PDDA/Honey Antibacterial Nanofiber Composites for Diabetic Wound-Healing: Preparation, Characterization, and In Vivo Studies
Abstract
1. Introduction
2. Results and Discussion
2.1. Microscopic Characterization
2.2. FTIR Analysis
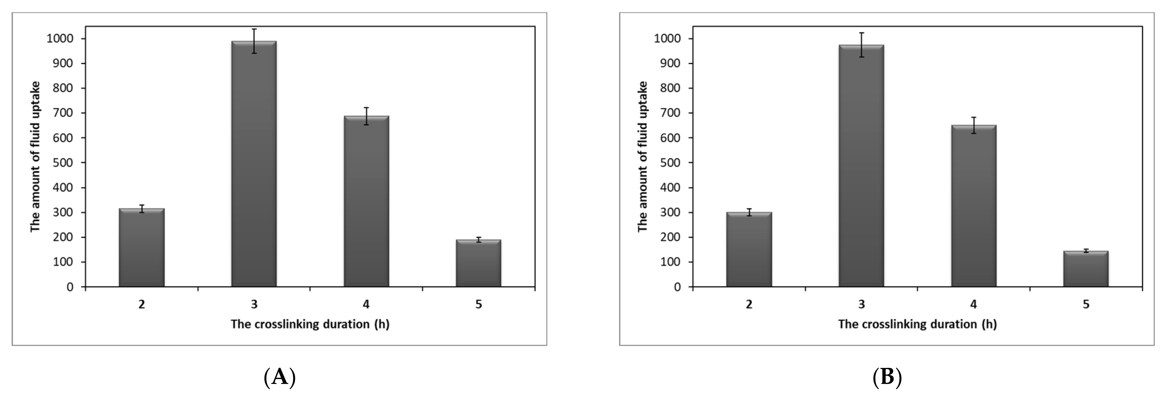
2.3. Fluid Absorption and Solubility of Nanofibers
2.4. Release Behavior of Nanofibers
2.5. Antibacterial Activity of Nanofibers
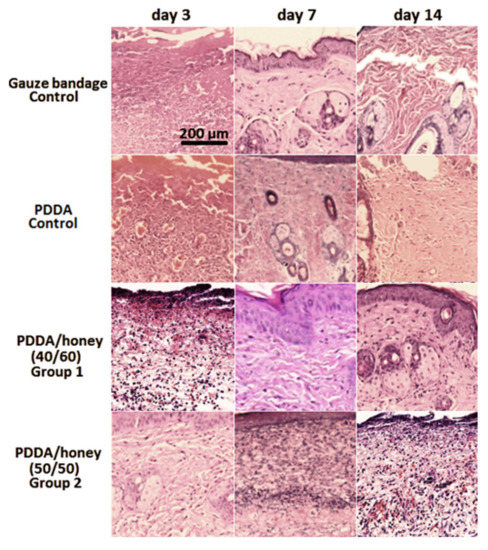
2.6. Wound-Healing and Histopathological Studies
2.7. Histomorphometric Analysis
2.8. Identification of the Effect of Variables on Wound-Healing (%) Improvement
3. Conclusions
4. Materials and Methods
4.1. Materials
4.2. Preparation of Nanofibers
4.3. Crosslinking of Nanofibers
4.4. Assessment of Antibacterial Activity
4.5. Assessment of Fluid Absorption
4.6. Assessment of Solubility of Nanofibers
4.7. Evaluation of Phenolic and Flavonoid Compounds
4.8. Evaluation of Total Antioxidant Capacity
4.9. Conducting Diabetic and Wound-Healing Tests
4.10. Histopathological Analysis
4.11. Histomorphometry Analysis
4.12. Design of Experiments
Author Contributions
Funding
Institutional Review Board Statement
Informed Consent Statement
Data Availability Statement
Acknowledgments
Conflicts of Interest
References
- Moura, L.; Dias, A.; Leal, E.; Carvalho, L.; de Sousa, H.; Carvalho, E. Chitosan-based dressings loaded with neurotensin—An efficient strategy to improve early diabetic wound healing. Acta Biomater. 2014, 10, 843–857. [Google Scholar] [CrossRef]
- Da Silva, L.; Carvalho, E.; Cruz, M. Role of neuropeptides in skin inflammation and its involvement in diabetic wound healing. Expert Opin. Biol. Ther. 2010, 10, 1427–1439. [Google Scholar] [CrossRef]
- Hirsch, T.; Spielmann, M.; Zuhaili, B.; Koehler, T.; Fossum, M.; Steinau, H.-U.; Yao, F.; Steinstraesser, L.; Onderdonk, A.; Eriksson, E. Enhanced susceptibility to infections in a diabetic wound healing model. BMC Surg. 2008, 8, 5. [Google Scholar] [CrossRef]
- Lee, C.-H.; Liu, K.-S.; Cheng, C.-W.; Chan, E.-C.; Hung, K.-C.; Hsieh, M.-J.; Liu, S.-J. Codelivery of Sustainable Antimicrobial Agents and Platelet-Derived Growth Factor via Biodegradable Nanofibers for Repair of Diabetic Infectious Wounds. ACS Infect. Dis. 2020, 6, 2688–2697. [Google Scholar] [CrossRef]
- Xu, X.; Zhong, W.; Zhou, S.; Trajtman, A.; Alfa, M. Electrospun PEG-PLA nanofibrous membrane for sustained release of hydrophilic antibiotics. J. Appl. Polym. Sci. 2010, 118, 588–595. [Google Scholar] [CrossRef]
- Song, C.; Dong, X. Preparation and characterization of tetracomponent ZnO/SiO2/SnO2/TiO2 composite nanofibers by electrospinning. Adv. Chem. Eng. Sci. 2012, 2, 108. [Google Scholar] [CrossRef]
