteristic length scale:
Further defining the film capillary number as , the governing lubrication equation, Equation (1), can be recast in non-dimensional form:
Equation (6) is numerically solved on a structured grid via a finite volume method in-house code, previously developed in FORTRAN language. The in-house code was validated in [31] for contact angles up to for the dry patch generation on a continuous wetting layer and for the generation of an isolated rivulet via the injection of liquid through a confined inlet section. The second-order centered scheme of [35] was implemented for the spatial discretization, while the alternating-direction implicit (ADI) approximate factorization of [36] was used for marching in time. To limit the error of the numerical solution, an adaptive time stepping was implemented limiting the allowed increment in the film thickness H at each time step,
with n being the time step and k being the mesh element index. This allowed for reaching a time step up to , the Newmann limit (i.e., the maximum step for stability of the forward Euler scheme, given by ) during slow shape evolution, when a spatial discretization step of is used. In order to speed up the computations, the open source programming interface OpenMP is used to parallelize the source code for shared memory machines. A detailed explanation of the implemented numerical method is provided by [31,33,35,36].
3. Problem Statement
Let us consider a gravity-driven film flowing down a vertical plate of dimension bounded by two lateral walls, such as the one shown in Figure 1. According to [27,29], this is the simplest configuration describing the hydrodynamics through structured packing since it allows for replicating the same instability phenomena that eventually induce partial dewetting of the corrugated sheets inside structured packing.
Figure 1.
Investigated setup: liquid film down a vertical plate bounded by lateral walls.
The undisturbed film thickness and the undisturbed film flux are imposed through the inlet section, located at the topmost section of the plate, i.e., ,
with being the non-dimensional film flux and being the normal inward direction to the boundary. The fully developed flow condition is imposed through the outlet section, located at the bottommost section of the plate, i.e., ,
Following [31], a slip wall with a prescribed contact angle is implemented through the lateral boundary ,
with being the boundary tangential direction. Taking advantage of the problem symmetry, only half of the domain is simulated, and the symmetry condition is imposed through the section ,
A dry domain is always initialized at the first stage of the computation. Thus, the solid surface is initially wetted by the tiny precursor film of thickness at :
4. Results
4.1. Dynamic Contact Angle
First of all, preliminary computations were run to investigate a 1D falling film: the dynamic contact angle of the advancing liquid front was traced as a function of the imposed film capillary number at different substrate wettabilities and compared with the Tanner–Voinov–Hoffman law [37]. The reduction to a 1D physical problem was achieved considering a computational domain of width and imposing symmetry conditions through both and . As described in Section 3, the liquid was injected to an initially dry domain through the topmost section , while the fully developed flow condition was imposed at . Since imposing non-physical initial conditions may affect the prediction of film instability at low capillary numbers, the computational domain is initialized with an advancing film front (with the apparent contact line located at ) using the computed solution at a slightly higher capillary number and assuming a dry surface downstream of it, i.e., . Static contact angles ranging from to were investigated. The exponents in Equation (3) were set to according to [11,16,18], while the precursor film thickness was set to [16,18]. A grid dependency analysis was carried out for a 1D falling film in the case of and . Progressively increasing the grid accuracy, it was found that ensures grid independency since further decreasing to gives less than deviation on the computed dynamic contact angle. Thus, the spatial discretization step was set to , while Equation (7) was used to dynamically adjust the time step.
Computations were run for film capillary numbers ranging in and three values of the static contact angle, : both the full curvature formulation, Equation (2), and the small slope approximation were considered, in order to show that the full curvature implementation is required for an accurate prediction of the free surface profile. The dynamic contact angle was estimated as the highest value of the free surface slope close to the apparent contact line of the self-similar advancing film front. For each of the investigated surface wettabilities, the capillary number, related to the imposed liquid flow rate, was lowered until the film rupture was observed, i.e., the film breaks inducing the formation of self-similar droplets falling down the vertical plate, such as the one shown in Figure 2. As mentioned before, imposing consistent initial conditions is crucial to properly predict the instability threshold. Thus, the film profile derived from the solution at a slightly higher capillary number is initialized at , with the apparent contact line located at a distance from the inlet section. For each computation, the dynamic contact angle is estimated as the maximum value of the detected film slope:
Figure 2.
Free surface evolution at successive instances (time elapse ) in the case of film breaking into self-similar falling droplets: (a); (b); (c). A 1D film falling down a vertical plate, , .
