Alginate-Based Hydrogel Bead Reinforced with Montmorillonite Clay and Bacterial Cellulose-Activated Carbon as an Effective Adsorbent for Removing Dye from Aqueous Solution
Abstract
1. Introduction
2. Results and Discussion
2.1. Characterization of Adsorbents
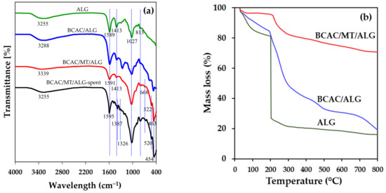
2.1.1. FTIR Analysis
2.1.2. Thermogravimetric and Mechanical Properties Analyses
2.1.3. Surface Area and Pore Size Analyses
2.1.4. FE-SEM Analysis
2.2. Comparison of Adsorption Uptakes of Adsorbents for Removal of MB
2.3. Effect of pH
2.4. Effect of Initial MB Concentration and Contact Time
2.5. Adsorption Kinetics
2.6. Equilibrium Isotherm Models
2.7. Reusability of the Hydrogel Beads
3. Conclusions
4. Materials and Methods
4.1. Chemicals
4.2. Preparation of BCAC
4.3. Preparation of BCAC/MT/ALG Hydrogel Beads
4.4. Characterization
4.5. Adsorption of Methylene Blue
4.6. Kinetic Model Study
4.7. Adsorption Isotherm Study
4.8. Reusability Study
Supplementary Materials
Author Contributions
Funding
Institutional Review Board Statement
Informed Consent Statement
Data Availability Statement
Conflicts of Interest
References
- Ndagijimana, P.; Liu, X.; Xu, Q.; Lai, D.; Wang, G.; Pan, B.; Wang, Y. Cassava flour extracts solution to induce gelatin cross-linked activated carbon-graphene oxide composites: The adsorption performance of dyes from aqueous media. Environ. Adv. 2021, 5, 100079. [Google Scholar] [CrossRef]
- Soffian, M.S.; Abdul Halim, F.Z.; Aziz, F.; Rahman, M.A.; Mohamed Amin, M.A.; Awang Chee, D.N. Carbon-based material derived from biomass waste for wastewater treatment. Environ. Adv. 2022, 9, 100259. [Google Scholar] [CrossRef]
- Khatri, M.; Ahmed, F.E.; Al-Juboori, R.A.; Khanzada, N.K.; Hilal, N. Reusable environmentally friendly electrospun cellulose acetate/cellulose nanocrystals nanofibers for methylene blue removal. J. Environ. Chem. Eng. 2024, 12, 111788. [Google Scholar] [CrossRef]
- Nasrullah, A.; Bhat, A.H.; Naeem, A.; Isa, M.H.; Danish, M. High surface area mesoporous activated carbon-alginate beads for efficient removal of methylene blue. Int. J. Biol. Macromol. 2018, 107, 1792–1799. [Google Scholar] [CrossRef] [PubMed]
- Peighambardoust, S.J.; Aghamohammadi-Bavil, O.; Foroutan, R.; Arsalani, N. Removal of malachite green using carboxymethyl cellulose-g-polyacrylamide/montmorillonite nanocomposite hydrogel. Int. J. Biol. Macromol. 2020, 159, 1122–1131. [Google Scholar] [CrossRef] [PubMed]
- Yaqub, A.; Syed, S.M.; Ajab, H.; Zia Ul Haq, M. Activated carbon derived from Dodonaea Viscosa into beads of calcium-alginate for the sorption of methylene blue (MB): Kinetics, equilibrium and thermodynamics. J. Environ. Manag. 2023, 327, 116925. [Google Scholar] [CrossRef] [PubMed]
- El-Kousy, S.M.; El-Shorbagy, H.G.; El-Ghaffar, M.A.A. Chitosan/montmorillonite composites for fast removal of methylene blue from aqueous solutions. Mater. Chem. Phys. 2020, 254, 123236. [Google Scholar] [CrossRef]
- Zhang, F.; Chen, X.; Wang, C.; Liu, X. Molten salt synthesis of gadolinium boride nanocrystals suitable for methyl blue removal. Environ. Adv. 2021, 4, 100055. [Google Scholar] [CrossRef]
