Swelling and Mechanical Properties of Polyacrylamide-Derivative Dual-Crosslink Hydrogels Having Metal–Ligand Coordination Bonds as Transient Crosslinks
Abstract
1. Introduction
2. Results and Discussion
2.1. Dual-Crosslink Gels by One-Pot Synthesis
2.2. Dual-Crosslink Gels by the Diffusion Method
2.2.1. Absorption of Ni2+ Ions
2.2.2. Swelling of the Dual-Crosslink Gels and Effect of NaCl
2.3. Mechanical Properties of the Dual-Crosslink Gels
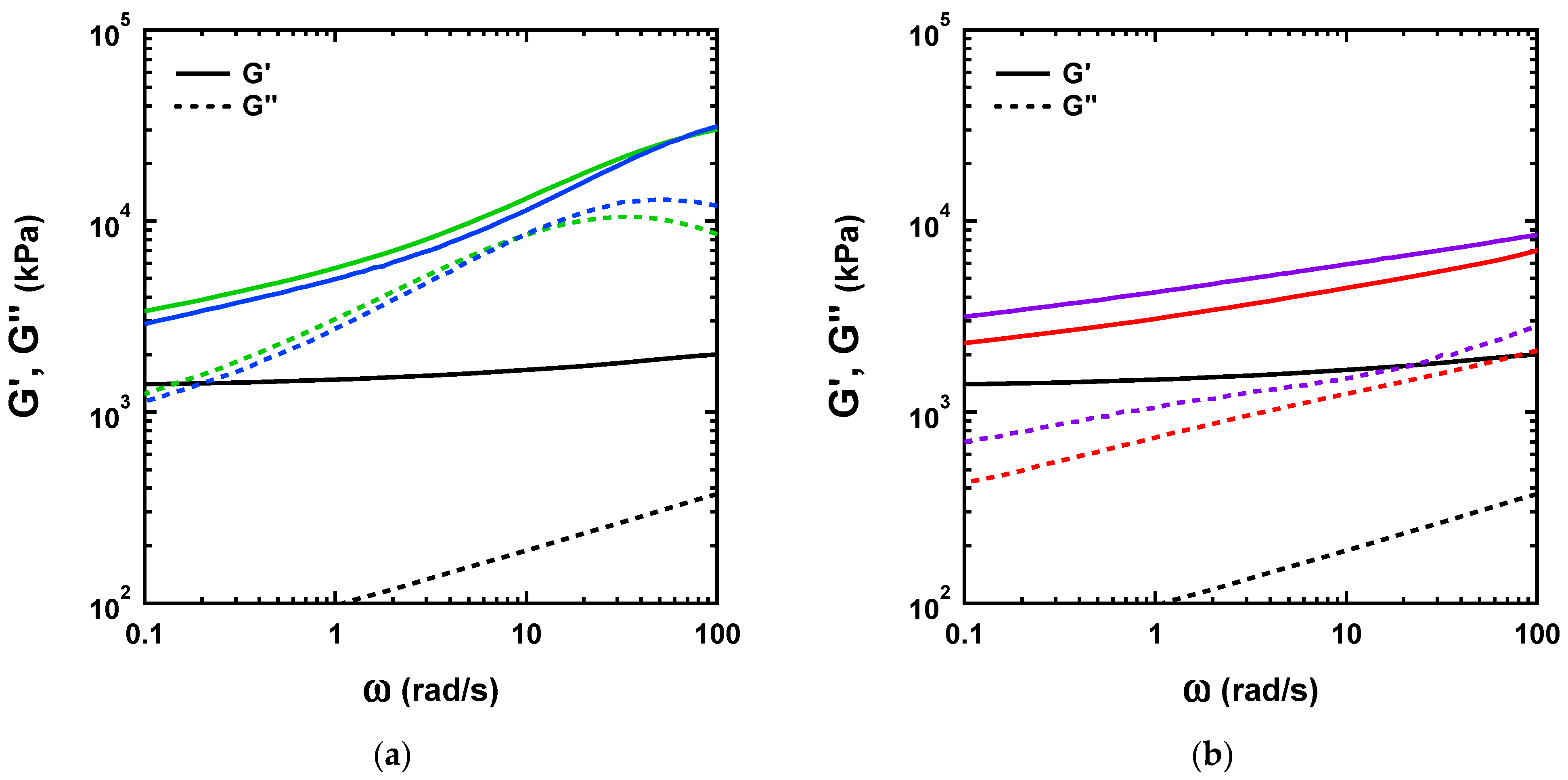
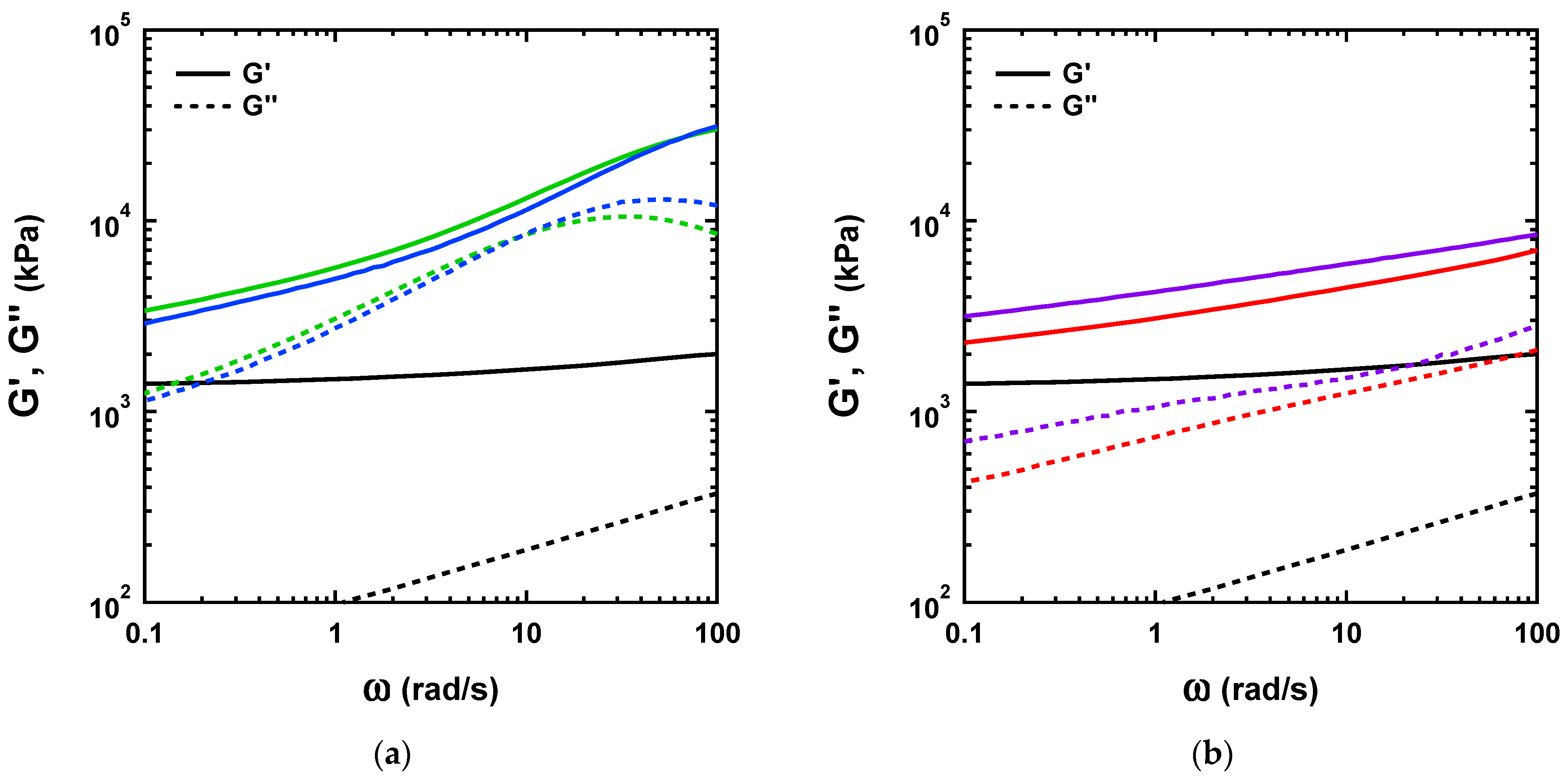
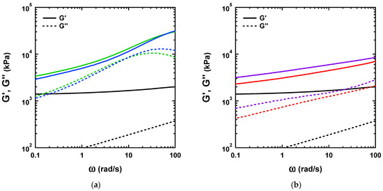
2.3.1. Linear Rheology
2.3.2. Uniaxial Tensile Tests
3. Conclusions
4. Materials and Methods
4.1. Materials
4.2. P(AAm-Co-VIm) Chemical Gel Synthesis
4.3. P(AAm-Co-VIm) Dual-Crosslink Gel Synthesis
4.3.1. One-Pot Synthesis
4.3.2. Diffusion Method
4.4. Linear Rheology: Small Strain Shear Tests
4.5. Nonlinear Mechanics: Uniaxial Tensile Tests
Author Contributions
Funding
Data Availability Statement
Conflicts of Interest
References
- Fuchs, S.; Shariati, K.; Ma, M. Specialty Tough Hydrogels and Their Biomedical Applications. Adv. Healthc. Mater. 2020, 9, e1901396. [Google Scholar] [CrossRef] [PubMed]
- Liu, Y.; He, W.; Zhang, Z.; Lee, B.P. Recent Developments in Tough Hydrogels for Biomedical Applications. Gels 2018, 4, 46. [Google Scholar] [CrossRef] [PubMed]
- Okumura, Y.; Ito, K. The polyrotaxane gel: A topological gel by figure-of-eight cross-links. Adv. Mater. 2001, 13, 485–487. [Google Scholar] [CrossRef]
- Gong, J.P.; Katsuyama, Y.; Kurokawa, T.; Osada, Y. Double-Network Hydrogels with Extremely High Mechanical Strength. Adv. Mater. 2003, 15, 1155–1158. [Google Scholar] [CrossRef]
- Sun, J.Y.; Zhao, X.; Illeperuma, W.R.K.; Chaudhuri, O.; Oh, K.H.; Mooney, D.J.; Vlassak, J.J.; Suo, Z. Highly stretchable and tough hydrogels. Nature 2012, 489, 133–136. [Google Scholar] [CrossRef] [PubMed]
