Synthesis of a Low-Molecular-Weight Filtrate Reducer and Its Mechanism for Improving High Temperature Resistance of Water-Based Drilling Fluid Gel System
Abstract
:1. Introduction
2. Results and Discussion
2.1. Characterization of LDMS
2.1.1. Chemical Structure Analysis
2.1.2. Thermogravimetric Analysis
2.1.3. Molecular Weight Determination
2.2. Performance of Filtrate Reducer in WBDFs
2.2.1. Rheology and Filtration Performance Measurements
2.2.2. Temperature Resistance
2.3. Mechanism Analysis
2.3.1. Zeta Potential and Particle Size Analysis
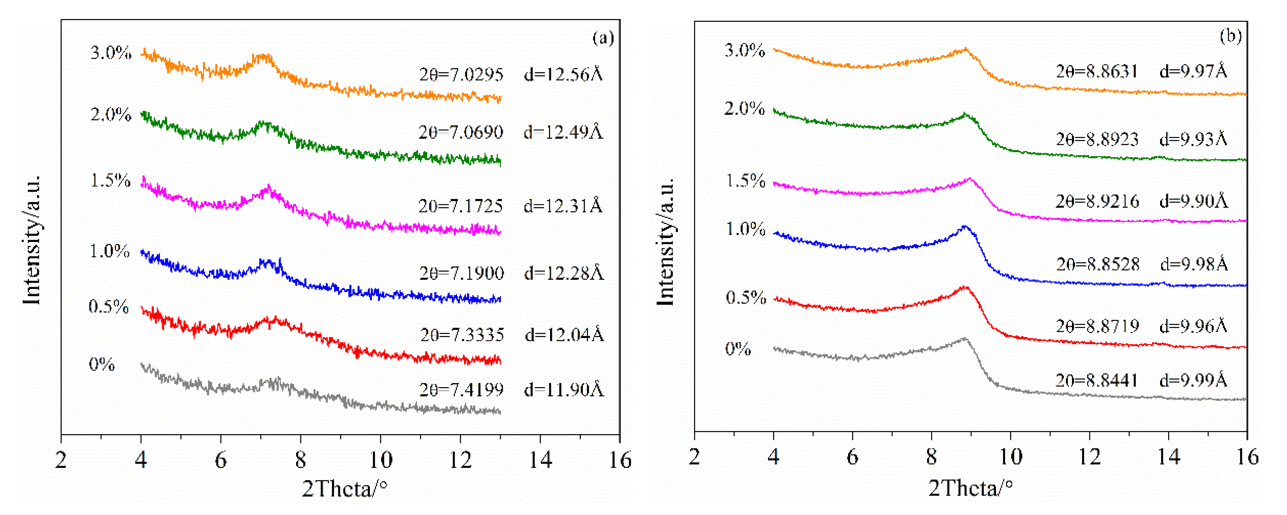
2.3.2. Effect on the Interlayer Spacing and Interlayer Water Content of Bentonite
2.3.3. Adsorption Capacity
2.3.4. Filter Cake Analysis
2.3.5. Mechanism of LDMS
3. Conclusions
4. Materials and Methods
4.1. Materials
4.2. Synthesis and Characterization of LDMS
4.2.1. LDMS Synthesis
4.2.2. LDMS Characterization
- (1)
 - Fourier-transform infrared (FT-IR)
 
- (2)
 - Nuclear magnetic resonance hydrogen spectrum (1H-NMR)
 
- (3)
 - Thermogravimetric analysis (TGA)
 
- (4)
 - Gel permeation chromatography (GPC)
 
4.3. Drilling Fluid Preparation and Performance Test
4.4. Zeta Potential and Particle Size Analysis
4.5. Effect of Filtrate Reducer on Bentonite
4.6. Adsorption Capacity of Filtrate Reducer on Bentonite Surface
4.7. Microscopic Morphological Analysis of Filter Cake
Author Contributions
Funding
Institutional Review Board Statement
Informed Consent Statement
Data Availability Statement
Acknowledgments
Conflicts of Interest
References
- Wang, J.; Chen, M.; Li, X.; Yin, X.; Zheng, W. Effect of Synthetic Quadripolymer on Rheological and Filtration Properties of Bentonite-Free Drilling Fluid at High Temperature. Crystals 2022, 12, 257. [Google Scholar] [CrossRef]
 - Liu, L.; Sun, J.; Wang, R.; Qu, Y.; Liu, F.; Yang, J.; Cheng, R.; Gao, S.; Huang, H. Synthesis of a new high temperature and salt resistant zwitterionic filtrate reducer and its application in water-based drilling fluid. Colloids Surf. A Physicochem. Eng. Asp. 2022, 651, 129730. [Google Scholar] [CrossRef]
 - Yunxiang, L.; Ling, L.; Wenke, Y.; Xin, L.; Han, G. Synthesis and Evaluation of Betaine Copolymer Filtrate Reducer for Drilling Mud. Clays Clay Miner. 2022, 70, 252–269. [Google Scholar] [CrossRef]
 - Yang, J.; Sun, J.; Bai, Y.; Lv, K.; Zhang, G.; Li, Y. Status and Prospect of Drilling Fluid Loss and Lost Circulation Control Technology in Fractured Formation. Gels 2022, 8, 260. [Google Scholar] [CrossRef]
 - Li, P.; Xu, Y.; Liu, Y.; Feng, J.; Hui, B.; Feng, Y.; Hu, M.; Guo, J. Terpolymer with rigid side chain as filtrate reducer for water-based drilling fluids. J. Appl. Polym. Sci. 2021, 138, 50237. [Google Scholar] [CrossRef]
