Hydrogel and Effects of Crosslinking Agent on Cellulose-Based Hydrogels: A Review
Abstract
:1. Introduction
2. Materials and Methods
3. Types of Hydrogels
3.1. Synthetic Polymer-Based Hydrogels
3.2. Natural Polymer-Based Hydrogels
3.2.1. Plant Polysaccharide-Based Hydrogels
3.2.2. Animal Polysaccharide-Based Hydrogels
- In line with previous research, Huang et al. [35] synthesized regenerated chitin nanofiber hybrid (RCNs)-poly (ethylene glycol diglycidyl ether) (PEGDE) as the first network and PAAm as the second network (RCNs-PEGDE/PAAm) hydrogel with NMBA as crosslinking agent. Chitin is a biopolymer that is used for biomedical materials, yet their weak mechanical properties limit their potential. Unlike native chitin nanofibers, the RCNs-based hydrogels can hold a large amount of water. However, they are weak and brittle. Double-network (DN) strategies, such as PAAm, can efficiently overcome mechanical weaknesses. A DN hydrogel consists of two interpenetrated networks with contrasting structures: the first network is rigid and brittle, and the second network is soft and stretchable. Moreover, the swelling capacity of DN is greater than that of SN hydrogel.
3.2.3. Bacteria Polysaccharide-Based Hydrogels
4. Cellulose-Based Hydrogels
4.1. Cellulose
4.2. Synthesis of Cellulose-Based Hydrogels
5. Types of Crosslinking Agents in the Synthesis of Cellulose-Based Hydrogels
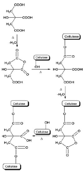
5.1. Synthetic Crosslinking Agent for Cellulose-Based Hydrogels
5.2. Natural Crosslinking Agent for Cellulose-Based Hydrogels
6. Conclusions
Author Contributions
Funding
Institutional Review Board Statement
Informed Consent Statement
Data Availability Statement
Acknowledgments
Conflicts of Interest
References
- Barbucci, R.; Giardino, R.; Cagna, M.D.; Golini, L.; Daniela, P. Inter-penetrating hydrogels (IPHs) as a new class of injectable polysaccharide hydrogels with thixotropic nature and interesting mechanical and biological properties. Soft Matter 2010, 6, 3524–3532. [Google Scholar] [CrossRef]
- Phoothong, F.; Boonmahitthisud, A.; Tanpichai, S. Using borax as a cross-linking agent in cellulose-based hydrogels. In IOP Conference Series: Materials Science and Engineering, Proceedings of the 2nd International Conference on Composite Materials Science and Technology (ICCMST 2019), Tokyo, Japan, 24–27 May 2019; IOP Publishing Ltd.: Bristol, UK, 2019; Volume 600, p. 12013. [Google Scholar]
- Chen, P.; Liu, X.; Jin, R.; Nie, W.; Zhou, Y. Dye adsorption and photo-induced recycling of hydroxypropyl cellulose/molybdenum disulfide composite hydrogels. Carbohydr. Polym. 2017, 167, 36–43. [Google Scholar] [CrossRef] [PubMed]
- Zainal, S.H.; Mohd, N.H.; Suhaili, N.; Anuar, F.H.; Lazim, A.M.; Azwan, M.L.; Othaman, R. Preparation of cellulose-based hydrogel: A review. J. Mater. Res. Technol. 2020, 10, 935–952. [Google Scholar] [CrossRef]
- Maitra, J.; Shukla, V.S. Cross-linking in hydrogels—A review. Am. J. Polym. Sci. 2014, 4, 25–31. [Google Scholar]
- Winarti, C.; Kurniati, M.; Arif, A.B.; Sasmitaloka, K.S.; Nurfadila. Cellulose-based nanohydrogel from corncob with chemical crosslinking methods. In IOP Conference Series: Earth and Environmental Science, Proceedings of the 11th IAPR International Conference on Biometrics (ICB 2019), Quensland, Australia, 20–23 February 2018; IOP Publishing Ltd.: Bristol, UK, 2019; Volume 209, p. 12043. [Google Scholar]
- Distantina, S.; Rochmadi, S.; Fahrurrozi, M.; Wiratni, M. Preparation of hydrogel based on glutaraldehyde-crosslinked carrageenan. In 2012 3rd International Conference on Chemistry and Chemical Engineering, Proceedings of the International Proceedings of Chemical, Biological and Enviromental Engineering (IPCBEE 2012), Jeju Island, Korea, 29–30 June 2012; IACSIT Press: Jurong West, Singapore; Volume 38.
