When the Poisson Ratio of Polymer Networks and Gels Is Larger Than 0.5?
Abstract
1. Introduction
2. Poisson Ratio of Polymer Networks and Gels
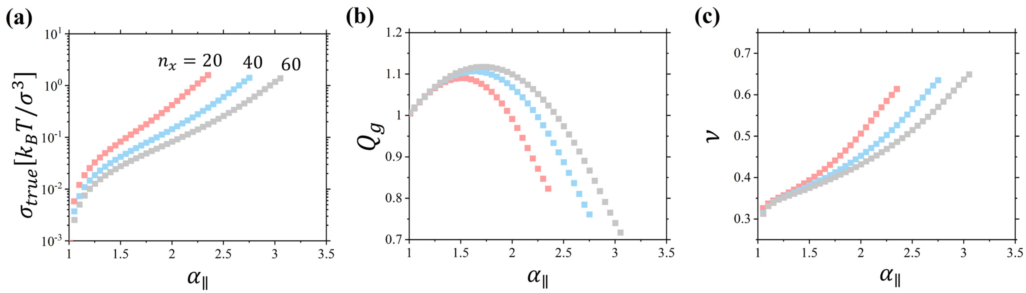
2.1. Linear Chain Networks
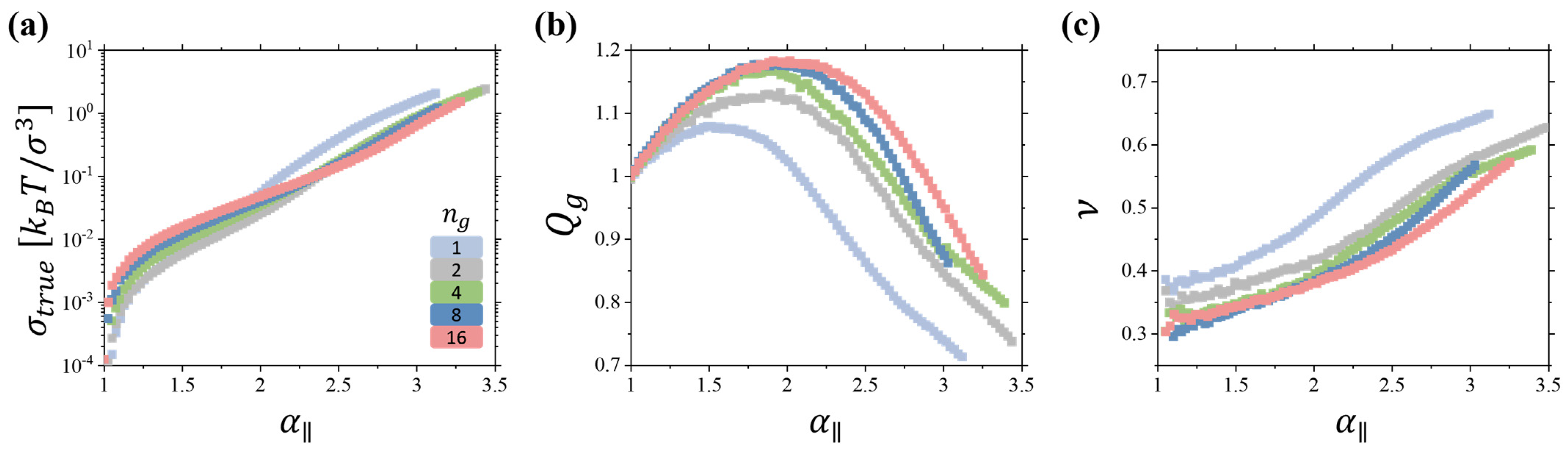
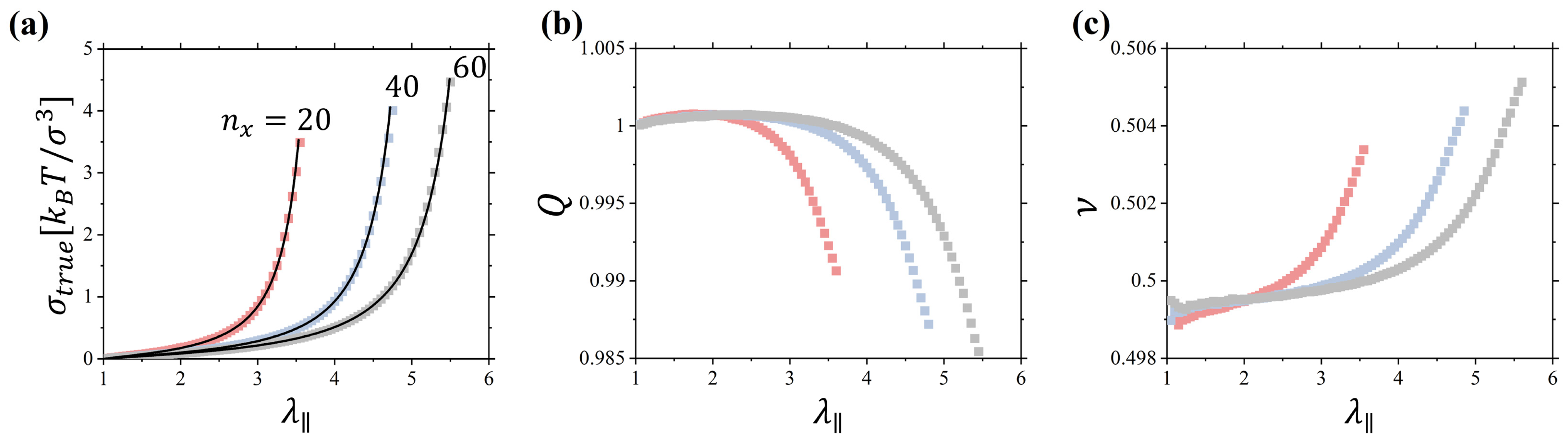
2.2. Gels of Linear and Brush Networks
3. Conclusions
Supplementary Materials
Author Contributions
Funding
Institutional Review Board Statement
Informed Consent Statement
Data Availability Statement
Conflicts of Interest
References
- Sadd, M.H. Elasticity: Theory, Applications, and Numerics; Academic Press: Burlingon, MA, USA, 2009. [Google Scholar]
- Landau, L.D.; Pitaevskii, L.P.; Kosevich, A.M.; Lifshitz, E.M. Theory of Elasticity: Volume 7; Elsevier Science: Burlingon, MA, USA, 2012. [Google Scholar]
- Greaves, G.N.; Greer, A.L.; Lakes, R.S.; Rouxel, T. Poisson’s ratio and modern materials. Nat. Mater. 2011, 10, 823–837. [Google Scholar] [CrossRef] [PubMed]
- Milton, G.W. Composite materials with poisson’s ratios close to −1. J. Mech. Phys. Solids 1992, 40, 1105–1137. [Google Scholar] [CrossRef]
- Treloar, L.R.G. The Physics of Rubber Elasticity, 3rd ed.; OUP Oxford: Oxford, UK, 2005. [Google Scholar]
- Mark, J.E.; Erman, B.; Roland, M. The Science and Technology of Rubber; Academic Press: Burlingon, MA, USA, 2013. [Google Scholar]
- Evans, K.E.; Nkansah, M.A.; Hutchinson, I.J.; Rogers, S.C. Molecular network design. Nature 1991, 353, 124. [Google Scholar] [CrossRef]
- Flory, P.J. Principles of Polymer Chemistry; Cornell University Press: Ithaca, NY, USA, 1953. [Google Scholar]
- McKenna, G.B. Soft matter: Rubber and networks. Rep. Prog. Phys. 2018, 81, 066602. [Google Scholar] [CrossRef]
- Peppas, N.A.; Hilt, J.Z.; Khademhosseini, A.; Langer, R. Hydrogels in biology and medicine: From molecular principles to bionanotechnology. Adv. Mater. 2006, 18, 1345–1360. [Google Scholar] [CrossRef]
- Quesada-Perez, M.; Maroto-Centeno, J.A.; Forcada, J.; Hidalgo-Alvarez, R. Gel swelling theories: The classical formalism and recent approaches. Soft Matter 2011, 7, 10536–10547. [Google Scholar] [CrossRef]
- Sheiko, S.S.; Dobrynin, A.V. Architectural code for rubber elasticity: From supersoft to superfirm materials. Macromolecules 2019, 52, 7531–7546. [Google Scholar] [CrossRef]
- Hencky, H. Uber die form des elastizitatsgesetzes bei ideal elastischen stoffen. Zeit. Tech. Phys. 1928, 9, 215–220. [Google Scholar]
