Microfluidic Rheology: An Innovative Method for Viscosity Measurement of Gels and Various Pharmaceuticals
Abstract
1. Introduction
2. Results and Discussion
2.1. Time and Sample Quantity
2.2. Parameters of the Applicators, Force Required for Extrusions
2.3. Liquid Dosage Forms
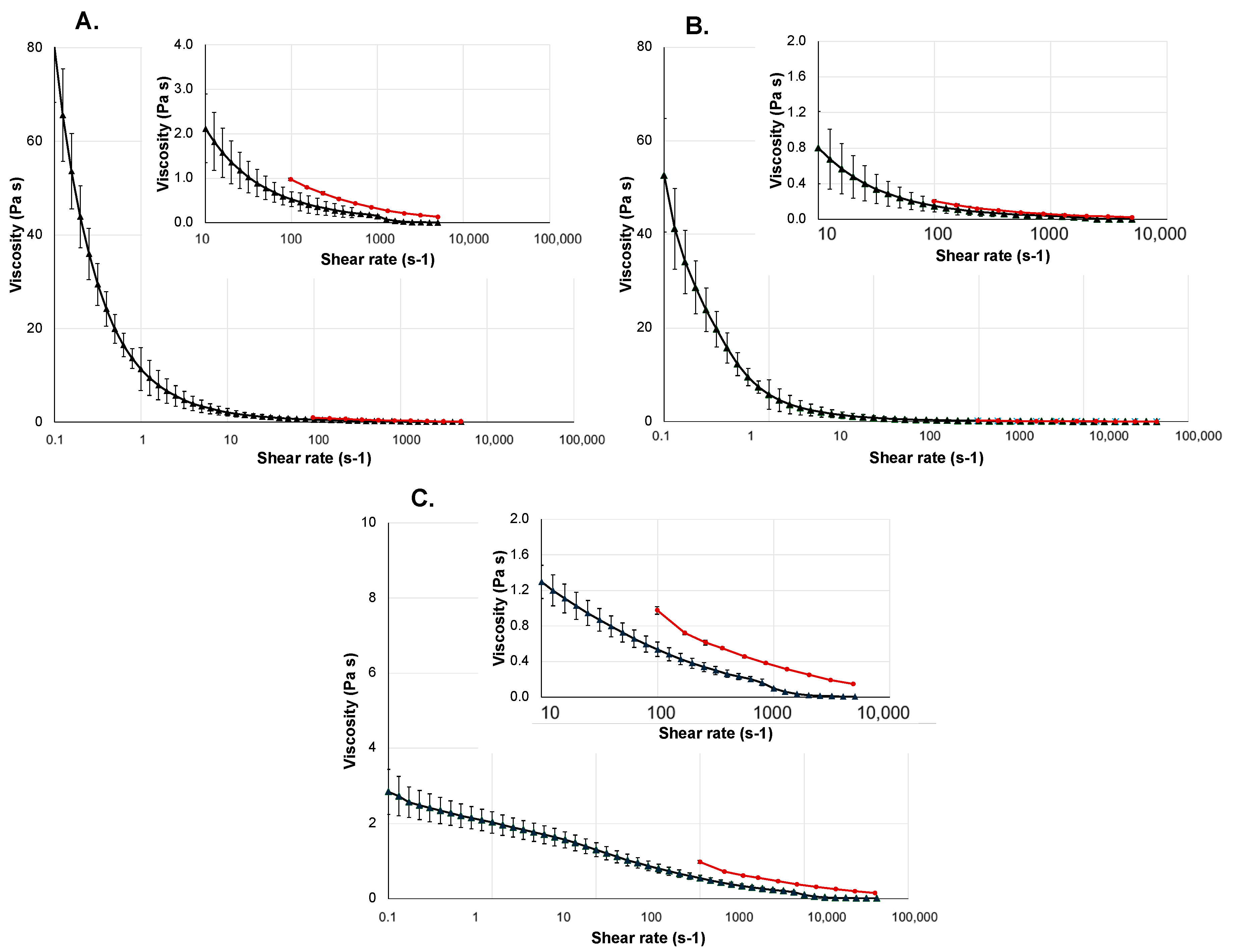
2.4. Gel-Based Dosage Forms
3. Conclusions
4. Materials and Methods
4.1. Materials
4.2. Methods
4.2.1. Viscosity Measurements with Kinexus Pro+
4.2.2. Viscosity Measurements with FluidicamTM RHEO
4.2.3. Digital Caliper
4.2.4. Extrudability
Author Contributions
Funding
Institutional Review Board Statement
Informed Consent Statement
Data Availability Statement
Conflicts of Interest
References
- Carnicer, V.; Alcázar, C.; Orts, M.J.; Sánchez, E.; Moreno, R. Microfluidic rheology: A new approach to measure viscosity of ceramic suspensions at extremely high shear rates. Open Ceram. 2021, 5, 100052. [Google Scholar] [CrossRef]
- Simões, A.; Miranda, M.; Cardoso, C.; Veiga, F.; Vitorino, C. Rheology by Design: A Regulatory Tutorial for Analytical Method Validation. Pharmaceutics 2020, 12, 820. [Google Scholar] [CrossRef] [PubMed]
- Allahham, A.; Mainwaring, D.; Stewart, P.; Marriott, J. Development and application of a micro-capillary rheometer for in-vitro evaluation of parenteral injectability. J. Pharm. Pharmacol. 2004, 56, 709–716. [Google Scholar] [CrossRef] [PubMed]
- Hatefi, A.; Amsden, B. Biodegradable injectable in situ forming drug delivery systems. J. Control Release 2002, 80, 9–28. [Google Scholar] [CrossRef] [PubMed]
- Phan-Thien, N.; Mai-Duy, N. Rheological Properties. In Understanding Viscoelasticity: An Introduction to Rheology; Springer International Publishing: Cham, Switzerland, 2017; pp. 29–41. [Google Scholar]
- Liu, H.; Fu, K.; Cui, X.; Zhu, H.; Yang, B. Shear Thickening Fluid and Its Application in Impact Protection: A Review. Polymers 2023, 15, 2238. [Google Scholar] [CrossRef] [PubMed]
- Neupert, T.; Bartel, D. Evaluation of Various Shear-Thinning Models for Squalane Using Traction Measurements, TEHD and NEMD Simulations. Lubricants 2023, 11, 178. [Google Scholar] [CrossRef]
- Budai, L.; Budai, M.; Fulopne Papay, Z.E.; Vilimi, Z.; Antal, I. Rheological Considerations of Pharmaceutical Formulations: Focus on Viscoelasticity. Gels 2023, 9, 469. [Google Scholar] [CrossRef] [PubMed]