- Dalton, P.D.; Hostert, C.; Albrecht, K.; Moeller, M.; Groll, J. Structure and properties of urea-crosslinked star poly[(ethyleneoxide)-ran-(propyleneoxide)] hydrogels. Macromol. Biosci. 2008, 8, 923–931. [Google Scholar] [CrossRef]
- Demitri, C.; Sole, R.D.; Scalera, F.; Sannino, A.; Vasapollo, G.; Maffezzoli, A.; Ambrosio, L.; Nicolas, L. Novel superabsorbent cellulose-based hydrogels crosslinked with citric acid. J. Appl. Polym. Sci. 2008, 110, 2453–2460. [Google Scholar] [CrossRef]
- Valtech Diagnostic Inc. Formaldehyde, 37% w/w Safety Data Sheet; Valtech Diagnostic Inc.: Pennyslvania, PA, USA, 2013; Volume 77. [Google Scholar]
- Sannino, A.; Demitri, C.; Madaghiele, M. Biodegradable cellulose-based hydrogels: Design and applications. Materials 2009, 2, 353–373. [Google Scholar] [CrossRef]
- Sayed, A.A.E.; Mahmoud, M.S.A.; Helal, A.A. Synthesis of chitosan hydrogel polymer for removal of radioactive organic research waste prior to treatment. Int. J. Environ. Anal. Chem. 2020, 100, 1–15. [Google Scholar] [CrossRef]
- Zhou, Y.; Fu, S.; Liu, H.; Yang, S.; Zhan, H. Removal of methylene blue dyes from wastewater using cellulose-based superadsorbent hydrogels. Polym. Eng. Sci. 2011, 51, 2417–2424. [Google Scholar] [CrossRef]
- Florit, M.G.; Pardo, A.; Domingues, R.M.A.; Graca, A.L.; Babo, P.S.; Reis, R.L.; Gomes, M.E. Natural-based hydrogels for tissue engineering applications. Molecules 2020, 25, 5858. [Google Scholar] [CrossRef]
- Alven, S.; Aderibigbe, B.A. Chitosan and cellulose-based hydrogels for wound management. Int. J. Mol. Sci. 2020, 21, 9656. [Google Scholar] [CrossRef]
- Montesano, F.F.; Parente, A.; Santamaria, P.; Sannino, A.; Serio, F. Biodegradable superabsorbent hydrogel increaseswater retention properties of growing media and plant growth. Agric. Agric. Sci. Procedia 2015, 4, 451–458. [Google Scholar] [CrossRef]
- Zhao, W.; Jin, X.; Cong, Y.; Liu, Y.; Fu, J. Degradable natural polymer hydrogels for articular cartilage tissue engineering. J. Chem. Technol. Biotechnol. 2013, 88, 327–339. [Google Scholar] [CrossRef]
- Shang, J.; Shao, Z.; Chen, X. Chitosan-based electroactive hydrogel. Polymer 2008, 49, 5520–5522. [Google Scholar] [CrossRef]
- Khansari, M.M.; Sorokina, L.V.; Mukherjee, P.; Mukhtar, F.; Shirdar, M.R.; Shahidi, M.; Shokuhfar, T. Classification of hydrogels based on their source: A review and application in stem cell regulation. J. Miner. Met. Mater. Soc. 2017, 69, 1340–1347. [Google Scholar] [CrossRef]
- Maijan, P.; Junlapong, K.; Arayaphan, J.; Khaokong, C.; Chantarak, S. Synthesis and characterization of highly elastic superabsorbent natural rubber/polyacrylamide hydrogel. Polym. Degrad. Stab. 2021, 186, 109499. [Google Scholar] [CrossRef]
- Garcia, R.O.M.; Hernandez, M.E.; Ortiz, G.G.; Fernandez, V.A.; Arellano, M.R.; Diaz, J.C.S. A novel polyacrylamide-based hydrogel crosslinked with cellulose acetate and prepared by precipitation polymerization. Quim. Nova 2015, 38, 1031–1036. [Google Scholar]
- Muhamad, I.I.; Asgharzadehahmadi, A.; Zaidel, D.N.A.; Supriyanto, E. Characterization and evaluation of antibacterial properties of polyacrylamide-based hydrogel containing magnesium oxide nanoparticles. Int. J. Biol. Biomed. Eng. 2013, 7, 108–113. [Google Scholar]
- Wu, L.; Huang, S.; Zheng, J.; Qiu, Z.; Lin, X.; Qin, Y. Synthesis and characterization of biomass lignin-based PVA super-absorbent hydrogel. Int. J. Biol. Macromol. 2019, 140, 538–545. [Google Scholar] [CrossRef] [PubMed]
- Mazzuca, C.; Severini, L.; Domenici, F.; Toumia, Y.; Mazzota, F.; Micheli, L.; Titubante, M.; Napoli, B.D.; Paradossi, G.; Palleschi, A. Polyvinyl alcohol-based hydrogels as new tunable materials for application in the cultural heritage field. Colloids Surf. B Biointerfaces 2020, 188, 110777. [Google Scholar] [CrossRef] [PubMed]
