Insights into the Injectivity and Propagation Behavior of Preformed Particle Gel (PPG) in a Low–Medium-Permeability Reservoir
Abstract
1. Introduction
2. Results and Discussion
2.1. The Particle Size Distribution of PPG Determination
2.2. The Seepage Characteristics of PPG in Porous Media
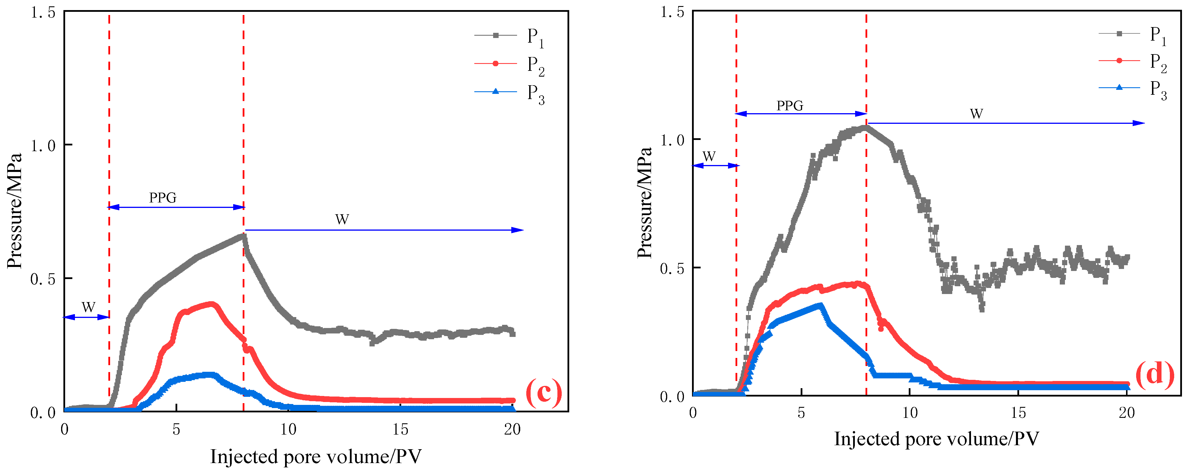
2.2.1. Pressure Change Characteristics
2.2.2. Analysis of Resistance Factor and Residual Resistance Factor
2.3. The Matching Relationship between PPG Particle Size and Reservoir Permeability
2.3.1. Analysis of the Law of Injectivity and Propagation
2.3.2. Evaluation Criteria of PPG Injectivity and Propagation Were Established
- (1)
- Injectable: After water flooding, PPG flooding was carried out, and the pressure rose at first and then became flat. After water flooding, it was easy to move in the hole, with small values of resistance factor and residual power factor, matching factor δ less than 55, and β less than 3.4, with excellent propagation. In addition, particles can pass through the hole smoothly or deform, so that they can be injected and move at the same time.
- (2)
- Difficulty in injection: after water flooding: PPG flooding was carried out, and the pressure rose rapidly. After accumulation to a certain extent, it becomes stable after being broken. After subsequent water flooding, it deforms or breaks through the pore, and then the process of plugging–crushing–plugging is repeated. The matching factor δ was 55~72, β was 3.4~6.5, and the propagation was moderate.
- (3)
- Non-injectability: After water flooding, PPG flooding made it difficult to inject particles, and the pressure rose rapidly. After breaking through the deformation, the pressure dropped slightly, the resistance factor and residual resistance factor were large, the matching factor was greater than 72, β was greater than 6, and the propagation was poor. Furthermore, the particles were blocked at the end face, making it difficult to migrate to the deep.
2.3.3. The Matching Relationship between PPG Particle Size and Reservoir Permeability
3. Conclusions
- (1)
- For PPG gel particles, with the increase in particle size and the decrease in permeability, the greater the resistance factor and residual resistance factor, and the worse the injectability of particles. With the increase in the matching factor, the resistance factor and residual resistance factor increase.
- (2)
- The evaluation criteria for PPG injectability and propagation were divided. When the matching coefficient is less than 55 and β is less than 3.4, PPG can be injected; when the matching coefficient is 55–72 and β is 3.4–6.5, PPG injection is difficult; when the matching coefficient is greater than 72 and β is greater than 6.5, PPG cannot be injected.
- (3)
- Thus, a matching chart of PPG permeability and particle size was obtained, providing injection standards for on-site PPG applications.
