Elucidating the Structure-Function Relationship of Solvent and Cross-Linker on Affinity-Based Release from Cyclodextrin Hydrogels
Abstract
1. Introduction
2. Results
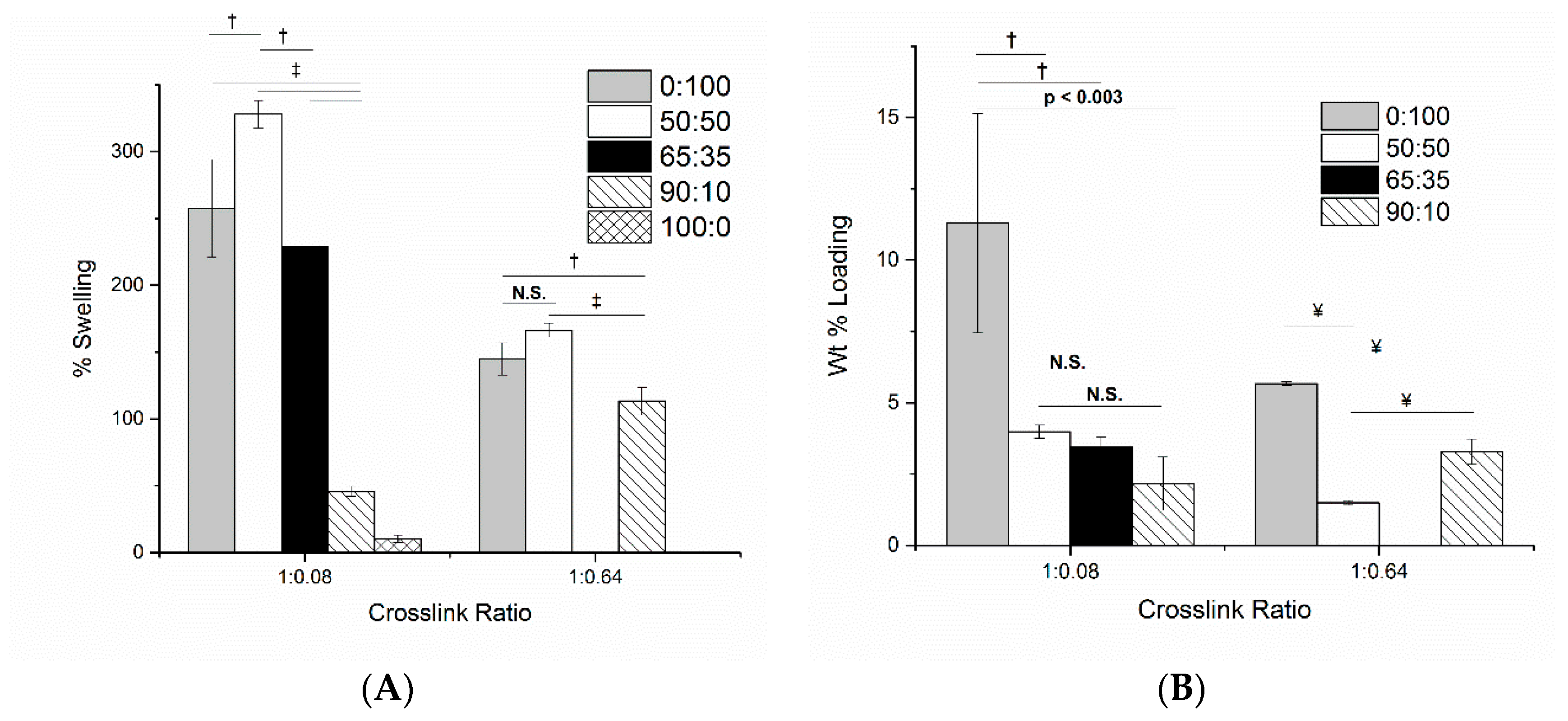
2.1. Equilibrium Water Content
2.2. Rheological Studies
3. Discussion
4. Conclusions
5. Materials and Methods
5.1. Materials
5.2. Polymerized CD (pCD) Synthesis
5.3. Equilibrium Water Content
5.4. Rheological Studies
5.5. Autodock Binding Simulation
5.6. Minocycline Loading
5.7. Minocycline Release
5.8. Zone of Inhibition Assay
5.9. Statistical Analysis
Author Contributions
Funding
Conflicts of Interest
References
- Bishburg, E.; Bishburg, K. Minocycline–an old drug for a new century: Emphasis on methicillin-resistant Staphylococcus aureus (MRSA) and Acinetobacter baumannii. Int. J. Antimicrob. Agents. 2009, 34, 395–401. [Google Scholar] [CrossRef]
- Bowker, K.E.; Noel, A.R.; MacGowan, A.P. Pharmacodynamics of Minocycline against Staphylococcus aureus in an In Vitro Pharmacokinetic Model. Antimicrob. Agents Chemother. 2008, 52, 4370–4373. [Google Scholar] [CrossRef]
- Tang, H.J.; Chen, C.C.; Ko, W.C.; Yu, W.L.; Chiang, S.R.; Chuang, Y.C. In vitro efficacy of antimicrobial agents against high-inoculum or biofilm-embedded methicillin-resistant Staphylococcus aureus with vancomycin minimal inhibitory concentrations equal to 2 μg/ml (VA2-MRSA). Int. J. Antimicrob. Agents 2011, 38, 46–51. [Google Scholar]
- Demetriades, A.K.; Bassi, S. Antibiotic resistant infections with antibiotic-impregnated Bactiseal catheters for ventriculoperitoneal shunts. Br. J. Neurosurg. 2011, 25, 671–673. [Google Scholar] [CrossRef]
- Bayston, R.; Grove, N.; Siegel, J.; Lawellin, D. Prevention of hydrocephalus shunt catheter colonization in vitro by impregnation with antimicrobials. J. Neurol. Neurosurg. Psychiatry 1989, 52, 605–609. [Google Scholar] [CrossRef] [PubMed]
- Fraenkel, D.; Rickard, C.; Thomas, P.; Faoagali, J.; George, N.; Ware, R. A prospective, randomized trial of rifampicin-minocycline-coated and silver-platinum-carbon-impregnated central venous catheters. Crit. Care Med. 2006, 34, 668–675. [Google Scholar] [CrossRef] [PubMed]
- Ejim, L.; Farha, M.A.; Falconer, S.B.; Wildenhain, J.; Coombes, B.K.; Tyers, M.; Brown, E.D.; Wright, G.D. Combinations of antibiotics and nonantibiotic drugs enhance antimicrobial efficacy. Nat. Chem. Biol. 2011, 7, 348–350. [Google Scholar] [CrossRef] [PubMed]
- Tan, T.Y.; Ng, L.S.Y.; Tan, E.; Huang, G. In vitro effect of minocycline and colistin combinations on imipenem-resistant Acinetobacter baumannii clinical isolates. J. Antimicrob. Chemother. 2007, 60, 421–423. [Google Scholar] [CrossRef]
- Wang, N.X.; von Recum, H.A. Affinity-Based Drug Delivery. Macromol. Biosci. 2010, 11, 321–332. [Google Scholar] [CrossRef]