- Djumaev, A.; Tashmukhamedova, S. Physical and chemical properties of PVA-CMC based hydrogel carrier loaded with herbal hemostatic agent for application as wound dressings. Natl. J. Physiol. Pharm. Pharmacol. 2020, 10, 905–909. [Google Scholar]
- Mishara, R.K.; Datt, M.; Banthia, A.K. Synthesis and characterization of pectin/PVP hydrogel membranes for drug delivery system. AAPS PharmSciTech 2008, 9, 395–396. [Google Scholar] [CrossRef] [PubMed]
- Navarra, M.A.; Bosco, C.D.; Moreno, J.S.; Vitucci, F.M.; Paolone, A.; Panero, S. Synthesis and characterization of cellulose-based hydrogels to be used as gel electrolytes. Membranes 2015, 5, 810–823. [Google Scholar] [CrossRef]
- Golor, M.M.; Rosma, D.; Shella, P.S.; Soetaredjo, F.E.; Yuliana, M.; Ismadji, S.; Ayucitra, A. Citric acid-crosslinked cellulosic hydrogel from sugarcane bagasse: Preparation, characterization, and adsorption study. J. Indones. Chem. Soc. 2020, 3, 59–67. [Google Scholar] [CrossRef]
- Enawgaw, H.; Tesfaye, T.; Yilma, K.T.; Limeneh, D.Y. Synthesis of a cellulose-co-amps hydrogel for personal hygiene applications using cellulose extracted from corncobs. Gels 2021, 7, 236. [Google Scholar] [CrossRef] [PubMed]
- Kadry, G.; Aboelmagd, E.I.; Ibrahim, M.M. Cellulosic-based hydrogel from biomass material for removal of metals from waste water. J. Macromol. Sci. Part A Pure Appl. Chem. 2019, 56, 968–981. [Google Scholar] [CrossRef]
- Muharam, S.; Yuningsih, L.M.; Sumitra, M.R. Characterization of superabsorbent hydrogel based on crosslink and carboxymethyl functionalization of cassava starch. In AIP Conference Proceedings, Proceedings of the International Symposium on Current Progress in Mathematics and Sciences (ISCPMS 2016), Depok, Indonesia, 1–2 November 2016; AIP Publishing Ltd.: New York, USA, 2017; Volume 1862, p. 30083. [Google Scholar]
- Nikolic, L.; Stojanovic, T.; Nikolic, V.; Urosevic, M.; Stojanovic, S.I.; Tacic, A.; Gajic, I.; Savic, V.; Zdravkovic, A. Synthesis and characterisation of hydrogels based on starch and citric acid. Adv. Technol. 2020, 9, 50–57. [Google Scholar] [CrossRef]
- Halim, E.S.A.; Deyab, S.S.A. Preparation of poly (acrylic acid)/starch hydrogel and its application for cadmium ion removal from aqueous solutions. React. Funct. Polym. 2014, 75, 1–8. [Google Scholar] [CrossRef]
- Liao, J.; Dai, H.; Huang, H. Construction of hydrogels based on the homogeneous carboxymethylated chitin from Hericium erinaceus residue: Role of carboxymethylation degree. Carbohydr. Polym. 2021, 262, 117953. [Google Scholar] [CrossRef] [PubMed]
- Huang, J.; Frauenlob, M.; Shibata, Y.; Wang, L.; Nakajima, T.; Nonoyama, T.; Tsuda, M.; Tanaka, S.; Kurokawa, T.; Gong, J.P. Chitin-based double-network hydrogel as potential superficial soft tissue repairing materials. Biomacromolecules 2020, 21, 4220–4230. [Google Scholar] [CrossRef]
- He, M.; Wang, Z.; Cao, Y.; Zhao, Y.; Duan, B.; Chen, Y.; Xu, M.; Zhang, L. Construction of chitin/PVA composite hydrogels with jellyfish gel-like structure and their biocompability. Biomacromolecules 2014, 15, 3358–3365. [Google Scholar] [CrossRef]
- Hussain, I.; Sayed, M.S.; Fu, G. Facile and cost-effective synthesis of glycogen-based conductive hydrogels with extremely flexible, excellent self-healing and tunable mechanical properties. Int. J. Biol. Macromol. 2018, 118, 1463–1469. [Google Scholar] [CrossRef]
- Hussain, I.; Ma, X.; Luo, Y.; Luo, Z. Fabrication and characterization of glycogen-based elastic, self-healable, and conductive hydrogels as a wearable strain-sensor for flexible e-skin. Polymer 2020, 210, 122961. [Google Scholar] [CrossRef]
