Chiral Nanostructured Glycerohydrogel Sol–Gel Plates of Chitosan L- and D-Aspartate: Supramolecular Ordering and Optical Properties
Abstract
1. Introduction
2. Results and Discussion
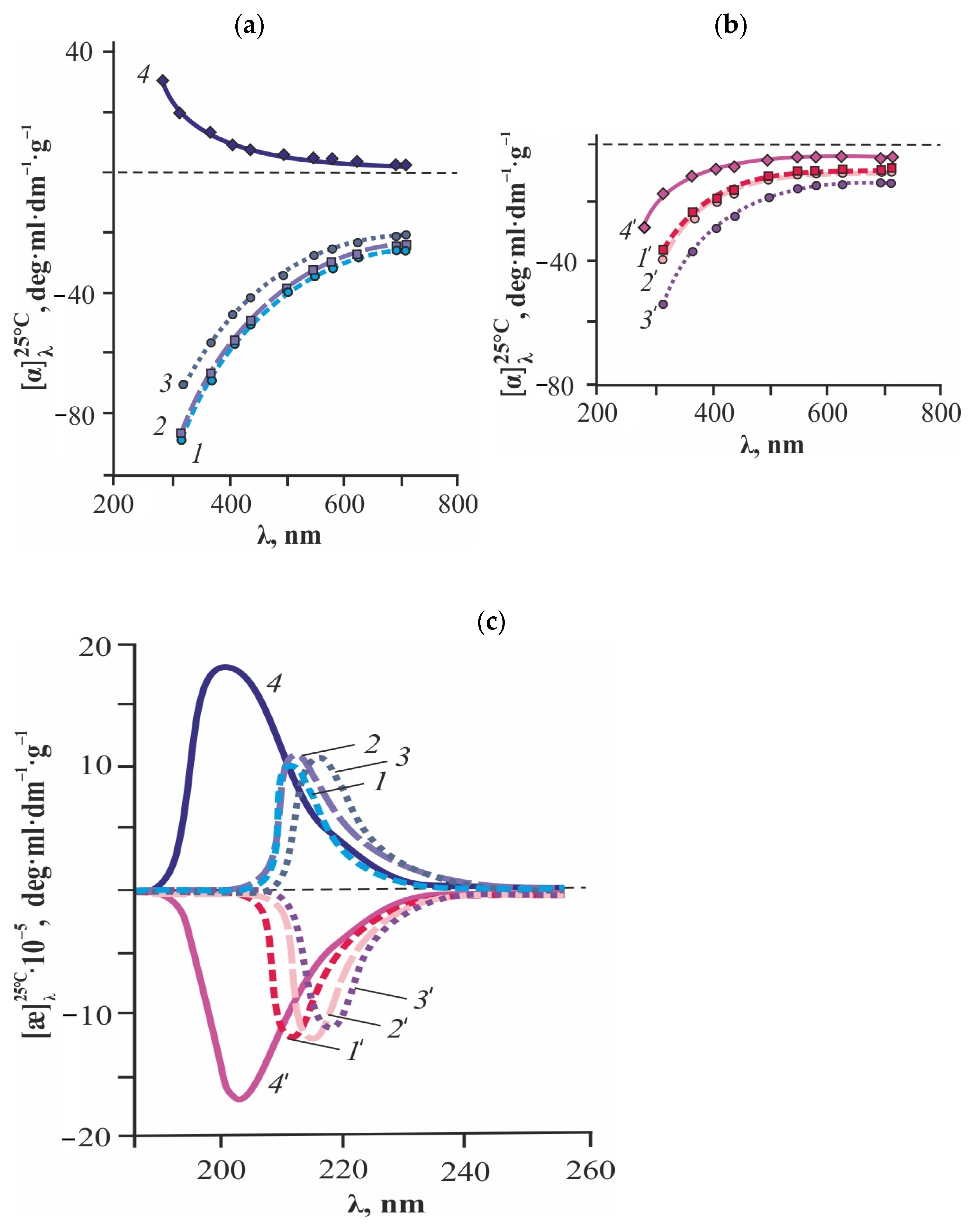
2.1. Chiro-Optical Properties
2.2. Optical Properties
2.3. Surface Morphology
2.4. Supramolecular Ordering
3. Conclusions
4. Materials and Methods
4.1. Materials
4.2. Preparation of the Objects of Study
4.2.1. Preparation of Solutions
4.2.2. Preparation of Glycerohydrogel Plates, Thin Films, and Powders
4.3. Methods
4.3.1. Potentiometric Titration
4.3.2. Spectroscopic Methods
4.3.3. Optical Methods
4.3.4. Microscopy
4.3.5. X-ray Powder Diffraction
4.3.6. Small-Angle X-ray Scattering
4.3.7. Statistical Analysis
Author Contributions
Funding
Data Availability Statement
Acknowledgments
Conflicts of Interest
References
- Xue, X.; Wan, L.; Li, W.; Tan, X.; Du, X.; Tong, Y. A Self-Healing Gel Polymer Electrolyte, Based on a Macromolecule Cross-Linked Chitosan for Flexible Supercapacitors. Gels 2023, 9, 8. [Google Scholar] [CrossRef]
- Sadiq, N.M.; Aziz, S.B.; Kadir, M.F.Z. Development of Flexible Plasticized Ion Conducting Polymer Blend Electrolytes Based on Polyvinyl Alcohol (PVA): Chitosan (CS) with High Ion Transport Parameters Close to Gel Based Electrolytes. Gels 2022, 8, 153. [Google Scholar] [CrossRef]
- Peng, X.; Dong, K.; Wu, Z.; Wang, J.; Wang, Z.L. A review on emerging biodegradable polymers for environmentally benign transient electronic skins. J. Mater. Sci. 2021, 56, 16765–16789. [Google Scholar] [CrossRef]
- Yu, S.; Liu, Z.; Zhao, L.; Li, L. Degradable, ultra-flexible, transparent and conductive film made of assembling CuNWs on chitosan. Opt. Mater. 2022, 123, 111752. [Google Scholar] [CrossRef]
- Xu, W.; Newton, M.A.A.; Xin, B.; Chen, Z. Design and development of a novel PVA/CS/MOP ionic conductive hydrogel for flexible sensors: Fabrication, characterization, and performance evaluation. J. Mater. Sci. 2024, 59, 1104–1122. [Google Scholar] [CrossRef]
- Huang, W.; Chi, H.; Lee, Y.; Lo, Y.; Liu, T.; Chiang, M.; Chen, H.; Li, S.; Chen, Y.; Chen, S. Gene-Embedded Nanostructural Biotic–Abiotic Optoelectrode Arrays Applied for Synchronous Brain Optogenetics and Neural Signal Recording. ACS Appl. Mater. Interfaces 2019, 11, 11270–11282. [Google Scholar] [CrossRef] [PubMed]
- Sargazi, S.; Fatima, I.; Kiani, M.H.; Mohammadzadeh, V.; Arshad, R.; Bilal, M.; Rahdar, A.; Díez-Pascual, A.M.; Behzadmehr, R. Fluorescent-based nanosensors for selective detection of a wide range of biological macromolecules: A comprehensive review. Int. J. Biol. Macromol. 2022, 206, 115–147. [Google Scholar] [CrossRef]