4. Materials and Methods
4.1. Materials
4.2. Methods
4.2.1. Determination of the Particle Size of the Gel Particle Suspension
4.2.2. The Seepage Behavior of PPG Particles in Porous Media
4.2.3. PPG Injectivity and Propagation Performance Evaluation
Author Contributions
Funding
Institutional Review Board Statement
Informed Consent Statement
Data Availability Statement
Conflicts of Interest
References
- Odgaard, O.; Delman, J. China’s energy security and its challenges towards 2035. Energy Policy 2014, 71, 107–117. [Google Scholar] [CrossRef]
- Zou, C.; Dong, D.; Zhong, C.; Wang, S.; Li, J.; Li, X.; Wang, Y.; Li, D.; Cheng, K. Geological characteristics and resource potential of shale gas in China. Pet. Explor. Dev. 2010, 37, 641–653. [Google Scholar] [CrossRef]
- Gao, Q.; Zhong, C.; Han, P.; Cao, R.; Jiang, G. Synergistic effect of alkali–surfactant–polymer and preformed particle gel on profile control after polymer flooding in heterogeneous reservoirs. Energy Fuels 2020, 34, 15957–15968. [Google Scholar] [CrossRef]
- Zhang, X.; Zhang, Y.; Liu, H.; Li, S.; Liu, L. Dynamic Sweep Experiments on a Heterogeneous Phase Composite System Based on Branched-Preformed Particle Gel in High Water-Cut Reservoirs after Polymer Flooding. Gels 2023, 9, 364. [Google Scholar] [CrossRef] [PubMed]
- Chen, X.; Feng, Q.; Liu, W.; Sepehrnoori, K. Modeling preformed particle gel surfactant combined flooding for enhanced oil recovery after polymer flooding. Fuel 2017, 194, 42–49. [Google Scholar] [CrossRef]
- Yu, L.; Sang, Q.; Dong, M. Enhanced oil recovery ability of branched preformed particle gel in heterogeneous reservoirs. Oil Gas Sci. Technol. Rev. D’IFP Energ. Nouv. 2018, 73, 65. [Google Scholar] [CrossRef]
- Yuan, S.; Wang, Q. New progress and prospect of oilfields development technologies in China. Pet. Explor. Dev. 2018, 45, 698–711. [Google Scholar] [CrossRef]
- Xu, Z.X.; Li, S.Y.; Li, B.F.; Chen, D.Q.; Liu, Z.Y.; Li, Z.M. A review of development methods and EOR technologies for carbonate reservoirs. Pet. Sci. 2020, 17, 990–1013. [Google Scholar] [CrossRef]
- Wang, Z.; Bai, B.; Zhou, E.; Pu, J.; Schuman, T. Experimental evaluation of oxidizing breakers for a polyacrylamide-based re-crosslinkable preformed particle gel. Energy Fuels 2019, 33, 5001–5010. [Google Scholar] [CrossRef]
- Su, B.; Dou, M.; Gao, X. Study on seawater nanofiltration softening technology for offshore oilfield water and polymer flooding. Desalination 2012, 297, 30–37. [Google Scholar] [CrossRef]
- Sen, R. Biotechnology in petroleum recovery: The microbial EOR. Prog. Energy Combust. Sci. 2008, 34, 714–724. [Google Scholar] [CrossRef]
- He, H.; Chen, Y.; Yu, Q.; Wen, X.; Liu, H. Optimization design of injection strategy for surfactant-polymer flooding process in heterogeneous reservoir under low oil prices. Energies 2019, 12, 3789. [Google Scholar] [CrossRef]
- He, H.; Fu, J.; Zhao, H.; Yuan, F.; Guo, L.; Li, Z.; Peng, H. Synergistic mechanism of hydrolyzed polyacrylamide enhanced branched-preformed particle gel for enhanced oil recovery in mature oilfields. Energy Fuels 2018, 32, 11093–11104. [Google Scholar] [CrossRef]
- Hashemi, R.; Nassar, N.N.; Almao, P.P. Nanoparticle technology for heavy oil in-situ upgrading and recovery enhancement: Opportunities and challenges. Appl. Energy 2014, 133, 374–387. [Google Scholar] [CrossRef]