- Ullah, N.; Ali, Z.; Ullah, S.; Khan, A.S.; Adalat, B.; Nasrullah, A.; Alsaadi, M.; Ahmad, Z. Synthesis of activated carbon-surfactant modified montmorillonite clay-alginate composite membrane for methylene blue adsorption. Chemosphere 2022, 309, 136623. [Google Scholar] [CrossRef]
- Kazemi, J.; Javanbakht, V. Alginate beads impregnated with magnetic Chitosan@Zeolite nanocomposite for cationic methylene blue dye removal from aqueous solution. Int. J. Biol. Macromol. 2020, 154, 1426–1437. [Google Scholar] [CrossRef]
- Mallakpour, S.; Behranvand, V. Methylene blue contaminated water sanitization with alginate/compact discs waste-derived activated carbon composite beads: Adsorption studies. Int. J. Biol. Macromol. 2021, 180, 28–35. [Google Scholar] [CrossRef] [PubMed]
- Hassan, A.F.; Abdel-Mohsen, A.M.; Fouda, M.M. Comparative study of calcium alginate, activated carbon, and their composite beads on methylene blue adsorption. Carbohydr. Polym. 2014, 102, 192–198. [Google Scholar] [CrossRef] [PubMed]
- Kausar, A.; Rehman, S.U.; Khalid, F.; Bonilla-Petriciolet, A.; Mendoza-Castillo, D.I.; Bhatti, H.N.; Ibrahim, S.M.; Iqbal, M. Cellulose, clay and sodium alginate composites for the removal of methylene blue dye: Experimental and DFT studies. Int. J. Biol. Macromol. 2022, 209, 576–585. [Google Scholar] [CrossRef] [PubMed]
- Minisy, I.M.; Salahuddin, N.A.; Ayad, M.M. Adsorption of methylene blue onto chitosan–montmorillonite/polyaniline nanocomposite. Appl. Clay Sci. 2021, 203, 105993. [Google Scholar] [CrossRef]
- Wang, S.; Wang, Y.; Wang, X.; Sun, S.; Zhang, Y.; Jiao, W.; Lin, D. Study on Adsorption of Cd in Solution and Soil by Modified Biochar–Calcium Alginate Hydrogel. Gels 2024, 10, 388. [Google Scholar] [CrossRef]
- Abbaz, A.; Arris, S.; Viscusi, G.; Ayat, A.; Aissaoui, H.; Boumezough, Y. Adsorption of Safranin O Dye by Alginate/Pomegranate Peels Beads: Kinetic, Isotherm and Thermodynamic Studies. Gels 2023, 9, 916. [Google Scholar] [CrossRef]
- Qian, Z.; Wang, M.; Li, J.; Chu, Z.; Tang, W.; Chen, C. Preparation and Adsorption Photocatalytic Properties of PVA/TiO2 Colloidal Photonic Crystal Films. Gels 2024, 10, 520. [Google Scholar] [CrossRef]
- de Araujo, T.P.; Quesada, H.B.; Dos Santos, D.F.; da Silva Fonseca, B.C.; Barbieri, J.Z.; Bergamasco, R.; de Barros, M. Acetaminophen removal by calcium alginate/activated hydrochar composite beads: Batch and fixed-bed studies. Int. J. Biol. Macromol. 2022, 203, 553–562. [Google Scholar] [CrossRef]
- Ullah, K.; Khan, S.; Khan, M.; Rahman, Z.U.; Al-Ghamdi, Y.O.; Mahmood, A.; Hussain, S.; Khan, S.B.; Khan, S.A. A bioresource catalyst system of alginate-starch-activated carbon microsphere templated Cu nanoparticles: Potentials in nitroarenes hydrogenation and dyes discoloration. Int. J. Biol. Macromol. 2022, 222, 887–901. [Google Scholar] [CrossRef]
- Hashem, A.; Aniagor, C.O.; Nasr, M.F.; Abou-Okeil, A. Efficacy of treated sodium alginate and activated carbon fibre for Pb(II) adsorption. Int. J. Biol. Macromol. 2021, 176, 201–216. [Google Scholar] [CrossRef]
- Benhouria, A.; Islam, M.A.; Zaghouane-Boudiaf, H.; Boutahala, M.; Hameed, B.H. Calcium alginate–bentonite–activated carbon composite beads as highly effective adsorbent for methylene blue. Chem. Eng. J. 2015, 270, 621–630. [Google Scholar] [CrossRef]