- Almasian, A.; Fard, G.; Maleknia, L. Fabrication of hollow and nonhollow SiO2 nanofibers for removal of cationic dyes from aqueous solutions. Environ. Prog. Sustain. Energy 2017, 36, 1390–1404. [Google Scholar] [CrossRef]
- Zhong, S.; Zhang, Y.; Lim, C. Tissue scaffolds for skin wound healing and dermal reconstruction. Wiley Interdiscip. Rev. Nanomed. Nanobiotechnol. 2010, 2, 510–525. [Google Scholar] [CrossRef]
- Almasian, A.; Olya, M.; Mahmoodi, N. Preparation and adsorption behavior of diethylenetriamine/polyacrylonitrile composite nanofibers for a direct dye removal. Fibers Polym. 2015, 16, 1925–1934. [Google Scholar] [CrossRef]
- Mozaffari, A.; Gashti, M.P.; Mirjalili, M.; Parsania, M. Argon and Argon–Oxygen Plasma Surface Modification of Gelatin Nanofibers for Tissue Engineering Applications. Membranes 2021, 11, 31. [Google Scholar] [CrossRef]
- Almasian, A.; Najafi, F.; Mirjalili, M.; Gashti, M.P.; Fard, G. Zwitter ionic modification of cobalt-ferrite nanofiber for the removal of anionic and cationic dyes. J. Taiwan Inst. Chem. Eng. 2016, 67, 306–317. [Google Scholar] [CrossRef]
- Almasian, A.; Fard, G.C.; Mirjalili, M.; Gashti, M.P. Fluorinated-PAN nanofibers: Preparation, optimization, characterization and fog harvesting property. J. Ind. Eng. Chem. 2018, 62, 146–155. [Google Scholar] [CrossRef]
- Trabelsi, M.; Mamun, A.; Klöcker, M.; Sabantina, L.; Großerhode, C.; Blachowicz, T.; Ehrmann, A. Increased Mechanical Properties of Carbon Nanofiber Mats for Possible Medical Applications. Fibers 2019, 7, 98. [Google Scholar] [CrossRef]
- Gao, Y.; Nieuwendaal, R.; Dimitriadis, E.K.; Hammouda, B.; Douglas, J.F.; Xu, B.; Horkay, F. Supramolecular Self-Assembly of a Model Hydrogelator. Charact. Fiber Form. Morphol. Gels 2016, 2, 27. [Google Scholar]
- Xu, Z.; Gao, N.; Dong, S. Preparation and layer-by-layer self-assembly of positively charged multiwall carbon nanotubes. Talanta 2006, 68, 753–758. [Google Scholar] [CrossRef]
- Liu, K.; Zhang, J.; Yang, G.; Wang, C.; Zhu, J.-J. Direct electrochemistry and electrocatalysis of hemoglobin based on poly(diallyldimethylammonium chloride) functionalized graphene sheets/room temperature ionic liquid composite film. Electrochem. Commun. 2010, 12, 402–405. [Google Scholar] [CrossRef]
- Shin, Y.J.; Kameoka, J. Amperometric cholesterol biosensor using layer-by-layer adsorption technique onto electrospun polyaniline nanofibers. J. Ind. Eng. Chem. 2012, 18, 193–197. [Google Scholar] [CrossRef]
- Xiao, S.; Wu, S.; Shen, M.; Guo, R.; Huang, Q.; Wang, S.; Shi, X. Polyelectrolyte Multilayer-Assisted Immobilization of Zero-Valent Iron Nanoparticles onto Polymer Nanofibers for Potential Environmental Applications. ACS Appl. Mater. Interfaces 2009, 12, 2848–2855. [Google Scholar] [CrossRef]