- Abidin, A.Z.; Puspasari, T.; Nugroho, W.A. Polymers for enhanced oil recovery technology. Procedia Chem. 2012, 4, 11–16. [Google Scholar] [CrossRef]
- Rozhkova, Y.A.; Burin, D.A.; Galkin, S.V.; Yang, H. Review of Microgels for Enhanced Oil Recovery: Properties and Cases of Application. Gels 2022, 8, 112. [Google Scholar] [CrossRef] [PubMed]
- Zhu, D.; Gong, Y.; Wang, J.; Ding, Y.; Zhang, H.; Leng, W.; Wang, W. Effect of Crosslinker Types on Temporary Plugging Performance of Degradable Preformed Particle Gels for Unconventional Petroleum Reservoir Development. Energy Fuels 2022, 37, 373–384. [Google Scholar] [CrossRef]
- Wu, D.; Zhou, K.; Hou, J.; An, Z.; Zhai, M.; Liu, W. Experimental study on combining heterogeneous phase composite flooding and streamline adjustment to improve oil recovery in heterogeneous reservoirs. J. Pet. Sci. Eng. 2020, 194, 107478. [Google Scholar] [CrossRef]
- Dong, X.; Liu, H.; Chen, Z.; Wu, K.; Lu, N.; Zhang, Q. Enhanced oil recovery techniques for heavy oil and oilsands reservoirs after steam injection. Appl. Energy 2019, 239, 1190–1211. [Google Scholar] [CrossRef]
- Chang, H.; Zhang, Z.; Wang, Q.; Xu, Z.; Guo, Z.; Sun, H.; Cao, X.; Qiao, Q. Advances in polymer flooding and alkaline/surfactant/polymer processes as developed and applied in the People’s Republic of China. J. Pet. Technol. 2006, 58, 84–89. [Google Scholar] [CrossRef]
- Esfahlan, M.S.; Khodapanah, E.; Tabatabaei-Nezhad, S.A. Comprehensive review on the research and field application of preformed particle gel conformance control technology. J. Pet. Sci. Eng. 2021, 202, 108440. [Google Scholar] [CrossRef]
- Goudarzi, A.; Zhang, H.; Varavei, A.; Taksaudom, P.; Hu, Y.; Delshad, M.; Sepehrnoori, K. A laboratory and simulation study of preformed particle gels for water conformance control. Fuel 2015, 140, 502–513. [Google Scholar] [CrossRef]
- Amaral, C.N.; Oliveira, P.F.; Roman, I.O.; Mansur, C.R. Preformed particle gels with potential applicability for conformance control of oil reservoirs. J. Appl. Polym. Sci. 2020, 137, 48554. [Google Scholar] [CrossRef]
- Sang, Q.; Li, Y.; Yu, L.; Li, Z.; Dong, M. Enhanced oil recovery by branched-preformed particle gel injection in parallel-sandpack models. Fuel 2014, 136, 295–306. [Google Scholar] [CrossRef]
- Bai, B.; Liu, Y.; Coste, J.P.; Li, L. Preformed particle gel for conformance control: Transport mechanism through porous media. SPE Reserv. Eval. Eng. 2007, 10, 176–184. [Google Scholar] [CrossRef]
- Leng, J.; Wei, M.; Bai, B. Review of transport mechanisms and numerical simulation studies of preformed particle gel for conformance control. J. Pet. Sci. Eng. 2021, 206, 109051. [Google Scholar] [CrossRef]
- Zhang, H.; Bai, B. Preformed-particle-gel transport through open fractures and its effect on water flow. SPE J. 2011, 16, 388–400. [Google Scholar] [CrossRef]
- Imqam, A.; Bai, B. Optimizing the strength and size of preformed particle gels for better conformance control treatment. Fuel 2015, 148, 178–185. [Google Scholar] [CrossRef]
- Wang, J.; Liu, H.Q.; Zhang, H.; Sepehrnoori, K. Simulation of deformable preformed particle gel propagation in porous media. AIChE J. 2017, 63, 4628–4641. [Google Scholar] [CrossRef]
- Wang, L.-L.; Wang, T.-F.; Wang, J.-X.; Tian, H.-T.; Chen, Y.; Song, W. Enhanced Oil Recovery Mechanism and Technical Boundary of Gel Foam Profile Control System for Heterogeneous Reservoirs in Changqing. Gels 2022, 8, 371. [Google Scholar] [CrossRef]
