Complexation of DNA with Thermoresponsive Charged Microgels: Role of Swelling State and Electrostatics
Abstract
:1. Introduction
2. Results and Discussion
2.1. DNA-Cationic Microgel Complexes
2.1.1. Bulk Behavior
2.1.2. Langmuir Spread Films
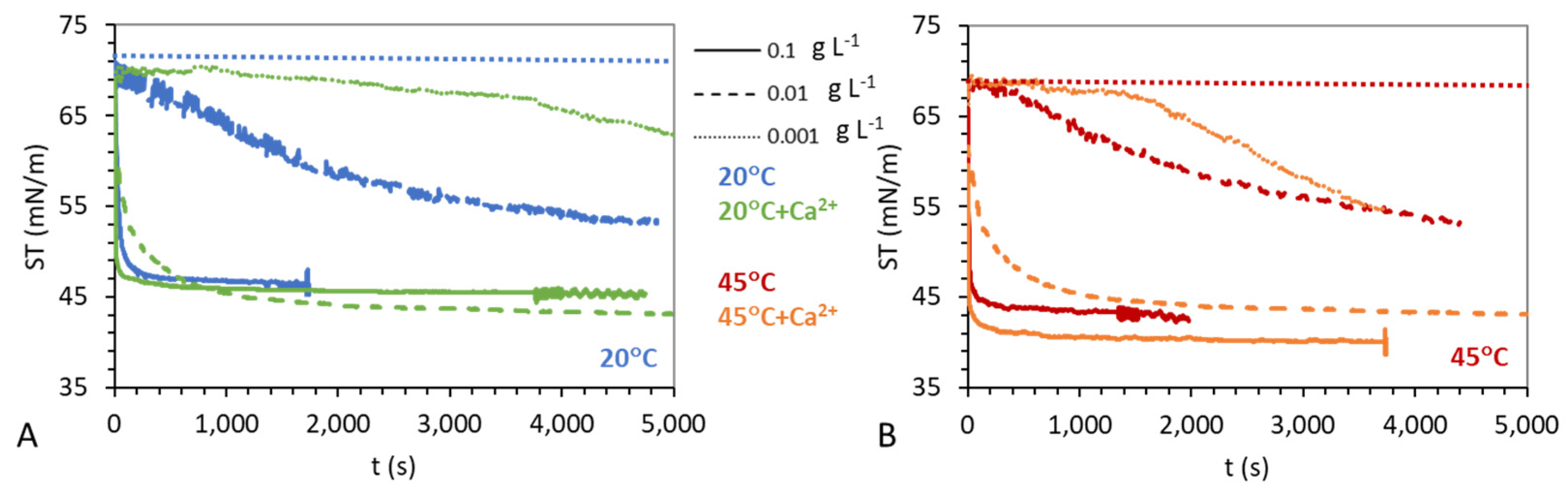
2.2. DNA-Anionic Microgel Complexes
2.2.1. Bulk Behavior
2.2.2. Langmuir Spread Films
2.2.3. Gibbs Adsorbed Films
3. Conclusions
4. Materials and Methods
4.1. Materials
4.2. Synthesis of Microgels
4.3. Hydrodynamic Diameter and Electrophoretic Mobility
4.4. Langmuir Monolayers
4.5. Adsorbed Monolayers
4.6. Statistical Analysis
Author Contributions
Funding
Institutional Review Board Statement
Informed Consent Statement
Data Availability Statement
Acknowledgments
Conflicts of Interest
References
- Lee, E.S.; Kim, D.; Youn, Y.S.; Oh, K.T.; Bae, Y.H. A virus-mimetic nanogel vehicle. Angew. Chem. Int. Ed. 2008, 47, 2418–2421. [Google Scholar] [CrossRef] [PubMed]
- Li, C. A targeted approach to cancer imaging and therapy. Nat. Mater. 2014, 13, 110–115. [Google Scholar] [CrossRef] [PubMed] [Green Version]
- Kola, S.M.; Choonara, Y.E.; Kumar, P.; Kondiah, P.P.D.; Pillay, V. Platelet-inspired therapeutics: Current status, limitations, clinical implications, and future potential. Drug Deliv. Transl. Res. 2021, 11, 24–48. [Google Scholar] [CrossRef] [PubMed]
- Guo, P.; Huang, J.; Moses, M.A. Cancer Nanomedicines in an Evolving Oncology Landscape. Trends Pharmacol. Sci. 2020, 41, 730–742. [Google Scholar] [CrossRef] [PubMed]
- Martín-Molina, A.; Luque-Caballero, G.; Faraudo, J.; Quesada-Pérez, M.; Maldonado-Valderrama, J. Adsorption of DNA onto anionic lipid surfaces. Adv. Colloid Interface Sci. 2014, 206, 172–185. [Google Scholar] [CrossRef] [PubMed]
- Buck, J.; Grossen, P.; Cullis, P.R.; Huwyler, J.; Witzigmann, D. Lipid-Based DNA Therapeutics: Hallmarks of Non-Viral Gene Delivery. ACS Nano 2019, 13, 3754–3782. [Google Scholar] [CrossRef] [PubMed]
- Filipczak, N.; Pan, J.; Yalamarty, S.S.K.; Torchilin, V.P. Recent advancements in liposome technology. Adv. Drug Deliv. Rev. 2020, 156, 4–22. [Google Scholar] [CrossRef] [PubMed]
- Smith, M.H.; Lyon, L.A. Multifunctional nanogels for siRNA delivery. Acc. Chem. Res. 2012, 45, 985–993. [Google Scholar] [CrossRef] [PubMed]
- Neamtu, I.; Rusu, A.G.; Diaconu, A.; Nita, L.E.; Chiriac, A.P. Basic concepts and recent advances in nanogels as carriers for medical applications. Drug Deliv. 2017, 24, 539–557. [Google Scholar] [CrossRef] [PubMed] [Green Version]
- Plamper, F.A.; Richtering, W. Functional Microgels and Microgel Systems. Acc. Chem. Res. 2017, 50, 131–140. [Google Scholar] [CrossRef] [PubMed]