- Mundkur, N.; Khan, A.S.; Khamis, M.I.; Ibrahim, T.H.; Nancarrow, P. Synthesis and characterization of clay-based adsorbents modified with alginate, surfactants, and nanoparticles for methylene blue removal. Environ. Nanotechnol. Monit. Manag. 2022, 17, 100644. [Google Scholar] [CrossRef]
- Akin, K.; Ugraskan, V.; Isik, B.; Cakar, F. Adsorptive removal of crystal violet from wastewater using sodium alginate-gelatin-montmorillonite ternary composite microbeads. Int. J. Biol. Macromol. 2022, 223, 543–554. [Google Scholar] [CrossRef] [PubMed]
- Das, L.; Das, P.; Bhowal, A.; Bhattachariee, C. Treatment of malachite green dye containing solution using bio-degradable Sodium alginate/NaOH treated activated sugarcane baggsse charcoal beads: Batch, optimization using response surface methodology and continuous fixed bed column study. J. Environ. Manag. 2020, 276, 111272. [Google Scholar] [CrossRef] [PubMed]
- Pawar, R.R.; Lalhmunsiama; Ingole, P.G.; Lee, S.M. Use of activated bentonite-alginate composite beads for efficient removal of toxic Cu2+ and Pb2+ ions from aquatic environment. Int. J. Biol. Macromol. 2020, 164, 3145–3154. [Google Scholar] [CrossRef]
- Pham, T.H.; Chu, T.T.H.; Nguyen, D.K.; Le, T.K.O.; Obaid, S.A.; Alharbi, S.A.; Kim, J.; Nguyen, M.V. Alginate-modified biochar derived from rice husk waste for improvement uptake performance of lead in wastewater. Chemosphere 2022, 307, 135956. [Google Scholar] [CrossRef]
- Teijido, R.; Zhang, Q.; Blanco, M.; Pérez-Álvarez, L.; Lanceros-Méndez, S.; Vilas-Vilela, J.L.; Ruiz-Rubio, L. Graphene-Enhanced Methacrylated Alginate Gel Films for Sustainable Dye Removal in Water Purification. Gels 2024, 10, 25. [Google Scholar] [CrossRef]
- Joseph, B.; Sagarika, V.K.; Sabu, C.; Kalarikkal, N.; Thomas, S. Cellulose nanocomposites: Fabrication and biomedical applications. J. Bioresour. Bioprod. 2020, 5, 223–237. [Google Scholar] [CrossRef]
- Cazón, P.; Vázquez, M. Improving bacterial cellulose films by ex-situ and in-situ modifications: A review. Food Hydrocoll. 2021, 113, 106514. [Google Scholar] [CrossRef]
- Potivara, K.; Phisalaphong, M. Development and Characterization of Bacterial Cellulose Reinforced with Natural Rubber. Materials 2019, 12, 2323. [Google Scholar] [CrossRef]
- Athukoralalage, S.S.; Balu, R.; Dutta, N.K.; Roy Choudhury, N. 3D Bioprinted Nanocellulose-Based Hydrogels for Tissue Engineering Applications: A Brief Review. Polymers 2019, 11, 898. [Google Scholar] [CrossRef] [PubMed]
- Alamin, N.U.; Khan, A.S.; Nasrullah, A.; Iqbal, J.; Ullah, Z.; Din, I.U.; Muhammad, N.; Khan, S.Z. Activated carbon-alginate beads impregnated with surfactant as sustainable adsorbent for efficient removal of methylene blue. Int. J. Biol. Macromol. 2021, 176, 233–243. [Google Scholar] [CrossRef]
- Durrani, W.Z.; Nasrullah, A.; Khan, A.S.; Fagieh, T.M.; Bakhsh, E.M.; Akhtar, K.; Khan, S.B.; Din, I.U.; Khan, M.A.; Bokhari, A. Adsorption efficiency of date palm based activated carbon-alginate membrane for methylene blue. Chemosphere 2022, 302, 134793. [Google Scholar] [CrossRef] [PubMed]