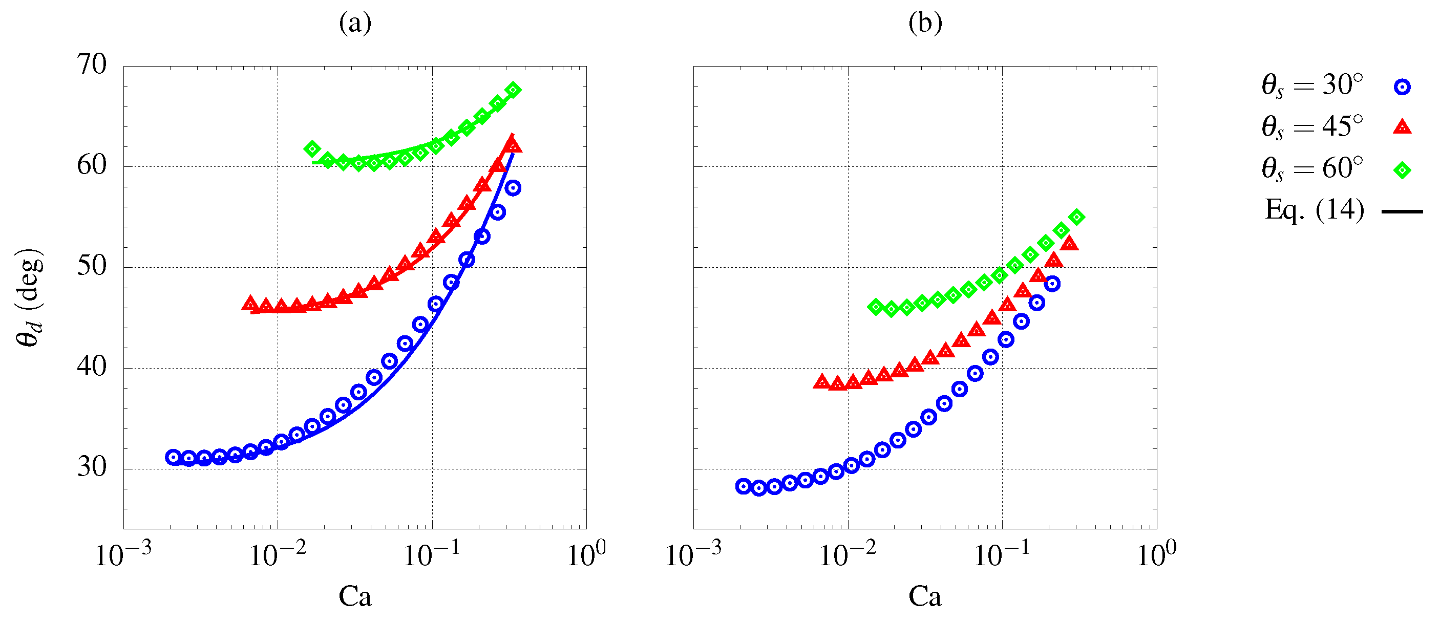
In Figure 3a, the computed dynamic contact angle of the moving contact line is compared with the one predicted by the well-known Hoffman–Voinov–Tanner law [17,37],
with being the microscopic length scale (i.e., the precursor film thickness), being the macroscopic one (i.e., the undisturbed film thickness) and c being an unknown constant, which has to be estimated by fitting the numerical data. The numerical points obtained via the full curvature implementation, colored markers in Figure 3a, are in good agreement with Equation (14) for all the investigated static contact angles, while Figure 3b proves that the small slope approximation does not give a consistent estimate of the dynamic contact angle for , since does not even approach the static contact angle at a low contact line velocity (i.e., at a low capillary number). For each , the lowest capillary number (left-most markers in Figure 3) corresponds to the instability threshold since further decreasing would give film instability (i.e., film rupture with formation of self-similar droplets): increasing the static contact angle (i.e., lowering the surface wettability) promotes the instability occurrence, with the breaking of the 1D film into falling droplets observed at lower capillary numbers ( for , for ). Note that the small slope approximation, which does not provide an accurate estimate of the free surface profile (as proved by the computed dynamic contact angle), is still able to predict the onset of film instability at the same .
Figure 3.
Dynamic contact angle as a function of the film capillary number at different substrate wettabilities: computed (markers) vs. Equation (14) (continuous lines). Full curvature implementation (a); small slope approximation (b).
The effect of changing the surface wettability on the computed profile of the advancing film front is shown in Figure 4a (with a magnification of the free surface profile shown close to the apparent contact line), in the case of full curvature implementation: as expected, increasing the imposed static contact angle at fixed capillary number yields a higher ridge forming close to the apparent contact line. On the other hand, Figure 4b presents the influence of the capillary number: the height of the liquid ridge surrounding the contact line increases, lowering the capillary number at fixed .
Figure 4.
Self-similar free surface profile: influence of the surface wettability, (a); influence of the film capillary number, (b).
4.2. Finger Instability Validation
Apart from the validation in terms of the dynamic contact angle of an advancing film, the in-house code had been already validated with the experimental evidence of [3,4] in the case of dry patch generation, induced via a small perturbation applied on a uniform wetting layer [31]. Furthermore, isolated rivulets flowing down an inclined plate were generated in [31] injecting the liquid through a confined inlet section at the top of the plate: the computed rivulet interfacial area was successfully compared with numerical data of [29], obtained via a fully 3D modelization, for contact angles up to ; the shape of the fully developed rivulet was successfully verified with the analytical solution.