- Budai, L.; Budai, M.; Fulopne Papay, Z.E.; Szalkai, P.; Niczinger, N.A.; Kijima, S.; Sugibayashi, K.; Antal, I.; Kallai-Szabo, N. Viscoelasticity of Liposomal Dispersions. Nanomaterials 2023, 13, 2340. [Google Scholar] [CrossRef] [PubMed]
- Zupančič Valant, A.; Žiberna, L.; Papaharilaou, Y.; Anayiotos, A.; Georgiou, G.C. The influence of temperature on rheological properties of blood mixtures with different volume expanders—Implications in numerical arterial hemodynamics simulations. Rheol. Acta 2011, 50, 389–402. [Google Scholar] [CrossRef]
- Barnes, H.A. The yield stress—A review or ‘panta roi’—Everything flows? J. Non-Newton. Fluid. Mech. 1998, 81, 133–178. [Google Scholar] [CrossRef]
- Winter, M.M.a.H.H. Relaxation Patterns of Nearly Critical Gels. Macromolecules 1996, 29, 7221–7229. [Google Scholar]
- Mackley, M.; Marshall, R.; Smeulders, J.; Zhao, F. The rheological characterization of polymeric and colloidal fluids. Chem. Eng. Sci. 1994, 49, 2551–2565. [Google Scholar] [CrossRef]
- Barber, E.M.; Muenger, J.R.; Villforth, F.J. A High Rate of Shear Rotational Viscometer. Anal. Chem. 1955, 27, 5. [Google Scholar] [CrossRef]
- Galindo-Rosales, F.J. Complex Fluids and Rheometry in Microfluidics. In Complex Fluid-Flows in Microfluidics; Galindo-Rosales, F.J., Ed.; Springer International Publishing: Cham, Switzerland, 2018; pp. 1–23. [Google Scholar]
- Gupta, S.; Wang, W.S.; Vanapalli, S.A. Microfluidic viscometers for shear rheology of complex fluids and biofluids. Biomicrofluidics 2016, 10, 043402. [Google Scholar] [CrossRef] [PubMed]
- Liu, L.; Hu, D.; Lam, R.H.W. Microfluidic Viscometer Using a Suspending Micromembrane for Measurement of Biosamples. Micromachines 2020, 11, 934. [Google Scholar] [CrossRef] [PubMed]
- Peng, F.; Ke, Y.; Zhao, H.; Tang, Q.; Zhang, Z.; Bai, C. Application of microfluidic technology in oil industry—A new quick test method of fluid viscosity. IOP Conf. Ser. Mater. Sci. Eng. 2018, 452, 022040. [Google Scholar] [CrossRef]
- Formulaction. Fluidicam RHEO Instrument Note. Available online: https://www.ulprospector.com/documents/1527662.pdf?bs=5964&b=724579&st=20&r=na&ind=personalcare (accessed on 12 July 2024).
- Eneo. Phyteneo Occusept—Instruction fo Use. Available online: https://im9.cz/product-docs/5grza3la6de1kx76/N%C3%A1vod%20k%20pou%C5%BEit%C3%AD%20-%20Phyteneo%20Occusept%20o%C4%8Dn%C3%AD%20kapky%202%20x%2020%20ml.pdf (accessed on 12 July 2024).