- Rubinstein, M.; Colby, R.H. Polymer Physics; Oxford University Press: Oxford, UK, 2003. [Google Scholar]
- Horkay, F.; McKenna, G. Polymer Networks and Gels in Physical Properties of Polymers Handbook; Mark, J.E., Ed.; Springer: New York, NY, USA, 2007; pp. 497–523. [Google Scholar]
- Frenkel, D.; Smit, B. Understanding Molecular Simulations: From Algorithms to Applications; Academic Press: New York, NY, USA, 2002. [Google Scholar]
- Kremer, K.; Grest, G.S. Dynamics of entangled linear polymer melts: A molecular-dynamics simulation. J. Chem. Phys. 1990, 92, 5057–5086. [Google Scholar] [CrossRef]
- Dobrynin, A.V.; Jacobs, M.; Tian, Y. Foundation of network forensics. Macromolecules 2023, 56, 9289–9296. [Google Scholar] [CrossRef]
- Jacobs, M.; Liang, H.; Dashtimoghadam, E.; Morgan, B.J.; Sheiko, S.S.; Dobrynin, A.V. Nonlinear elasticity and swelling of comb and bottlebrush networks. Macromolecules 2019, 52, 5095–5101. [Google Scholar] [CrossRef]
- Thompson, A.P.; Aktulga, H.M.; Berger, R.; Bolintineanu, D.S.; Brown, W.M.; Crozier, P.S.; in’t Veld, P.J.; Kohlmeyer, A.; Moore, S.G.; Nguyen, T.D.; et al. LAMMPS—A flexible simulation tool for particle-based materials modeling at the atomic, meso, and continuum scales. Comput. Phys. Commun. 2022, 271, 108171. [Google Scholar] [CrossRef]
- Jacobs, M.; Tian, Y.; Dobrynin, A.V. Deformation driven deswelling of brush gels. Macromolecules 2023, 56, 2209–2216. [Google Scholar] [CrossRef]
- Urayama, K.; Takigawa, T. Volume of polymer gels coupled to deformation. Soft Matter 2012, 8, 8017–8029. [Google Scholar] [CrossRef]
- Konda, A.; Urayama, K.; Takigawa, T. Strain-rate-dependent Poisson’s ratio and stress of polymer gels in solvents revealed by ultraslow stretching. Macromolecules 2011, 44, 3000–3006. [Google Scholar] [CrossRef]
- Pritchard, R.H.; Lava, P.; Debruyne, D.; Terentjev, E.M. Precise determination of the Poisson ratio in soft materials with 2D digital image correlation. Soft Matter 2013, 9, 6037–6045. [Google Scholar] [CrossRef]
- Pritchard, R.H.; Terentjev, E.M. Swelling and de-swelling of gels under external elastic deformation. Polymer 2013, 54, 6954–6960. [Google Scholar] [CrossRef]
- Flory, P.J.; Rehner, J., Jr. Statistical mechanics of cross-linked polymer networks II. Swelling. J. Chem. Phys. 1943, 11, 521–526. [Google Scholar] [CrossRef]