- Mani, D.; Elango, D.; Priyadharsan, A.; Al-Humaid, L.A.; Al-Dahmash, N.D.; Ragupathy, S.; Jayanthi, P.; Ahn, Y.-H. Groundnut shell chemically treated with KOH to prepare inexpensive activated carbon: Methylene blue adsorption and equilibrium isotherm studies. Environ. Res. 2023, 231, 116026. [Google Scholar] [CrossRef]
- Yakout, S.M.; Sharaf El-Deen, G. Characterization of activated carbon prepared by phosphoric acid activation of olive stones. Arab. J. Chem. 2016, 9, S1155–S1162. [Google Scholar] [CrossRef]
- Khamkeaw, A.; Jongsomjit, B.; Robison, J.; Phisalaphong, M. Activated carbon from bacterial cellulose as an effective adsorbent for removing dye from aqueous solution. Sep. Sci. Technol. 2018, 54, 2180–2193. [Google Scholar] [CrossRef]
- Ren, H.-P.; Tian, S.-P.; Zhu, M.; Zhao, Y.-Z.; Li, K.-X.; Ma, Q.; Ding, S.-Y.; Gao, J.; Miao, Z. Modification of montmorillonite by Gemini surfactants with different chain lengths and its adsorption behavior for methyl orange. Appl. Clay Sci. 2018, 151, 29–36. [Google Scholar] [CrossRef]
- Rong, N.; Chen, C.; Ouyang, K.; Zhang, K.; Wang, X.; Xu, Z. Adsorption characteristics of directional cellulose nanofiber/chitosan/montmorillonite aerogel as adsorbent for wastewater treatment. Sep. Purif. Technol. 2021, 274, 119120. [Google Scholar] [CrossRef]
- Wang, J.; Wang, W.; Ai, Z.; Li, M.; Li, H.; Peng, W.; Zhao, Y.; Song, S. Adsorption toward Pb(II) occurring on three-dimensional reticular-structured montmorillonite hydrogel surface. Appl. Clay Sci. 2021, 210, 106153. [Google Scholar] [CrossRef]
- Deepika, R.; Sethuraman, M.G. Pd-ZnO nanoparticles decorated acid activated montmorillonite for the efficient removal of cationic dyes from water. J. Mol. Struct. 2023, 1278, 134910. [Google Scholar] [CrossRef]
- Zeng, Y.; Tang, X.; Qin, Y.; Maimaiti, A.; Zhou, X.; Guo, Y.; Liu, X.; Zhang, W.; Gao, J.; Zhang, L. Enhanced removal of methylene blue from wastewater by alginate/carboxymethyl cellulose-melamine sponge composite. Int. J. Biol. Macromol. 2023, 244, 125280. [Google Scholar] [CrossRef] [PubMed]
- Goswami, R.; Gogoi, M.; Borah, A.; Sarmah, H.; Ingole, P.G.; Hazarika, S. Functionalized activated carbon and carbon nanotube hybrid membrane with enhanced antifouling activity for removal of cationic dyes from aqueous solution. Environ. Nanotechnol. Monit. Manag. 2021, 16, 100492. [Google Scholar] [CrossRef]
- Jabbar, N.M.; Salman, S.D.; Rashid, I.M.; Mahdi, Y.S. Removal of an anionic Eosin dye from aqueous solution using modified activated carbon prepared from date palm fronds. Chem. Data Collect. 2022, 42, 100965. [Google Scholar] [CrossRef]
- Tong, D.S.; Wu, C.W.; Adebajo, M.O.; Jin, G.C.; Yu, W.H.; Ji, S.F.; Zhou, C.H. Adsorption of methylene blue from aqueous solution onto porous cellulose-derived carbon/montmorillonite nanocomposites. Appl. Clay Sci. 2018, 161, 256–264. [Google Scholar] [CrossRef]
- Kitsawat, V.; Siri, S.; Phisalaphong, M. Electrically Conductive Natural Rubber Composite Films Reinforced with Graphite Platelets. Polymers 2024, 16, 288. [Google Scholar] [CrossRef]
- Yim, Y.-J.; Kim, B.-J. Preparation and Characterization of Activated Carbon/Polymer Composites: A Review. Polymers 2023, 15, 3472. [Google Scholar] [CrossRef]