To extend the code validation to problems involving the transition from a continuous film regime to a rivulet pattern, we investigated the finger instability of an advancing film front down a vertical plate. Thus, the liquid is injected through the topmost section of the plate, located at , while the fully developed flow condition, Equation (9), is applied through the bottom-most section, at . The symmetry condition, Equation (11), is applied though the lateral boundaries, located at . The liquid layer is initialized at with the precursor film thickness (i.e., an initially dry domain is considered) according to Equation (12). To perturb the advancing film front, a horizontal stripe of width , characterized by a non-uniform contact angle, was implemented at , while a uniform substrate wettability was applied to the rest of the computational domain. Computations were run for different values of the capillary number, with ranging between and 1. Since the boundary effects may affect the number of rivulets, the plate width must be large enough to ensure a sufficient number of rivulets to form. Two domains of different sizes were investigated: and . The precursor film thickness was set to , and the exponents of Equation (3) were set to . According to the grid dependency analysis, a spatial discretization step of was imposed. An adaptive time step size was used applying Equation (7). The static contact angle was set to over the homogeneous region of the computational domain, while a random distribution with was implemented along the heterogeneous stripe of width and located at . The investigated is consistent with the value reported in [1], in which the authors experimentally investigated the finger instability of different liquids flowing down an inclined plate. After the advancing liquid front meets the heterogeneous stripe, the induced spanwise perturbances propagate and finger instability is observed: the number of rivulets N and, thus, the average rivulet spacing (i.e., the wavelength ) were traced. The computations were stopped when the first advancing rivulet front reaches the outlet section. Figure 5a shows the contact line evolution for , : eight rivulets are observed, corresponding to an average wavelength of . Figure 5c compares the computed wavelength with the most unstable wavelength , provided by the linear stability analysis of [16]: the imposed capillary number does not affect the number of detected rivulets; the numerical wavelength is close to the expected value ( for the domain). Small discrepancies between the numerical data and stability analysis are coherent with the boundary effects, determined by a computational domain of finite width .
Figure 5.
Contact line evolution at successive instants for , (the patterned stripe is characterized by a random contact angle distribution) (a). Detail of the liquid layer solution at (b). Computed rivulet wavelength (black markers) versus linear stability analysis (continuous line) of [16] (c).
Figure 6 compares the numerical points with the experimental results of [1], in which the authors investigated the finger instability of four different fluids (each one characterized by a particular glycerin-water mixture) flowing down an inclined plate with a slope ranging between and . The computed wavelengths are made dimensional for the fluid A: , . To do so, the film thickness is deduced from the capillary number, while the scaling length is calculated via Equation (5). It is worth pointing out that reducing the numerical data to the other fluids would result in points laying on the same line. The experimental wavelengths of [1] are well predicted by the numerical data, which fall inside the errorbar of most of the experimental points. Furthermore, Figure 6 proves that the numerical results can be extended to any Newtonian fluid, provided that the effect of liquid inertia is negligible (i.e., low film Reynolds number).
Figure 6.
Experimental wavelengths of [1] for different fluids flowing down an inclined plate (colored markers with errorbar) versus numerical data (black markers) and linear stability analysis (dashed line).
4.3. Rivulet Onset
A parametric analysis was conducted for a film flowing down a vertical plate bounded by lateral walls as in Figure 1. Such geometry is chosen as the simplest configuration describing the hydrodynamics inside structured packing [27,29]. The flow pattern was traced as a function of the film capillary number, , related to the liquid flow rate; the non-dimensional wall distance, , which defines the problem geometry. The boundary conditions and the initial condition are described in Section 3: the liquid is injected through the inlet section, located at the top of the vertical plate; Equation (10) allows the implementation of the lateral wall at , with being the non-dimensional wall distance, while symmetry conditions are applied through ; the solid surface is initially dry, meaning that the precursor film thickness is initialized over the computational domain according to Equation (12). Following reference [16,18,31], the precursor film thickness was set to and the exponents in Equation (3) were set to . The spatial discretization step was set to for all the computations, according to the grid dependency analysis described in Section 4.1, while the time step was dynamically adjusted using Equation (7). The computations were stopped after the steady state solution was reached. A static contact angle of , which is consistent with structured packing applications, was chosen. For each computation, the number of rivulets, eventually induced by the disturbance due to the presence of the solid walls, was traced until the steady state solution was reached.
The maximum number of rivulets at the onset of the instability (let us call it ), detected during the first stage of the simulations, is shown in Figure 7a. It is interesting highlighting that a change in the number of rivulets always occurs at fixed values of the non-dimensional wall distance (i.e., depends on the parameter rather than ). This is consistent with the linear stability analysis of [16], where the instability of an advancing 1D film front to spanwise perturbances was analyzed assuming lubrication approximation. It was found in [16] that, for a fully wettable substrate (i.e., ), the most unstable wavelength is , with a weak influence of the static contact angle. This means that, when finger instability is observed, the spanwise distance between neighbor rivulets is expected to be equal to , as experimentally observed by [1]. Figure 7a shows that rivulets at a distance smaller than are induced by the presence of the lateral walls. It is important to mention that rivulet spacing lower than were numerically observed also by [16] in the case of finger instability of a film down a heterogeneous substrate, characterized by a non-uniform surface wettability. However, increasing the wall distance (i.e., decreasing the influence of boundary effects), the number of rivulets detected during the first stage of the computations becomes proportional to the most unstable wavelength:
On the other hand, the number of stationary rivulets N (corresponding to the steady state solution), see Figure 7b, looks much more difficult to predict since some of the dry patches forming between neighbor rivulets just drain away, while some other dry patches eventually move upwards inducing partial dewetting of the computational domain. However, it can be clearly observed that it is always verified that .