- Patra, P.; Rameshbabu, A.P.; Das, D.; Dhara, S.; Panda, A.B.; Pai, S. Stimuli-responsive, biocompatible hydrogel derived from glycogen and poly(N-isopropylacrylamide) for colon targeted delivery of ornidazole and 5-amino salicylic acid. Polim. Chem. 2016, 7, 5426–5435. [Google Scholar] [CrossRef]
- Siripongpreda, T.; Somchob, B.; Rodthongkum, N.; Hoven, V.P. Bacterial cellulose-based re-swellable hydrogel: Facile preparation and its potential application as colorimetric sensor of sweat pH and glucose. Carbohydr. Polym. 2021, 256, 117506. [Google Scholar] [CrossRef] [PubMed]
- Treesuppharat, W.; Rojanapanthu, P.; Siangsanoh, C.; Manuspiya, H.; Ummartyotin, S. Synthesis and characterization of bacterial cellulose and gelatin-based hydrogel composites for drug-delivery system. Biotechnol. Rep. 2017, 15, 84–91. [Google Scholar] [CrossRef] [PubMed]
- Khattak, S.; Qin, X.T.; Huang, L.H.; Xie, Y.Y.; Jia, S.R.; Zhong, R. Preparation and characterization of antibacterial bacterial celllose/chitosan hydrogel impregnated with silver sulfadiazine. Int. J. Biol. Macromol. 2021, 189, 483–493. [Google Scholar] [CrossRef]
- Bogati, D.R. Cellulose Based Biochemicals and Their Applications. Bachelor’s Thesis, Saimaa University of Applied Sciences, Lappeenranta, Finland, 2011. [Google Scholar]
- John, M.J.; Thomas, S. Biofibres and Biocomposites. Carbohydr. Polym. 2008, 71, 343–364. [Google Scholar] [CrossRef]
- Brady, J.; Dürig, T.; Lee, P.I.; Li, J.-X. Polymer Properties and Characterization. In Developing Solid Oral Dosage Forms: Pharmaceutical Theory and Practice; Qiu, Y., Chen, Y., Zhang, G.G., Yu, L., Mantri, R.V., Eds.; Elsevier: Amsterdam, The Netherlands, 2017; pp. 181–223. [Google Scholar]
- Granstrom, M. Cellulose Derivatives: Synthesis, Properties and Applications. Academic Dissertation, University of Helsinki, Helsinki, Finland, 2009. [Google Scholar]
- Mali, K.K.; Dhawale, S.C.; Dias, R.J.; Dhane, N.S.; Ghorpade, V.S. Citric acid crosslinked carboxymethyl cellulose-based composite hydrogel films for drug delivery. Indian J. Pharm. Sci. 2018, 80, 657–667. [Google Scholar] [CrossRef]
- Bonetti, L.; Nardo, L.D.; Fare, S. Chemically crosslinked methylcellulose substrates for cell sheet engineering. Gels 2021, 7, 141. [Google Scholar] [CrossRef]
- Fawal, G.F.E.; Serie, M.M.A.; Hassan, M.A.; Elnouby, M.S. Hydroxyethyl cellulose hydrogel for wound dressing: Fabrication, characterization and in vitro evaluation. Int. J. Biol. Macromol. 2018, 111, 649–659. [Google Scholar] [CrossRef] [PubMed]
- Seyedlar, R.M.; Nodehi, A.; Atai, M.; Imani, M. Gelation behavior of in situ forming gels based on HPMC and biphasic calcium phosphate nanoparticles. Carbohydr. Polym. 2014, 99, 257–263. [Google Scholar] [CrossRef]
- Alam, M.N.; Islam, M.N.; Christopher, L.P. Sustainable production of cellulose-based hydrogels with superb absorbing potential in physiological saline. ACS Omega 2019, 4, 9419–9426. [Google Scholar] [CrossRef]
- Rowe, R.C.; Sheskey, P.J.; Quinn, M.E. Handbook of Pharmaceutical Excipients, 6th ed.; Pharmaceutical Press: London, UK, 2009; pp. 118–121, 311–314, 317–322, 439–441. [Google Scholar]
- Vlaia, L.; Coneac, G.; Olariu, I.; Vlaia, V.; Lupuleasa, D. Cellulose-derivatives-based hydrogels as vehicles for dermal and transdermal drug delivery. IntechOpen 2016, 159–200. [Google Scholar] [CrossRef] [Green Version]
- Quiroz, M.J.T.; Diaz, J.J.F.; Pinotti, A. Characterization of methylcellulose-based hydrogel by using citric acid as a crosslinking agent. Int. J. Appl. Eng. Res. 2018, 13, 13302–13307. [Google Scholar]
- Gorgieva, S.; Kokol, V. Synthesis and application of new temperature-responsive hydrogels based on carboxymethyl and hydroxyethyl cellulose derivatives for the functional finishing of cotton knitwear. Carbohydr. Polym. 2011, 85, 664–673. [Google Scholar] [CrossRef]
