Vaginal Sheets with Thymbra capitata Essential Oil for the Treatment of Bacterial Vaginosis: Design, Characterization and In Vitro Evaluation of Efficacy and Safety
Abstract
1. Introduction
2. Results and Discussion
2.1. Freeze-Drying Efficiency
2.2. Sensorial Characteristics
2.3. Thickness
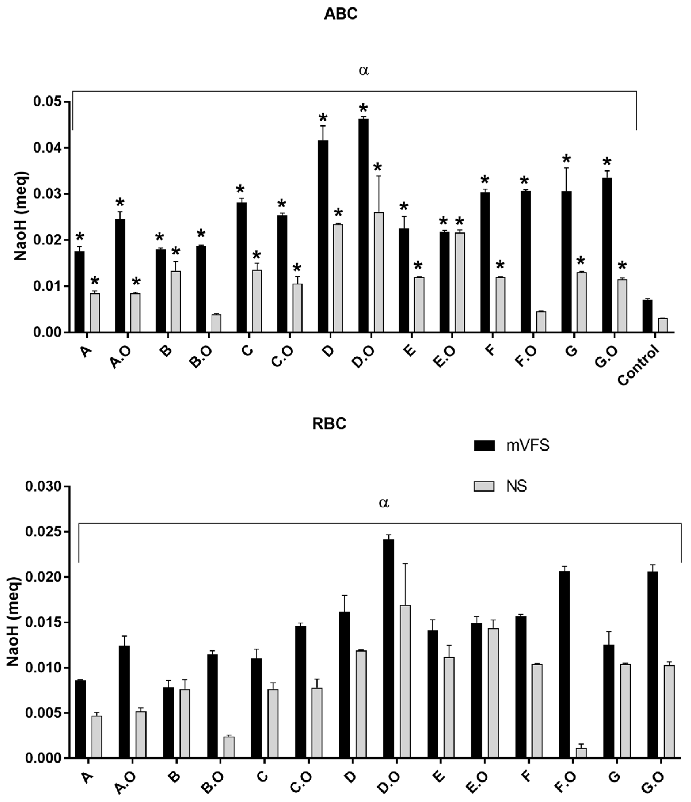
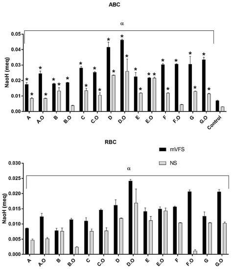
2.4. pH and Buffer Capacity
2.5. Absorption Efficiency of mVFS
2.6. Textural Analysis: Hardness and Resilience
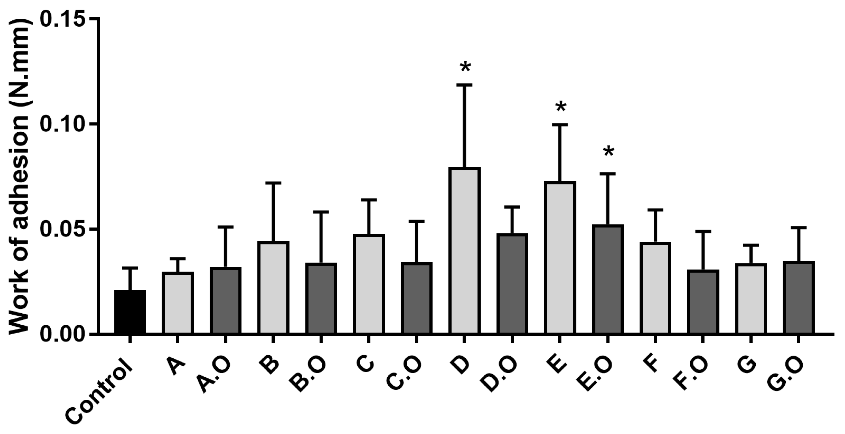
2.7. Bioadhesion
2.8. Stability Studies
2.9. Quantification of TCEO Components When Incorporated in Vaginal Sheets
2.10. Cellular Toxicity
2.11. Vaginal Irritation—SkinEthicTM Reconstructed Human Vaginal Epithelium Model
2.12. Vaginal Irritation—Hen’s Egg Test-Chorioallantoic Membrane Assay (HET-CAM)
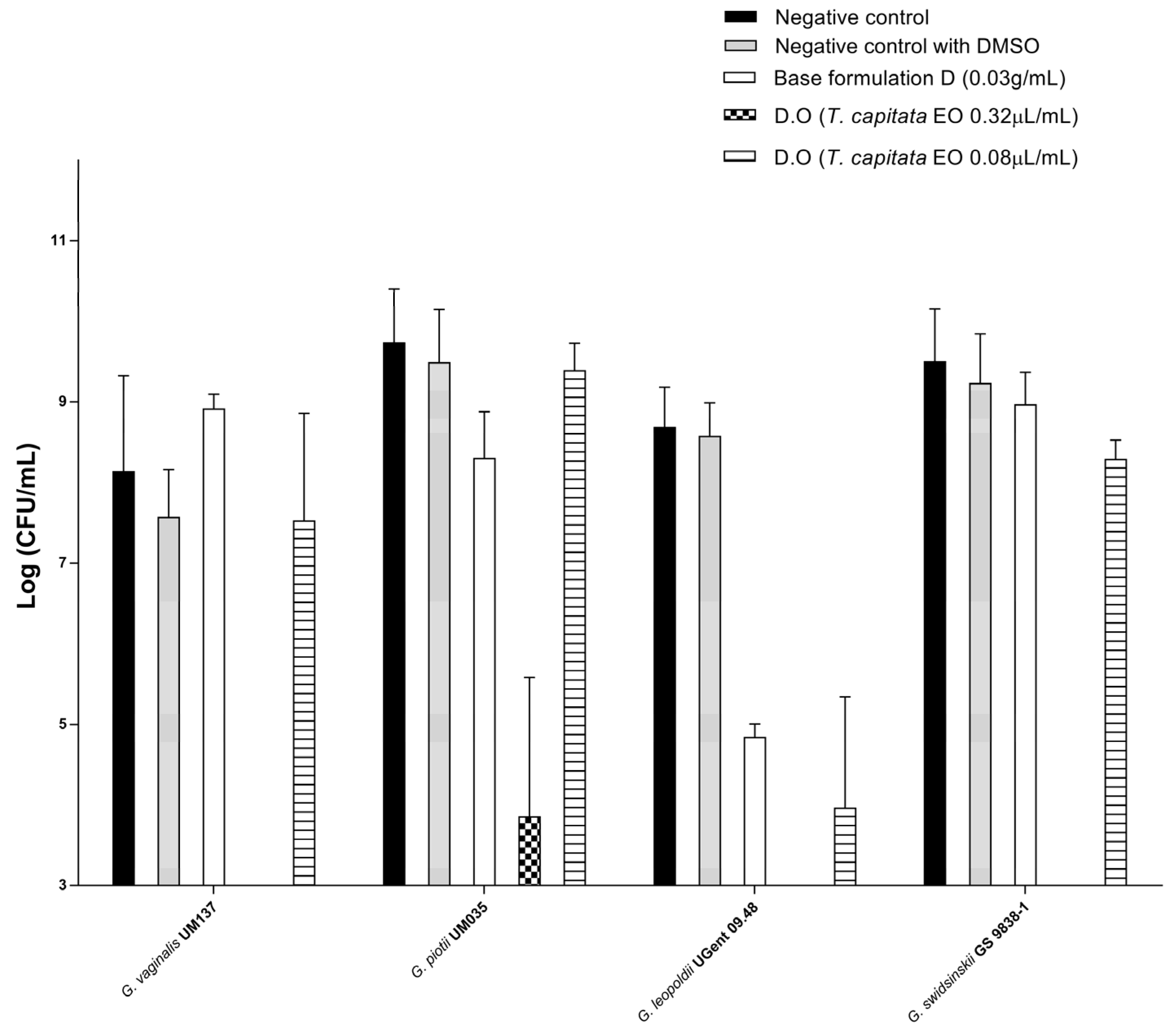
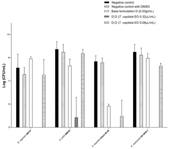
2.13. Evaluation of the Vaginal Sheet D.O Efficacy against Gardnerella Species Biofilms
3. Conclusions
4. Materials and Methods
4.1. Materials
4.2. Rational Design of Vaginal Sheets with TCEO
4.3. Preparation of Vaginal Sheets with TCEO
4.4. Freeze Drying Efficiency
4.5. Preparation of mVFS
4.6. Sensorial Characteristics
4.7. Thickness
4.8. Absorption Efficiency of Vaginal Fluid Simulant
4.9. pH and Buffer Capacity
4.10. Textural Analysis: Hardness and Resilience
4.11. Bioadhesion
4.12. Stability Studies
Quantification of TCEO Components When Incorporated in Vaginal Sheets
4.13. Cellular Toxicity
4.13.1. Epithelial Cells
4.13.2. Samples Tested
4.14. Cytotoxicity Test (MTT Assay)
4.15. Vaginal Irritation-SkinEthicTM Reconstructed Human Vaginal Epithelium model
4.16. Vaginal Irritation—Hen’s Egg Test-Chorioallantoic Membrane Assay (HET-CAM)
4.17. Evaluation of Vaginal Sheet D.O efficacy against Gardnerella Species Biofilms
4.17.1. Bacterial Growth Conditions
4.17.2. Activity of Dissolved Vaginal Sheets on Gardnerella Species Biofilm
Supplementary Materials
Author Contributions
Funding
Institutional Review Board Statement
Informed Consent Statement
Data Availability Statement
Acknowledgments
Conflicts of Interest
Abbreviations
| ABC | Absolute Buffer Capacity |
| ASS | anhydrous sodium sulphate |
| BV | bacterial vaginosis |
| HPMC | hydroxypropylmethylcellulose |
| LA | lactic acid |
| MIC | minimum inhibitory concentration |
| MLC | minimum lethal concentration |
| mVFS | vaginal fluid simulant with mucin |
| PVA | polyvinyl alcohol |
| RBC | Relevant Buffer Capacity |
| spp. | several species |
| TCEO | Thymbra capitata essential oil |
| VFS | vaginal fluid simulant |
References
- Machado, D.; Gaspar, C.; Palmeira-de-Oliveira, A.; Cavaleiro, C.; Salgueiro, L.; Martinez-de-Oliveira, J.; Cerca, N. Thymbra Capitata Essential Oil as Potential Therapeutic Agent against Gardnerella Vaginalis Biofilm-Related Infections. Future Microbiol. 2017, 12, 407–416. [Google Scholar] [CrossRef]
- Bradshaw, C.S.; Brotman, R.M. Making Inroads into Improving Treatment of Bacterial Vaginosis – Striving for Long-Term Cure. BMC Infect. Dis. 2015, 15, 292. [Google Scholar] [CrossRef] [PubMed]
