Rapid Synthesis of Robust Antibacterial and Biodegradable Hydrogels via Frontal Polymerization
Abstract
:1. Introduction
2. Results and Discussion
2.1. Fabrication of Poly(AA-co-CS-AGE) Hydrogels by FP
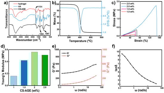
2.2. Thermal Property and Mechanical Property of the Poly(AA-co-CS-AGE) Hydrogel
2.3. Swelling Property and Microstructure of the Poly(AA-co-CS-AGE) Hydrogel
2.4. Degradability of the Poly(AA-co-CS-AGE) Hydrogel
2.5. Biocompatibility and Antibacterial Property of the Poly(AA-co-CS-AGE) Hydrogel
3. Conclusions
4. Materials and Methods
4.1. Materials
4.2. Preparation of CS-AGE
4.3. Preparation of Poly(AA-co-CS-AGE) Hydrogels via FP
4.4. Frontal Velocity and Temperature Measurement
4.5. Characterization
Author Contributions
Funding
Institutional Review Board Statement
Informed Consent Statement
Data Availability Statement
Conflicts of Interest
References
- Wang, W.; Dai, J.; Huang, Y.; Li, X.; Yang, J.; Zheng, Y.; Shi, X. Extracellular matrix mimicking dynamic interpenetrating network hydrogel for skin tissue engineering. Chem. Eng. J. 2023, 457, 141362. [Google Scholar] [CrossRef]
- Urciuolo, F.; Garziano, A.; Imparato, G.; Panzetta, V.; Fusco, S.; Casale, C.; Netti, P. Biophysical properties of dermal building-blocks affect extra cellular matrix assembly in 3D endogenous macrotissue. Biofabrication 2016, 8, 015010. [Google Scholar] [CrossRef]
- Zhang, K.; Feng, Q.; Fang, Z.; Gu, L.; Bian, L. Structurally Dynamic Hydrogels for Biomedical Applications: Pursuing a Fine Balance between Macroscopic Stability and Microscopic Dynamics. Chem. Rev. 2021, 121, 11149–11193. [Google Scholar] [CrossRef]
- Yi, H.; Wu, L.-Q.; Bentley, W.E.; Ghodssi, R.; Rubloff, G.W.; Culver, J.N.; Payne, G.F. Biofabrication with Chitosan. Biomacromolecules 2005, 6, 2881–2894. [Google Scholar] [CrossRef]
- Ou, Y.; Tian, M. Advances in multifunctional chitosan-based self-healing hydrogels for biomedical applications. J. Mater. Chem. B 2021, 9, 7955–7971. [Google Scholar] [CrossRef]
- Liu, X.F.; Guan, Y.L.; Yang, D.Z.; Li, Z.; Yao, K.D. Antibacterial action of chitosan and carboxymethylated chitosan. J. Appl. Polym. Sci. 2001, 79, 1324–1335. [Google Scholar] [CrossRef]
- Naahidi, S.; Jafari, M.; Logan, M.; Wang, Y.; Yuan, Y.; Bae, H.; Dixon, B.; Chen, P. Biocompatibility of hydrogel-based scaffolds for tissue engineering applications. Biotechnol. Adv. 2017, 35, 530–544. [Google Scholar] [CrossRef]
- Jameela, S.R.; Jayakrishnan, A. Glutaraldehyde cross-linked chitosan microspheres as a long acting biodegradable drug delivery vehicle: Studies on the in vitro release of mitoxantrone and in vivo degradation of microspheres in rat muscle. Biomaterials 1995, 16, 769–775. [Google Scholar] [CrossRef]
- Yang, J.; Chen, J.; Pan, D.; Wan, Y.; Wang, Z. pH-sensitive interpenetrating network hydrogels based on chitosan derivatives and alginate for oral drug delivery. Carbohydr. Polym. 2013, 92, 719–725. [Google Scholar] [CrossRef]
- Ding, F.; Zou, Y.; Wu, S.; Zou, X. Self-healing and tough hydrogels with conductive properties prepared through an interpenetrating polymer network strategy. Polymer 2020, 206, 122907. [Google Scholar] [CrossRef]
- Cao, Z.; Wang, Y.; Wang, H.; Ma, C.; Li, H.; Zheng, J.; Wu, J.; Huang, G. Tough, ultrastretchable and tear-resistant hydrogels enabled by linear macro-cross-linker. Polym. Chem. 2019, 10, 3503–3513. [Google Scholar] [CrossRef]