Figure 7.
Number of rivulets as a function of the capillary number and non-dimensional wall distance: maximum number of rivulets observed during transient (a); steady state solution (b). .
As an example, Figure 8a shows the computed liquid layer thickness after for and , while the corresponding steady state solution is shown in Figure 8b. Note that all the five rivulets formed during the first stage of the computation (three rivulets inside the computational domain and two half rivulets along the boundary walls) survive in the steady state solution, .
Figure 8.
Liquid layer solution at (a); steady state solution (b). , , .
Decreasing the non-dimensional wall distance yields a reduction in the number of rivulets, as proved by Figure 9a and Figure 10a, referring to , with four rivulets detected at the onset of the instability. Again we observe that in Figure 9b, while only three stationary rivulets, i.e., , are observed for a higher film capillary number in Figure 10b, meaning that the dry patch apex enclosed between the central rivulets moves downward so that the two central rivulets coalesce into a single one. As pointed out, depends only on the geometrical parameter according to the linear stability analysis, while the number of stationary rivulets N changes with both and . To better understand such a complex behavior, the width of the steady rivulets was computed, looking for a possible threshold based on the minimum dimension that a rivulet can assume.
Figure 9.
Liquid layer solution at (a); steady state solution (b). , , .
Figure 10.
Liquid layer solution at (a); steady state solution (b). , , .
Figure 11 shows, for each simulation, the computed width of the narrowest stationary rivulet in the core domain (i.e., the eventual rivulets adjacent to the lateral wall are not considered). Results for are shown: we have if four or five stationary rivulets are observed, while a reduction in the number of rivulets with is observed when the number of stationary rivulets is . It can be pointed out that the rivulet width is always higher than a critical value, which depends on the capillary number. This is consistent with the linear stability analysis of a continuous film initially wetting the whole domain, subjected to capillary pressure and surface tension, perturbed with a periodic disturbance. Following [14], a uniform film of thickness flowing down a vertical plate is perturbed with a small disturbance periodic in x, which is substituted in the governing lubrication equation. Seeking a seperate solution and linearizing the lubrication equation around yields the characteristic equation for s. Imposing zero growth rate for , i.e., , gives the critical wavelength:
If the disturbance wavelength is higher than , the instability induces the film break into rivulets of spacing equal to the wavelength. Thus, we assume that the minimum width that a rivulet can assume is proportional to ,
with c being a constant, which depends on the substrate wettability (i.e., on the static contact angle ). Comparing Equation (17) with the numerical data (see Figure 11) shows a good agreement since the lowest rivulet width derived via the postprocess of the computed liquid distribution is well predicted for each of the investigated capillary numbers.
Figure 11.
Computed width of the narrowest stationary rivulet in the core domain as a function of the film capillary number (markers) and minimum rivulet width predicted via Equation (17) imposing (dashed lines). Distance between lateral walls is within the range , .
4.4. Statistically Based Modelization of the Hydrodynamics in Structured Packing
Since the investigated setup is the simplest configuration describing the hydrodynamics inside structured packing, we can use the numerical results to predict the flow pattern down the corrugated sheets and to estimate the effective liquid–gas interfacial area.
Modeling the structured packing geometry shown in Figure 12 as an inclined flow channel having a squared section with the side length equal to the corrugation length [23], we can correlate with the lateral walls distance (which is the geometrical parameter defining the investigated numerical setup). Knowing the liquid superficial velocity inside the structured packing, which is the liquid velocity calculated as though the whole structured packing was filled with the liquid phase, the theoretical thickness of the continuous film flowing down the corrugated sheets of the structured packing can be derived via the Nusselt theory, which yields [23],
with being the void fraction inside the structured packing and being the corrugation angle. The film thickness given by Equation (18) was used in [23,24] to estimate the liquid holdup (i.e., the liquid volume fraction inside the structured packing, a crucial parameter for the prediction of the flooding occurrence) as , with being an empirical correction factor. However, a continuous film may not be representative of the effective liquid pattern inside structured packing, as proved by [26,29]. If we assume a rivulet pattern inside structured packing, we can correlate the liquid superficial velocity to the averaged rivulet characteristics (i.e., spacing, height and width). This allows the estimate of both the average liquid thickness (which gives the liquid holdup) and the effective interfacial area (required to estimate the mass transfer rate). Assuming that each rivulet, which collects the liquid from a portion of undisturbed film, has a circular section with prescribed contact angle , the liquid flow rate through a single rivulet can be expressed as,
with being the reference film velocity. Equation (19) allows for correlating the rivulet wavelength to the average rivulet width, both of which are required to estimate the interfacial area. The rivulet wavelength is estimated as the maximum between the one coming from the linear stability analysis of [16] (i.e., , with being the scaling length) and the one corresponding to a rivulet width equal to the threshold value , defined by Equation (17). The definition of the undisturbed film velocity and of the scaling length, introduced in Equation (5) and strictly valid for a film on a vertical plate, must be extended to a film flowing down an inclined plate with the slope equal to the corrugation angle :
Dividing the corrugation length by the calculated rivulet spacing gives a sharp criterion to determine the liquid pattern: A continuous film is expected if ; an ensemble of rivulets is expected if . Such a sharp transition between a continuous film and an ensemble of rivulets would give a discontinuity in the predicted liquid holdup, which is what was observed on a small portion of structured packing, as the one numerically investigated. However, in a large domain including several corrugated sheets, small fluctuations of the injected liquid flow rate induce wet regions locally covered by a continuous film and partially dry regions filled with rivulets, as proved by the numerical evidence of [26,28]. To account for this effect, we define , which is correlated to the maximum flow rate that can cross the corrugations transversely. Then, we compute the corresponding rivulet spacing for . If the condition is verified, the liquid holdup and the effective interfacial area are estimated as a weighted arithmetic mean between the ones derived for a film and the ones derived for a rivulet,
with being the total packing surface area per unit volume and being the averaged rivulet height:
Figure 12.