- Gilbert, N.M.; Lewis, W.G.; Li, G.; Sojka, D.K.; Lubin, J.B.; Lewis, A.L. Gardnerella Vaginalis and Prevotella Bivia Trigger Distinct and Overlapping Phenotypes in a Mouse Model of Bacterial Vaginosis. J. Infect. Dis. 2019, 220, 1099–1108. [Google Scholar] [CrossRef]
- Kroon, S.J.; Ravel, J.; Huston, W. Cervicovaginal Microbiota, Women’s Health, and Reproductive Outcomes. Fertil. Steril. 2018, 110, 327–336. [Google Scholar] [CrossRef] [PubMed]
- Leyva-Gómez, G.; Del Prado-Audelo, M.L.; Ortega-Peña, S.; Mendoza-Muñoz, N.; Urbán-Morlán, Z.; González-Torres, M.; Carmen, M.G.D.; Figueroa-González, G.; Reyes-Hernández, O.D.; Cortés, H. Modifications in Vaginal Microbiota and Their Influence on Drug Release: Challenges and Opportunities. Pharmaceutics 2019, 11, 217. [Google Scholar] [CrossRef]
- Machado, D.; Castro, J.; Palmeira-de-Oliveira, A.; Martinez-de-Oliveira, J.; Cerca, N. Bacterial Vaginosis Biofilms: Challenges to Current Therapies and Emerging Solutions. Front. Microbiol. 2016, 6, 1528. [Google Scholar] [CrossRef] [PubMed]
- Castro, J.; Rosca, A.S.; Cools, P.; Vaneechoutte, M.; Cerca, N. Gardnerella Vaginalis Enhances Atopobium Vaginae Viability in an in Vitro Model. Front. Cell. Infect. Microbiol. 2020, 10, 83. [Google Scholar] [CrossRef]
- Castro, J.; Rosca, A.S.; Muzny, C.A.; Cerca, N. Atopobium Vaginae and Prevotella Bivia Are Able to Incorporate and Influence Gene Expression in a Pre-Formed Gardnerella Vaginalis Biofilm. Pathogens 2021, 10, 247. [Google Scholar] [CrossRef]
- Muzny, C.A.; Taylor, C.M.; Swords, W.E.; Tamhane, A.; Chattopadhyay, D.; Cerca, N.; Schwebke, J.R. An Updated Conceptual Model on the Pathogenesis of Bacterial Vaginosis. J. Infect. Dis. 2019, 220, 1399–1405. [Google Scholar] [CrossRef]
- Rosca, A.S.; Castro, J.; França, Â.; Vaneechoutte, M.; Cerca, N. Gardnerella Vaginalis Dominates Multi-Species Biofilms in Both Pre-Conditioned and Competitive In Vitro Biofilm Formation Models. Microb. Ecol. 2022, 84, 1278–1287. [Google Scholar] [CrossRef]
- Castro, J.; Machado, D.; Cerca, N. Unveiling the Role of Gardnerella Vaginalis in Polymicrobial Bacterial Vaginosis Bio Films: The Impact of Other Vaginal Pathogens Living as Neighbors. ISME J. 2019, 13, 1306–1317. [Google Scholar] [CrossRef] [PubMed]
- Rosa, A.S.; Castro, J.; Sousa, L.G.V.; Cerca, N. Gardnerella and Vaginal Health: The Truth Is out There. FEMS Microbiol. Rev. 2020, 44, 73–105. [Google Scholar] [CrossRef]
- Vaneechoutte, M.; Guschin, A.; Van Simaey, L.; Gansemans, Y.; Van Nieuwerburgh, F.; Cools, P. Emended Description of Gardnerella Vaginalis and Description of Gardnerella Leopoldii Sp. Nov., Gardnerella Piotii Sp. Nov. and Gardnerella Swidsinskii Sp. Nov., with Delineation of 13 Genomic Species within the Genus Gardnerella. Int. J. Syst. Evol. Microbiol. 2019, 69, 679–687. [Google Scholar] [CrossRef]
- Tomás, M.; Palmeira-de-Oliveira, A.; Simões, S.; Martinez-de-Oliveira, J.; Palmeira-de-Oliveira, R. Bacterial Vaginosis: Standard Treatments and Alternative Strategies. Int. J. Pharm. 2020, 587, 119659. [Google Scholar] [CrossRef]
- Trinh, H.-T.; Lee, I.-A.; Hyun, Y.-J.; Kim, D.-H. Artemisia Princeps Pamp. Essential Oil and Its Constituents Eucalyptol and α -Terpineol Ameliorate Bacterial Vaginosis and Vulvovaginal Candidiasis in Mice by Inhibiting Bacterial Growth and NF- κ B Activation. Planta Med. 2011, 77, 1996–2002. [Google Scholar] [CrossRef]