- Kozuch, B.; Weber, J.; Buske, J.; Mader, K.; Garidel, P.; Diederichs, T. Comparative Stability Study of Polysorbate 20 and Polysorbate 80 Related to Oxidative Degradation. Pharmaceutics 2023, 15, 2332. [Google Scholar] [CrossRef] [PubMed]
- DesitinPharma. Diazepam Desitin 10 mg Rectal solution SmPC. Available online: https://www.medicines.org.uk/emc/product/3001/smpc (accessed on 12 July 2024).
- Kao, T.-T.; Wang, M.-C.; Chen, Y.-H.; Chung, Y.-T.; Hwang, P.-A. Propylene Glycol Improves Stability of the Anti-Inflammatory Compounds in Scutellaria baicalensis Extract. Processes 2021, 9, 894. [Google Scholar] [CrossRef]
- Zhai, J.; Mantaj, J.; Vllasaliu, D. Ascorbyl Palmitate Hydrogel for Local, Intestinal Delivery of Macromolecules. Pharmaceutics 2018, 10, 188. [Google Scholar] [CrossRef]
- OpellaHealthcare. Algopyrin 1 g/2 mL SmPC-HUN. Available online: https://ogyei.gov.hu/kiseroirat/ah/ah_0000018952_20230417100407.doc (accessed on 12 July 2024).
- Hu, F.; Lu, H.; Ye, Z.; Zhang, S.; Wang, W.; Gao, L. Slow-release lubrication of artificial joints using self-healing polyvinyl alcohol/polyethylene glycol/graphene oxide hydrogel. J. Mech. Behav. Biomed. Mater. 2021, 124, 104807. [Google Scholar] [CrossRef]
- Germanova, V.N.; Karlova, E.V.; Volova, L.T.; Zolotarev, A.V.; Rossinskaya, V.V.; Zakharov, I.D.; Korigodskiy, A.R.; Boltovskaya, V.V.; Nefedova, I.F.; Radaykina, M.V. PLA-PEG Implant as a Drug Delivery System in Glaucoma Surgery: Experimental Study. Polymers 2022, 14, 3419. [Google Scholar] [CrossRef] [PubMed]
- Kim, S.R.; Lee, K.M.; Kim, J.H.; Choi, Y.J.; Park, H.I.; Jung, H.C.; Roh, H.J.; Han, J.H.L.; Kim, J.R.; Lee, B.K. Biocompatibility evaluation of peo-treated magnesium alloy implants placed in rabbit femur condyle notches and paravertebral muscles. Biomater. Res. 2022, 26, 29. [Google Scholar] [CrossRef] [PubMed]
- Peng, Y.; Ang, M.; Foo, S.; Lee, W.S.; Ma, Z.; Venkatraman, S.S.; Wong, T.T. Biocompatibility and biodegradation studies of subconjunctival implants in rabbit eyes. PLoS ONE 2011, 6, e22507. [Google Scholar] [CrossRef] [PubMed]
- Exeltis. Lactofeel Information Leaflet. Available online: https://www.lejdyeshop.cz/files/product_file/8_4312_LACTOFEEL-1.pdf (accessed on 12 July 2024).