Structured packing geometry: corrugation length and corrugation angle of the corrugated sheet (a); packing element (b).
To verify the consistency of the proposed modelization, the effective interfacial area, calculated via Equation (21), is compared in Figure 13 with the empirical correlations [22,23,24,25] listed in Table 1 and with the numerical data of [26]. Liquid water, , and , flowing down the Gempak-2A structured packing, , and , was considered according to [26]. The static contact angle was set to , which is close to the value reported in [26] and is consistent with water on metal surfaces.
Figure 13.
Predicted interfacial area as a function of the liquid superficial velocity: Equation (21) versus empirical models of [22,23,25] and numerical data (markers) of [26]. Liquid water in Gempak-2A structured packing.
Table 1.
Literature models for the prediction of the effective interfacial area inside structured packing.
Figure 13, which plots the effective interfacial area as a function of the liquid superficial velocity, shows a good agreement of the proposed statistically based model with the numerical data of [26]. Indeed, the transition from a rivulet to a continuous film is successfully predicted. However, the current modelization seems to underestimate the effective interfacial area predicted by [26] under the rivulet regime: this is probably due to the assumption of a circular rivulet cross section, which is strictly valid only for a liquid layer flowing down a vertical plate (i.e., the effect of the hydrostatic pressure is neglected when ). On the other hand, the available literature models give different trends: the empirical correlation of [25] predicts an interfacial area much greater that one, which is not consistent with small waves and ripples forming on the free surface of a continuous film, while the theoretical correlation of [22], valid for both structured and random packing, gives a regime of partial wetting, consistent with a rivulet pattern, over the whole range of the investigated . The empirical correlation of [24], derived from the analysis of [20] and used in [23,24] to estimate the mass transfer performances of different structured packing geometries including Gempak-2A for water at , predicts a continuous film pattern, but it does not deal with the eventual maldistribution of liquid in the packed bed [24]. For a full validation of the statistically based modelization, the liquid layer model should be coupled with the core gas flow solution (or, at least, with a proper channel flow model): this would give an estimate of the gas pressure drop, allowing for a direct comparison with experimental data of [23,24]. However, the modelization of the gas core flow is beyond the scope of the present study, where the consistency of the liquid hydrodynamics modelization has been verified with the data of [26].
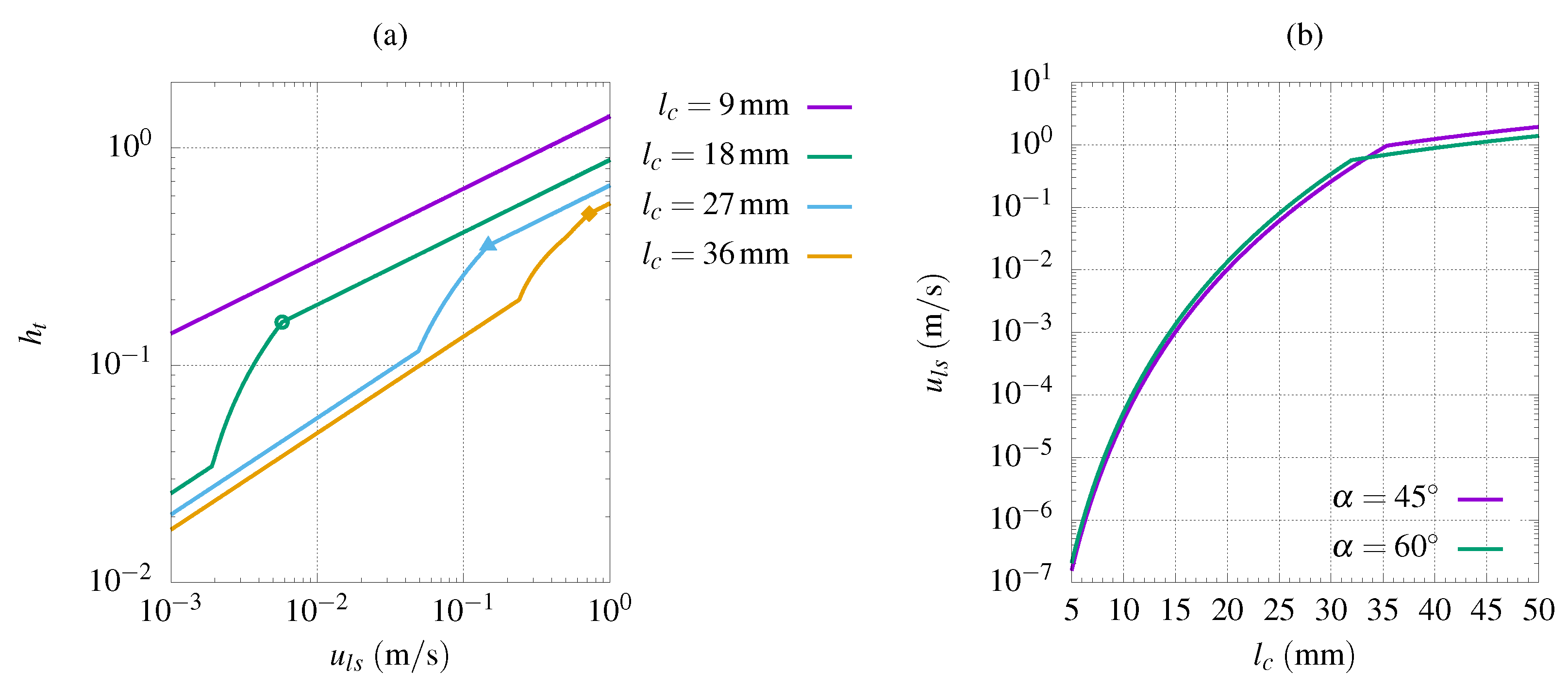
To show the practicality of the proposed modelization, Equation (21) is used to calculate the liquid holdup as a function of the liquid superficial velocity and of the structured packing geometry: the liquid holdup is a crucial operative parameter since it provides a direct prediction of the flooding occurrence (observed when ) and allows for estimating the gas pressure drop; the liquid superficial velocity is one of the input parameters for the utilization of a packed column. The 1-methylepiperazione, which is used as a liquid solvent for absorption in structured packing [29], is chosen: , , . The static contact angle is set to . Figure 14a provides a chart to determine from for different corrugation geometries. The colored markers identify the transition between the rivulet pattern to a continuous film and, thus, correspond to the minimum liquid superficial velocity, which gives the maximum interfacial area, i.e., . The definition of such a threshold for is crucial for proper structured packing design since it allows for minimizing the liquid holdup (i.e., reduce the risk of flooding) and enhance the interfacial area (i.e., augment the mass transfer rate). The minimum superficial velocity giving is shown in Figure 14b as a function of the corrugation length for two values of the corrugation angle.