- Kong, B.J.; Kim, A.; Park, S.N. Properties and in vitro drug release of hyaluronic acid-hydroxyethyl cellulose hydrogels for transdermal delivery of isoliquiritigenin. Carbohydr. Polym. 2016, 147, 473–481. [Google Scholar] [CrossRef]
- Sun, N.; Wang, T.; Yan, X. Self-assembled supermolecular hydrogel based on hydroxyethyl cellulose: Formation, in vitro release and bacteriostasis application. Carbohydr. Polym. 2017, 172, 49–59. [Google Scholar] [CrossRef]
- Wang, W.; Wang, J.; Kang, Y.; Wang, A. Synthesis, swelling and responsive properties of new composite hydrogel based on hydroxyethyl cellulose and medical stone. Compos. Part B 2011, 42, 802–818. [Google Scholar] [CrossRef]
- Ghorpade, V.S.; Yadav, A.V.; Dias, R.J. Citric acid crosslinked cyclodextrin/hydroxypropyl methylcellulose hydrogel films for hydrophobic drug delivery. Int. J. Biol. Macromol. 2016, 93, 75–86. [Google Scholar] [CrossRef]
- Zhao, D.; Shi, X.; Liu, T.; Lu, X.; Qiu, G.; Kenneth, S. Synthesis of surfactant-free hydroxypropyl methylcellulose nanogels for controlled release of insulin. Carbohydr. Polym. 2016, 151, 1006–1011. [Google Scholar] [CrossRef] [PubMed]
- Bashir, S.; Zafar, N.; Lebaz, N.; Mahmood, A.; Elaissari, A. Hydroxypropyl methylcellulose-based hydrogel copolymeric for controlled delivery of galantamine hydrobromide in dementia. Processes 2020, 8, 1350. [Google Scholar] [CrossRef]
- Hapgood, K.P.; Obara, S. Ashland Aqualon Functional Ingredients. In Technical Literature: Klucel Hydroxypropylcellulose Physical and Chemical Properties; Aqualon Co.: Pennsylvania, PA, USA, 2012. [Google Scholar]
- Ofner, C.M.; Klech-Gelotte, C.M. Gels and Jellies Encyclopedia of Pharmaceutical Technology, 3rd ed.; Informa Healthcare Inc.: New York, NY, USA, 2007; pp. 1875–1890. [Google Scholar]
- Ogawa, A.; Nakayama, S.; Uehara, M.; Mori, Y.; Takahashi, M.; Aiba, T.; Kurosaki, Y. Pharmaceutical properties of a low-substituted hydroxypropyl cellulose (l-hpc) hydrogel as a novel external dressing. Int. J. Pharm. 2014, 77, 546–552. [Google Scholar] [CrossRef]
- Yan, L.; Shuai, Q.; Gong, X.; Gu, Q.; Yu, H. Synthesis of microporous cationic hydrogel of hydroxypropyl cellulose (HPC) and its application on anionic dye removal. Clean 2009, 37, 392–398. [Google Scholar] [CrossRef]
- Astrini, N.; Anah, L.; Haryono, A. Crosslinking parameter on the preparation of cellulose-based hydrogel with divynilsulfone. Procedia Chem. 2012, 4, 275–281. [Google Scholar] [CrossRef] [Green Version]
- Haleem, N.; Arshad, M.; Shahid, M.; Tahir, M.A. Synthesis of carboxymethyl cellulose from waste of cotton ginning. Carbohydr. Polym. 2014, 113, 249–255. [Google Scholar] [CrossRef]
- Salama, A.; Shukry, N.; Sakhawy, E.M. Carboxymethyl cellulose-g-poly(2-(dimethylamino)ethyl methacrylate) hydrogel as adsorbent for dye removal. Int. J. Biol. Macromol. 2014, 73, 72–75. [Google Scholar] [CrossRef] [PubMed]
- Rasoulzadeh, M.; Namazi, H. Carboxymethyl cellulose/ graphene oxide bio-nanocomposite hydrogel beads as anticancer drug carrier agent. Carbohydr. Polym. 2017, 168, 320–326. [Google Scholar] [CrossRef]
- Rachtanapun, P.; Luangkamin, S.; Tanprasert, K.; Suriyatem, R. Carboxymethyl cellulose film from durian rind. Food Sci. Technol. 2012, 48, 52–58. [Google Scholar] [CrossRef]
- Phan, T.T.M.; Sen, T.S. Pectin and cellulose extraction from passion fruit peel waste. Phys. Sci. Chem. 2020, 62, 32–37. [Google Scholar]
- Macagnan, F.T.; Santos, L.R.D.; Roberto, B.S.; Moura, F.A.D.; Bizzani, M.; Silva, L.P.D. Biological properties of apple pomace, orange bagasse and passion fruit peel as alternative sources of dietary fibre. Bioact. Carbohydr. Diet. Fibre 2015, 6, 1–6. [Google Scholar] [CrossRef]