- Liu, D.S.; Ashcraft, J.N.; Mannarino, M.M.; Silberstein, M.N.; Argun, A.A.; Rutledge, G.C.; Boyce, M.C.; Hammond, P.T. Spray Layer-by-Layer Electrospun Composite Proton Exchange Membranes. Adv. Funct. Mater. 2013, 23, 3087–3095. [Google Scholar] [CrossRef]
- Guzmán, E.; Fernández-Peña, L.; Akanno, A.; Llamas, S.; Ortega, F.; Rubio, R.G. Two Different Scenarios for the Equilibration of Polycation—Anionic Solutions at Water–Vapor Interfaces. Coatings 2019, 9, 438. [Google Scholar] [CrossRef]
- Nizri, G.; Lagerge, S.; Kamyshny, A.; Major, D.; Magdassi, S. Polymer–surfactant interactions: Binding mechanism of sodium dodecyl sulfate to poly(diallyldimethylammonium chloride). J. Colloid Interface Sci. 2008, 320, 74–81. [Google Scholar] [CrossRef]
- Lu, J.; Wang, X.; Xiao, C. Preparation and characterization of konjac glucomannan/poly(diallydimethylammonium chloride) antibacterial blend films. Carbohydr. Polym. 2008, 73, 427–437. [Google Scholar] [CrossRef]
- Melo, L.; Mamizuka, E.; Carmona-Ribeiro, A.M. Antimicrobial particles from cationic lipid and polyelectrolytes. Langmuir 2010, 26, 12300–12306. [Google Scholar] [CrossRef]
- Sanches, L.; Petri, D.; de Melo Carrasco, L.; Carmona-Ribeiro, A. The antimicrobial activity of free and immobilized poly(diallyldimethylammonium) chloride in nanoparticles of poly(methylmethacrylate). J. Nanobiotechnol. 2015, 13, 58. [Google Scholar] [CrossRef]
- Zhou, Y.; Chen, R.; He, T.; Xu, K.; Du, D.; Zhao, N.; Cheng, X.; Yang, J.; Shi, H.; Lin, Y. Biomedical potential of ultrafine Ag/AgCl nanoparticles coated on graphene with special reference to antimicrobial performances and burn wound healing. ACS Appl. Mater. Interfaces 2016, 8, 15067–15075. [Google Scholar] [CrossRef]
- Sundarrajan, S.; Ramakrishna, S. Green Processing of a Cationic Polyelectrolyte Nanofibers in the Presence of Poly(vinyl alcohol). Int. J. Green Nanotechnol. 2011, 3, 244–249. [Google Scholar] [CrossRef]
- Maleki, H.; Gharehaghaji, A.; Dijkstra, P. A novel honey-based nanofibrous scaffold for wound dressing application. J. Appl. Polym. Sci. 2013, 127, 4086–4092. [Google Scholar] [CrossRef]
- Bardy, J.; Slevin, N.; Mais, K.; Molassiotis, A. A systematic review of honey uses and its potential value within oncology care. J. Clin. Nurs. 2008, 17, 2604–2623. [Google Scholar] [CrossRef]
- Arslan, A.; Şimşek, M.; Aldemir, S.; Kazaroğlu, N.; Gümüşderelioğlu, M. Honey-based PET or PET/chitosan fibrous wound dressings: Effect of honey on electrospinning process. J. Biomater. Sci. Polym. Ed. 2014, 25, 999–1012. [Google Scholar] [CrossRef]
- Sarhan, W.; Azzazy, H.; El-Sherbiny, I.M. Honey/chitosan nanofiber wound dressing enriched with Allium sativum and Cleome droserifolia: Enhanced antimicrobial and wound healing activity. ACS Appl. Mater. Interfaces 2016, 8, 6379–6390. [Google Scholar] [CrossRef]