Figure 14.
Liquid holdup as a function of the liquid superficial velocity, : markers identify the transition from rivulet pattern to a continuous film (a). Minimum liquid superficial velocity, which gives a continuous film, as a function of the corrugation length (b). , , 1-methylepiperazine.
5. Conclusions
An in-house code was used to study the hydrodynamics down a portion of a corrugated sheet of structured packing, modeled as an inclined plate with lateral walls. The model was successfully validated by comparing the dynamic contact angle of a 1D falling film front with the Hoffman–Voinov–Tanner law for a static contact angle up to . Such comparison demonstrated that the present full implementation of the film curvature accurately predicts the self-similar profile of the advancing film close to the apparent contact line for , well beyond the limits of standard small slope approximation, which shows an error on the computed dynamic contact angle up to for . This confirms that the details of the free surface evolution cannot be described in the range of structured packing applications using the small slope approximation. The numerical model was further validated with experimental data giving the rivulet wavelength at different flow conditions in the case of finger instability of an advancing film down a vertical plate.
The parametric computations of a discontinuous film down a bounded plate at different corrugation geometries and flow characteristics (the latter being defined by the film capillary number) showed a complex behavior, with different flow patterns observed for slightly different setups. It was found that the linear stability analysis is still able to predict the number of rivulets at the onset of the instability, even if the lateral walls promote the finger instability at wavelengths lower than the one provided by the linear stability. On the other hand, the linear stability analysis does not give information regarding the steady state solution and, thus, the wetting regime (continuous film or ensemble of rivulets, number of rivulets). Indeed, postprocessing numerical results shows that the number of steady rivulets may be lower than the one detected at the instability onset, with rivulets thinner than a threshold value just draining down the vertical plate without inducing partial dewetting. The information provided by computations were used to implement a new statistically based model, able to give a simplified (but still consistent) description of the effective flow pattern inside the structured packing, with the aim of predicting relevant mean parameters, such as the liquid holdup and the effective interfacial area, that allow a direct estimate of the mass transfer performances under given operative conditions. Comparing the statistically based model with the numerical data of [26] shows a good agreement, while the available literature correlations, often at odds with each other, are not able to give an accurate estimate of the interfacial area. This proves that a consistent and accurate prediction of the mass transfer in structured packing, which is crucial for a proper design and utilization, requires the implementation of the effective liquid pattern features (i.e., continuous film or ensemble of rivulets, average rivulet spacing and size). In perspective, more complex geometries should be numerically investigated, such as a periodic curved surface. This would provide a better description of the wetting behavior of a liquid flowing on a corrugated sheet, allowing to eventually include the effect of other geometrical parameters, such as the corrugation height, in the simplified modelization.
Author Contributions
Conceptualization, G.C.; methodology, G.C. and N.S.; software, N.S.; investigation, N.S.; writing—original draft, G.C. and N.S.; writing—review and editing, G.C.; supervision, G.C. All authors have read and agreed to the published version of the manuscript.