 - Zhong, H.; Kong, X.; Chen, S.; Grady, B.P.; Qiu, Z. Preparation, characterization and filtration control properties of crosslinked starch nanospheres in water-based drilling fluids. J. Mol. Liq. 2021, 325, 115221. [Google Scholar] [CrossRef]
 - Jiancheng, L.; Peng, Y.; Jian, G.; Yande, S.; Kuang, X.; Shasha, C. A new type of whole oil-based drilling fluid. Pet. Explor. Dev. 2014, 41, 538–544. [Google Scholar]
 - Siddique, S.; Kwoffie, L.; Addae-Afoakwa, K.; Yates, K.; Njuguna, J. Oil based drilling fluid waste: An overview on environmentally persistent pollutants. IOP Conf. Ser. Mater. Sci. Eng. 2017, 195, 012008. [Google Scholar] [CrossRef]
 - Razali, S.; Yunus, R.; Rashid, S.A.; Lim, H.; Jan, B.M. Review of biodegradable synthetic-based drilling fluid: Progression, performance and future prospect. Renew. Sustain. Energy Rev. 2018, 90, 171–186. [Google Scholar] [CrossRef]
 - Li, W.; Zhao, X.; Ji, Y.; Peng, H.; Chen, B.; Liu, L.; Han, X. Investigation of biodiesel-based drilling fluid, part 1: Biodiesel evaluation, invert-emulsion properties, and development of a novel emulsifier package. SPE J. 2016, 21, 1755–1766. [Google Scholar] [CrossRef]
 - Long, W.; Zhu, X.; Zhou, F.; Yan, Z.; Evelina, A.; Liu, J.; Wei, Z.; Ma, L. Preparation and Hydrogelling Performances of a New Drilling Fluid Filtrate Reducer from Plant Press Slag. Gels 2022, 8, 201. [Google Scholar] [CrossRef] [PubMed]
 - Ouyang, X.; Qiu, X.; Chen, P. Physicochemical characterization of calcium lignosulfonate—A potentially useful water reducer. Colloids Surf. A Physicochem. Eng. Asp. 2006, 282, 489–497. [Google Scholar] [CrossRef]
 - Li, X.; Jiang, G.; He, Y.; Chen, G. Novel starch composite fluid loss additives and their applications in environmentally friendly water-based drilling fluids. Energy Fuels 2021, 35, 2506–2513. [Google Scholar] [CrossRef]
 - Ricky, E.; Mpelwa, M.; Wang, C.; Hamad, B.; Xu, X. Modified Corn Starch as an Environmentally Friendly Rheology Enhancer and Fluid Loss Reducer for Water-Based Drilling Mud. SPE J. 2022, 27, 1064–1080. [Google Scholar] [CrossRef]
 - Chang, X.; Sun, J.; Xu, Z.; Lv, K.; Dai, Z.; Zhang, F.; Huang, X.; Liu, J. Synthesis of a novel environment-friendly filtration reducer and its application in water-based drilling fluids. Colloids Surf. A Physicochem. Eng. Asp. 2019, 568, 284–293. [Google Scholar] [CrossRef]
 - Wang, G.; Jiang, G.; Yang, J.; Yang, L.; Li, X.; He, Y.; Chang, X. Novel N, N-dimethylacrylamide copolymer containing multiple rigid comonomers as a filtrate reducer in water-based drilling fluids and mechanism study. J. Appl. Polym. Sci. 2021, 138, 51001. [Google Scholar] [CrossRef]
 - Li, Z.; Pu, X.; Tao, H.; Liu, L.; Su, J. Synthesis and properties of acrylamide 2-acrylamido-2-methypropane sulfonic acid sodium styrene sulfonate N-vinyl pyrrolidone quadripolymer and its reduction of drilling fluid filtration at high temperature and high salinity. J. Polym. Eng. 2014, 34, 125–131. [Google Scholar] [CrossRef]