- Li, Q.; Shen, H.-X.; Liu, C.; Wang, C.-F.; Zhu, L.; Chen, S. Advances in frontal polymerization strategy: From fundamentals to applications. Prog. Polym. Sci. 2022, 127, 101514. [Google Scholar] [CrossRef]
- Robertson, I.D.; Yourdkhani, M.; Centellas, P.J.; Aw, J.E.; Ivanoff, D.G.; Goli, E.; Lloyd, E.M.; Dean, L.M.; Sottos, N.R.; Geubelle, P.H.; et al. Rapid energy-efficient manufacturing of polymers and composites via frontal polymerization. Nature 2018, 557, 223–227. [Google Scholar] [CrossRef]
- Zhou, J.; Shao, H.; Tu, J.; Fang, Y.; Guo, X.; Wang, C.-F.; Chen, L.; Chen, S. Available Plasma-Ignited Frontal Polymerization Approach toward Facile Fabrication of Functional Polymer Hydrogels. Chem. Mater. 2010, 22, 5653–5659. [Google Scholar] [CrossRef]
- Pojman, J.A. A New Approach to Manufacturing with Frontal Polymerization to Generate Patterned Materials. ACS Cent. Sci. 2021, 7, 534–535. [Google Scholar] [CrossRef]
- Shen, H.; Wang, H.-P.; Wang, C.-F.; Zhu, L.; Li, Q.; Chen, S. Rapid Fabrication of Patterned Gels via Microchannel-Conformal Frontal Polymerization. Macromol. Rapid Commun. 2021, 42, 2100421. [Google Scholar] [CrossRef]
- Ziaee, M.; Johnson, J.W.; Yourdkhani, M. 3D Printing of Short-Carbon-Fiber-Reinforced Thermoset Polymer Composites via Frontal Polymerization. ACS Appl. Mater. Interfaces 2022, 14, 16694–16702. [Google Scholar] [CrossRef]
- Alzari, V.; Monticelli, O.; Nuvoli, D.; Kenny, J.M.; Mariani, A. Stimuli Responsive Hydrogels Prepared by Frontal Polymerization. Biomacromolecules 2009, 10, 2672–2677. [Google Scholar] [CrossRef]
- Suslick, B.A.; Hemmer, J.; Groce, B.R.; Stawiasz, K.J.; Geubelle, P.H.; Malucelli, G.; Mariani, A.; Moore, J.S.; Pojman, J.A.; Sottos, N.R. Frontal Polymerizations: From Chemical Perspectives to Macroscopic Properties and Applications. Chem. Rev. 2023, 123, 3237–3298. [Google Scholar] [CrossRef]
- Fujita, M.; Izato, Y.-I.; Iizuka, Y.; Miyake, A. Thermal hazard evaluation of runaway polymerization of acrylic acid. Process Saf. Environ. Prot. 2019, 129, 339–347. [Google Scholar] [CrossRef]
- Flores-Ramírez, N.; Elizalde-Peña, E.A.; Vásquez-García, S.R.; González-Hernández, J.; Martinez-Ruvalcaba, A.; Sanchez, I.C.; Luna-Bárcenas, G.; Gupta, R.B. Characterization and degradation of functionalized chitosan with glycidyl methacrylate. J. Biomater. Sci. Polym. Ed. 2005, 16, 473–488. [Google Scholar] [CrossRef]
- McGaugh, M.C.; Kottle, S. The thermal degradation of poly(acrylic acid). J. Polym. Sci. Part B Polym. Lett. 1967, 436, 817–820. [Google Scholar] [CrossRef]
- Agache, P.G.; Monneur, C.; Leveque, J.L.; De Rigal, J. Mechanical properties and Young’s modulus of human skin in vivo. Arch. Dermatol. Res. 1980, 269, 221–232. [Google Scholar] [CrossRef]
- Gao, H.; Zhang, B.; Yang, F.; Jiang, J.; Hu, G. Viscoelastic analysis of nano-barium ferrite reinforced casting polyurethane. Polym. Compos. 2022, 43, 9054–9066. [Google Scholar] [CrossRef]
- Xiaoxue, Y.; Hongyuan, C.; Ziang, W.; Wentao, W.; Hui, G.; Xiaolin, W. Influence of crosslink on the formation of hydrophobic hydrogels. Polym. Test. 2023, 124, 108103. [Google Scholar] [CrossRef]
- Freyman, T.M.; Yannas, I.V.; Gibson, L.J. Cellular materials as porous scaffolds for tissue engineering. Prog. Mater. Sci. 2001, 46, 273–282. [Google Scholar] [CrossRef]
- Yannas, I.V.; Lee, E.; Orgill, D.P.; Skrabut, E.M.; Murphy, G.F. Synthesis and characterization of a model extracellular matrix that induces partial regeneration of adult mammalian skin. Proc. Natl. Acad. Sci. USA 1989, 86, 933–937. [Google Scholar] [CrossRef]