Funding
This research received no external funding.
Data Availability Statement
The raw data supporting the conclusions of this article will be made available by the authors upon request.
Acknowledgments
We wish to acknowledge NextGenerationEU for supporting the present work, performed within the project Interconnected Nord-Est Innovation Ecosystem (iNEST), placed within the context of the National Recovery and Resilience Plan (PNRR).
Conflicts of Interest
The authors declare no conflicts of interest.
Glossary
The following abbreviations are used in this manuscript:
| Abbreviations | |
| ADI | alternating-direction implicit |
| CFD | computational fluid dynamics |
| FVM | finite volume method |
| VOF | volume of fluid |
| Nomenclature | |
| Greek symbols | |
| corrugation angle | |
| precursor film thickness | |
| void fraction | |
| contact angle | |
| free surface curvature | |
| wavelength | |
| dynamic viscosity | |
| density | |
| surface tension | |
| Other symbols | |
| packing surface area per unit volume | |
| effective interfacial area per unit volume | |
| capillary number, | |
| D | disjoining pressure |
| g | gravity acceleration |
| h | film thickness |
| liquid holdup | |
| L | distance between lateral walls |
| scaling length | |
| corrugation length | |
| rivulet width | |
| mass flow rate through a rivulet | |
| N | number of rivulets |
| p | pressure |
| t | time |
| u | film velocity |
| liquid interfacial velocity | |
| Cartesian coordinates | |
| Subscripts | |
| 0 | undisturbed film |
| g | gas |
| l | liquid |
References
- Johnson, M.F.G.; Schluter, R.A.; Miksis, M.J.; Bankoff, S.G. Experimental study of rivulet formation on an inclined plate by fluorescent imaging. J. Fluid Mech. 1999, 394, 339–354. [Google Scholar] [CrossRef]
- Suzzi, N.; Croce, G. Numerical modelization of contact angle hysteresis of falling droplet under enhanced lubrication approximation. J. Phys. Conf. Ser. 2022, 2177, 012043. [Google Scholar] [CrossRef]
- Podgorski, T.; Flesselles, J.M.; Limat, L. Dry arches within flowing films. Phys. Fluids 1999, 11, 845–852. [Google Scholar] [CrossRef]
- Rio, E.; Limat, L. Wetting hysteresis of a dry patch left inside a flowing film. Phys. Fluids 2006, 18, 032102. [Google Scholar] [CrossRef]
- Weidner, D.E.; Schwartz, L.W.; Eres, M.H. Simulation of coating layer evolution and drop formation on horizontal cylinders. J. Colloid Interface Sci. 1997, 187, 243–258. [Google Scholar] [CrossRef][Green Version]
- Duffy, B.R.; Moffatt, H.K. A similarity solution for viscous source flow on a vertical plane. Eur. J. Appl. Math. 1997, 8, 37–47. [Google Scholar] [CrossRef]
- Wilson, S.K.; Duffy, B.R.; Davis, S.H. On a slender dry patch in a liquid film draining under gravity down an inclined plane. Eur. J. Appl. Math. 2001, 12, 233–252. [Google Scholar] [CrossRef]
- El-Genk, M.S.; Saber, H.H. Minimum thickness of a flowing down liquid film on a vertical surface. Int. J. Heat Mass Transf. 2001, 44, 2809–2825. [Google Scholar] [CrossRef]
- Beltrame, P.; Knobloch, E.; Hanggi, P.; Thiele, U. Rayleigh and depinning instabilities of forced liquid ridges on heterogeneous substrates. Phys. Rev. E 2011, 83, 016305. [Google Scholar] [CrossRef]
- Kay, E.D.; Hibberd, S.; Power, H. Inertial effects at moderate Reynolds number in thin-film rimming flows driven by surface shear. Phys. Fluids 2013, 25, 102108. [Google Scholar] [CrossRef]
- Sellier, M. Modelling the wetting of a solid occlusion by a liquid film. Int. J. Multiph. Flow 2015, 71, 66–73. [Google Scholar] [CrossRef]
- Suzzi, N.; Croce, G. Numerical Simulation of Thin Film Breakup on Nonwettable Surfaces. J. Phys. Conf. Ser. 2017, 796, 012038. [Google Scholar] [CrossRef]
- Magnini, M.; Khodaparast, S.; Matar, O.K.; Stone, H.A.; Thome, J.R. Dynamics of long gas bubbles rising in a vertical tube in a cocurrent liquid flow. Phys. Rev. Fluids 2019, 4, 023601. [Google Scholar] [CrossRef]
- Oron, A.; Davis, S.H.; Bankoff, S.G. Long-scale evolution of thin liquid films. Rev. Mod. Phys. 1997, 69, 931–980. [Google Scholar] [CrossRef]
- Craster, R.V.; Matar, O.K. Dynamics and stability of thin liquid films. Rev. Mod. Phys. 2009, 81, 1131–1198. [Google Scholar] [CrossRef]
- Zhao, Y.; Marshall, J.S. Dynamics of driven liquid films on heterogeneous surfaces. J. Fluid Mech. 2006, 559, 355–378. [Google Scholar] [CrossRef]