- Marangoni Júnior, L.; Rodrigues, P.R.; Silva, R.G.d.; Vieira, R.P.; Alves, R.M.V. Improving the mechanical properties and thermal stability of sodium alginate/hydrolyzed collagen films through the incorporation of SiO2. Curr. Res. Food Sci. 2022, 5, 96–101. [Google Scholar] [CrossRef]
- Thommes, M.; Kaneko, K.; Neimark, A.V.; Olivier, J.P.; Rodriguez-Reinoso, F.; Rouquerol, J.; Sing, K.S.W. Physisorption of gases, with special reference to the evaluation of surface area and pore size distribution (IUPAC Technical Report). Pure Appl. Chem. 2015, 87, 1051–1069. [Google Scholar] [CrossRef]
- Liu, C.; Omer, A.M.; Ouyang, X.K. Adsorptive removal of cationic methylene blue dye using carboxymethyl cellulose/k-carrageenan/activated montmorillonite composite beads: Isotherm and kinetic studies. Int. J. Biol. Macromol. 2018, 106, 823–833. [Google Scholar] [CrossRef]
- Peretz, S.; Anghel, D.F.; Vasilescu, E.; Florea-Spiroiu, M.; Stoian, C.; Zgherea, G. Synthesis, characterization and adsorption properties of alginate porous beads. Polym. Bull. 2015, 72, 3169–3182. [Google Scholar] [CrossRef]
- Miyah, Y.; Benjelloun, M.; Lahrichi, A.; Mejbar, F.; Iaich, S.; El Mouhri, G.; Kachkoul, R.; Zerrouq, F. Highly-efficient treated oil shale ash adsorbent for toxic dyes removal: Kinetics, isotherms, regeneration, cost analysis and optimization by experimental design. J. Environ. Chem. Eng. 2021, 9, 106694. [Google Scholar] [CrossRef]
- Langmuir, I. The Constitution and Fundamental Properties of Solids and Liquids. Ii. Liquids.1. J. Am. Chem. Soc. 2002, 39, 1848–1906. [Google Scholar] [CrossRef]
- Freundlich, H. Ueber die adsorption in loesungen. Z. Phys. Chem. 1907, 57, 385–470. [Google Scholar] [CrossRef]
- Redlich, O.; Peterson, D.L. A Useful Adsorption Isotherm. J. Phys. Chem. 1959, 63, 1024. [Google Scholar] [CrossRef]
- Dubinin, M.M.; Radushkevich, L.V. The equation of the characteristic curve of the activated charcoal. Proc. Acad. Sci. USSR Phys. Chem. Sect. 1947, 55, 331–337. [Google Scholar]
- Khamkeaw, A.; Phanthang, L.; Jongsomjit, B.; Phisalaphong, M. Activated carbon derived from bacterial cellulose and its use as catalyst support for ethanol conversion to ethylene. Catal. Commun. 2019, 129, 105750. [Google Scholar] [CrossRef]
- Subbaiah Munagapati, V.; Wen, H.-Y.; Gollakota, A.R.K.; Wen, J.-C.; Andrew Lin, K.-Y.; Shu, C.-M.; Mallikarjuna Reddy, G.; Zyryanov, G.V.; Wen, J.-H.; Tian, Z. Removal of sulfonated azo Reactive Red 195 textile dye from liquid phase using surface-modified lychee (Litchi chinensis) peels with quaternary ammonium groups: Adsorption performance, regeneration, and mechanism. J. Mol. Liq. 2022, 368, 120657. [Google Scholar] [CrossRef]
- Lagergren, S.K. About the Theory of So-called Adsorption of Soluble Substances. Sven. Vetenskapsakad. Handingarl 1898, 24, 1–39. [Google Scholar]
- Ho, Y.S.; McKay, G. Pseudo-second order model for sorption processes. Process Biochem. 1999, 34, 451–465. [Google Scholar] [CrossRef]








| Sample | Tensile Strength (MPa) | Young’s Modulus (MPa) | Elongation (%) |
|---|---|---|---|
| ALG | 7.39 ± 2.75 | 31.87 ± 15.73 | 89.46 ± 14.85 |
| BCAC/ALG | 15.72 ± 2.59 | 141.14 ± 35.32 | 19.71 ± 3.50 |