 - Sun, J.; Zhang, X.; Lv, K.; Liu, J.; Xiu, Z.; Wang, Z.; Huang, X.; Bai, Y.; Wang, J.; Jin, J. Synthesis of hydrophobic associative polymers to improve the rheological and filtration performance of drilling fluids under high temperature and high salinity conditions. J. Pet. Sci. Eng. 2022, 209, 109808. [Google Scholar] [CrossRef]
 - Mohamadian, N.; Ghorbani, H.; Wood, D.A.; Khoshmardan, M.A. A hybrid nanocomposite of poly (styrene-methyl methacrylate-acrylic acid)/clay as a novel rheology-improvement additive for drilling fluids. J. Polym. Res. 2019, 26, 1–14. [Google Scholar] [CrossRef]
 - Li, J.; Sun, J.; Lv, K.; Ji, Y.; Liu, J.; Huang, X.; Bai, Y.; Wang, J.; Jin, J.; Shi, S. Temperature-and Salt-Resistant Micro-Crosslinked Polyampholyte Gel as Fluid-Loss Additive for Water-Based Drilling Fluids. Gels 2022, 8, 289. [Google Scholar] [CrossRef]
 - Shen, H.; Lv, K.; Huang, X.; Liu, J.; Bai, Y.; Wang, J.; Sun, J. Hydrophobic-associated polymer-based laponite nanolayered silicate composite as filtrate reducer for water-based drilling fluid at high temperature. J. Appl. Polym. Sci. 2020, 137, 48608. [Google Scholar] [CrossRef]
 - Wang, C.; Jin, L.; Liu, X.; Zhang, N.; Liu, H.; Ding, W. Preparation and evaluation of high-temperature filtrate reducer for solid-free water-based drilling fluid. Polym. Eng. Sci. 2022, 62, 2411–2418. [Google Scholar] [CrossRef]
 - Ma, X.; Zhu, Z.; Shi, W.; Hu, Y. Synthesis and application of a novel betaine-type copolymer as fluid loss additive for water-based drilling fluid. Colloid Polym. Sci. 2017, 295, 53–66. [Google Scholar] [CrossRef]
 - Lu, H.; Li, G.; Dai, S.; Zhang, T.; Quan, H.; Huang, Z. Synthesis and properties of aminoarylsulfonic acid-phenol-formaldehyde copolymer as drilling fluid loss reducer. J. Macromol. Sci. Part A 2012, 49, 85–91. [Google Scholar] [CrossRef]
 - Son, A.J.; Ballard, T.M.; Loftin, R.E. Temperature-stable polymeric fluid-loss reducer tolerant to high electrolyte contamination. SPE Drill. Eng. 1987, 2, 209–217. [Google Scholar] [CrossRef]
 - Perricone, A.; Enright, D.; Lucas, J. Vinyl sulfonate copolymers for high-temperature filtration control of water-based muds. SPE Drill. Eng. 1986, 1, 358–364. [Google Scholar] [CrossRef]
 - Sun, J.; Chang, X.; Lv, K.; Wang, J.; Zhang, F.; Jin, J.; Zhou, X.; Dai, Z. Environmentally friendly and salt-responsive polymer brush based on lignin nanoparticle as fluid-loss additive in water-based drilling fluids. Colloids Surf. A Physicochem. Eng. Asp. 2021, 621, 126482. [Google Scholar] [CrossRef]
 - Huang, W.; Zhao, C.; Qiu, Z.; Leong, Y.K.; Zhong, H.; Cao, J. Synthesis, characterization and evaluation of a quadripolymer with low molecular weight as a water based drilling fluid viscosity reducer at high temperature (245 °C). Polym. Int. 2015, 64, 1352–1360. [Google Scholar] [CrossRef]