- Kim, S.; Cui, Z.-K.; Koo, B.; Zheng, J.; Aghaloo, T.; Lee, M. Chitosan–Lysozyme Conjugates for Enzyme-Triggered Hydrogel Degradation in Tissue Engineering Applications. ACS Appl. Mater. Interfaces 2018, 10, 41138–41145. [Google Scholar] [CrossRef]
- Nair, A.S.R.; Devi, S.; Mandal, S.; Tripathi, U.K.; Roy, D.; Prasad, N.E. Insights into enzymatic degradation of physically crosslinked hydrogels anchored by functionalized carbon nanofillers. New J. Chem. 2021, 46, 2669–2677. [Google Scholar] [CrossRef]
- Yin, M.; Wan, S.; Ren, X.; Chu, C.-C. Development of Inherently Antibacterial, Biodegradable, and Biologically Active Chitosan/Pseudo-Protein Hybrid Hydrogels as Biofunctional Wound Dressings. ACS Appl. Mater. Interfaces 2021, 13, 14688–14699. [Google Scholar] [CrossRef]
- Kim, D.-H.; Lee, S.-H.; Kim, K.-N.; Kim, K.-M.; Shim, I.-B.; Lee, Y.-K. Cytotoxicity of ferrite particles by MTT and agar diffusion methods for hyperthermic application. J. Magn. Magn. Mater. 2005, 293, 287–292. [Google Scholar] [CrossRef]
- Stevenson, K.; McVey, A.F.; Clark, I.B.N.; Swain, P.S.; Pillzota, T. General calibration of microbialgrowth in microplate readers. Sci. Rep. 2016, 6, 38828. [Google Scholar] [CrossRef]
- No, H.K.; Park, N.Y.; Lee, S.H.; Meyers, S.P. Antibacterial activity of chitosans and chitosan oligomers with different molecular weights. Int. J. Food Microbiol. 2002, 74, 65–72. [Google Scholar] [CrossRef]
- Chandrasekaran, M.; Kim, K.D.; Chun, S.C. Antibacterial Activity of Chitosan Nanoparticles: A Review. Processes 2020, 8, 1173. [Google Scholar] [CrossRef]
- Zheng, G.; Liu, X.; Hu, M.; Zhao, D.; Yu, W. Two types of polyelectrolyte multilayers hydrogel membrane based on chitosan and alginate with different self-assembled process for control L929 cell behavior. Int. J. Biol. Macromol. 2019, 140, 1134–1146. [Google Scholar] [CrossRef]
- Hankiewicz, J.; Swierczek, E. Lysozyme in human body fluids. Clin. Chim. Acta 1974, 57, 205–209. [Google Scholar] [CrossRef]






Disclaimer/Publisher’s Note: The statements, opinions and data contained in all publications are solely those of the individual author(s) and contributor(s) and not of MDPI and/or the editor(s). MDPI and/or the editor(s) disclaim responsibility for any injury to people or property resulting from any ideas, methods, instructions or products referred to in the content. |
© 2023 by the authors. Licensee MDPI, Basel, Switzerland. This article is an open access article distributed under the terms and conditions of the Creative Commons Attribution (CC BY) license (https://creativecommons.org/licenses/by/4.0/).
Share and Cite
Wang, J.; Li, H.; Shen, H.-X.; Zhao, W.; Li, Q.; Wang, C.-F.; Chen, S. Rapid Synthesis of Robust Antibacterial and Biodegradable Hydrogels via Frontal Polymerization. Gels 2023, 9, 920. https://doi.org/10.3390/gels9120920
Wang J, Li H, Shen H-X, Zhao W, Li Q, Wang C-F, Chen S. Rapid Synthesis of Robust Antibacterial and Biodegradable Hydrogels via Frontal Polymerization. Gels. 2023; 9(12):920. https://doi.org/10.3390/gels9120920
Chicago/Turabian StyleWang, Jinze, Hao Li, Hai-Xia Shen, Wei Zhao, Qing Li, Cai-Feng Wang, and Su Chen. 2023. "Rapid Synthesis of Robust Antibacterial and Biodegradable Hydrogels via Frontal Polymerization" Gels 9, no. 12: 920. https://doi.org/10.3390/gels9120920
APA StyleWang, J., Li, H., Shen, H.-X., Zhao, W., Li, Q., Wang, C.-F., & Chen, S. (2023). Rapid Synthesis of Robust Antibacterial and Biodegradable Hydrogels via Frontal Polymerization. Gels, 9(12), 920. https://doi.org/10.3390/gels9120920