- Bai, B.; Li, L.; Liu, Y.; Liu, H.; Wang, Z.; You, C. Preformed particle gel for conformance control: Factors affecting its properties and applications. SPE Reserv. Eval. Eng. 2007, 10, 415–422. [Google Scholar] [CrossRef]
- Yao, C.; Lei, G.; Cathles, L.M.; Steenhuis, T.S. Pore-scale investigation of micron-size polyacrylamide elastic microspheres (MPEMs) transport and retention in saturated porous media. Environ. Sci. Technol. 2014, 48, 5329–5335. [Google Scholar] [CrossRef] [PubMed]
- Goudarzi, A.; Almohsin, A.; Varavei, A.; Taksaudom, P.; Hosseini, S.A.; Delshad, M.; Sepehrnoori, K. New laboratory study and transport model implementation of microgels for conformance and mobility control purposes. Fuel 2017, 192, 158–168. [Google Scholar] [CrossRef]
- Jin, H.; Li, C.; Sun, Y.; Zhao, B.; Li, Y. Preparation and Application of High Internal Phase Pickering Emulsion Gels Stabilized by Starch Nanocrystal/Tannic Acid Complex Particles. Gels 2024, 10, 335. [Google Scholar] [CrossRef] [PubMed]
- Mitani, C.; Okajima, M.; Ohashira, T.; Ali, M.A.; Taniike, T.; Kaneko, T. Structural Analyses of Polysaccharides Extracted from Cyanobacterial Extracellular Gels and Oriented Liquid Crystalline Microfiber Processing by Poly(vinyl alcohol)-Assisted Electrospinning. Gels 2024, 10, 321. [Google Scholar] [CrossRef] [PubMed]
- Huang, B.; Hu, X.; Fu, C.; Wang, L. Experimental evaluation of ASP flooding to improve oil recovery in heterogeneous reservoirs by layered injection approach. Energy Sci. Eng. 2020, 8, 3148–3164. [Google Scholar] [CrossRef]
- Kang, W.; Shao, S.; Yang, H.; Wang, L. The effect of stepwise increasing of water injection rates on enhanced oil recovery after preformed particle gel treatment. J. Pet. Sci. Eng. 2019, 182, 106239. [Google Scholar] [CrossRef]
- Shi, L.; Ye, Z.; Zhang, Z.; Zhou, C.; Zhu, S.; Guo, Z. Necessity and feasibility of improving the residual resistance factor of polymer flooding in heavy oil reservoirs. Pet. Sci. 2010, 7, 251–256. [Google Scholar] [CrossRef]
- Seright, R.S.S. Potential for polymer flooding reservoirs with viscous oils. SPE Reserv. Eval. Eng. 2010, 13, 730–740. [Google Scholar] [CrossRef]
- Dai, C.; Liu, Y.; Zou, C.; You, Q.; Shuai, Y.; Zhao, M.; Zhao, G.; Wu, Y.; Sun, Y. Investigation on matching relationship between dispersed particle gel (DPG) and reservoir pore-throats for in-depth profile control. Fuel 2017, 207, 109–120. [Google Scholar] [CrossRef]














| Number | PPG Dry Powder Particle Size | Permeability/mD | Water Flooding Pressure/MPa | PPG Flooding Pressure/MPa | Subsequent Water Flooding Pressure/MPa | Resistance Factor | Residual Resistance Factor |
|---|---|---|---|---|---|---|---|
| 1 | Less than 50 μm | 1090 | 0.0045 | 0.128 | 0.026 | 25.6 | 5.2 |
| 2 | 505 | 0.014 | 0.465 | 0.147 | 33.2 | 10.5 | |
| 3 | 310 | 0.016 | 0.658 | 0.269 | 41.1 | 18.1 | |
| 4 | 195 | 0.018 | 1.046 | 0.425 | 58.1 | 30.1 | |
| 5 | 50~150 μm | 980 | 0.005 | 0.168 | 0.082 | 33.6 | 16.4 |
| 6 | 490 | 0.014 | 0.631 | 0.274 | 45.1 | 19.6 | |
| 7 | 295 | 0.016 | 1.31 | 0.568 | 81.8 | 35.5 | |
| 8 | 210 | 0.018 | 1.838 | 1.085 | 102.1 | 60.3 | |
| 9 | 150~300 μm | 1020 | 0.005 | 0.198 | 0.092 | 39.6 | 18.4 |
| 10 | 495 | 0.014 | 0.748 | 0.327 | 53.4 | 23.4 | |