- Braga, P.C.; Sasso, M.D.; Culici, M.; Spallino, A. Inhibitory Activity of Thymol on Native and Mature Gardnerella Vaginalis Biofilms: In Vitro Study. Arzneimittelforschung 2010, 60, 675–681. [Google Scholar] [CrossRef]
- Gottschick, C.; Szafranski, S.P.; Kunze, B.; Sztajer, H. Screening of Compounds against Gardnerella Vaginalis Biofilms. PLoS ONE 2016, 11, e0154086. [Google Scholar] [CrossRef]
- Sousa, L.G.V.; Castro, J.; Cavaleiro, C.; Salgueiro, L.; Tomás, M.; Palmeira-Oliveira, R.; Martinez-Oliveira, J.; Cerca, N. Synergistic Effects of Carvacrol, α-Terpinene, γ-Terpinene, ρ-Cymene and Linalool against Gardnerella Species. Sci. Rep. 2022, 12, 4417. [Google Scholar] [CrossRef]
- Rosca, A.S.; Castro, J.; Sousa, L.G.V.; França, A.; Cavaleiro, C.; Salgueiro, L.; Cerca, N. Six Bacterial Vaginosis-Associated Species Can Form an In Vitro and Ex Vivo Polymicrobial Biofilm That Is Susceptible to Thymbra Capitata Essential Oil. Front. Cell. Infect. Microbiol. 2022, 12, 552. [Google Scholar] [CrossRef]
- Machado, R.M.; Tomás, M.; Palmeira-de-Oliveira, A.; Martinez-de-Oliveira, J.; Palmeira-de-Oliveira, R. The Vaginal Sheet: An Innovative Form of Vaginal Film for the Treatment of Vaginal Infections. Drug Dev. Ind. Pharm. 2020, 46, 135–145. [Google Scholar] [CrossRef]
- Caramella, C.M.; Rossi, S.; Ferrari, F.; Bonferoni, M.C.; Sandri, G. Mucoadhesive and Thermogelling Systems for Vaginal Drug Delivery. Adv. Drug Deliv. Rev. 2015, 92, 39–52. [Google Scholar] [CrossRef]
- Rowe, R.C.; Sheskey, P.J.; Quinn, M.E. Handbook of Pharmaceutical Excipients, 6th ed.; Pharmaceutical Press: New York, NY, USA, 2009; ISBN 9781582121352. [Google Scholar]
- Zhang, W.; Parniak, M.A.; Sarafianos, S.G.; Cost, M.R.; Rohan, L.C. Development of a Vaginal Delivery Film Containing EFdA, a Novel Anti-HIV Nucleoside Reverse Transcriptase Inhibitor. Int. J. Pharm. 2014, 461, 203–213. [Google Scholar] [CrossRef]
- Rençber, S.; Karavana, S.Y.; Şenyiğit, Z.A.; Eraç, B.; Limoncu, M.H.; Baloğlu, E. Mucoadhesive in Situ Gel Formulation for Vaginal Delivery of Clotrimazole: Formulation, Preparation, and in Vitro/in Vivo Evaluation. Pharm. Dev. Technol. 2017, 22, 551–561. [Google Scholar] [CrossRef]
- Machado, R.M.; Palmeira-de-Oliveira, A.; Martinez-de-Oliveira, J.; Palmeira-de-Oliveira, R. Vaginal Films for Drug Delivery. J. Pharm. Sci. 2013, 102, 2069–2081. [Google Scholar] [CrossRef]
- Notario-Pérez, F.; Martín-Illana, A.; Cazorla-Luna, R.; Ruiz-Caro, R.; Bedoya, L.M.; Peña, J.; Veiga, M.D. Development of Mucoadhesive Vaginal Films Based on HPMC and Zein as Novel Formulations to Prevent Sexual Transmission of HIV. Int. J. Pharm. 2019, 570, 118643. [Google Scholar] [CrossRef]
- Calvo, N.L.; Svetaz, L.A.; Alvarez, V.A.; Quiroga, A.D.; Lamas, M.C.; Leonardi, D. Chitosan-Hydroxypropyl Methylcellulose Tioconazole Films: A Promising Alternative Dosage Form for the Treatment of Vaginal Candidiasis. Int. J. Pharm. 2019, 556, 181–191. [Google Scholar] [CrossRef]
- Ghosal, K.; Ranjan, A.; Bhowmik, B.B. A Novel Vaginal Drug Delivery System: Anti-HIV Bioadhesive Film Containing Abacavir. J. Mater. Sci. Mater. Med. 2014, 25, 1679–1689. [Google Scholar] [CrossRef]