- Halpern, J.M.; Gormley, C.A.; Keech, M.; von Recum, H.A. Thermomechanical properties, antibiotic release, and bioactivity of a sterilized cyclodextrin drug delivery system. J. Mater. Chem. B 2014, 2, 2764–2772. [Google Scholar] [CrossRef]
- Cyphert, E.L.; Zuckerman, S.T.; von Recum, H.A.; Korley, J.N. Affinity interactions drive post-implantation drug filling, even in the presence of bacterial biofilm. Acta Biomaterialia 2017, 57, 95–102. [Google Scholar] [CrossRef] [PubMed]
- Grafmiller, K.T.; Zuckerman, S.T.; Petro, C.; Liu, L.; von Recum, H.A.; Rosen, M.J.; Korley, J.N. Antibiotic-releasing microspheres prevent mesh infection in vivo. J. Surg. Res. 2016, 206, 41–47. [Google Scholar] [CrossRef] [PubMed]
- Thatiparti, T.R.; Shoffstall, A.J.; von Recum, H.A. Cyclodextrin-based device coatings for affinity-based release of antibiotics. Biomaterials 2010, 31, 2335–2347. [Google Scholar] [CrossRef] [PubMed]
- Cyphert, E.L.; Wallat, J.; Pokorski, J.; von Recum, H.A. Erythromycin Modification That Improves Its Acidic Stability while Optimizing It for Local Drug Delivery. Antibiotics 2017, 6, 11. [Google Scholar] [CrossRef]
- Harth, K.C.; Rosen, M.J.; Thatiparti, T.R.; Jacobs, M.R.; Halaweish, I.; Bajaksouzian, S.; Furlan, J.; von Recum, H.A. Antibiotic-Releasing Mesh Coating to Reduce Prosthetic Sepsis: An In Vivo Study. J. Surg. Res. 2010, 163, 337–343. [Google Scholar] [CrossRef]
- Thatiparti, T.R.; von Recum, H.A. Cyclodextrin Complexation for Affinity-Based Antibiotic Delivery. Macromol. Biosci. 2010, 10, 82–90. [Google Scholar] [CrossRef]
- Sugiura, I.; Komiyama, M.; Toshima, N. Immobilized β-Cyclodextrins. Preparation with Various Crosslinking Reagents and the Guest Binding Properties. Bull. Chem. Soc. Jpn. 1989, 62, 1643–1651. [Google Scholar] [CrossRef]
- Kiba, T.; Suzuki, H.; Hosokawa, K.; Kobayashi, H.; Baba, S.; Kakuchi, T.; Sato, S.I. Supramolecular J-Aggregate Assembly of a Covalently Linked Zinc Porphyrin-β-cyclodextrin Conjugate in a Water/Ethanol Binary Mixture. J. Phys. Chem. B 2009, 113, 11560–11563. [Google Scholar] [CrossRef]
- Pitha, J.; Hoshino, T. Effects of ethanol on formation of inclusion complexes of hydroxypropylcyclodextrins with testosterone or with methyl orange. Int. J. Pharm. 1992, 80, 243–251. [Google Scholar] [CrossRef]
- Nakajima, A. Effect of Ethanol on the Inclusion Complex Formation between β-Cyclodextrin and Pyrene. Bull. Chem. Soc. Jpn. 1984, 57, 1143–1144. [Google Scholar] [CrossRef]
- Charumanee, S.; Okonogi, S.; Sirithunyalug, J.; Wolschann, P.; Viernstein, H. Effect of Cyclodextrin Types and Co-Solvent on Solubility of a Poorly Water Soluble Drug. Sci. Pharm. 2016, 84, 694–704. [Google Scholar] [CrossRef] [PubMed]
