Effect of Aromatic Amines on the Properties of Formaldehyde-Based Xerogels
Abstract
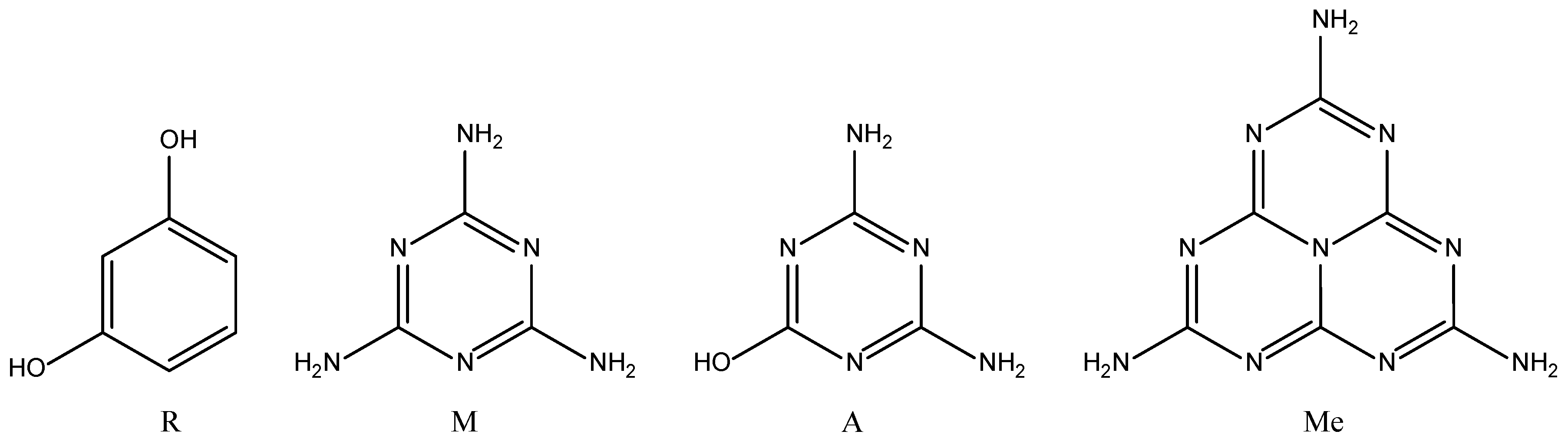
1. Introduction
2. Results and Discussion
2.1. Resorcinol–Melamine–Formaldehyde Gels
2.2. Melamine-Formaldehyde Gels
2.3. Ammeline-Formaldehyde Gels
2.4. Melem Composite Gels
3. Conclusions
4. Materials and Methods
4.1. Gel Formation
4.2. Melem Synthesis
4.3. Sample Characterisation
Author Contributions
Funding
Acknowledgments
Conflicts of Interest
Appendix A

References
- Pekala, R.W. Organic aerogels from the polycondensation of resorcinol with formaldehyde. J. Mater. Sci. 1989, 24, 3221–3227. [Google Scholar] [CrossRef]
- Principe, I.A.; Fletcher, A.J. Parametric study of factors affecting melamine-resorcinol-formaldehyde xerogels properties. Mater. Today Chem. 2018, 7, 5–14. [Google Scholar] [CrossRef]
- Principe, I.A.; Murdoch, B.; Flannigan, J.M.; Fletcher, A.J. Decoupling microporosity and nitrogen content to optimize CO2 adsorption in melamine–resorcinol–formaldehyde xerogels. Mater. Today Chem. 2018, 10, 195–205. [Google Scholar] [CrossRef]
- Pekala, R.W. Melamine-Formaldehyde Aerogels. U.S. 5081163; Other: PPN: US 7-684051; Other: PPN: US 7-684051; Patent and Trademark Office, Washington, DC, USA, 20232 PTO English, 14 January 1992. [Google Scholar]
- Al-Muhtaseb, S.A.; Ritter, J.A. Preparation and Properties of Resorcinol–Formaldehyde Organic and Carbon Gels. Adv. Mater. 2003, 15, 101–114. [Google Scholar] [CrossRef]
- El Khatat, A.M.; Al-Muhtaseb, S.A. Advances in Tailoring Resorcinol-Formaldehyde Organic and Carbon Gels. Adv. Mater. 2011, 23, 2887–2903. [Google Scholar] [CrossRef]
- Awadallah-F, A.; Al-Muhtaseb, S.A. Removal of crystal violet from wastewater using resorcinol-formaldehyde carbon xerogels. Sep. Sci. Technol. 2016, 51, 403–415. [Google Scholar] [CrossRef]
- Yan, M.; Wu, D.; Wang, T.; Jia, D. Nitrogen, phosphorus co-doped carbon obtained from amino acid based resin xerogel as efficient electrode for supercapacitor. ACS Appl. Energy Mater. 2019. [Google Scholar] [CrossRef]
- Bailón-García, E.; Maldonado-Hódar, F.J.; Carrasco-Marín, F.; Pérez-Cadenas, A.F.; Bosi, S.; Prato, M. The use of functionalized carbon xerogels in cells growth. Mater. Sci. Eng. 2019, 100, 598–607. [Google Scholar] [CrossRef]
- Song, T.; Liao, J.-M.; Xiao, J.; Shen, L.-H. Effect of micropore and mesopore structure on CO2 adsorption by activated carbons from biomass. New Carbon Mater. 2015, 30, 156–166. [Google Scholar] [CrossRef]