 - Chang, X.; Sun, J.; Xu, Z.; Zhang, F.; Wang, J.; Lv, K.; Dai, Z. A novel nano-lignin-based amphoteric copolymer as fluid-loss reducer in water-based drilling fluids. Colloids Surf. A Physicochem. Eng. Asp. 2019, 583, 123979. [Google Scholar] [CrossRef]
 - Cao, J.; Meng, L.; Yang, Y.; Zhu, Y.; Wang, X.; Yao, C.; Sun, M.; Zhong, H. Novel acrylamide/2-acrylamide-2-methylpropanesulfonic acid/4-vinylpyridine terpolymer as an anti-calcium contamination fluid-loss additive for water-based drilling fluids. Energy Fuels 2017, 31, 11963–11970. [Google Scholar] [CrossRef]
 - Alonso, C.; Fernandez, L. Dehydration and rehydration processes of cement paste exposed to high temperature environments. J. Mater. Sci. 2004, 39, 3015–3024. [Google Scholar] [CrossRef]
 - Sarikaya, Y.; Önal, M.; Baran, B.; Alemdaroğlu, T. The effect of thermal treatment on some of the physicochemical properties of a bentonite. Clays Clay Miner. 2000, 48, 557–562. [Google Scholar] [CrossRef]
 - Karimi, L.; Salem, A. The role of bentonite particle size distribution on kinetic of cation exchange capacity. J. Ind. Eng. Chem. 2011, 17, 90–95. [Google Scholar] [CrossRef]
 - Khorshidi, M.; Lu, N.; Akin, I.D.; Likos, W.J. Intrinsic relationship between specific surface area and soil water retention. J. Geotech. Geoenvironmental Eng. 2017, 143, 04016078. [Google Scholar] [CrossRef]
 - Liu, L.; Pu, X.; Rong, K.; Yang, Y. Comb-shaped copolymer as filtrate loss reducer for water-based drilling fluid. J. Appl. Polym. Sci. 2018, 135, 45989. [Google Scholar] [CrossRef]
 - Lin, J.-J.; Cheng, I.-J.; Wang, R.; Lee, R.-J. Tailoring basal spacings of montmorillonite by poly (oxyalkylene) diamine intercalation. Macromolecules 2001, 34, 8832–8834. [Google Scholar] [CrossRef]
 - Zhang, F.; Sun, J.; Chang, X.; Xu, Z.; Zhang, X.; Huang, X.; Liu, J.; Lv, K. A novel environment-friendly natural extract for inhibiting shale hydration. Energy Fuels 2019, 33, 7118–7126. [Google Scholar] [CrossRef]
 - Jia, H.; Huang, P.; Wang, Q.; Han, Y.; Wang, S.; Zhang, F.; Pan, W.; Lv, K. Investigation of inhibition mechanism of three deep eutectic solvents as potential shale inhibitors in water-based drilling fluids. Fuel 2019, 244, 403–411. [Google Scholar] [CrossRef]
 - Sreedharan, V.; Sivapullaiah, P. Effect of organic modification on adsorption behaviour of bentonite. Indian Geotech. J. 2012, 42, 161–168. [Google Scholar] [CrossRef]
 - Xi, Y.; Ding, Z.; He, H.; Frost, R.L. Structure of organoclays—An X-ray diffraction and thermogravimetric analysis study. J. Colloid Interface Sci. 2004, 277, 116–120. [Google Scholar] [CrossRef]
 - Zhao, Z.; Pu, X.; Xiao, L.; Wang, G.; Su, J.; He, M. Synthesis and properties of high temperature resistant and salt tolerant filtrate reducer N, N-dimethylacrylamide 2-acrylamido-2-methyl-1-propyl dimethyl diallyl ammonium chloride N-vinylpyrrolidone quadripolymer. J. Polym. Eng. 2015, 35, 627–635. [Google Scholar] [CrossRef]