- Echeverria, C.; Fernandes, S.N.; Godinho, M.H.; Borges, J.P.; Soares, P.I.P. Functional Stimuli-Responsive Gels: Hydrogels and Microgels. Gels 2018, 4, 54. [Google Scholar] [CrossRef] [PubMed] [Green Version]
- Stanislawska, I.; Liwinska, W.; Lyp, M.; Stojek, Z.; Zabost, E. Recent Advances in Degradable Hybrids of Biomolecules and NGs for Targeted Delivery. Molecules 2019, 24, 1873. [Google Scholar] [CrossRef] [PubMed] [Green Version]
- Kandil, R.; Merkel, O.M. Recent progress of polymeric nanogels for gene delivery. Curr. Opin. Colloid Interface Sci. 2019, 39, 11–23. [Google Scholar] [CrossRef] [PubMed]
- Karg, M.; Pich, A.; Hellweg, T.; Hoare, T.; Lyon, L.A.; Crassous, J.J.; Suzuki, D.; Gumerov, R.A.; Schneider, S.; Potemkin, I.I.; et al. Nanogels and Microgels: From Model Colloids to Applications, Recent Developments, and Future Trends. Langmuir 2019, 35, 6231–6255. [Google Scholar] [CrossRef] [PubMed]
- Mauri, E.; Perale, G.; Rossi, F. Nanogel Functionalization: A Versatile Approach to Meet the Challenges of Drug and Gene Delivery. ACS Appl. Nano Mater. 2018, 1, 6525–6541. [Google Scholar] [CrossRef]
- Sabir, F.; Asad, M.I.; Qindeel, M.; Afzal, I.; Dar, M.J.; Shah, K.U.; Zeb, A.; Khan, G.M.; Ahmed, N.; Din, F. Polymeric Nanogels as Versatile Nanoplatforms for Biomedical Applications. J. Nanomater. 2019, 2019, 1526186. [Google Scholar] [CrossRef] [Green Version]
- Ali, M.M.; Su, S.; Filipe, C.D.M.; Pelton, R.; Li, Y. Enzymatic manipulations of DNA oligonucleotides on microgel: Towards development of DNA-microgel bioassays. Chem. Commun. 2007, 2007, 4459–4461. [Google Scholar] [CrossRef] [PubMed]
- Lee, A.-W.; Hsu, C.-C.; Liu, Y.-Z.; Wei, P.-L.; Chen, J.-K. Supermolecules of poly(N-isopropylacrylamide) complexating Herring sperm DNA with bio-multiple hydrogen bonding. Colloids Surf. B Biointerfaces 2016, 148, 422–430. [Google Scholar] [CrossRef] [PubMed]
- Goh, S.L.; Murthy, N.; Xu, M.; Fréchet, J.M.J. Cross-Linked Microparticles as Carriers for the Delivery of Plasmid DNA for Vaccine Development. Bioconjug. Chem. 2004, 15, 467–474. [Google Scholar] [CrossRef] [PubMed]
- Tamura, A.; Oishi, M.; Nagasaki, Y. Enhanced Cytoplasmic Delivery of siRNA Using a Stabilized Polyion Complex Based on PEGylated Nanogels with a Cross-Linked Polyamine Structure. Biomacromolecules 2009, 10, 1818–1827. [Google Scholar] [CrossRef] [PubMed]
- Blackburn, W.H.; Dickerson, E.B.; Smith, M.H.; McDonald, J.F.; Lyon, L.A. Peptide-Functionalized Nanogels for Targeted siRNA Delivery. Bioconjug. Chem. 2009, 20, 960. [Google Scholar] [CrossRef] [PubMed] [Green Version]
- Sunasee, R.; Wattanaarsakit, P.; Ahmed, M.; Lollmahomed, F.B.; Narain, R. Biodegradable and nontoxic nanogels as nonviral gene delivery systems. Bioconjug. Chem. 2012, 23, 1925–1933. [Google Scholar] [CrossRef] [PubMed]