- Prostredný, M.; Abduljalil, M.; Mulheran, P.; Fletcher, A. Process Variable Optimization in the Manufacture of Resorcinol–Formaldehyde Gel Materials. Gels 2018, 4, 36. [Google Scholar] [CrossRef]
- Ruben, G.C.; Pekala, R.W. High-resolution transmission electron microscopy of the nanostructure of melamine-formaldehyde aerogels. J. Non-Crystal. Solids 1995, 186, 219–231. [Google Scholar] [CrossRef]
- Thommes, M.; Kaneko, K.; Neimark, A.V.; Olivier, J.P.; Rodriguez-Reinoso, F.; Rouquerol, J.; Sing, K.S.W. Physisorption of gases, with special reference to the evaluation of surface area and pore size distribution (IUPAC Technical Report). Pure Appl. Chem. 2015, 87, 1051–1069. [Google Scholar] [CrossRef]
- Jahromi, S. Storage stability of melamine-formaldehyde resin solutions, 1. The mechanism of instability. Macromol. Chem. Phys. 1999, 200, 2230–2239. [Google Scholar] [CrossRef]
- Peer, H.G. The reaction of phenol with formaldehyde: II. The ratio of ortho- and para-hydroxymethylphenol in the base-catalyzed hydroxymethylation of phenol. Recl Trav. Chim. Pays-Bas 1959, 78, 851–863. [Google Scholar] [CrossRef]
- Schwarzer, A.; Böhme, U.; Kroke, E. Use of Melem as a Nucleophilic Reagent to Form the Triphthalimide C6N7 (phthal)3—New Targets and Prospects. Chem. A Eur. J. 2012, 18, 12052–12058. [Google Scholar] [CrossRef] [PubMed]
- Spasskaya, R.I.; Finkel’Shtein, A.I.; Zil’Berman, E.N.; Gal’Perin, V.A. ChemInform Abstract: Reaction of melem with formaldehyde. Chem. Inform. 1976, 7. [Google Scholar] [CrossRef]
- Sattler, A.; Schönberger, S.; Schnick, W. Melemium Methylsulfonates HC6N7(NH2)3H2C6N7(NH2)3(SO3Me)3·H2O and H2C6N7(NH2)3(SO3Me)2·H2O. Z. Anorg. Allg. Chem. 2010, 636, 476–482. [Google Scholar] [CrossRef]
- Jürgens, B.; Irran, E.; Senker, J.; Kroll, P.; Müller, H.; Schnick, W. Melem (2,5,8-Triamino-tri-s-triazine), an Important Intermediate during Condensation of Melamine Rings to Graphitic Carbon Nitride: Synthesis, Structure Determination by X-ray Powder Diffractometry, Solid-State NMR, and Theoretical Studies. J. Am. Chem. Soc. 2003, 125, 10288–10300. [Google Scholar] [CrossRef]
- Brunauer, S.; Emmett, P.H.; Teller, E. Adsorption of gases in multimolecular layers. J. Am. Chem. Soc. 1938, 60, 309–319. [Google Scholar] [CrossRef]
- Rouquerol, J.; Llewellyn, P.; Rouquerol, F. Is the BET equation applicable to microporous adsorbents? Stud. Surf. Sci. Catal. 2007, 160, 49–56. [Google Scholar] [CrossRef]
- Lippens, B.C.; de Boer, J.H. Studies on pore systems in catalysts: V. The t method. J. Catal. 1965, 4, 319–323. [Google Scholar] [CrossRef]