- Gomes, A.S.L.; Valente, D.; Oliveira, H.P.; Ribeiro, S.J.L.; Araújo, C.B. (INVITED)Optical materials for flexible and stretchable random lasers. Opt. Mater. X 2022, 16, 100203. [Google Scholar] [CrossRef]
- Völlmecke, K.; Afroz, R.; Bierbach, S.; Brenker, L.J.; Frücht, S.; Glass, A.; Giebelhaus, R.; Hoppe, A.; Kanemaru, K.; Lazarek, M.; et al. Hydrogel-Based Biosensors. Gels 2022, 8, 768. [Google Scholar] [CrossRef]
- Wang, X.; Wolfbeis, O.S. Fiber-Optic Chemical sensors and biosensors. Anal. Chem. 2020, 92, 397–430. [Google Scholar] [CrossRef]
- Rehmat, Z.; Mohammed, W.S.; Sadiq, M.B.; Somarapalli, M.; Anal, A.K. Ochratoxin A detection in coffee by competitive inhibition assay using chitosan-based surface plasmon resonance compact system. Colloids Surf. B Biointerfaces 2019, 174, 569–574. [Google Scholar] [CrossRef]
- Boruah, B.S.; Biswas, R. In-situ sensing of hazardous heavy metal ions through an ecofriendly scheme. Opt. Laser Technol. 2021, 137, 106813. [Google Scholar] [CrossRef]
- Kamaruddin, N.H.; Bakar, A.A.A.; Mobarak, N.N.; Zan, M.S.D.; Arsad, N. Binding Affinity of a Highly Sensitive Au/Ag/Au/Chitosan-Graphene Oxide Sensor Based on Direct Detection of Pb2+ and Hg2+ Ions. Sensors 2017, 17, 2277. [Google Scholar] [CrossRef]
- Kakhki, R.M. A review on enhancing luminescence and colorimetric sensing in chitosan-based sensors with doping with organic and inorganic materials. J. Mater. Sci. 2024, 59, 2207–2227. [Google Scholar] [CrossRef]
- Blachnio, M.; Zienkiewicz-Strzalka, M. Evaluation of the Dye Extraction Using Designed Hydrogels for Further Applications towards Water Treatment. Gels 2024, 10, 159. [Google Scholar] [CrossRef]
- Jang, J.; Kang, K.; Raeis-Hosseini, N.; Ismukhanova, A.; Jeong, H.; Jung, C.; Kim, B.; Lee, J.-Y.; Park, I.; Rho, J. Self-Powered Humidity Sensor Using Chitosan-Based Plasmonic Metal–Hydrogel–Metal Filters. Adv. Optical. Mater. 2020, 8, 1901932. [Google Scholar] [CrossRef]
- Voznesenskiy, S.S.; Sergeev, A.A.; Mironenko, A.Y.; Bratskaya, S.Y.; Kolchinskiy, V.A. Effect of relative humidity on the optical and waveguide properties of thin chitosan films. Tech. Phys. Lett. 2012, 38, 228. [Google Scholar] [CrossRef]