 - Al-Mutairi, S.; Mahmoud, M. Different techniques for characterizing the filter cake. In Proceedings of the SPE Unconventional Gas Conference and Exhibition, Muscat, Oman, 28–30 January 2013. [Google Scholar]
 - Uddin, F. Clays, nanoclays, and montmorillonite minerals. Metall. Mater. Trans. A 2008, 39, 2804–2814. [Google Scholar] [CrossRef]
 - Chu, Q.; Luo, P.; Zhao, Q.; Feng, J.; Kuang, X.; Wang, D. Application of a new family of organosilicon quadripolymer as a fluid loss additive for drilling fluid at high temperature. J. Appl. Polym. Sci. 2013, 128, 28–40. [Google Scholar] [CrossRef]
 














| Sample | Mn | Mw | Mz | Polydispersity | 
|---|---|---|---|---|
| LDMS | 1145 | 1325 | 1488 | 1.157 | 
| Driscal D Polymer | 108,114 | 626,763 | 1,786,768 | 5.797 | 
| Concentration/% | D10/μm | D50/μm | D90/μm | |||
|---|---|---|---|---|---|---|
| BHR | AHR | BHR | AHR | BHR | AHR | |
| 0 (Base fluid) | 2.42 | 2.19 | 20.0 | 9.35 | 113 | 74.9 | 
| 0.5 | 2.41 | 2.18 | 19.0 | 8.94 | 106 | 69.3 | 
| 1 | 2.41 | 1.99 | 18.5 | 6.73 | 105 | 30.2 | 
| 1.5 | 2.35 | 1.98 | 16.7 | 6.61 | 102 | 33.9 | 
| 2 | 2.33 | 2.23 | 16.6 | 7.38 | 99.6 | 17.7 | 
| 3 | 2.24 | 1.74 | 13.4 | 4.86 | 88.0 | 14.4 | 
Publisher’s Note: MDPI stays neutral with regard to jurisdictional claims in published maps and institutional affiliations.  | 
© 2022 by the authors. Licensee MDPI, Basel, Switzerland. This article is an open access article distributed under the terms and conditions of the Creative Commons Attribution (CC BY) license (https://creativecommons.org/licenses/by/4.0/).
Share and Cite
Dong, X.; Sun, J.; Huang, X.; Li, J.; Lv, K.; Zhang, P. Synthesis of a Low-Molecular-Weight Filtrate Reducer and Its Mechanism for Improving High Temperature Resistance of Water-Based Drilling Fluid Gel System. Gels 2022, 8, 619. https://doi.org/10.3390/gels8100619
Dong X, Sun J, Huang X, Li J, Lv K, Zhang P. Synthesis of a Low-Molecular-Weight Filtrate Reducer and Its Mechanism for Improving High Temperature Resistance of Water-Based Drilling Fluid Gel System. Gels. 2022; 8(10):619. https://doi.org/10.3390/gels8100619
Chicago/Turabian StyleDong, Xiaodong, Jinsheng Sun, Xianbin Huang, Jian Li, Kaihe Lv, and Pengxin Zhang. 2022. "Synthesis of a Low-Molecular-Weight Filtrate Reducer and Its Mechanism for Improving High Temperature Resistance of Water-Based Drilling Fluid Gel System" Gels 8, no. 10: 619. https://doi.org/10.3390/gels8100619
APA StyleDong, X., Sun, J., Huang, X., Li, J., Lv, K., & Zhang, P. (2022). Synthesis of a Low-Molecular-Weight Filtrate Reducer and Its Mechanism for Improving High Temperature Resistance of Water-Based Drilling Fluid Gel System. Gels, 8(10), 619. https://doi.org/10.3390/gels8100619
        