- Fard, G.C.; Maleknia, L.; Giahi, M.; Almasian, A.; Shabani, M.; Dehdast, S.A. Synthesis and Characterization of Novel Antibacterial PDDA/Honey Nanofiber Against Gram-Positive and Gram-Negative Bacteria. Nanomed. Res. J. 2020, 5, 75–89. [Google Scholar]
- Hixon, K.R.; Bogner, S.J.; Ronning-Arnesen, G.; Janowiak, B.E.; Sell, S.A. Investigating Manuka Honey Antibacterial Properties When Incorporated into Cryogel, Hydrogel, and Electrospun Tissue Engineering Scaffolds. Gels 2019, 5, 21. [Google Scholar] [CrossRef]
- Fard, G.C.; Mirjalili, M.; Almasian, A.; Najafi, F. PAMAM grafted α-Fe2O3 nanofiber: Preparation and dye removal ability from binary system. J. Taiwan Inst. Chem. Eng. 2017, 80, 156–167. [Google Scholar] [CrossRef]
- Noralian, Z.; Gashti, M.P.; Moghaddam, M.R.; Tayyeb, H.; Erfanian, I. Ultrasonically developed silver/iota-carrageenan/cotton bionanocomposite as an efficient material for biomedical applications. Int. J. Biol. Macromol. 2021, 180, 439–457. [Google Scholar] [CrossRef]
- Almasian, A.; Jalali, M.; Fard, G.; Maleknia, L. Surfactant grafted PDA-PAN nanofiber: Optimization of synthesis, characterization and oil absorption property. Chem. Eng. J. 2017, 326, 1232–1241. [Google Scholar] [CrossRef]
- Mahmoodi, N.; Mokhtari-Shourijeh, Z. Preparation of PVA-chitosan blend nanofiber and its dye removal ability from colored wastewater. Fibers Polym. 2015, 16, 1861–1869. [Google Scholar] [CrossRef]
- Almasian, A.; Mahmoodi, N.; Olya, M. Tectomer grafted nanofiber: Synthesis, characterization and dye removal ability from multicomponent system. J. Ind. Eng. Chem. 2015, 32, 85–98. [Google Scholar] [CrossRef]
- Mahmoodi, N.; Mokhtari-Shourijeh, Z. Modified poly(vinyl alcohol)-triethylenetetramine nanofiber by glutaraldehyde: Preparation and dye removal ability from wastewater. Desalination Water Treat. 2016, 57, 20076. [Google Scholar] [CrossRef]
- Naeim, A.; Payandeh, M.; Ghara, A.R.; Ghadi, F.E. In vivo evaluation of the wound healing properties of bio-nanofiber chitosan/ polyvinyl alcohol incorporating honey and Nepeta dschuparensis. Carbohydr. Polym. 2020, 240, 116315. [Google Scholar] [CrossRef]
- Ghorbani, M.; Ramezani, S.; Rashidi, M. Fabrication of honey-loaded ethylcellulose/gum tragacanth nanofibers as an effective antibacterial wound dressing. Colloids Surf. A Physicochem. Eng. Asp. 2021, 621, 126615. [Google Scholar] [CrossRef]
- Mohamed, H.; Salma, M.; Al, B.; Abdi, S.; Gouda, Z.; Barakat, N.; Elmahdi, H.; Abraham, S.; Hamza, A.; Al, D.K. The efficacy and safety of natural honey on the healing of foot ulcers: A case series. Wounds A Compend. Clin. Res. Pract. 2015, 27, 103. [Google Scholar]