- Grammen, C.; Van Den Mooter, G.; Appeltans, B.; Michiels, J.; Crucitti, T.; Ariën, K.K.; Augustyns, K.; Augustijns, P.; Brouwers, J. Development and Characterization of a Solid Dispersion Film for the Vaginal Application of the Anti-HIV Microbicide UAMC01398. Int. J. Pharm. 2014, 475, 238–244. [Google Scholar] [CrossRef]
- Kumar, K.; Dhawan, N.; Sharma, H.; Vaidya, S.; Vaidya, B. Bioadhesive Polymers: Novel Tool for Drug Delivery. Artif. Cells Nanomed. Biotechnol. 2014, 42, 274–283. [Google Scholar] [CrossRef]
- Acarturk, F. Mucoadhesive Vaginal Drug Delivery Systems. Recent Pat. Drug Deliv. Formul. 2009, 3, 193–205. [Google Scholar] [CrossRef]
- Martau, G.A.; Mihai, M.; Vodnar, D.C. The Use of Chitosan, Alginate, and Pectin in the Biomedical and Food Sector-Biocompatibility, Bioadhesiveness, and Biodegradability. Polymers 2019, 11, 1837. [Google Scholar] [CrossRef]
- Robinson, J.A.; Marzinke, M.A.; Bakshi, R.P.; Fuchs, E.J.; Radebaugh, C.L.; Aung, W.; Spiegel, H.M.L.; Coleman, J.S.; Rohan, L.C.; Hendrix, C.W. Comparison of Dapivirine Vaginal Gel and Film Formulation Pharmacokinetics and Pharmacodynamics (FAME 02B). AIDS Res. Hum. Retrovir. 2017, 33, 339–346. [Google Scholar] [CrossRef]
- Regev, G.; Patel, S.K.; Moncla, B.J.; Twist, J.; Devlin, B.; Rohan, L.C. Novel Application of Hot Melt Extrusion for the Manufacturing of Vaginal Films Containing Microbicide Candidate Dapivirine. AAPS PharmSciTech 2019, 20, 239. [Google Scholar] [CrossRef]
- Akil, A.; Agashe, H.; Dezzutti, C.S.; Moncla, B.J.; Hillier, S.L.; Devlin, B.; Shi, Y.; Uranker, K.; Rohan, L.C. Formulation and Characterization of Polymeric Films Containing Combinations of Antiretrovirals (ARVs) for HIV Prevention. Pharm. Res. 2015, 32, 458–468. [Google Scholar] [CrossRef]
- Gong, T.; Zhang, W.; Parniak, M.A.; Graebing, P.W.; Moncla, B.; Gupta, P.; Empey, K.M.; Rohan, L.C. Preformulation and Vaginal Film Formulation Development of Microbicide Drug Candidate CSIC for HIV Prevention. J. Pharm. Innov. 2017, 12, 142–154. [Google Scholar] [CrossRef]
- Traore, Y.L.; Fumakia, M.; Gu, J.; Ho, E.A. Dynamic Mechanical Behaviour of Nanoparticle Loaded Biodegradable PVA Films for Vaginal Drug Delivery. J. Biomater. Appl. 2018, 32, 1119–1126. [Google Scholar] [CrossRef]
- Notario-Pérez, F.; Cazorla-Luna, R.; Martín-Illana, A.; Galante, J.; Ruiz-Caro, R.; das Neves, J.; Veiga, M.D. Design, Fabrication and Characterisation of Drug-Loaded Vaginal Films: State-of-the-Art. J. Control. Release 2020, 327, 477–499. [Google Scholar] [CrossRef]
- Chervinets, V.; Chervinets, I.; Bondarenko, V.; Stol’nikova, I.; Samoukina, A.; Mikhailova, E.; Albulov, A. Clinical Effect of Chitosan in Bacterial Vaginosis Therapy. Zh Mikrobiol. Epidemiol. Immunobiol. 2011, 5, 76–79. [Google Scholar]
- Palmeira-De-Oliveira, A.; Ribeiro, M.P.; Palmeira-De-Oliveira, R.; Gaspar, C.; Costa-De-Oliveira, S.; Correia, I.J.; Pina Vaz, C.; Martinez-De-Oliveira, J.; Queiroz, J.A.; Rodrigues, A.G. Anti-Candida Activity of a Chitosan Hydrogel: Mechanism of Action and Cytotoxicity Profile. Gynecol. Obstet. Investig. 2010, 70, 322–327. [Google Scholar] [CrossRef]
- Palmeira-de-Oliveira, R.; Palmeira-de-Oliveira, A.; Martinez-de-Oliveira, J. New Strategies for Local Treatment of Vaginal Infections. Adv. Drug Deliv. Rev. 2015, 92, 105–122. [Google Scholar] [CrossRef]