- Ahmed, M.; Wattanaarsakit, P.; Narain, R. Cationic glyco-nanogels for epidermal growth factor receptor (EGFR) specific siRNA delivery in ovarian cancer cells. Polym. Chem. 2013, 4, 3829–3836. [Google Scholar] [CrossRef]
- Vauthier, C.; Zandanel, C.; Ramon, A.L. Chitosan-based nanoparticles for in vivo delivery of interfering agents including siRNA. Curr. Opin. Colloid Interface Sci. 2013, 18, 406–418. [Google Scholar] [CrossRef]
- Shatsberg, Z.; Zhang, X.; Ofek, P.; Malhotra, S.; Krivitsky, A.; Scomparin, A.; Tiram, G.; Calderón, M.; Haag, R.; Satchi-Fainaro, R. Functionalized nanogels carrying an anticancer microRNA for glioblastoma therapy. J. Control. Release 2016, 239, 159–168. [Google Scholar] [CrossRef] [PubMed]
- Sierra-Martin, B.; Lietor-Santos, J.J.; Fernandez-Barbero, A.; Nguyen, T.T.; Fernandez-Nieves, A. Swelling Thermodynamics of Microgel Particles. In Microgel Suspensions; Wiley-VCH Verlag GmbH & Co. KGaA: Weinheim, Germany, 2011; pp. 71–116. ISBN 9783527632992. [Google Scholar]
- Hendrickson, G.R.; Lyon, L.A. Microgel Translocation through Pores under Confinement. Angew. Chem. Int. Ed. 2010, 49, 2193. [Google Scholar] [CrossRef] [PubMed] [Green Version]
- Wang, D.; Wu, L.-P. Nanomaterials for delivery of nucleic acid to the central nervous system (CNS). Mater. Sci. Eng. C 2017, 70, 1039–1046. [Google Scholar] [CrossRef] [PubMed]
- Luque-Caballero, G.; Martín-Molina, A.; Sánchez-Treviño, A.Y.; Rodríguez-Valverde, M.A.; Cabrerizo-Vílchez, M.A.; Maldonado-Valderrama, J. Using AFM to probe the complexation of DNA with anionic lipids mediated by Ca2+: The role of surface pressure. Soft Matter 2014, 10, 2805. [Google Scholar] [CrossRef] [PubMed] [Green Version]
- Barrán-Berdón, A.L.; Aicart, E.; Junquera, E. Anionic/Zwitterionic Lipid-Based Gene Vectors of pDNA BT. In Non-Viral Gene Delivery Vectors: Methods and Protocols; Candiani, G., Ed.; Springer: New York, NY, USA, 2016; pp. 45–61. ISBN 978-1-4939-3718-9. [Google Scholar]
- Luque-Caballero, G.; Maldonado-Valderrama, J.; Quesada-Pérez, M.; Martín-Molina, A. Interaction of DNA with likely-charged lipid monolayers: An experimental study. Colloids Surf. B Biointerfaces 2019, 178, 170–176. [Google Scholar] [CrossRef]
- Gelissen, A.P.H.; Scotti, A.; Turnhoff, S.K.; Janssen, C.; Radulescu, A.; Pich, A.; Rudov, A.A.; Potemkin, I.I.; Richtering, W. An anionic shell shields a cationic core allowing for uptake and release of polyelectrolytes within core-shell responsive microgels. Soft Matter 2018, 14, 4287–4299. [Google Scholar] [CrossRef] [PubMed]