- Tang, Y.; Lan, X.; Liang, C.; Zhong, Z.; Xie, R.; Zhou, Y.; Miao, X.; Wang, H.; Wang, W. Honey loaded alginate/PVA nanofibrous membrane as potential bioactive wound dressing. Carbohydr. Polym. 2019, 219, 113–120. [Google Scholar] [CrossRef]
- Navarro-González, I.; González-Barrio, R.; García-Valverde, V.; Bautista-Ortín, A.; Periago, M. Nutritional composition and antioxidant capacity in edible flowers: Characterisation of phenolic compounds by HPLC-DAD-ESI/MSn. Int. J. Mol. Sci. 2015, 16, 805–822. [Google Scholar] [CrossRef]
- Brudzynski, K.; Abubaker, K.; Miotto, D. Unraveling a mechanism of honey antibacterial action: Polyphenol/H2O2-induced oxidative effect on bacterial cell growth and on DNA degradation. Food Chem. 2012, 133, 329–336. [Google Scholar] [CrossRef]
- Anderson, I. Honey dressings in wound care. Nurs. Times 2006, 102, 40–42. [Google Scholar]
- Weston, R. The contribution of catalase and other natural products to the antibacterial activity of honey: A review. Food Chem. 2000, 71, 235. [Google Scholar] [CrossRef]
- Molan, P.; Rhodes, T. Honey: A biologic wound dressing. Wounds 2015, 27, 141. [Google Scholar]
- Yaghoobi, R.; Kazerouni, A. Evidence for clinical use of honey in wound healing as an anti-bacterial, anti-inflammatory anti-oxidant and anti-viral agent: A review. Jundishapur J. Nat. Pharm. Prod. 2013, 8, 100–104. [Google Scholar] [CrossRef]
- Fitzmaurice, S.; Sivamani, R.; Isseroff, R. Antioxidant therapies for wound healing: A clinical guide to currently commercially available products. Ski. Pharmacol. Physiol. 2011, 24, 113–126. [Google Scholar] [CrossRef]
- Bogdanov, S. Nature and origin of the antibacterial substances in honey. LWT-Food Sci. Technol. 1997, 30, 748–753. [Google Scholar] [CrossRef]
- Al-Mamary, M.; Al-Meeri, A.; Al-Habori, M. Antioxidant activities and total phenolics of different types of honey. Nutr. Res. 2002, 22, 1041–1047. [Google Scholar] [CrossRef]
- Al-Waili, N.; Salom, K.; Al-Ghamdi, A.A. Honey for wound healing, ulcers, and burns; data supporting its use in clinical practice. Sci. World J. 2011, 11, 766–787. [Google Scholar] [CrossRef]
- Moghazy, A.; Shams, M.; Adly, O.; Abbas, A.; El-Badawy, M.; Elsakka, D.; Hassan, S.; Abdelmohsen, W.; Ali, O.; Mohamed, B. The clinical and cost effectiveness of bee honey dressing in the treatment of diabetic foot ulcers. Diabetes Res. Clin. Pract. 2010, 89, 276–281. [Google Scholar] [CrossRef]
- Abdollahi, M.; Rezaei, M.; Farzi, G. A novel active bionanocomposite film incorporating rosemary essential oil and nanoclay into chitosan. J. Food Eng. 2012, 111, 343–350. [Google Scholar] [CrossRef]
- Meda, A.; Lamien, C.; Romito, M.; Millogo, J.; Nacoulma, O.G. Determination of the total phenolic, flavonoid and proline contents in Burkina Fasan honey, as well as their radical scavenging activity. Food Chem. 2005, 91, 571–577. [Google Scholar] [CrossRef]