- Kandimalla, K.K.; Borden, E.; Omtri, R.S.; Boyapati, S.P.; Smith, M. Ability of Chitosan Gels to Disrupt Bacterial Biofilms and Their Applications in the Treatment of Bacterial Vaginosis. J. Pharm. Sci. 2013, 102, 2096–2101. [Google Scholar] [CrossRef]
- Perioli, L.; Ambrogi, V.; Venezia, L.; Pagano, C.; Ricci, M.; Rossi, C. Chitosan and a Modified Chitosan as Agents to Improve Performances of Mucoadhesive Vaginal Gels. Colloids Surf. B Biointerfaces 2008, 66, 141–145. [Google Scholar] [CrossRef]
- Jøraholmen, M.W.; Bhargava, A.; Julin, K.; Johannessen, M.; Škalko-Basnet, N. The Antimicrobial Properties of Chitosan Can Be Tailored by Formulation. Mar. Drugs 2020, 18, 96. [Google Scholar] [CrossRef]
- Lupo, N.; Fodor, B.; Muhammad, I.; Yaqoob, M.; Matuszczak, B.; Bernkop-Schnürch, A. Entirely S-Protected Chitosan: A Promising Mucoadhesive Excipient for Metronidazole Vaginal Tablets. Acta Biomater. 2017, 64, 106–115. [Google Scholar] [CrossRef]
- Andersen, T.; Mishchenko, E.; Flaten, G.E.; Sollid, J.U.E.; Mattsson, S.; Tho, I.; Škalko-basnet, N. Chitosan-Based Nanomedicine to Fight Genital Candida Infections: Chitosomes. Mar. Drugs 2017, 15, 64. [Google Scholar] [CrossRef]
- Javed, A.; Parvaiz, F.; Manzoor, S. Bacterial Vaginosis: An Insight into the Prevalence, Alternative Regimen Treatments and It’s Associated Resistance Patterns. Microb. Pathog. 2018, 127, 21–30. [Google Scholar] [CrossRef]
- Bahamondes, M.; Portugal, P.; Brolazo, E.; Simões, J.; Bahamondes, L. Use of a Lactic Acid plus Lactoserum Intimate Liquid Soap for External Hygiene in the Prevention of Bacterial Vaginosis Recurrence after Metronidazole Oral Treatment. Rev. Assoc. Med. Bras. 2011, 57, 415–420. [Google Scholar] [CrossRef]
- Decena, D.C.; Co, J.T.; Manalastas, R.M.; Palaypayon, E.; Padolina, C.S.; Sison, J.M.; Dancel, L.A.; Lelis, M.A. Metronidazole with Lactacyd Vaginal Gel in Bacterial Vaginosis. J. Obstet. Gynaecol. Res. 2006, 32, 243–251. [Google Scholar] [CrossRef]
- Ayehunie, S.; Wang, Y.Y.; Landry, T.; Bogojevic, S.; Cone, R.A. Hyperosmolal Vaginal Lubricants Markedly Reduce Epithelial Barrier Properties in a Three-Dimensional Vaginal Epithelium Model. Toxicol. Rep. 2018, 5, 134–140. [Google Scholar] [CrossRef]
- Hu, M.; Zhou, T.; Dezzutti, C.S.; Rohan, L.C. The Effect of Commonly Used Excipients on the Epithelial Integrity of Human Cervicovaginal Tissue. AIDS Res. Hum. Retrovir. 2016, 32, 992–1004. [Google Scholar] [CrossRef]
- Machado, R.M.; Palmeira-de-Oliveira, A.; Martinez-de-Oliveira, J.; Palmeira-de-Oliveira, R. Vaginal Semisolid Products: Technological Performance Considering Physiologic Parameters. Eur. J. Pharm. Sci. 2017, 109, 556–568. [Google Scholar] [CrossRef]
- Cunha, A.R.; Machado, R.M.; Palmeira-de-Oliveira, A.; Martinez-de-Oliveira, J.; Neves, J.D.; Palmeira-de-Oliveira, R. Characterization of Commercially Available Vaginal Lubricants: A Safety Perspective. Pharmaceutics 2014, 6, 530–542. [Google Scholar] [CrossRef]
- World Health Organization. WHO Laboratory Manual for the Examination and Processing of Human Semen, 5th ed.; World Health Organization: Geneva, Switzerland, 2010; Available online: https://apps.who.int/iris/handle/10665/44261 (accessed on 1 November 2021).