- Swenson, H.; Stadie, N.P. Langmuir’s Theory of Adsorption: A Centennial Review. Langmuir 2019, 35, 5409–5426. [Google Scholar] [CrossRef] [Green Version]
- Li, F.; Luo, Y.; Feng, X.; Guo, Y.; Zhou, Y.; He, D.; Xie, Z.; Zhang, H.; Liu, Y. Two-dimensional colloidal crystal of soft microgel spheres: Development, preparation and applications. Colloids Surf. B Biointerfaces 2022, 212, 112358. [Google Scholar] [CrossRef] [PubMed]
- Murray, B.S. Microgels at fluid-fluid interfaces for food and drinks. Adv. Colloid Interface Sci. 2019, 271, 101990. [Google Scholar] [CrossRef] [PubMed]
- Kwok, M.H.; Sun, G.; Ngai, T. Microgel Particles at Interfaces: Phenomena, Principles, and Opportunities in Food Sciences. Langmuir 2019, 35, 4205–4217. [Google Scholar] [CrossRef] [PubMed]
- Fernandez-Rodriguez, M.A.; Martín-Molina, A.; Maldonado-Valderrama, J. Microgels at interfaces, from mickering emulsions to flat interfaces and back. Adv. Colloid Interface Sci. 2021, 288, 102350. [Google Scholar] [CrossRef] [PubMed]
- Navarro Arrebola, I.; Billon, L.; Aguirre, G. Microgels self-assembly at liquid/liquid interface as stabilizers of emulsion: Past, present & future. Adv. Colloid Interface Sci. 2021, 287, 102333. [Google Scholar] [CrossRef] [PubMed]
- Strzelczyk, A.K.; Wang, H.; Lindhorst, A.; Waschke, J.; Pompe, T.; Kropf, C.; Luneau, B.; Schmidt, S. Hydrogel Microparticles as Sensors for Specific Adhesion: Case Studies on Antibody Detection and Soil Release Polymers. Gels 2017, 3, 31. [Google Scholar] [CrossRef] [PubMed] [Green Version]
- Saxena, S.; Spears, M.W., Jr.; Yoshida, H.; Gaulding, J.C.; García, A.J.; Lyon, L.A. Microgel film dynamics modulate cell adhesion behavior. Soft Matter 2014, 10, 1356–1364. [Google Scholar] [CrossRef] [Green Version]
- Backes, S.; Von Klitzing, R. Nanomechanics and Nanorheology of Microgels at Interfaces. Polymers 2018, 10, 978. [Google Scholar] [CrossRef] [Green Version]
- Lanzalaco, S.; Armelin, E. Poly(N-isopropylacrylamide) and Copolymers: A Review on Recent Progresses in Biomedical Applications. Gels 2017, 3, 36. [Google Scholar] [CrossRef] [PubMed]
- Es Sayed, J.; Lorthioir, C.; Perrin, P.; Sanson, N. PEGylated NiPAM microgels: Synthesis, characterization and colloidal stability. Soft Matter 2019, 15, 963–972. [Google Scholar] [CrossRef] [PubMed]
- Ramos, J.; Costoyas, Á.; Forcada, J. Kinetics of the batch cationic emulsion polymerization of styrene: A comparative study with the anionic case. J. Polym. Sci. Part A Polym. Chem. 2006, 44, 4461–4478. [Google Scholar] [CrossRef]
- López-León, T.; Ortega-Vinuesa, J.L.; Bastos-González, D.; Elaissari, A. Thermally sensitive reversible microgels formed by poly(N-Isopropylacrylamide) charged chains: A Hofmeister effect study. J. Colloid Interface Sci. 2014, 426, 300–307. [Google Scholar] [CrossRef] [PubMed]