| Sample | Angiogenesis | Epitheliogenesis (Score) | Inflammatory Cells/3HPF |
|---|---|---|---|
| PDDA/honey nanofiber composite (40/60) | 0 (3 days) 2 (7 days) 3 (14 days) | 0 (3 days) 2 (7 days) 4 (14 days) | 179 (3 days) 85 (7 days) 24 (14 days) |
| PDDA/honey nanofiber composite (50/50) | 0 (3 days) 2 (7 days) 2 (14 days) | 0 (3 days) 1 (7 days) 2 (14 days) | 161 (3 days) 121 (7 days) 80 (14 days) |
| PDDA nanofiber | 0 (3 days) 1 (7 days) 2 (14 days) | 0 (3 days) 0 (7 days) 1 (14 days) | 98 (3 days) 132 (7 days) 1 (14 days) |
| Gauze bandage | 0 (3 days) 0 (7 days) 1 (14 days) | 0 (3 days) 0 (7 days) 0 (14 days) | 40 (3 days) 112 (7 days) 99 (14 days) |
| (A) | |||||
| Run | A:Honey (%) | B:PDDA(%) | C:Duration of GA Treatment(h) | D: Day | Response: Wound-Healing (%) |
| 1 | 60 | 60 | 5 | 14 | 72.2 |
| 2 | 60 | 40 | 5 | 14 | 74.6 |
| 3 | 50 | 50 | 6.5 | 7 | 18 |
| 4 | 40 | 60 | 5 | 14 | 69.7 |
| 5 | 60 | 40 | 2 | 14 | 68 |
| 6 | 60 | 60 | 5 | 3 | 33.3 |
| 7 | 50 | 50 | 3 | 14 | 81.7 |
| 8 | 40 | 60 | 3 | 7 | 59.8 |
| 9 | 40 | 60 | 3 | 3 | 21.8 |
| 10 | 40 | 60 | 5 | 3 | 35 |
| 11 | 40 | 60 | 2 | 14 | 67.8 |
| 12 | 50 | 70 | 3 | 7 | 30.2 |
| 13 | 50 | 50 | 3 | 18.5 | 10 |
| 14 | 60 | 60 | 2 | 3 | 34.2 |
| 15 | 60 | 40 | 2 | 14 | 69 |
| 16 | 50 | 50 | 3 | 7 | 46.7 |
| 17 | 60 | 40 | 5 | 3 | 35.2 |
| 18 | 60 | 40 | 2 | 3 | 36.8 |
| 19 | 40 | 40 | 5 | 3 | 32.2 |
| 20 | 50 | 50 | 3 | 7 | 45.9 |
| 21 | 70 | 30 | 3 | 7 | 21.2 |
| 22 | 50 | 30 | 3 | 7 | 34 |
| 23 | 50 | 50 | 3 | 7 | 45.5 |
| 24 | 50 | 50 | 3 | 0.5 | 9 |
| 25 | 40 | 60 | 5 | 14 | 69 |
| 26 | 50 | 50 | 3 | 7 | 45.9 |
| 27 | 50 | 50 | 3 | 7 | 46.3 |
| 28 | 40 | 40 | 2 | 3 | 34.5 |
| 29 | 50 | 50 | 0.5 | 7 | 5.8 |
| 30 | 40 | 60 | 3 | 14 | 94.3 |
| (B) (ANOVA with Cubic Model (Aliased)) | |||||
| Source | Sum of Squares | df | Mean Square | F-Value | p-Value |
| Model | 15450.29 | 23 | 671.75 | 2555.81 | <0.0001 |
| A-honey | 14.87 | 1 | 14.87 | 56.56 | 0.0003 |
| B-PDDA | 18.50 | 1 | 18.50 | 70.40 | 0.0002 |
| C-GA | 0.3446 | 1 | 0.3446 | 1.31 | 0.2958 |
| D-Day | 1388.99 | 1 | 1388.99 | 5284.67 | <0.0001 |
| AB | 265.60 | 1 | 265.60 | 1010.51 | <0.0001 |
| AC | 292.99 | 1 | 292.99 | 1114.75 | <0.0001 |
| AD | 82.14 | 1 | 82.14 | 312.53 | <0.0001 |
| BC | 138.97 | 1 | 138.97 | 528.76 | <0.0001 |
| BD | 205.19 | 1 | 205.19 | 780.70 | <0.0001 |
| CD | 215.62 | 1 | 215.62 | 820.38 | <0.0001 |
| A2 | 842.77 | 1 | 842.77 | 3206.47 | <0.0001 |
| B2 | 278.40 | 1 | 278.40 | 1059.24 | <0.0001 |
| C2 | 1733.32 | 1 | 1733.32 | 6594.75 | <0.0001 |
| D2 | 3534.93 | 1 | 3534.93 | 13449.31 | <0.0001 |
| ABC | 262.71 | 1 | 262.71 | 999.54 | <0.0001 |
| ABD | 82.43 | 1 | 82.43 | 313.64 | <0.0001 |
| ACD | 106.69 | 1 | 106.69 | 405.94 | <0.0001 |