- Hiep, T.; Tuan, B.Q.; Phuong, L.V.; Son, N.H.; Ha, L.V.; Trach, N.X. Passion fruit (Passiflora edulis) peel as feed for ruminants in vietnam: Quantification, chemical composition and posibility to make silage. Livest. Res. Rural. Dev. 2020, 32, 1–9. [Google Scholar]
- Nascimento, T.A.; Calado, V.; Carvalho, C.W.P. Development and characterization of flexible film based on starch and passion fruit mesocarp flour with nanoparticles. Food Res. Int. 2012, 49, 588–595. [Google Scholar] [CrossRef]
- Ahmad, M.A.; Eusoff, M.A.M.; Khan, M.N.N.; Khasri, A. Microwave-assisted activated carbon from passion fruit peel for methylene blue dye removal. In AIP Conference Proceedings, 6th International Conference on Environment (ICENV 2018), Penang, Malaysia, 11–13 December 2018; AIP Publishing Ltd.: New York, NY, USA, 2019; Volume 2124, p. 30019. [Google Scholar]
- Wijaya, C.J.; Saputra, S.N.; Soetaredjo, F.E.; Putro, J.N.; Lin, C.X.; Kurniawan, A.; Ju, Y.H.; Ismadji, S. Cellulose nanocrystals from passion fruit peels waste as antibiotic drug carrier. Carbohydr. Polym. 2017, 175, 370–376. [Google Scholar] [CrossRef] [PubMed]
- Chang, C.; Duan, B.; Cai, J.; Zhang, L. Superabsorbent hydrogels based on cellulose for smart swelling and controllable delivery. Eur. Polym. J. 2010, 46, 92–100. [Google Scholar] [CrossRef]
- Franklin, D.S.; Guhanathan, S. Synthesis and characterization of citric acid-based ph-sensitive biopolymeric hydrogels. Polymer Bulletin 2014, 71, 93–110. [Google Scholar] [CrossRef]
- Zhang, Z.; Qiao, X. Influences of cation valence on water absorbency of crosslinked carboxymethyl cellulose. Int. J. Biol. Macromol. 2021, 177, 149–156. [Google Scholar] [CrossRef]
- Peptu, C.A.; Bacaita, E.S.; Savin, C.L.; Lutcanu, M.; Agop, M. Hydrogels based on alginates and carboxymethyl cellulose with modulated drug release-an experimental and theoretical study. Polymers 2021, 13, 4461. [Google Scholar] [CrossRef]
- Khabibi, K.; Siswanta, D.; Mudasir, M. Preparation, characterization, and in vitro hemocompability of glutaraldehyde-crosslinked chitosan/carboxymethylcellulose as hemodialysis membrane. Indones. J. Chem. 2021, 21, 1120–1131. [Google Scholar] [CrossRef]
- Sritweesinsub, W.; Charuchinda, S. Alginate/carboxymethyl cellulose hydrogel films in relaton to crosslinking with glutaraldehyde and copper sulfate. MATEC Web Conf. 2015, 30, 02005. [Google Scholar] [CrossRef]
- Parhi, R. Cross-linked hydrogel for pharmaceutical applications: A review. Adv. Pharm. Bull. 2017, 7, 515–530. [Google Scholar] [CrossRef]
- Muhamad, I.I.; Fen, L.S.; Hui, N.H.; Mustapha, N.A. Genipin-cross-linked kappa-carrageenan/carboxymethyl cellulose beads and effects on beta-carotene release. Carbohydr. Polym. 2011, 83, 1207–1212. [Google Scholar] [CrossRef]
- Durpekova, S.; Filatova, K.; Cisar, J.; Ronzova, A.; Kutalkova, E.; Sedlarik, V. A novel hydrogel based on renewable materials for agricultural application. Int. J. Polym. Sci. 2020, 2020, 8363418. [Google Scholar] [CrossRef]
- Pinto, R.V.; Gomes, P.S.; Fernandes, M.H.; Costa, M.E.V.; Almeida, M.M. Glutaraldehyde-crosslinking chitosan scaffolds reinforced with calcium phosphate spray-dried granules for bone tissue applications. Int. J. Biol. Macromol. 2020, 109, 110557. [Google Scholar] [CrossRef] [PubMed]
- Khapre, M.A.; Pandey, S.; Jugade, R.M. Glutaraldehyde-cross-linked chitosan–alginate composite for organic dyes removal from aqueous solutions. Int. J. Biol. Macromol. 2021, 190, 862–875. [Google Scholar] [CrossRef] [PubMed]
- Erdagi, S.I.; Ngwabebhoh, F.A.; Yildiz, U. Genipin crosslinked gelatin-diosgenin-nanocellulose hydrogels for potential wound dressing and healing application. Int. J. Biol. Macromol. 2020, 149, 651–663. [Google Scholar] [CrossRef]