- Lin, W.C.; Fan, W.; Marcellan, A.; Hourdet, D.; Creton, C. Large Strain and Fracture Properties of Poly (dimethylacrylamide)/Silica Hybrid Hydrogels. Macromolecules 2010, 43, 2554–2563. [Google Scholar] [CrossRef]
- Mayumi, K.; Marcellan, A.; Ducouret, G.; Creton, C.; Narita, T. Stress–Strain Relationship of Highly Stretchable Dual Cross-Link Gels: Separability of Strain and Time effect. ACS Macro Lett. 2013, 2, 1065–1068. [Google Scholar] [CrossRef]
- Tuncaboylu, D.C.; Sari, M.; Oppermann, W.; Okay, O. Tough and Self-Healing Hydrogels Formed via Hydrophobic Interactions. Macromolecules 2011, 44, 4997–5005. [Google Scholar] [CrossRef]
- Henderson, K.J.; Zhou, T.C.; Otim, K.J.; Shull, K.R. Ionically cross-linked triblock copolymer hydrogels with high strength. Macromolecules 2010, 43, 6193–6201. [Google Scholar] [CrossRef]
- Sun, T.L.; Kurokawa, T.; Kuroda, S.; Ihsan, A.B.; Akasaki, T.; Sato, K.; Haque, M.A.; Nakajima, T.; Gong, J.P. Physical hydrogels composed of polyampholytes demonstrate high toughness and viscoelasticity. Nat. Mater. 2013, 12, 932–937. [Google Scholar]
- Haraguchi, K.; Takehisa, T. Nanocomposite Hydrogels: A Unique Organic–Inorganic Network Structure with Extraordinary Mechanical, Optical, and Swelling/De-swelling Properties. Adv. Mater. 2002, 14, 1120–1124. [Google Scholar] [CrossRef]
- Holten-Andersen, N.; Harrington, M.J.; Birkedal, H.B.P.; Lee, P.B.; Messersmith, K.Y.; Lee, C.; Waite, J.H. pH-induced metal–ligand cross-links inspired by mussel yield self-healing polymer networks with near-covalent elastic moduli. Proc. Natl. Acad. Sci. USA 2011, 108, 2651–2655. [Google Scholar] [CrossRef] [PubMed]
- Fullenkamp, D.E.; He, L.; Barrett, D.G.; Burghardt, W.R.; Messersmith, P.B. Mussel-inspired histidine-based transient network metal coordination hydrogels. Macromolecules 2013, 46, 1167–1174. [Google Scholar] [CrossRef]
- Menyo, M.S.; Hawker, C.J.; Waite, J.H. Rate-Dependent Stiffness and Recovery in Interpenetrating Network Hydrogels through Sacrificial Metal Coordination Bonds. ACS Macro Lett. 2015, 4, 1200–1204. [Google Scholar] [CrossRef]