| BCD | 342.15 | 1 | 342.15 | 1301.77 | <0.0001 |
| A2B | 40.44 | 1 | 40.44 | 153.88 | <0.0001 |
| A2C | 2.84 | 1 | 2.84 | 10.80 | 0.0167 |
| A2D | 0.0000 | 0 | - | - | - |
| AB2 | 0.0000 | 0 | - | - | - |
| AC2 | 209.43 | 1 | 209.43 | 796.80 | <0.0001 |
| AD2 | 7.02 | 1 | 7.02 | 26.72 | 0.0021 |
| B2C | 0.0000 | 0 | - | - | - |
| B2D | 0.0000 | 0 | - | - | - |
| BC2 | 0.0000 | 0 | - | - | - |
| BD2 | 0.0000 | 0 | - | - | - |
| C2D | 0.0000 | 0 | - | - | - |
| CD2 | 0.0000 | 0 | - | - | - |
| A3 | 0.0000 | 0 | - | - | - |
| B3 | 0.0000 | 0 | - | - | - |
| C3 | 0.0000 | 0 | - | - | - |
| D3 | 1255.82 | 1 | 1255.82 | 4778.02 | <0.0001 |
| Pure Error | 1.58 | 6 | 0.2628 | - | - |
| Cor Total | 15,451.87 | 29 | - | - | - |
| (C) | |||||
| Honey (%) | PDDA (%) | Duration of GA Treatment (h) | DAY | Wound-Healing (%) | Desirability |
| 51.5 | 48.5 | 2.571 | 12 | 100 | 1.000 |
| 41 | 59 | 3.5 | 12 | 98 | 1.000 |
| 60 | 40 | 2 | 14 | 100 | 1.000 |
Disclaimer/Publisher’s Note: The statements, opinions and data contained in all publications are solely those of the individual author(s) and contributor(s) and not of MDPI and/or the editor(s). MDPI and/or the editor(s) disclaim responsibility for any injury to people or property resulting from any ideas, methods, instructions or products referred to in the content. |
© 2023 by the authors. Licensee MDPI, Basel, Switzerland. This article is an open access article distributed under the terms and conditions of the Creative Commons Attribution (CC BY) license (https://creativecommons.org/licenses/by/4.0/).
Share and Cite
Parvinzadeh Gashti, M.; Dehdast, S.A.; Berenjian, A.; Shabani, M.; Zarinabadi, E.; Chiari Fard, G. PDDA/Honey Antibacterial Nanofiber Composites for Diabetic Wound-Healing: Preparation, Characterization, and In Vivo Studies. Gels 2023, 9, 173. https://doi.org/10.3390/gels9030173
Parvinzadeh Gashti M, Dehdast SA, Berenjian A, Shabani M, Zarinabadi E, Chiari Fard G. PDDA/Honey Antibacterial Nanofiber Composites for Diabetic Wound-Healing: Preparation, Characterization, and In Vivo Studies. Gels. 2023; 9(3):173. https://doi.org/10.3390/gels9030173
Chicago/Turabian StyleParvinzadeh Gashti, Mazeyar, Seyed Ahmad Dehdast, Ali Berenjian, Mohammad Shabani, Ehsan Zarinabadi, and Ghazaleh Chiari Fard. 2023. "PDDA/Honey Antibacterial Nanofiber Composites for Diabetic Wound-Healing: Preparation, Characterization, and In Vivo Studies" Gels 9, no. 3: 173. https://doi.org/10.3390/gels9030173
APA StyleParvinzadeh Gashti, M., Dehdast, S. A., Berenjian, A., Shabani, M., Zarinabadi, E., & Chiari Fard, G. (2023). PDDA/Honey Antibacterial Nanofiber Composites for Diabetic Wound-Healing: Preparation, Characterization, and In Vivo Studies. Gels, 9(3), 173. https://doi.org/10.3390/gels9030173