- Warner, M.; Terentjev, E.M. Liquid Crystal Elastomers; Oxford University Press: Oxford, UK, 2007; Volume 120. [Google Scholar]
- Warner, M.; Terentjev, E. Nematic elastomers—A new state of matter? Prog. Polym. Sci. 1996, 21, 853–891. [Google Scholar] [CrossRef]
- Liang, H.; Cao, Z.; Wang, Z.; Sheiko, S.S.; Dobrynin, A.V. Combs and bottlebrushes in a melt. Macromolecules 2017, 50, 3430–3437. [Google Scholar] [CrossRef]
- Liang, H.; Grest, G.S.; Dobrynin, A.V. Brush-like polymers and entanglements: From linear chains to filaments. ACS Macro. Lett. 2019, 8, 1328–1333. [Google Scholar] [CrossRef] [PubMed]
- Jacobs, M.; Liang, H.; Dobrynin, A.V. Theory and simulations of hybrid networks. Macromolecules 2021, 54, 7337–7346. [Google Scholar] [CrossRef]
- Jacobs, M.; Vashahi, F.; Maw, M.; Sheiko, S.S.; Dobrynin, A.V. Brush gels: Where theory, simulations and experiments meet. Macromolecules 2022, 55, 7922–7931. [Google Scholar] [CrossRef]
- Dobrynin, A.V.; Carrillo, J.-M.Y. Universality in nonlinear elasticity of biological and polymeric networks and gels. Macromolecules 2011, 44, 140–146. [Google Scholar] [CrossRef]







Disclaimer/Publisher’s Note: The statements, opinions and data contained in all publications are solely those of the individual author(s) and contributor(s) and not of MDPI and/or the editor(s). MDPI and/or the editor(s) disclaim responsibility for any injury to people or property resulting from any ideas, methods, instructions or products referred to in the content. |
© 2024 by the authors. Licensee MDPI, Basel, Switzerland. This article is an open access article distributed under the terms and conditions of the Creative Commons Attribution (CC BY) license (https://creativecommons.org/licenses/by/4.0/).
Share and Cite
Tian, Y.; Wang, Z.; Dobrynin, A.V. When the Poisson Ratio of Polymer Networks and Gels Is Larger Than 0.5? Gels 2024, 10, 463. https://doi.org/10.3390/gels10070463
Tian Y, Wang Z, Dobrynin AV. When the Poisson Ratio of Polymer Networks and Gels Is Larger Than 0.5? Gels. 2024; 10(7):463. https://doi.org/10.3390/gels10070463
Chicago/Turabian StyleTian, Yuan, Zilu Wang, and Andrey V. Dobrynin. 2024. "When the Poisson Ratio of Polymer Networks and Gels Is Larger Than 0.5?" Gels 10, no. 7: 463. https://doi.org/10.3390/gels10070463
APA StyleTian, Y., Wang, Z., & Dobrynin, A. V. (2024). When the Poisson Ratio of Polymer Networks and Gels Is Larger Than 0.5? Gels, 10(7), 463. https://doi.org/10.3390/gels10070463