- Xu, Z.; Li, J.; Gao, G.; Wang, Z.; Cong, Y.; Chen, J.; Yin, J.; Nie, L.; Fu, J. Tough and self-recoverable hydrogels crosslinked by triblock copolymer micelles and Fe3+ coordination. J. Polym. Sci. B 2018, 56, 865–876. [Google Scholar] [CrossRef]
- Ahmadi, M.; Seiffert, S. Thermodynamic control over energy dissipation modes in dual-network hydrogels based on metal–ligand coordination. Soft Matter 2020, 16, 2332–2341. [Google Scholar] [CrossRef] [PubMed]
- Kean, Z.S.; Hawk, J.L.; Lin, S.; Zhao, X.; Sijbesma, R.P.; Craig, S.L. Increasing the Maximum Achievable Strain of a Covalent Polymer Gel Through the Addition of Mechanically Invisible Cross-Links. Adv. Mater. 2014, 26, 6013–6018. [Google Scholar] [CrossRef] [PubMed]
- Zhao, J.; Narita, T.; Creton, C. Dual Crosslink Hydrogels with Metal–Ligand Coordination Bonds: Tunable Dynamics and Mechanics Under Large Deformation. In Self-Healing and Self-Recovering Hydrogels; Creton, C., Okay, O., Eds.; Springer: Berlin, Germany, 2020; pp. 1–20. [Google Scholar]
- Anipsitakis, G.P.; Dionysiou, D.D. Radical Generation by the Interaction of Transition Metals with Common Oxidants. Environ. Sci. Technol. 2004, 38, 3705–3712. [Google Scholar] [CrossRef]
- LI, Q.; Barrett, D.G.; Messersmith, P.B.; Holten-Andersen, N. Controlling Hydrogel Mechanics via BioInspired Polymer−Nanoparticle Bond Dynamics. ACS Nano 2016, 10, 1317–1324. [Google Scholar] [CrossRef]
- Rose, S.; Marcellan, A.; Hourdet, D.; Creton, C.; Narita, T. Dynamics of Hybrid Polyacrylamide Hydrogels Containing Silica Nanoparticles Studied by Dynamic Light Scattering. Macromolecules 2013, 46, 4567–4574. [Google Scholar] [CrossRef]
- Sato, H.; Yui, M.; Yoshikawa, H. Ionic Diffusion Coefficients of Cs+, Pb2+, Sm3+, Ni2+, SeO42− 4 and TcO4− in Free Water Determined from Conductivity Measurements. J. Nucl. Sci. Technol. 1996, 33, 950–955. [Google Scholar] [CrossRef]
- Crank, J. The Mathematics of Diffusion, 2nd ed.; Clarendon Press: Oxford, UK, 1979; pp. 326–327. [Google Scholar]