- Dhayal, V.; Hashmi, S.Z.; Kumar, U.; Choudhary, B.L.; Kuznetsov, A.E.; Dalela, S.; Kumar, S.; Kaya, S.; Dolia, S.N.; Alvi, P.A. Spectroscopic studies, molecular structure optimization and investigation of structural and electrical properties of novel and biodegradable chitosan-GO polymer nanocomposites. J. Mater. Sci. 2020, 55, 14829–14847. [Google Scholar] [CrossRef]
- Huang, Y.; Xiao, L.; Zhou, J.; Li, X.; Liu, J.; Zeng, M. Mechanical enhancement of graphene oxide-filled chitosan-based composite hydrogels by multiple mechanisms. J. Mater. Sci. 2020, 55, 14690–14701. [Google Scholar] [CrossRef]
- Yu, S.H.; Liu, X.Y.; Wu, M.Y.; Dong, H.L.; Wang, X.H.; Li, L.X. All-solution-processed molybdenum oxide-encapsulated silver nanowire flexible transparent conductors with improved conductivity and adhesion. ACS Appl. Mater. Interfaces 2021, 13, 14483–14491. [Google Scholar] [CrossRef]
- Cheng, T.; Zhang, Y.Z.; Lai, W.Y.; Huang, W. Stretchable thin-film electrodes for flexible electronics with high deformability and stretchability. Adv. Mater. 2015, 27, 3349–3376. [Google Scholar] [CrossRef] [PubMed]
- Tung, V.C.; Chen, L.M.; Allen, M.J.; Wassei, J.K.; Nelson, K.; Kaner, R.B.; Yang, Y. Lowtemperature solution processing of graphene-carbon nanotube hybrid materials for high-performance transparent conductors. Nano Lett. 2009, 9, 1949–1955. [Google Scholar] [CrossRef] [PubMed]
- Alghamdi, H.M.A. Structural, morphological, optical, and electrical characteristics of polyethylene oxide/chitosan-copper oxide nanoparticles for optoelectronic applications. Opt. Mater. 2022, 134, 113101. [Google Scholar] [CrossRef]
- Azofeifa, D.E.; Arguedas, H.J.; Vargas, W.E. Optical properties of chitin and chitosan biopolymers with application to structural color analysis. Opt. Mater. 2012, 35, 175–183. [Google Scholar] [CrossRef]
- Kumar, S.; Nigam, N.; Ghosh, T.; Dutta, P.K.; Yadav, R.S.; Pandey, A.C. Preparation, characterization, and optical properties of a chitosan–anthraldehyde crosslinkable film. J. Appl. Polym. Sci. 2010, 115, 3056–3062. [Google Scholar] [CrossRef]
- Ryan, C.C.; Delezuk, J.A.M.; Pavinatto, A.; Oliveira, O.N.J.; Fudouzi, H.; Pemble, M.E.; Bardosova, M. Silica-based photonic crystals embedded in a chitosanTEOS matrix: Preparation, properties and proposed applications. J. Mater. Sci. 2016, 51, 5388–5396. [Google Scholar] [CrossRef]
- Lee, S.; Lim, Y.C.; Kim, H.; Seo, D.H.; Na, J.; Kim, H.; Nam, K.T.; Jeong, Y. Random lasing with a high degree of circular dichroism by chiral plasmonic gold nanoparticles. ACS Photonics 2022, 9, 613–620. [Google Scholar] [CrossRef]