- Yang, Y.; Maldonado-Valderrama, J.; Martín-Molina, A. Temperature and electrostatics effects on charged poly (N-isopropylacrylamide) microgels at the interface. J. Mol. Liq. 2020, 303, 112678. [Google Scholar] [CrossRef]
- Rey, M.; Hou, X.; Tang, J.S.J.; Vogel, N. Interfacial arrangement and phase transitions of PNiPAm microgels with different crosslinking densities. Soft Matter 2017, 13, 8717–8727. [Google Scholar] [CrossRef] [PubMed]
- Quesada-Pérez, M.; Martín-Molina, A. Monte Carlo simulation of thermo-responsive charged nanogels in salt-free solutions. Soft Matter 2013, 9, 7086–7094. [Google Scholar] [CrossRef]
- Rodríguez-Pulido, A.; Martín-Molina, A.; Rodríguez-Beas, C.; Llorca, O.; Aicart, E.; Junquera, E. A theoretical and experimental approach to the compaction process of DNA by dioctadecyldimethylammonium bromide/zwitterionic mixed liposomes. J. Phys. Chem. B 2009, 113, 15648–15661. [Google Scholar] [CrossRef] [PubMed] [Green Version]
- Muñoz-Ubeda, M.; Rodríguez-Pulido, A.; Nogales, A.; Martín-Molina, A.; Aicart, E.; Junquera, E. Effect of lipid composition on the structure and theoretical phase diagrams of DC-Chol/DOPE-DNA lipoplexes. Biomacromolecules 2010, 11, 3332–3340. [Google Scholar] [CrossRef] [PubMed]
- Muñoz-Úbeda, M.; Rodríguez-Pulido, A.; Nogales, A.; Llorca, O.; Quesada-Pérez, M.; Martín-Molina, A.; Aicart, E.; Junquera, E. Gene vectors based on DOEPC/DOPE mixed cationic liposomes: A physicochemical study. Soft Matter 2011, 7, 5991–6004. [Google Scholar] [CrossRef] [Green Version]
- Barrán-Berdón, A.L.; Muñoz-Úbeda, M.; Aicart-Ramos, C.; Pérez, L.; Infante, M.-R.; Castro-Hartmann, P.; Martín-Molina, A.; Aicart, E.; Junquera, E. Ribbon-type and cluster-type lipoplexes constituted by a chiral lysine based cationic gemini lipid and plasmid DNA. Soft Matter 2012, 8, 7368–7380. [Google Scholar] [CrossRef]
- Paiva, D.; Martín-Molina, A.; Cardoso, I.; Quesada-Pérez, M.; Pereira, M.D.C.; Rocha, S. The effect of a fluorinated cholesterol derivative on the stability and physical properties of cationic DNA vectors. Soft Matter 2013, 9, 401–409. [Google Scholar] [CrossRef]
- Kleinen, J.; Richtering, W. Defined Complexes of Negatively Charged Multisensitive Poly(N-isopropylacrylamide-co-methacrylic acid) Microgels and Poly(diallydimethylammonium chloride). Macromolecules 2008, 41, 1785–1790. [Google Scholar] [CrossRef]
- Kleinen, J.; Richtering, W. Rearrangements in and Release from Responsive Microgel−Polyelectrolyte Complexes Induced by Temperature and Time. J. Phys. Chem. B 2011, 115, 3804–3810. [Google Scholar] [CrossRef] [PubMed]