- Bonn, D.; Eggers, J.; Indekeu, J.; Meunier, J.; Rolley, E. Wetting and spreading. Rev. Mod. Phys. 2009, 81, 739–805. [Google Scholar] [CrossRef]
- Schwartz, L.W.; Eley, R.R. Simulation of droplet motion on low-energy and heterogeneous surfaces. J. Colloid Interface Sci. 1998, 202, 173–188. [Google Scholar] [CrossRef]
- Onda, K.; Takeuchi, H.; Okumoto, Y. Mass transfer coefficients between gas and liquid phases in packed columns. J. Chem. Eng. Jpn. 1968, 1, 56–62. [Google Scholar] [CrossRef]
- Shi, M.G.; Mersmann, A. Effective interfacial area in packed columns. Ger. Chem. Eng. 1985, 8, 87. [Google Scholar]
- Spiegel, L.; Meier, W. Correlations of the performance characteristics of the various Mellapak types (capacity, pressure drop and efficiency). Inst. Chem. Eng. Symp. Ser. 1987, 62, A203–A215. [Google Scholar]
- Billet, R.; Schultes, M. Predicting mass transfer in packed columns. Chem. Eng. Technol. 1993, 16, 1–9. [Google Scholar] [CrossRef]
- Rocha, J.A.; Bravo, J.L.; Fair, J.R. Distillation columns containing structured packings: A comprehensive model for their performance. 1. Hydraulic models. Ind. Eng. Chem. Res. 1993, 32, 641–651. [Google Scholar] [CrossRef]
- Rocha, J.A.; Bravo, J.L.; Fair, J.R. Distillation columns containing structured packings: A comprehensive model for their performance. 2. Mass-transfer model. Ind. Eng. Chem. Res. 1996, 35, 1660–1667. [Google Scholar] [CrossRef]
- De Brito, H.M.; Von Stockar, U.; Bangerter, A.M.; Bomio, P.; Laso, M. Effective mass-transfer area in a pilot plant column equipped with structured packings and with ceramic rings. Ind. Eng. Chem. Res. 1994, 33, 647–656. [Google Scholar] [CrossRef]
- Shojaee, S.; Hosseini, S.H.; Rafati, A.; Ahmadi, G. Prediction of the effective area in structured packings by computational fluid dynamics. Ind. Eng. Chem. Res. 2011, 50, 10833–10842. [Google Scholar] [CrossRef]
- Hoffmann, A.; Ausner, I.; Repke, J.U.; Wozny, G. Fluid dynamics in multiphase distillation processes in packed towers. Comput. Chem. Eng. 2005, 29, 1433–1437. [Google Scholar] [CrossRef]
- Subramanian, K.; Wozny, G. Analysis of hydrodynamics of fluid flow on corrugated sheets of packing. Int. J. Chem. Eng. 2012, 2012, 838965. [Google Scholar] [CrossRef]
- Singh, R.K.; Galvin, J.E.; Sun, X. Three-dimensional simulation of rivulet and film flows over an inclined plate: Effects of solvent properties and contact angle. Chem. Eng. Sci. 2016, 142, 244–257. [Google Scholar] [CrossRef]
- Suzzi, N.; Croce, G. Numerical simulation of rivulet build up via lubrication equations. J. Phys. Conf. Ser. 2017, 923, 012020. [Google Scholar] [CrossRef]
- Suzzi, N.; Croce, G. Numerical simulation of film instability over low wettability surfaces through lubrication theory. Phys. Fluids 2019, 31, 122106. [Google Scholar] [CrossRef]
- Suzzi, N.; Croce, G. Numerical simulation of film instability over a corrugated sheet. J. Phys. Conf. Ser. 2024, in press.
- Suzzi, N.; Croce, G. Numerical bifurcation analysis of a film flowing over a patterned surface through enhanced lubrication theory. Fluids 2021, 6, 405. [Google Scholar] [CrossRef]
- Perazzo, C.A.; Gratton, J. Navier-Stokes solutions for parallel flow in rivulets on an inclined plane. J. Fluid Mech. 2004, 507, 367–379. [Google Scholar] [CrossRef]
- Diez, J.A.; Kondic, L. Computing three-dimensional thin film flows including contact lines. J. Comput. Phys. 2002, 183, 274–306. [Google Scholar] [CrossRef]
- Witelski, T.P.; Bowen, M. ADI schemes for higher-order nonlinear diffusion equations. Appl. Numer. Math. 2003, 45, 331–351. [Google Scholar] [CrossRef]
- Blake, T.D. The physics of moving wetting lines. J. Colloid Interface Sci. 2006, 299, 1–13. [Google Scholar] [CrossRef]
Disclaimer/Publisher’s Note: The statements, opinions and data contained in all publications are solely those of the individual author(s) and contributor(s) and not of MDPI and/or the editor(s). MDPI and/or the editor(s) disclaim responsibility for any injury to people or property resulting from any ideas, methods, instructions or products referred to in the content. |
© 2025 by the authors. Licensee MDPI, Basel, Switzerland. This article is an open access article distributed under the terms and conditions of the Creative Commons Attribution (CC BY) license (https://creativecommons.org/licenses/by/4.0/).