- Shipovskaya, A.B.; Shmakov, S.L.; Gegel, N.O. Optical activity anisotropy of chitosan-based films. Carbohydr. Polym. 2019, 206, 476–486. [Google Scholar] [CrossRef] [PubMed]
- Singh, J.; Dutta, P.K. Preparation, circular dichroism induced helical conformation and optical property of chitosan acid salt complexes for biomedical applications. Int. J. Biol. Macromol. 2009, 45, 384–392. [Google Scholar] [CrossRef] [PubMed]
- Koralewski, M.; Bodek, K.H.; Marczewska, K. Optical properties of chitosan in aqueous solution. Pol. Chitin Soc. 2006, 9, 29–39. [Google Scholar]
- Shipovskaya, A.B.; Malinkina, O.N.; Gegel, N.O.; Zudina, I.V.; Lugovitskaya, T.N. Structure and properties of chitosan salt complexes with ascorbic acid diastereomers. Russ. Chem. Bull. 2021, 70, 1765–1774. [Google Scholar] [CrossRef]
- Gegel, N.O.; Zhuravleva, Y.Y.; Shipovskaya, A.B.; Malinkina, O.N.; Zudina, I.V. Influence of chitosan ascorbate chirality on the gelation kinetics and properties of silicon-chitosan-containing glycerohydrogels. Polymers 2018, 10, 259. [Google Scholar] [CrossRef] [PubMed]
- Kumar, S.; Koh, J. Physiochemical, circular dichroism-induced helical conformation and optical property of chitosan azo-based amino methanesulfonate complex. J. Appl. Polym. Sci. 2012, 124, 4897–4903. [Google Scholar] [CrossRef]
- Wu, Y.; Seo, T.; Maeda, S.; Sasaki, T.; Irie, S.; Sakurai, K. Circular dichroism induced by the helical conformations of acylated chitosan derivatives bearing cinnamate chromophores. J. Polym. Sci. Part B Polym. Phys. 2005, 43, 1354–1364. [Google Scholar] [CrossRef]
- Lizundia, E.; Nguyen, T.D.; Winnick, R.J.; MacLachlan, M.J. Biomimetic photonic materials derived from chitin and chitosan. J. Mater. Chem. C 2021, 9, 796–817. [Google Scholar] [CrossRef]
- Nguyen, T.D.; Peres, B.U.; Carvalho, R.M.; MacLachlan, M.J. Photonic hydrogels from chiral nematic mesoporous chitosan nanofibril assemblies. Adv. Funct. Mater. 2016, 26, 2875–2881. [Google Scholar] [CrossRef]
- Chen, C.; Zhu, Y.; Bao, H.; Yang, X.; Li, C. Physically controlled cross-linking in gelated crystalline colloidal array photonic crystals. ACS Appl. Mater. Interfaces 2010, 2, 1499–1504. [Google Scholar] [CrossRef]
- Hu, Z.; Qin, Y.Q.; Guang, J.; Cai, Y. Preparation and characterization of chitosan amino acid salts. IOP Conf. Ser. Mater. Sci. Eng. 2019, 504, 012023. [Google Scholar] [CrossRef]
- Lugovitskaya, T.N.; Shipovskaya, A.B.; Shmakov, S.L.; Shipenok, X.M. Formation, structure, properties of chitosan aspartate and metastable state of its solutions for obtaining nanoparticles. Carbohydr. Polym. 2022, 277, 118773. [Google Scholar] [CrossRef]