- Sennato, S.; Chauveau, E.; Casciardi, S.; Bordi, F.; Truzzolillo, D. The Double-Faced Electrostatic Behavior of PNIPAm Microgels. Polymers 2021, 13, 1153. [Google Scholar] [CrossRef] [PubMed]
- Pérez-Mas, L.; Martín-Molina, A.; Quesada-Pérez, M. Coarse-grained Monte Carlo simulations of nanogel-polyelectrolyte complexes: Electrostatic effects. Soft Matter 2020, 16, 3022–3028. [Google Scholar] [CrossRef] [PubMed]
- Pinaud, F.; Geisel, K.; Massé, P.; Catargi, B.; Isa, L.; Richtering, W.; Ravaine, V.; Schmitt, V. Adsorption of microgels at an oil-water interface: Correlation between packing and 2D elasticity. Soft Matter 2014, 10, 6963–6974. [Google Scholar] [CrossRef] [PubMed]
- Maldonado-Valderrama, J.; Del Castillo-Santaella, T.; Adroher-Benítez, I.; Moncho-Jordá, A.; Martín-Molina, A. Thermoresponsive microgels at the air-water interface: The impact of the swelling state on interfacial conformation. Soft Matter 2017, 13, 230–238. [Google Scholar] [CrossRef] [PubMed]
- Harrer, J.; Rey, M.; Ciarella, S.; Löwen, H.; Janssen, L.M.C.; Vogel, N. Stimuli-Responsive Behavior of PNiPAm Microgels under Interfacial Confinement. Langmuir 2019, 35, 10512–10521. [Google Scholar] [CrossRef] [PubMed] [Green Version]
- Cárdenas, M.; Nylander, T.; Jönsson, B.; Lindman, B. The interaction between DNA and cationic lipid films at the air-water interface. J. Colloid Interface Sci. 2005, 286, 166–175. [Google Scholar] [CrossRef] [PubMed]
- Faraudo, J.; Martin-Molina, A. Competing forces in the interaction of polyelectrolytes with charged interfaces. Curr. Opin. Colloid Interface Sci. 2013, 18, 517–523. [Google Scholar] [CrossRef]
- Adroher-Benítez, I.; Ahualli, S.; Bastos-González, D.; Ramos, J.; Forcada, J.; Moncho-Jordá, A. The effect of electrosteric interactions on the effective charge of thermoresponsive ionic microgels: Theory and experiments. J. Polym. Sci. Part B Polym. Phys. 2016, 54, 2038–2049. [Google Scholar] [CrossRef]
- Tatry, M.C.; Laurichesse, E.; Perro, A.; Ravaine, V.; Schmitt, V. Kinetics of spontaneous microgels adsorption and stabilization of emulsions produced using microfluidics. J. Colloid Interface Sci. 2019, 548, 1–11. [Google Scholar] [CrossRef] [PubMed] [Green Version]
- Martín-Molina, A.; Rodríguez-Beas, C.; Faraudo, J. Effect of calcium and magnesium on phosphatidylserine membranes: Experiments and all-atomic simulations. Biophys. J. 2012, 102, 2095–2103. [Google Scholar] [CrossRef] [PubMed] [Green Version]
- Martín-Molina, A.; Rodríguez-Beas, C.; Faraudo, J. Charge reversal in anionic liposomes: Experimental demonstration and molecular origin. Phys. Rev. Lett. 2010, 104, 168103. [Google Scholar] [CrossRef] [PubMed]