- Whitehead, F.A.; Young, S.A.; Kasapis, S. Swelling behaviour and glass transition in genipin-crosslinked chitosan systems. Int. J. Biol. Macromol. 2020, 164, 3075–3083. [Google Scholar] [CrossRef]









| Types of Hydrogels | Types of Polymers and Crosslinking Agents | Research Result | Applicability | Reference |
|---|---|---|---|---|
| PAAm-based hydrogel | NR-g-PAAm as a polymer and NMBA as a crosslinking agent |
| Methylene blue dye removal | [20] |
| PAAm and CA as a polymer and NMBA as a crosslinking agent |
| Tissue engineering applications such as cartilage replacement | [21] | |
| PAAm, PAAm/CMCNa and PAAm/CMCNa/MgO as a polymer and NMBA as a crosslinking agent, APS and TEMED as initiator |
| Amoxicillin or semi-synthetic antibiotic | [22] | |
| PVA-based hydrogel | Lignin-PVA as a polymer and ECH as a crosslinking agent |
| Dye pollutant (rhodamine 6G, crystal violet, and methylene blue) removal. | [23] |
| PVA as a polymer and telechelic PVA as a crosslinking agent |
| Cleaning paper artworks | [24] | |
| PVA/CMCNa as a polymer and inebrin as a hemostatic agent |
| Wound dressings for capillary bleeding | [25] |
| Types of Hydrogels | Types of Polymers and Crosslinking Agents | Research Result | Applicability | Reference |
|---|---|---|---|---|
| Cellulose-based hydrogel | Sugarcane bagasse cellulose as a polymer and citric acid and ECH as a crosslinking agent |
| Methylene blue dye removal | [28] |
| Corncob cellulose-co -AMPS as a polymer, borax decahydrate as a crosslinking agent, and KPS as an initiator |
| Personal hygiene | [29] | |
| Rice straw cellulose, CMCNa, and CMCNa/cellulose as a polymer and vs. as a crosslinking agent and GA, NMBA, and ECH for the mixture of 1:1 of cellulose: CMC. |
| Removal of metals (Cu2+) from wastewater | [30] | |
| Starch-based hydrogel | Cassava starch as a polymer and ECH and SEC as a crosslinking agent |
| Superabsorbent | [31] |
| Commercial starch as a polymer and citric acid as a crosslinking agent |
| Carriers for the release of pharmaceutically active substances | [32] | |
| PASGC as a polymer and ECH as a crosslinking agent |
| Cadmium (Cd2+) ion removal from aqueous solutions | [33] |
| Types of Hydrogels | Types of Polymers and Crosslinking Agents | Research Result | Applicability | Reference |
|---|---|---|---|---|
| Chitin-based hydrogel | Hericium erinaceus residue carboxymethyl chitin as a polymer and ECH as a crosslinking agent |
| Adsorption of anionic dyes | [34] |
| RCNs-PEGDE as a first network and PAAm as a second network polymer and NMBA as a crosslinking agent |
| Potential superficial soft tissue repairing materials | [35] | |
| Chitin/PVA as a polymer and ECH as a crosslinking agent |
| Tissue engineering | [36] | |
| Glycogen-based hydrogel | Glycogen-PVA and PAA as a polymer, APS initiator and Fe3+ as a crosslinking agent |
| Advanced soft materials in biomedical fields | [37] |
| Commercial glycogen, PAA and PAAm as a polymer, APS initiator and iron (III) as a crosslinking agent |
| Wearable strain-sensor for flexible e-skin | [38] | |
| Glycogen, NIPAm as a polymer, and EGDMA as a crosslinking agent |
| Colon-targeted delivery of ornidazole and 5-amino salicylic acid | [39] |
| Types of Hydrogels | Types of Polymers and Crosslinking Agents | Research Result | Applicability | Reference |
|---|---|---|---|---|
| Bacteria-based hydrogel | BC and CMCNa as a polymer |
| Non-invasive semi-quantitative sensors for on-skin health monitoring | [40] |
| BC and gelatin as a polymer and GA as a crosslinking agent |
| Drug-delivery systems | [41] | |
| BC and chitosan (CS) as a polymer and GA as a crosslinking agent |
| Biomedical fields | [42] |