- Mendling, W.; Shazly, M.A.E.; Zhang, L. The Role of Lactic Acid in the Management of Bacterial Vaginosis: A Systematic Literature Review. Future Pharmacol. 2022, 2, 198–213. [Google Scholar] [CrossRef]
- van der Veer, C.; Bruisten, S.M.; van Houdt, R.; Matser, A.A.; Tachedjian, G.; van de Wijgert, J.; de Vries, H.J.C.; van der Helm, J.J. Effects of an over-the-counter lactic-acid containing intra-vaginal douching product on the vaginal microbiota. BMC Microbiol. 2019, 19, 168. [Google Scholar] [CrossRef]
- Palmieri, E.; Pescosolido, F.; Montaina, L.; Carcione, R.; Petrella, G.; Cicero, D.O.; Tamburri, E.; Battistoni, S.; Orlanducci, S. A Sustainable Hydroxypropyl Cellulose-Nanodiamond Composite for Flexible Electronic Applications. Gels 2022, 8, 783. [Google Scholar] [CrossRef]
- D’souza, A.A.; Shegokar, R. Polyethylene glycol (PEG): A versatile polymer for pharmaceutical applications. Expert Opin. Drug Deliv. 2016, 13, 1257–1275. [Google Scholar] [CrossRef]
- RichterGedeonPLC. Curiosa Gel Information Leaflet. Available online: https://rgwebsite-uat-cm.allwin.hu/-/media/sites/hq/documents/our-products/curiosa-gel-ifu-hu.pdf (accessed on 12 July 2024).
- Dekic, L.; Milinkovic Budincic, J.; Stanic, D.; Fraj, J.; Petrovic, L. Carbomer Hydrogels with Microencapsulated alpha-Tocopherol: Focus on the Biocompatibility of the Microcapsules, Topical Application Attributes, and In Vitro Release Study. Pharmaceutics 2024, 16, 628. [Google Scholar] [CrossRef]
- Rheology for Beginners—Determining the Viscosity of a Hand Cream. Available online: https://analyzing-testing.netzsch.com/en/training-know-how/tips-tricks/rheology/rheology-for-beginners-determining-the-viscosity-of-a-hand-cream (accessed on 20 June 2024).
- Gloup Information Leaflet. Available online: https://www.apo-direkt.de/app/download/25935563/GLOUP%C2%AE+Produktinformationen.pdf (accessed on 12 July 2024).
- Komisarska, P.; Pinyosinwat, A.; Saleem, M.; Szczuko, M. Carrageenan as a Potential Factor of Inflammatory Bowel Diseases. Nutrients 2024, 16, 1367. [Google Scholar] [CrossRef]
- Ong, J.J.; Steele, C.M.; Duizer, L.M. Challenges to assumptions regarding oral shear rate during oral processing and swallowing based on sensory testing with thickened liquids. Food Hydrocoll. 2018, 84, 173–180. [Google Scholar] [CrossRef]
- Rowe, R.C.; Sheskey, P.J.; Quinn, M.E. Polyethylene Glycol Monograph. In Handbook of Pharmaceutical Excipients, 6th ed.; Pharmaceutical Press: London, UK, 2009; pp. 517–522. [Google Scholar]
- From Low to High Shear Rates: NETZSCH Reaches Them All. Available online: https://analyzing-testing.netzsch.com/en/blog/2022/from-low-to-high-shear-rates-netzsch-reaches-them-all (accessed on 12 July 2024).