- Shibayama, M.; Takeuchi, T.; Nomura, S. Swelling/Shrinking and Dynamic Light Scattering Studies on Chemically Cross-Linked Poly (vinyl alcohol) Gels in the Presence of Borate Ions. Macromolecules 1994, 27, 5350–5358. [Google Scholar] [CrossRef]
- Ahmadi, M.; Seiffert, S. Dynamic Model Metallo-Supramolecular Dual-Network Hydrogels with Independently Tunable Network Crosslinks. J. Polym. Sci. 2020, 58, 330–342. [Google Scholar] [CrossRef]









Publisher’s Note: MDPI stays neutral with regard to jurisdictional claims in published maps and institutional affiliations. |
© 2021 by the authors. Licensee MDPI, Basel, Switzerland. This article is an open access article distributed under the terms and conditions of the Creative Commons Attribution (CC BY) license (https://creativecommons.org/licenses/by/4.0/).
Share and Cite
Debertrand, L.; Zhao, J.; Creton, C.; Narita, T. Swelling and Mechanical Properties of Polyacrylamide-Derivative Dual-Crosslink Hydrogels Having Metal–Ligand Coordination Bonds as Transient Crosslinks. Gels 2021, 7, 72. https://doi.org/10.3390/gels7020072
Debertrand L, Zhao J, Creton C, Narita T. Swelling and Mechanical Properties of Polyacrylamide-Derivative Dual-Crosslink Hydrogels Having Metal–Ligand Coordination Bonds as Transient Crosslinks. Gels. 2021; 7(2):72. https://doi.org/10.3390/gels7020072
Chicago/Turabian StyleDebertrand, Louis, Jingwen Zhao, Costantino Creton, and Tetsuharu Narita. 2021. "Swelling and Mechanical Properties of Polyacrylamide-Derivative Dual-Crosslink Hydrogels Having Metal–Ligand Coordination Bonds as Transient Crosslinks" Gels 7, no. 2: 72. https://doi.org/10.3390/gels7020072
APA StyleDebertrand, L., Zhao, J., Creton, C., & Narita, T. (2021). Swelling and Mechanical Properties of Polyacrylamide-Derivative Dual-Crosslink Hydrogels Having Metal–Ligand Coordination Bonds as Transient Crosslinks. Gels, 7(2), 72. https://doi.org/10.3390/gels7020072