| Types of Hydrogels | Types of Polymers and Crosslinking Agents | Research Result | Applicability | Reference |
|---|---|---|---|---|
| MC-based hydrogel | MC as a polymer and citric acid as a crosslinking agent |
| Cell sheet engineering | [48] |
| MC as a polymer, citric acid as a crosslinking agent and sorbitol as a plasticizer |
| Controlled release agents or in the food industry | [54] | |
| HEC-based hydrogel | HEC as a polymer, citric acid as a crosslinking agent and WO3 as a support material |
| Wound dressing material | [49] |
| HEC-g-PNaS/medical stone as a polymer and NMBA as a crosslinking agent |
| Petroleum-based synthetic absorbents | [58] | |
| HPMC-based hydrogel | HPMC as a polymer and BCP |
| Support of metal dental implants | [50] |
| HPMC and pectin as a polymer, AA as a monomer, and NMBA as a crosslinking agent |
| Controlled-delivery drug for dementia | [61] | |
| HPC-based hydrogel | HPC as a polymer and MoS2 as a crosslinking agent |
| Methylene blue dye removal | [3] |
| HPC as a polymer, ECH as a crosslinking agent and ammonium as a co-crosslinking agent |
| Adsorb anionic dye | [65] | |
| CMCNa-based hydrogel | CMCNa as a polymer and ECH as a crosslinking agent |
| High-value hygiene | [51] |
| CMCNa and HEC as a polymer, divinyl sulfone as a crosslinking agent |
| Water absorption | [66] |
| Types of Hydrogels | Research Result | Applicability | Reference |
|---|---|---|---|
| ECH crosslinked CMCNa hydrogel |
| Water absorption | [79] |
| ECH crosslinked AG/CMCNa hydrogel |
| Controlled drug delivery systems | [80] |
| GA crosslinked CS/CMCNa hydrogel |
| Hemodialysis membranes | [81] |
| GA crosslinked AG/CMCNa hydrogel |
| Water absorption | [82] |
| Types of Hydrogels | Research Result | Applicability | Reference |
|---|---|---|---|
| Genipin crosslinked kappa-carrageenan (𝜅C)/CMCNa hydrogel |
| Beta-carotene release | [84] |
| Citric acid crosslinked CMCNa, HEC, and CMCNa/HEC hydrogel |
| Superabsorbents in agriculture | [9] |
| Citric acid crosslinked CMCNa, HEC, and CMCNa/HEC hydrogel |
| Functional finishing of cotton knitwear | [55] |
| Citric acid crosslinked CMCNa, HEC and CMCNa/HEC hydrogel |
| Agricultural material for replacing synthetic acrylic-based absorbents | [85] |
Publisher’s Note: MDPI stays neutral with regard to jurisdictional claims in published maps and institutional affiliations. |
© 2022 by the authors. Licensee MDPI, Basel, Switzerland. This article is an open access article distributed under the terms and conditions of the Creative Commons Attribution (CC BY) license (https://creativecommons.org/licenses/by/4.0/).
Share and Cite
Nasution, H.; Harahap, H.; Dalimunthe, N.F.; Ginting, M.H.S.; Jaafar, M.; Tan, O.O.H.; Aruan, H.K.; Herfananda, A.L. Hydrogel and Effects of Crosslinking Agent on Cellulose-Based Hydrogels: A Review. Gels 2022, 8, 568. https://doi.org/10.3390/gels8090568
Nasution H, Harahap H, Dalimunthe NF, Ginting MHS, Jaafar M, Tan OOH, Aruan HK, Herfananda AL. Hydrogel and Effects of Crosslinking Agent on Cellulose-Based Hydrogels: A Review. Gels. 2022; 8(9):568. https://doi.org/10.3390/gels8090568
Chicago/Turabian StyleNasution, Halimatuddahliana, Hamidah Harahap, Nisaul F. Dalimunthe, M. Hendra S. Ginting, Mariatti Jaafar, Orlando O. H. Tan, Hotmauli K. Aruan, and Alief L. Herfananda. 2022. "Hydrogel and Effects of Crosslinking Agent on Cellulose-Based Hydrogels: A Review" Gels 8, no. 9: 568. https://doi.org/10.3390/gels8090568
APA StyleNasution, H., Harahap, H., Dalimunthe, N. F., Ginting, M. H. S., Jaafar, M., Tan, O. O. H., Aruan, H. K., & Herfananda, A. L. (2022). Hydrogel and Effects of Crosslinking Agent on Cellulose-Based Hydrogels: A Review. Gels, 8(9), 568. https://doi.org/10.3390/gels8090568