- Garg, S.; Tambwekar, K.; Vermani, K.; Garg, A.; Kaul, C.; Zaneveld, L. Compendium of Pharmaceutical Excipientes for Vaginal Formulations. Pharm. Technol. Drug Deliv. 2001, 25, 14. [Google Scholar]
- Gali, Y.; Delezay, O.; Brouwers, J.; Addad, N.; Augustijns, P.; Bourlet, T.; Hamzeh-Cognasse, H.; Arien, K.K.; Pozzetto, B.; Vanham, G. In Vitro Evaluation of Viability, Integrity, and Inflammation in Genital Epithelia upon Exposure to Pharmaceutical Excipients and Candidate Microbicides. Antimicrob. Agents Chemother. 2010, 54, 5105–5114. [Google Scholar] [CrossRef]
- Wang, Z.; Li, K.; Xu, Q.; Fu, G.; Li, H.; Yang, W. Preparation and Evaluation of Chitosan- and Hyaluronic Acid-Grafted Pullulan Succinate Films for Skin Wound Healing. Int. J. Biol. Macromol. 2022, 223, 1432–1442. [Google Scholar] [CrossRef]
- Soubhagya, A.S.; Balagangadharan, K.; Selvamurugan, N.; Sathya Seeli, D.; Prabaharan, M. Preparation and Characterization of Chitosan/Carboxymethyl Pullulan/Bioglass Composite Films for Wound Healing. J. Biomater. Appl. 2022, 36, 1151–1163. [Google Scholar] [CrossRef]
- Palmeira-De-Oliveira, R.; Duarte, P.; Palmeira-De-Oliveira, A.; Das Neves, J.; Amaral, M.H.; Breitenfeld, L.; Martinez-De-Oliveira, J. Women’s Experiences, Preferences and Perceptions Regarding Vaginal Products: Results from a Cross-Sectional Web-Based Survey in Portugal. Eur. J. Contracept. Reprod. Heal. Care 2015, 20, 259–271. [Google Scholar] [CrossRef]
- Fan, M.D.; Kramzer, L.F.; Hillier, S.L.; Chang, J.C.; Meyn, L.A.; Rohan, L.C. Preferred Physical Characteristics of Vaginal Film Microbicides for HIV Prevention in Pittsburgh Women. Arch. Sex. Behav. 2017, 46, 1111–1119. [Google Scholar] [CrossRef]
- Guthrie, K.M.; Rohan, L.; Rosen, R.K.; Vargas, S.E.; Shaw, J.G.; Katz, D.; Kojic, E.M.; Ham, A.S.; Friend, D.; Buckheit, K.W.; et al. Vaginal Film for Prevention of HIV: Using Visual and Tactile Evaluations among Potential Users to Inform Product Design. Pharm. Dev. Technol. 2018, 23, 311–314. [Google Scholar] [CrossRef]
- Zaveri, T.; Powell, K.A.; Guthrie, K.M.; Bakke, A.J.; Ziegler, G.R.; Hayes, J.E. Qualitative Exploration of Intrinsic and Extrinsic Factors That Influence Acceptability of Semisoft Vaginal Suppositories. BMC Womens. Health 2018, 18, 170. [Google Scholar] [CrossRef]
- Mullins, M.Z.; Trouton, K.M. BASIC Study: Is Intravaginal Boric Acid Non-Inferior to Metronidazole in Symptomatic Bacterial Vaginosis ? Study Protocol for a Randomized Controlled Trial. Trials 2015, 16, 315. [Google Scholar] [CrossRef]
- Powell, A.; Ghanem, K.G.; Rogers, L.; Zinalabedini, A.; Brotman, R.M.; Zenilman, J.; Tuddenham, S. Clinicians’ Use of Intravaginal Boric Acid Maintenance Therapy for Recurrent Vulvovaginal Candidiasis and Bacterial Vaginosis. Sex. Transm. Dis. 2019, 46, 810–812. [Google Scholar] [CrossRef]
- Bonferoni, M.C.; Giunchedi, P.; Scalia, S.; Rossi, S.; Sandri, G.; Caramella, C. Chitosan Gels for the Vaginal Delivery of Lactic Acid: Relevance of Formulation Parameters to Mucoadhesion and Release Mechanisms. Am. Assoc. Pharm. Sci. 2006, 7, 3–10. [Google Scholar] [CrossRef]
- Boeke, A.J.P.; Dekker, J.H.; Eijk, J.; Kostense, P.J.; Bezemer, P.D. Effect of Lactic Acid Suppositories Compared with Oral Metronidazole and Placebo in Bacterial Vaginosis: A Randomised Clinical Trial. Genitourinaly Med. 1993, 69, 388–393. [Google Scholar] [CrossRef]
- Zhang, W.; Hu, M.; Shi, Y.; Gong, T.; Dezzutti, C.S.; Moncla, B.; Sarafianos, S.G.; Parniak, M.A.; Rohan, L.C. Vaginal Microbicide Film Combinations of Two Reverse Transcriptase Inhibitors, EFdA and CSIC, for the Prevention of HIV-1 Sexual Transmission. Pharm. Res. 2015, 32, 2960–2972. [Google Scholar] [CrossRef]
- Sassi, A.B.; Cost, M.R.; Cole, A.L.; Cole, A.M.; Patton, D.L.; Gupta, P.; Rohan, L.C. Formulation Development of Retrocyclin 1 Analog RC-101 as an Anti-HIV Vaginal Microbicide Product. Antimicrob. Agents Chemother. 2011, 55, 2282–2289. [Google Scholar] [CrossRef]
- Baloglu, E.; Senyigit, Z.A.; Karavana, S.Y.; Bernkop-Schnürch, A. Strategies to Prolong the Intravaginal Residence Time of Drug Delivery Systems. J. Pharm. Pharm. Sci. 2009, 12, 312–336. [Google Scholar] [CrossRef]
- Cook, M.T.; Brown, M.B. Polymeric Gels for Intravaginal Drug Delivery. J. Control. Release 2018, 270, 145–157. [Google Scholar] [CrossRef]
- das Neves, J.; Palmeira-de-Oliveira, R.; Palmeira-de-Oliveira, A.; Rodrigues, F.; Sarmento, B. Vaginal Mucosa and Drug Delivery. In Mucoadhesive Materials and Drug Delivery Systems; John Wiley & Sons, Ltd.: Hoboken, NJ, USA, 2014; ISBN 9781118794203. [Google Scholar]
- Turek, C.; Stintzing, F.C. Stability of Essential Oils: A Review. Compr. Rev. Food Sci. Food Saf. 2013, 12, 40–53. [Google Scholar] [CrossRef]
- Figueiredo, A.; Barroso, J.; Pedro, L.; Salgueiro, L.; Miguel, M.; Faleiro, M. Portuguese Thymbra and Thymus Species Volatiles: Chemical Composition and Biological Activities. Curr. Pharm. Des. 2008, 14, 3120–3140. [Google Scholar] [CrossRef] [PubMed]
- Machado, R.M.; Palmeira-de-Oliveira, A.; Breitenfeld, L.; Martinez-de-Oliveira, J.; Palmeira-de-Oliveira, R. Optimization and Application of In Vitro and Ex Vivo Models for Vaginal Semisolids Safety Evaluation. J. Pharm. Sci. 2019, 108, 3289–3301. [Google Scholar] [CrossRef] [PubMed]
- Interagency Coordinating Committee on the Validation of Alternative Methods (ICCVAM) ICCVAM-Recommended Test Method Protocol: Hen’s Egg Test – Chorioallantoic Membrane ( HET-CAM ) Test Method. Available online: http://iccvam.niehs.nih.gov/methods/ocutox/MildMod-TMER.htm (accessed on 1 November 2021).