- Agwu, O.E.; Akpabio, J.U.; Ekpenyong, M.E.; Inyang, U.G.; Asuquo, D.E.; Eyoh, I.J.; Adeoye, O.S. A critical review of drilling mud rheological models. J. Pet. Sci. Eng. 2021, 203, 108659. [Google Scholar] [CrossRef]
- Not a Dry Eye in the House: Eye Drop Rheology. Available online: https://www.rheologylab.com/articles/pharmaceutical-rheology/rheology-lubricating-eye-drops/ (accessed on 17 June 2024).
- Kapadia, W.; Qin, N.; Zhao, P.; Phan, C.M.; Haines, L.; Jones, L.; Ren, C.L. Shear-Thinning and Temperature-Dependent Viscosity Relationships of Contemporary Ocular Lubricants. Transl. Vis. Sci. Technol. 2022, 11, 1. [Google Scholar] [CrossRef] [PubMed]
- Deshpande, A.P. Oscillatory Shear Rheology for Probing Nonlinear Viscoelasticity of Complex Fluids: Large Amplitude Oscillatory Shear. In Rheology of Complex Fluids; Krishnan, J.M., Deshpande, A.P., Kumar, P.B.S., Eds.; Springer: New York, NY, USA, 2010; pp. 87–110. [Google Scholar]
- Dyvik, K.; Dyrstad, K.; Tronstad, A. Relationship between viscosity and determined injection pressure in angiography catheters for common roentgen contrast media. Acta Radiol. 1995, 36, 43–49. [Google Scholar] [CrossRef] [PubMed]
- Aerospace 6 inch/150 mm Digital Vernier Caliper/Micrometer. Available online: https://thermoindia.com/product/thermo-aerospace-6-inch-150mm-digital-vernier-caliper-micrometer/ (accessed on 12 July 2024).
- Smith, F.D.; Lyndall, G. Apparatus for Testing Pharmaceutical Tablets. U.S. Patent 2041869A, 26 May 1934. [Google Scholar]





| Solution and Gel-Based Product | Used Sample/Measurement (mL) | Time/Measurement (min) | ||
|---|---|---|---|---|
| Kinexus Pro+ | FluidicamTM RHEO | Kinexus Pro+ | FluidicamTM RHEO | |
| Vaginal gel | 1.50 | 2.1 | 31 min ± 2 min | 4 min 58 s ± 27 s |
| Wound gel | 1.50 | 2.6 | 27 min ± 2 min | 5 min 32 s ± 29 s |
| Eyedrop | 1.19 | 1.2 | 48 min ± 4 min | 3 min 12 s ± 12 s |
| Klysma | 1.19 | 0.9 | 35 min ± 2 min | 2 min 53 s ± 21 s |
| Injection | 1.19 | 1.0 | 38 min ± 3 min | 2 min 48 s ± 17 s |
| Lubricant | 1.19 | 1.8 | 30 min ± 2 min | 3 min 8 s ± 24 s |
| Oral gel | 1.50 | 2.16 | 32 min ± 2 min | 5 min 16 s ± 28 s |
| Solution- and Gel-Based Product | Diameter (mm) | Length (mm) | Force (N) |
|---|---|---|---|
| Vaginal gel | 4.02 | 44.49 | 49.05 |
| Klysma | 1.91 | 44.59 | 49.05 |
| Injection | Gauge | Gauge | - |
| Dosage Form | Route of Administration | API | Viscosity Modifying Excipient | Indication | Brand Name | Manufacturer |
|---|---|---|---|---|---|---|
| Gel | Vaginal | Acidum lacticum, Glicogen | Methyl-hydroxy-propyl-cellulose (MHPC) | Bacterial vaginosis, Candidiasis | Lactofeel | Exeltis, Florham Park, NJ, USA |
| Gel | Topical | Sodium hyaluronate | Carbomer | Wound care | Curiosa | Richter Gedeon Nyrt., Budapest, Hungary |
| Solution | Eyedrop | - | Polysorbate 80 | Lubricant | Phyteneo Occusept | Neofyt spol. s r.o., Stříbrná Skalice, Czech Republic |
| Klysma (solution) | Rectal | Diazepam | Propylenglycol | Seizure resolution | Diazepam Desitin 10 mg | Desitin Arzneimittel GmbH., Hamburg, Germany |