- Barrett, E.P.; Joyner, L.G.; Halenda, P.P. The Determination of Pore Volume and Area Distributions in Porous Substances. I. Computations from Nitrogen Isotherms. J. Am. Chem. Soc. 1951, 73, 373–380. [Google Scholar] [CrossRef]









| [M] % | SBET [m2/g] | VT [cm3/g] | Vµ [cm3/g] | [nm] |
|---|---|---|---|---|
| 1 | 3 | - | - | 37 |
| 5 | 200 | 0.57 | 0.034 | 15 |
| 10 | 20 | 0.07 | 0.003 | 19 |
| [M] % | SBET [m2/g] | VT [cm3/g] | Vµ [cm3/g] | [nm] |
|---|---|---|---|---|
| 1 | 1 | - | - | - |
| 10 | 400 | 0.65 | 0.058 | 8 |
| 20 | 500 | 0.26 | 0.089 | 3 |
| 30 | 400 | 0.23 | 0.086 | 3 |
| 40 | 300 | 0.15 | 0.052 | 3 |
| 50 | 5 | - | 0.002 | 2 |
| 60 | 10 | 0.01 | 0.004 | 10 |
| 70 | 20 | 0.01 | 0.003 | 4 |
| 80 | 4 | - | - | 6 |
| 90 | - | - | - | - |
| M/C Ratio | SBET [m2/g] | VT [cm3/g] | Vµ [cm3/g] | [nm] |
|---|---|---|---|---|
| 25 | 20 | 0.016 | 0.001 | 3 |
| 50 | 10 | 0.013 | 0.001 | 3 |
| 100 | 50 | 0.061 | - | 4 |
| 300 | 7 | 0.006 | - | 3 |
| 600 | 1 | 0.003 | - | 4 |
| A/C Ratio | SBET [m2/g] | VT [cm3/g] | Vµ [cm3/g] | [nm] |
|---|---|---|---|---|
| 100 | 30 | 0.122 | 0.003 | 19 |
| 300 | 30 | 0.102 | - | 17 |
| 500 | 30 | 0.113 | - | 17 |
| Sample Name | SBET [m2/g] | VT [cm3/g] | Vµ [cm3/g] | [nm] |
|---|---|---|---|---|
| RMeF [Me] = 5% | - | - | - | - |
| RMeF [Me] = 10% | - | - | - | - |
| RMeF [Me] = 20% | - | - | - | - |
| MMeF [Me] = 5% | 20 | 0.018 | - | 4 |
| MMeF [Me] = 20% | 50 | 0.050 | - | 5 |
© 2020 by the authors. Licensee MDPI, Basel, Switzerland. This article is an open access article distributed under the terms and conditions of the Creative Commons Attribution (CC BY) license (http://creativecommons.org/licenses/by/4.0/).
Share and Cite
Martin, D.; Prostredný, M.; Fletcher, A.J. Effect of Aromatic Amines on the Properties of Formaldehyde-Based Xerogels. Gels 2020, 6, 8. https://doi.org/10.3390/gels6010008
Martin D, Prostredný M, Fletcher AJ. Effect of Aromatic Amines on the Properties of Formaldehyde-Based Xerogels. Gels. 2020; 6(1):8. https://doi.org/10.3390/gels6010008
Chicago/Turabian StyleMartin, David, Martin Prostredný, and Ashleigh J. Fletcher. 2020. "Effect of Aromatic Amines on the Properties of Formaldehyde-Based Xerogels" Gels 6, no. 1: 8. https://doi.org/10.3390/gels6010008
APA StyleMartin, D., Prostredný, M., & Fletcher, A. J. (2020). Effect of Aromatic Amines on the Properties of Formaldehyde-Based Xerogels. Gels, 6(1), 8. https://doi.org/10.3390/gels6010008