- Palmeira-de-Oliveira, R.; Machado, R.M.; Martinez-de-Oliveira, J.; Palmeira-de-Oliveira, A. Testing Vaginal Irritation with the Hen’s Egg Test-Chorioallantoic Membrane Assay. ALTEX 2018, 35, 495–503. [Google Scholar] [CrossRef]
- Macklaim, J.M.; Clemente, J.C.; Knight, R.; Gloor, G.B.; Reid, G. Changes in Vaginal Microbiota Following Antimicrobial and Probiotic Therapy. Microb. Ecol. Health Dis. 2015, 26, 27799. [Google Scholar] [CrossRef]
- Coleman, J.S.; Gaydos, A. Molecular Diagnosis of Bacterial Vaginosis: An Update. J. Clin. Microbiol. 2018, 56, e00342-18. [Google Scholar] [CrossRef]
- Council of Europe. European Pharmacopoeia, 7th ed.; European Directorate for the Quality of Medicines and Healthcare of the Council of Europe, Ed.; European Directorate for the Quality of Medicines and Healthcare of the Council of Europe: Strasbourg, France, 2010. [Google Scholar]
- Dolci, L.S.; Albertini, B.; Di Filippo, M.F.; Bonvicini, F.; Passerini, N.; Panzavolta, S. Development and in Vitro Evaluation of Mucoadhesive Gelatin Films for the Vaginal Delivery of Econazole. Int. J. Pharm. 2020, 591, 119979. [Google Scholar] [CrossRef]
- Owen, D.H.; Katz, D.F. A Vaginal Fluid Simulant. Contraception 1999, 59, 91–95. [Google Scholar] [CrossRef] [PubMed]
- das Neves, J.; Amaral, M.H.; Bahia, M.F. Performance of an in Vitro Mucoadhesion Testing Method for Vaginal Semisolids: Influence of Different Testing Conditions and Instrumental Parameters. Eur. J. Pharm. Biopharm. 2008, 69, 622–632. [Google Scholar] [CrossRef]
- ISO 10993-5; International Standard Biological Evaluation of Medical Devices—Part 5: Tests for in Vitro Cytotoxicity. Geneva, Switzerland, 2009; ISBN 2831846102. Available online: https://www.iso.org/standard/36406.html (accessed on 1 November 2021).






| Formulation | Colour | Transparency | Odour | Feel to Touch |
|---|---|---|---|---|
| A | Very light yellow | Transparent | Odourless | Hard, flexible, smooth surface |
| A.O | Light yellow | Transparent | TCEO odour | Flexible, smooth surface |
| B | Yellowish white | Translucent | Odourless | Flexible, smooth surface |
| B.O | Very light yellow | Translucent | TCEO odour | Hard, flexible, smooth surface |
| C | Very light yellow | Transparent | Odourless | Flexible, smooth surface |
| C.O | Light yellow | Transparent | TCEO odour | Hard, flexible, smooth surface |
| D | Light yellow | Transparent | Slight shellfish odour | Flexible, smooth surface |
| D.O | Light yellow | Transparent | TCEO odour; slight shellfish odour | Very flexible, smooth surface |
| E | White | Opaque | Odourless | Soft, flexible, smooth surface |
| E.O | White | Opaque | TCEO odour | Soft, very flexible, smooth surface |
| F | Very light yellow | Translucent | Odourless | Soft, flexible, smooth surface |
| F.O | Very light yellow | Translucent | TCEO odour | Soft, very flexible, smooth surface |
| G | Pearl white | Opaque | Odourless | Soft, flexible, smooth surface |
| G.O | Pearl white | Opaque | TCEO odour | Soft, very flexible, smooth surface |
| Thickness (mm) (n = 6) | pH Dilution with mVFS pH5 1:10 w/w pH ± S.D (n = 3) | |
|---|---|---|
| A | 0.935 ± 0.081 | 4.72 ± 0.01 |
| A.O | 0.925 ± 0.025 | 4.48 ± 0.02 |
| B | 1.111 ± 0.176 | 4.63 ± 0.03 |
| B.O | 1.086 ± 0.072 | 4.47 ± 0.03 |
| C | 0.815 ± 0.039 | 4.61 ± 0.01 |
| C.O | 0.821 ± 0.018 | 4.45 ± 0.01 |
| D | 0.813 ± 0.046 | 4.67 ± 0.01 |
| D.O | 0.820 ± 0.023 | 4.52 ± 0.01 |
| E | 0.921 ± 0.041 | 4.43 ± 0.01 |
| E.O | 0.906 ± 0.012 | 4.38 ± 0.01 |
| F | 1.027 ± 0.023 | 4.52 ± 0.01 |
| F.O | 1.005 ± 0.009 | 4.40 ± 0.01 |
| G | 0.920 ± 0.024 | 4.55 ± 0.01 |
| G.O | 0.924 ± 0.010 | 4.40 ± 0.02 |
| 10 min | 30 min | 1 h | 3 h | 5 h | 7 h | 11 h | 24 h | |
|---|---|---|---|---|---|---|---|---|
| A | 21 ± 3 | 35 ± 1 | 54 ± 0 | 55 ± 2 | 59 ± 3 | 63 ± 0 | 59 ± 8 | 57 ± 1 |
| A.O | 29 ± 2 | 42 ± 2 | 42 ± 2 | 53 ± 6 | 46 ± 3 | 47 ± 5 | 47 ± 2 | 33 ± 1 |
| B | 29 ± 4 | 44 ± 4 | 54 ± 0 | 62 ± 3 | 66 ± 0 | 67 ± 7 | 84 ± 14 | 55 ± 1 |
| B.O | 28 ± 4 | 39 ± 3 | 45 ± 2 | 53 ± 2 | 60 ± 2 | 54 ± 4 | 45 ± 1 | 32 ± 0 |
| C | 22 ± 3 | 42 ± 7 | 39 ± 1 | 56 ± 3 | 53 ± 0 | 55 ± 7 | 59 ± 14 | 50 ± 1 |
| C.O | 29 ± 0 | 41 ± 2 | 44 ± 0 | 50 ± 6 | 50 ± 2 | 53 ± 4 | 52 ± 4 | 34 ± 1 |
| D | 25 ± 5 | 45 ± 5 | 47 ± 2 | 59 ± 12 | 63 ± 5 | 69 ± 2 | 70 ± 1 | 61 ± 0 |