- Lugovitskaya, T.N.; Shipovskaya, A.B.; Shipenok, X.M. Kinetic instability of a chitosan—Aspartic acid—Water system as a method for obtaining nano- and microparticles. Chim. Techno Acta 2021, 8, 4. [Google Scholar] [CrossRef]
- Sang-Aroon, W.; Ruangpornvisuti, V. Determination of aqueous acid-dissociation constants of aspartic acid using PCM/DFT method. Int. J. Quantum. Chem. 2008, 108, 1181. [Google Scholar] [CrossRef]
- Baklagina, Y.G.; Kononova, S.V.; Petrova, V.A.; Poshina, D.N.; Skorik, Y.A.; Klechkovskaya, V.V.; Orekhov, A.S. Polymorphic modifications of chitosan. Crystallogr. Rep. 2018, 63, 303. [Google Scholar] [CrossRef]
- Kobaisi, M.A.; Murugaraj, P.; Mainwaring, D.E. Origin and influence of water-induced chain relaxation phenomena in chitosan biopolymers. J. Polym. Sci. Polym. Phys. 2012, 50, 403. [Google Scholar] [CrossRef]
- Ogawa, K.; Yui, T.; Okuyama, K. Three D structures of chitosan. Int. J. Biol. Macromol. 2004, 34, 1–8. [Google Scholar] [CrossRef] [PubMed]
- Kawada, J.; Yui, T.; Okuyama, K.; Ogawa, K. Crystalline behavior of chitosan organic acid salts. Biosci. Biotechnol. Biochem. 2001, 65, 2542. [Google Scholar] [CrossRef] [PubMed]
- Malinkina, O.N.; Shmakov, S.L.; Shipovskaya, A.B. Structure, the energy, sorption and biological properties of chiral salts of chitosan with l- and d-ascorbic acid. Int. J. Biol. Macromol. 2024, 257, 128731. [Google Scholar] [CrossRef] [PubMed]
- Shipovskaya, A.B.; Gegel, N.O.; Babicheva, T.S. Comparative analysis of nanosized structures in thin hydrogel plates of chitosan L- and D-ascorbate–hydrochloride. St. Petersburg Polytech. Univ. J. Phys. Math. 2022, 15, 111–117. [Google Scholar] [CrossRef]
- Shipovskaya, A.B.; Zhuravleva, Y.Y.; Khonina, T.G.; Malinkina, O.N.; Gegel, N.O. Influence of the ascorbic acid isoform on the sol-gel synthesis kinetics and properties of silicon-chitosan-containing glycerohydrogel plates. J. Sol-Gel Sci. Technol. 2019, 92, 349–358. [Google Scholar] [CrossRef]
- Ishimaru, A. Propagation and Scattering of Waves in Random Media 1; NY Academic: New York, NY, USA, 1978; 272p. [Google Scholar]
- Lima, C.R.M.; Souza, P.R.S.; Stopilha, R.T.; Morais, W.A.; Silva, G.T.M.; Nunes, J.S.; Fonseca, J.L.C. Formation and structure of chitosan–poly(sodium methacrylate) complex nanoparticles. J. Dispers. Sci. Technol. 2017, 39, 83–91. [Google Scholar] [CrossRef]