| Injection | Intramuscular/intravenous | Metamizole-sodium | - | Painkiller | Algopyrin 1 g/2 mL injection | Sanofi-Aventis, Paris, France |
| Excipient | Subcutaneous | - | - | Lubricant for implants | Macrogola 400 | MAGILAB Kft., Budapest, Hungary |
| medical device-gel | Oral | - | Carragenan | Lubricant for solid dosage forms | Gloup | M. Technologies Fr., Tourcoing, France |
| Product | Geometry | Shear Rate Range (s−1) | Temperature (°C) |
|---|---|---|---|
| Vaginal gel | Cone–Plate | 10−1 to 1 × 104 | 37 |
| Wound gel | Cone–Plate | 10−1 to 5 × 103 | 32 |
| Eyedrop | Plate–Plate | 10−1 to 1 × 104 | 34 |
| Klysma | Plate–Plate | 10−1 to 5 × 103 | 37 |
| Injection | Plate–Plate | 10−1 to 1 × 104 | 37 |
| Lubricant | Cone–Plate | 10−1 to 5 × 103 | 37 |
| Oral gel | Cone–Plate | 10−1 to 5 × 103 | 37 |
| Product | Diameter of Gap Microchip (µm) | Shear Rate Range (s−1) | Temperature (°C) | Viscosity of Ready-to-Use Reference (mPa·s) |
|---|---|---|---|---|
| Vaginal gel | 150 | 1 × 102 to 5 × 103 | 37 | 500 |
| Wound gel | 150 | 1 × 102 to 5 × 103 | 32 | 500 |
| Eyedrop | 50 | 5 × 102 to 1 × 104 | 34 | 5 |
| Klysma | 50 | 5 × 102 to 3.5 × 104 | 37 | 5 |
| Injection | 50 | 1 × 103 to 1 × 105 | 37 | 5 |
| Lubricant | 50 | 5 × 102 to 1 × 104 | 37 | 5 |
| Oral gel | 150 | 1 × 102 to 5 × 103 | 37 | 500 |
Disclaimer/Publisher’s Note: The statements, opinions and data contained in all publications are solely those of the individual author(s) and contributor(s) and not of MDPI and/or the editor(s). MDPI and/or the editor(s) disclaim responsibility for any injury to people or property resulting from any ideas, methods, instructions or products referred to in the content. |
© 2024 by the authors. Licensee MDPI, Basel, Switzerland. This article is an open access article distributed under the terms and conditions of the Creative Commons Attribution (CC BY) license (https://creativecommons.org/licenses/by/4.0/).
Share and Cite
Vilimi, Z.; Pápay, Z.E.; Basa, B.; Orekhova, X.; Kállai-Szabó, N.; Antal, I. Microfluidic Rheology: An Innovative Method for Viscosity Measurement of Gels and Various Pharmaceuticals. Gels 2024, 10, 464. https://doi.org/10.3390/gels10070464
Vilimi Z, Pápay ZE, Basa B, Orekhova X, Kállai-Szabó N, Antal I. Microfluidic Rheology: An Innovative Method for Viscosity Measurement of Gels and Various Pharmaceuticals. Gels. 2024; 10(7):464. https://doi.org/10.3390/gels10070464
Chicago/Turabian StyleVilimi, Zsófia, Zsófia Edit Pápay, Bálint Basa, Xeniya Orekhova, Nikolett Kállai-Szabó, and István Antal. 2024. "Microfluidic Rheology: An Innovative Method for Viscosity Measurement of Gels and Various Pharmaceuticals" Gels 10, no. 7: 464. https://doi.org/10.3390/gels10070464
APA StyleVilimi, Z., Pápay, Z. E., Basa, B., Orekhova, X., Kállai-Szabó, N., & Antal, I. (2024). Microfluidic Rheology: An Innovative Method for Viscosity Measurement of Gels and Various Pharmaceuticals. Gels, 10(7), 464. https://doi.org/10.3390/gels10070464