| D.O | 40 ± 4 | 42 ± 8 | 49 ± 5 | 48 ± 1 | 56 ± 3 | 63 ± 0 | 45 ± 6 | 32 ± 0 |
| E | 42 ± 9 | 39 ± 5 | 32 ± 3 | 29 ± 10 | 10 ± 0 | - | - | - |
| E.O | 46 ± 7 | 47 ± 2 | 42 ± 5 | 35 ± 8 | 6 ± 2 | - | - | - |
| F | 20 ± 15 | 37 ± 7 | 40 ± 11 | 49 ± 4 | 58 ± 0 | 47 ± 1 | 47 ± 6 | 23 ± 0 |
| F.O | 36 ± 4 | 41 ± 3 | 53 ± 1 | 56 ± 2 | 55 ± 2 | 55 ± 3 | 55 ± 3 | 37 ± 5 |
| G | 31 ± 1 | 40 ± 11 | 44 ± 6 | 47 ± 2 | 47 ± 4 | 46 ± 10 | 47 ± 5 | 26 ± 11 |
| G.O | 38 ± 3 | 48 ± 2 | 48 ± 8 | 52 ± 5 | 51 ± 8 | 51 ± 4 | 47 ± 3 | 38 ± 3 |
| Storage Conditions during 3 Months | Decrease of Concentration of Carvacrol after Storage from t0 (%) | |
|---|---|---|
| Vaginal sheet D Mixture Carvacrol + Linalool (0.8 + 0.2% w/w) | 5 °C | −41.44% |
| Vaginal sheet D Mixture Carvacrol + Linalool (0.8 + 0.2% w/w) | Room temperature (20–25 °C) | −82.72% |
| Vaginal sheet D Mixture Carvacrol + Linalool (0.8 + 0.2% w/w) | 40 °C | −93.45% |
| D.O TCEO (1% w/w) | 5 °C | −1.91% |
| D.O TCEO (1% w/w) | Room temperature (20–25 °C) | −16.83% |
| D.O TCEO (1% w/w) | 40 °C | −56.26% |
| IS (Mean ± Standard Deviation) | Classification | ||
|---|---|---|---|
| Controls | NaCl 0.9% (w/v) | 0 ± 0 | Non-severe irritant |
| NaOH (0.1 N) | 20 ± 1 | Severe irritant | |
| SDS 1% (w/v) | 10 ± 0 | Severe irritant | |
| Tested product | D (fine particles) | 11 ± 1 | Severe irritant |
| D.O (fine particles) | 11 ± 1 | Severe irritant | |
| D 10% w/v in saline solution | 5 ± 0 | Non-severe irritant | |
| D.O 10% w/v in saline solution | 8 ± 0 | Non-severe irritant | |
| Water | LA (90% v/v) | Sodium Lactate (50% v/v) | Gelatine | HPMC | PVA | Glycerine | Propylene Glycol | ASS | Lactose | Chitosan | |
|---|---|---|---|---|---|---|---|---|---|---|---|
| A | 70.42 | 0.81 | 2.52 | 15.0 | 11.25 | ||||||
| B | 67.54 | 0.79 | 2.42 | 15.0 | 11.25 | 3.0 | |||||
| C | 67.54 | 0.79 | 2.42 | 15.0 | 11.25 | 3.0 | |||||
| D | 63.65 | 1.56 | 4.79 | 13.5 | 15.0 | 1.5 | |||||
| E | 81.82 | 0.95 | 2.93 | 4.0 | 1.0 | 2.4 | 6.0 | 0.9 | |||
| F | 70.45 | 0.82 | 2.53 | 10.0 | 1.2 | 15.0 | |||||
| G | 70.65 | 0.82 | 2.53 | 10.0 | 1.0 | 15.0 |
Disclaimer/Publisher’s Note: The statements, opinions and data contained in all publications are solely those of the individual author(s) and contributor(s) and not of MDPI and/or the editor(s). MDPI and/or the editor(s) disclaim responsibility for any injury to people or property resulting from any ideas, methods, instructions or products referred to in the content. |
© 2023 by the authors. Licensee MDPI, Basel, Switzerland. This article is an open access article distributed under the terms and conditions of the Creative Commons Attribution (CC BY) license (https://creativecommons.org/licenses/by/4.0/).
Share and Cite
Tomás, M.; Sousa, L.G.V.; Oliveira, A.S.; Gomes, C.P.; Palmeira-de-Oliveira, A.; Cavaleiro, C.; Salgueiro, L.; Cerca, N.; Martinez-de-Oliveira, J.; Palmeira-de-Oliveira, R. Vaginal Sheets with Thymbra capitata Essential Oil for the Treatment of Bacterial Vaginosis: Design, Characterization and In Vitro Evaluation of Efficacy and Safety. Gels 2023, 9, 293. https://doi.org/10.3390/gels9040293
Tomás M, Sousa LGV, Oliveira AS, Gomes CP, Palmeira-de-Oliveira A, Cavaleiro C, Salgueiro L, Cerca N, Martinez-de-Oliveira J, Palmeira-de-Oliveira R. Vaginal Sheets with Thymbra capitata Essential Oil for the Treatment of Bacterial Vaginosis: Design, Characterization and In Vitro Evaluation of Efficacy and Safety. Gels. 2023; 9(4):293. https://doi.org/10.3390/gels9040293
Chicago/Turabian StyleTomás, Mariana, Lúcia G. V. Sousa, Ana Sofia Oliveira, Carolina P. Gomes, Ana Palmeira-de-Oliveira, Carlos Cavaleiro, Lígia Salgueiro, Nuno Cerca, José Martinez-de-Oliveira, and Rita Palmeira-de-Oliveira. 2023. "Vaginal Sheets with Thymbra capitata Essential Oil for the Treatment of Bacterial Vaginosis: Design, Characterization and In Vitro Evaluation of Efficacy and Safety" Gels 9, no. 4: 293. https://doi.org/10.3390/gels9040293
APA StyleTomás, M., Sousa, L. G. V., Oliveira, A. S., Gomes, C. P., Palmeira-de-Oliveira, A., Cavaleiro, C., Salgueiro, L., Cerca, N., Martinez-de-Oliveira, J., & Palmeira-de-Oliveira, R. (2023). Vaginal Sheets with Thymbra capitata Essential Oil for the Treatment of Bacterial Vaginosis: Design, Characterization and In Vitro Evaluation of Efficacy and Safety. Gels, 9(4), 293. https://doi.org/10.3390/gels9040293