- Sakurai, S. SAXS Evaluation of Size Distribution for Nanoparticles: 5. In X-ray Scattering: Book; Ares, A.E., Ed.; IntechOpen: London, UK, 2017. [Google Scholar] [CrossRef]









| No. | Application | References |
|---|---|---|
| 1. | Flexible conductive film substrates for innovative energy accumulators and sources | [1,2] |
| 2. | Wearable electronic devices | [3,4] |
| 3. | Self-healing electrical sensors | [5] |
| 4. | Highly sensitive optical sensors to diagnose biological macromolecules (DNA, proteins), cells, and genetic markers | [6,7] |
| 5. | Sensors for optical visualization of biological objects | [8] |
| 6. | Sensors for drug detection | [9] |
| 7. | Sensors for detection of other small organic molecules | [10,11] |
| 8. | Sensors for detection of trace amounts of heavy metal ions | [12,13] |
| 9. | Luminescent and colorimetric sensors for ecological monitoring of the environment and food | [14] |
| 10. | Active hydrogel layers of mesoporous sol–gel adsorbents | [15] |
| 11. | Highly effective integrated optical humidity sensors | [16,17] |
| 12. | UV detectors operating at high frequencies | [18] |
| CS Concentration CCS, g·dL−1 | AspA Concentration CAspA, g·dL−1 | Molar ratio [AspA]:[–NH2], mol·(mol of NH2)−1 | Parameters | |||
|---|---|---|---|---|---|---|
| CS∙L-AspA | CS∙D-AspA | CS∙L-AspA | CS∙D-AspA | |||
| Acid–base indicators | pH | Protonation degree α′, mol% | ||||
| 0.25 | 0.2 | 1.0 | 4.3 | 4.3 | 26.8 | 32.8 |
| 0.4 | 2.0 | 3.5 | 3.5 | 16.8 | 23.7 | |
| 0.8 | 4.0 | 3.1 | 3.0 | 7.5 | 9.2 | |
| Spectral CD characteristics | Wavelength of the dichroic band maximum λ0, nm | Specific ellipticity at λ0 [æ]max·10−5, deg·mL·dm−1·g−1 | ||||
| – | 0.5 | – | 205 | 206 | 17.8 | −16.5 |
| 0.6 | 0.4 | 0.85 | 214 | 214 | 9.6 | −11.7 |
| 0.6 | 1.0 | 215 | 218 | 10.8 | −11.8 | |
| 0.8 | 2.0 | 219 | 220 | 10.6 | −10.9 | |
| Sample | Refractive Index | Thickness d, μm | Scattering Angle | |
|---|---|---|---|---|
| Plates | ||||
| CS·L-AspA + glucomannan + Si polyolate | 1.5101 | 500 ± 30 | 0.9961 | 5.0619 |
| CS·D-AspA + glucomannan + Si polyolate | 1.5110 | 500 ± 30 | 0.9926 | 6.9746 |
| Films of the plates’ individual components | ||||
| CS′·L-AspA | 1.5208 * | 50 ± 5 | 0.9992 | 2.2919 |
| CS′·D-AspA | 1.5189 * | 50 ± 5 | 0.9994 | 1.9849 |
| Glucomannan | 1.5170 | 250 ± 30 | 0.9951 | 5.6743 |
| Si polyolate | 1.5438 | 1050 ± 30 | 0.9973 | 4.2113 |
| Support | ||||
| Glass | 1.5141 | 1050 ± 30 | 0.9984 | 3.2416 |
| Parameter | Sample | ||
|---|---|---|---|
| CS·L-AspA | CS·D-AspA | ||
| AFM | |||