- Schulze-Zachau, F.; Bachmann, S.; Braunschweig, B. Effects of Ca2+ Ion Condensation on the Molecular Structure of Polystyrene Sulfonate at Air–Water Interfaces. Langmuir 2018, 34, 11714–11722. [Google Scholar] [CrossRef] [PubMed]
- Bradley, M.; Ramos, J.; Vincent, B. Equilibrium and Kinetic Aspects of the Uptake of Poly(ethylene oxide) by Copolymer Microgel Particles of N-Isopropylacrylamide and Acrylic Acid. Langmuir 2005, 21, 1209–1215. [Google Scholar] [CrossRef] [PubMed]
- Roldán-Vargas, S.; Martín-Molina, A.; Quesada-Pérez, M.; Barnadas-Rodríguez, R.; Estelrich, J.; Callejas-Fernández, J. Aggregation of liposomes induced by calcium: A structural and kinetic study. Phys. Rev. E Stat. Nonlin. Soft Matter Phys. 2007, 75, e021912. [Google Scholar] [CrossRef] [Green Version]








| mGel+ | mGel− | |||
|---|---|---|---|---|
| Function | Reagent | Weight (g) | Reagent | Weight (g) |
| Solvent | Ultrapure water | 1800 | Ultrapure water | 1800 |
| Thermoresponsive monomer | NIPAM | 14.4 | NIPAM | 14.4 |
| PEGylated monomer | MPEG750MA | 3.6 | MPEG750MA | 3.6 |
| Ionic-comonomer | MATMAC * | 3.6 | MAA ** | 1.8 |
| Crosslinker | EGDMA | 0.9 | EGDMA | 0.9 |
| Initiator | V-50 * | 0.36 | NaPS ** | 0.36 |
Publisher’s Note: MDPI stays neutral with regard to jurisdictional claims in published maps and institutional affiliations. |
© 2022 by the authors. Licensee MDPI, Basel, Switzerland. This article is an open access article distributed under the terms and conditions of the Creative Commons Attribution (CC BY) license (https://creativecommons.org/licenses/by/4.0/).
Share and Cite
Maldonado-Valderrama, J.; Yang, Y.; Jiménez-Guerra, M.; del Castillo-Santaella, T.; Ramos, J.; Martín-Molina, A. Complexation of DNA with Thermoresponsive Charged Microgels: Role of Swelling State and Electrostatics. Gels 2022, 8, 184. https://doi.org/10.3390/gels8030184
Maldonado-Valderrama J, Yang Y, Jiménez-Guerra M, del Castillo-Santaella T, Ramos J, Martín-Molina A. Complexation of DNA with Thermoresponsive Charged Microgels: Role of Swelling State and Electrostatics. Gels. 2022; 8(3):184. https://doi.org/10.3390/gels8030184
Chicago/Turabian StyleMaldonado-Valderrama, Julia, Yan Yang, Maykel Jiménez-Guerra, Teresa del Castillo-Santaella, José Ramos, and Alberto Martín-Molina. 2022. "Complexation of DNA with Thermoresponsive Charged Microgels: Role of Swelling State and Electrostatics" Gels 8, no. 3: 184. https://doi.org/10.3390/gels8030184
APA StyleMaldonado-Valderrama, J., Yang, Y., Jiménez-Guerra, M., del Castillo-Santaella, T., Ramos, J., & Martín-Molina, A. (2022). Complexation of DNA with Thermoresponsive Charged Microgels: Role of Swelling State and Electrostatics. Gels, 8(3), 184. https://doi.org/10.3390/gels8030184