| 11 | 310 | 0.016 | 1.478 | 0.672 | 92.4 | 42 | |
| 12 | 190 | 0.018 | 2.561 | 1.486 | 142.3 | 82.6 |
| Number | PPG Dry Powder Particle Size | Permeability/mD | Average Pore Throat Diameter/μm | Matching Factor δ |
|---|---|---|---|---|
| 1 | Less than 50 μm | 1090 | 12.953 | 18.3 |
| 2 | 505 | 9.214 | 25.2 | |
| 3 | 310 | 7.555 | 30.9 | |
| 4 | 195 | 6.304 | 36.7 | |
| 5 | 50~150 μm | 980 | 12.703 | 36.7 |
| 6 | 490 | 9.204 | 50.6 | |
| 7 | 295 | 7.515 | 62.0 | |
| 8 | 210 | 6.314 | 71.5 | |
| 9 | 150~300 μm | 1020 | 12.903 | 42.5 |
| 10 | 495 | 9.104 | 53.6 | |
| 11 | 310 | 7.615 | 69.8 | |
| 12 | 190 | 6.114 | 85.4 |
| Number | PPG Dry Powder Particle Size | Permeability/mD | P1/MPa | P2/MPa | P3/MPa | ψP1/MPa | ψP2/MPa | β |
|---|---|---|---|---|---|---|---|---|
| 1 | Less than 50 μm | 1090 | 0.128 | 0.09 | 0.02 | 0.038 | 0.07 | 0.54 |
| 2 | 505 | 0.465 | 0.333 | 0.17 | 0.132 | 0.163 | 0.81 | |
| 3 | 310 | 0.658 | 0.269 | 0.072 | 0.389 | 0.197 | 1.97 | |
| 4 | 195 | 1.046 | 0.425 | 0.153 | 0.621 | 0.272 | 2.28 | |
| 5 | 50~150 μm | 980 | 0.168 | 0.126 | 0.062 | 0.042 | 0.064 | 0.66 |
| 6 | 490 | 0.631 | 0.309 | 0.207 | 0.322 | 0.102 | 3.12 | |
| 7 | 295 | 1.31 | 0.52 | 0.32 | 0.79 | 0.2 | 3.95 | |
| 8 | 210 | 1.838 | 0.46 | 0.209 | 1.378 | 0.251 | 5.49 | |
| 9 | 150~300 μm | 1020 | 0.198 | 0.125 | 0.07 | 0.073 | 0.055 | 1.33 |
| 10 | 495 | 0.748 | 0.289 | 0.15 | 0.459 | 0.139 | 3.3 | |
| 11 | 310 | 1.478 | 0.336 | 0.12 | 1.142 | 0.216 | 5.29 | |
| 12 | 190 | 2.561 | 0.25 | 0.03 | 2.311 | 0.22 | 10.50 |
| Ion Type | Na+, K+ | Ca2+ | Mg2+ | Cl− | SO42− | HCO3− | TDS |
|---|---|---|---|---|---|---|---|
| Ion composition (mg·L−1) | 1601 | 14 | 7.5 | 1172 | 391.5 | 1816 | 5002 |
Disclaimer/Publisher’s Note: The statements, opinions and data contained in all publications are solely those of the individual author(s) and contributor(s) and not of MDPI and/or the editor(s). MDPI and/or the editor(s) disclaim responsibility for any injury to people or property resulting from any ideas, methods, instructions or products referred to in the content. |
© 2024 by the authors. Licensee MDPI, Basel, Switzerland. This article is an open access article distributed under the terms and conditions of the Creative Commons Attribution (CC BY) license (https://creativecommons.org/licenses/by/4.0/).
Share and Cite
He, H.; Tian, Y.; Zhang, L.; Li, H.; Guo, Y.; Liu, Y.; Liu, Y. Insights into the Injectivity and Propagation Behavior of Preformed Particle Gel (PPG) in a Low–Medium-Permeability Reservoir. Gels 2024, 10, 475. https://doi.org/10.3390/gels10070475
He H, Tian Y, Zhang L, Li H, Guo Y, Liu Y, Liu Y. Insights into the Injectivity and Propagation Behavior of Preformed Particle Gel (PPG) in a Low–Medium-Permeability Reservoir. Gels. 2024; 10(7):475. https://doi.org/10.3390/gels10070475
Chicago/Turabian StyleHe, Hong, Yuhang Tian, Lianfeng Zhang, Hongsheng Li, Yan Guo, Yu Liu, and Yifei Liu. 2024. "Insights into the Injectivity and Propagation Behavior of Preformed Particle Gel (PPG) in a Low–Medium-Permeability Reservoir" Gels 10, no. 7: 475. https://doi.org/10.3390/gels10070475
APA StyleHe, H., Tian, Y., Zhang, L., Li, H., Guo, Y., Liu, Y., & Liu, Y. (2024). Insights into the Injectivity and Propagation Behavior of Preformed Particle Gel (PPG) in a Low–Medium-Permeability Reservoir. Gels, 10(7), 475. https://doi.org/10.3390/gels10070475