- Rungnim, C.; Phunpee, S.; Kunaseth, M.; Namuangruk, S.; Rungsardthong, K.; Rungrotmongkol, T.; Ruktanonchai, U. Co-solvation effect on the binding mode of the α-mangostin/β-cyclodextrin inclusion complex. Beilstein J. Org. Chem. 2015, 11, 2306–2317. [Google Scholar] [CrossRef] [PubMed]
- Vulic, K.; Pakulska, M.M.; Sonthalia, R.; Ramachandran, A.; Shoichet, M.S. Mathematical model accurately predicts protein release from an affinity-based delivery system. J. Control Release 2015, 197, 69–77. [Google Scholar] [CrossRef] [PubMed]
- Blatnik, J.A.; Thatiparti, T.R.; Krpata, D.M.; Zuckerman, S.T.; Rosen, M.J.; von Recum, H.A. Infection prevention using affinity polymer-coated, synthetic meshes in a pig hernia model. J. Surg. Res. 2017, 219, 5–10. [Google Scholar] [CrossRef]
- Dallakyan, S.; Olson, A.J. Chemical Biology Methods and Protocols; Springer Protocols: Hertfordshire, UK, 2015. [Google Scholar]
- Trott, O.; Olson, A.J. AutoDock Vina: Improving the Speed and Accuracy of Docking with a New Scoring Function, Efficient Optimization, and Multithreading. J. Comput. Chem. 2010, 31, 455–461. [Google Scholar] [CrossRef]
- Honnorat-Benabbou, V.C.; Lebugle, A.A.; Sallek, B.; Duffaut-Lagarrigue, D. Stability of tetracyclines with respect to their use in slow release systems. J. Mater. Sci. Mater. Med. 2001, 12, 107–110. [Google Scholar] [CrossRef]







© 2020 by the authors. Licensee MDPI, Basel, Switzerland. This article is an open access article distributed under the terms and conditions of the Creative Commons Attribution (CC BY) license (http://creativecommons.org/licenses/by/4.0/).
Share and Cite
Zuckerman, S.T.; Rivera-Delgado, E.; Haley, R.M.; Korley, J.N.; von Recum, H.A. Elucidating the Structure-Function Relationship of Solvent and Cross-Linker on Affinity-Based Release from Cyclodextrin Hydrogels. Gels 2020, 6, 9. https://doi.org/10.3390/gels6010009
Zuckerman ST, Rivera-Delgado E, Haley RM, Korley JN, von Recum HA. Elucidating the Structure-Function Relationship of Solvent and Cross-Linker on Affinity-Based Release from Cyclodextrin Hydrogels. Gels. 2020; 6(1):9. https://doi.org/10.3390/gels6010009
Chicago/Turabian StyleZuckerman, Sean T., Edgardo Rivera-Delgado, Rebecca M. Haley, Julius N. Korley, and Horst A. von Recum. 2020. "Elucidating the Structure-Function Relationship of Solvent and Cross-Linker on Affinity-Based Release from Cyclodextrin Hydrogels" Gels 6, no. 1: 9. https://doi.org/10.3390/gels6010009
APA StyleZuckerman, S. T., Rivera-Delgado, E., Haley, R. M., Korley, J. N., & von Recum, H. A. (2020). Elucidating the Structure-Function Relationship of Solvent and Cross-Linker on Affinity-Based Release from Cyclodextrin Hydrogels. Gels, 6(1), 9. https://doi.org/10.3390/gels6010009