| Average roughness Ra, µm | 0.13 ± 0.09 | 0.06 ± 0.01 | |
| Root-mean-square roughness Rq, µm | 0.18 ± 0.11 | 0.09 ± 0.02 | |
| Asymmetry Rsk | −0.02 ± 0.39 | 0.09 ± 0.7 | |
| Kurtosis Rku | 6 ± 1 | 13 ± 8 | |
| Maximum roughness height Rt, µm | 1.4 ± 0.7 | 1.0 ± 0.6 | |
| Maximum protrusion height Rp, µm | 1.1 ± 0.4 | 0.5 ± 0.3 | |
| Maximum depression depth Rv, µm | 1.0 ± 0.3 | 0.9 ± 0.2 | |
| SAXS | |||
| Power-law decay index of ln I(q) = f(q), n | I | 1.3 | 1.2 |
| hollow spheres | |||
| II | 0.5 | 0.3 | |
| rods | |||
| Average radius of gyration of scattering inhomogeneities, Rn (Å) | 10–50 | 15–30 | |
Disclaimer/Publisher’s Note: The statements, opinions and data contained in all publications are solely those of the individual author(s) and contributor(s) and not of MDPI and/or the editor(s). MDPI and/or the editor(s) disclaim responsibility for any injury to people or property resulting from any ideas, methods, instructions or products referred to in the content. |
© 2024 by the authors. Licensee MDPI, Basel, Switzerland. This article is an open access article distributed under the terms and conditions of the Creative Commons Attribution (CC BY) license (https://creativecommons.org/licenses/by/4.0/).
Share and Cite
Shipovskaya, A.B.; Ushakova, O.S.; Volchkov, S.S.; Shipenok, X.M.; Shmakov, S.L.; Gegel, N.O.; Burov, A.M. Chiral Nanostructured Glycerohydrogel Sol–Gel Plates of Chitosan L- and D-Aspartate: Supramolecular Ordering and Optical Properties. Gels 2024, 10, 427. https://doi.org/10.3390/gels10070427
Shipovskaya AB, Ushakova OS, Volchkov SS, Shipenok XM, Shmakov SL, Gegel NO, Burov AM. Chiral Nanostructured Glycerohydrogel Sol–Gel Plates of Chitosan L- and D-Aspartate: Supramolecular Ordering and Optical Properties. Gels. 2024; 10(7):427. https://doi.org/10.3390/gels10070427
Chicago/Turabian StyleShipovskaya, Anna B., Olga S. Ushakova, Sergei S. Volchkov, Xenia M. Shipenok, Sergei L. Shmakov, Natalia O. Gegel, and Andrey M. Burov. 2024. "Chiral Nanostructured Glycerohydrogel Sol–Gel Plates of Chitosan L- and D-Aspartate: Supramolecular Ordering and Optical Properties" Gels 10, no. 7: 427. https://doi.org/10.3390/gels10070427
APA StyleShipovskaya, A. B., Ushakova, O. S., Volchkov, S. S., Shipenok, X. M., Shmakov, S. L., Gegel, N. O., & Burov, A. M. (2024). Chiral Nanostructured Glycerohydrogel Sol–Gel Plates of Chitosan L- and D-Aspartate: Supramolecular Ordering and Optical Properties. Gels, 10(7), 427. https://doi.org/10.3390/gels10070427