| BCAC/MT/ALG | 9.08 ± 0.44 | 69.90 ± 7.08 | 30.17 ± 2.99 |
| Sample | 1 SBET (m2/g) | Pore Volume (cm3/g) | 5 Dp (nm) | ||
|---|---|---|---|---|---|
| 2 Vmicro | 3 Vmeso | 4 VT | |||
| ALG | 287.0 | 0.010 | 4.820 | 4.830 | 67.3 |
| BCAC/ALG | 387.9 | 0.036 | 2.484 | 2.520 | 25.9 |
| BCAC/MT/ALG | 335.5 | 0.018 | 3.622 | 3.640 | 43.4 |
| C0 (mg/L) | qexp (mg/L) | Pseudo-First-Order | Pseudo-Second-Order | ||||
|---|---|---|---|---|---|---|---|
| k1 (1/min) | qcal (mg/g) | R2 | k2 (g/mg.min) | qcal (mg/g) | R2 | ||
| 50 | 97.76 | 1.9791 | 91.75 | 0.951 | 0.0317 | 97.12 | 0.991 |
| 100 | 195.64 | 1.6265 | 180.47 | 0.943 | 0.0127 | 192.43 | 0.988 |
| 150 | 288.48 | 1.4826 | 263.62 | 0.962 | 0.0077 | 282.14 | 0.995 |
| 300 | 501.78 | 1.2880 | 459.14 | 0.953 | 0.0038 | 493.09 | 0.992 |
| 450 | 592.74 | 0.9425 | 546.25 | 0.973 | 0.0022 | 594.64 | 0.997 |
| 600 | 678.16 | 0.9219 | 618.48 | 0.956 | 0.0020 | 670.88 | 0.992 |
| Isotherm Model | Parameter | Value | R2 |
|---|---|---|---|
| Langmuir | qm (mg/g) | 719.17 | 0.921 |
| KL (L/mg) | 0.0541 | ||
| Freundlich | n | 3.6094 | 0.991 |
| KF | 153.46 | ||
| Redlich-Peterson (R-P) | KRP (L/g) | 518.92 | 0.994 |
| aRP (L/mg) | 2.7434 | ||
| bRP | 0.7634 | ||
| Dubinin-Radushkevich (D-R) | qD (mg/g) | 597.97 | 0.839 |
| β (mol2/kJ2) | 0.0332 | ||
| E (kJ/mol) | 3.8801 |
Disclaimer/Publisher’s Note: The statements, opinions and data contained in all publications are solely those of the individual author(s) and contributor(s) and not of MDPI and/or the editor(s). MDPI and/or the editor(s) disclaim responsibility for any injury to people or property resulting from any ideas, methods, instructions or products referred to in the content. |
© 2024 by the authors. Licensee MDPI, Basel, Switzerland. This article is an open access article distributed under the terms and conditions of the Creative Commons Attribution (CC BY) license (https://creativecommons.org/licenses/by/4.0/).
Share and Cite
Isnaini, M.D.; Vanichsetakul, B.; Phisalaphong, M. Alginate-Based Hydrogel Bead Reinforced with Montmorillonite Clay and Bacterial Cellulose-Activated Carbon as an Effective Adsorbent for Removing Dye from Aqueous Solution. Gels 2024, 10, 597. https://doi.org/10.3390/gels10090597
Isnaini MD, Vanichsetakul B, Phisalaphong M. Alginate-Based Hydrogel Bead Reinforced with Montmorillonite Clay and Bacterial Cellulose-Activated Carbon as an Effective Adsorbent for Removing Dye from Aqueous Solution. Gels. 2024; 10(9):597. https://doi.org/10.3390/gels10090597
Chicago/Turabian StyleIsnaini, Muhammad Dody, Bhawaranchat Vanichsetakul, and Muenduen Phisalaphong. 2024. "Alginate-Based Hydrogel Bead Reinforced with Montmorillonite Clay and Bacterial Cellulose-Activated Carbon as an Effective Adsorbent for Removing Dye from Aqueous Solution" Gels 10, no. 9: 597. https://doi.org/10.3390/gels10090597
APA StyleIsnaini, M. D., Vanichsetakul, B., & Phisalaphong, M. (2024). Alginate-Based Hydrogel Bead Reinforced with Montmorillonite Clay and Bacterial Cellulose-Activated Carbon as an Effective Adsorbent for Removing Dye from Aqueous Solution. Gels, 10(9), 597. https://doi.org/10.3390/gels10090597

